자격증 필기 기출문제



무선설비기사 필기 기출문제(해설) 및 CBT 2015년10월04일(479)

최강 자격증 기출문제 전자문제집 CBT : www.comcbt.com


전자문제집 CBT란?

종이 문제집이 아닌 인터넷으로 문제를 풀고 자동으로 채점하며 모의고사, 오답 노트, 해설까지 제공하는
무료 기출문제 학습 프로그램으로 실제 상설검정에서 사용하는 OMR 형식의 CBT를 제공합니다.


최신 무선설비기사 필기 기출문제 : [다운로드]

1과목 : 디지털 전자회로


1. 다음 중 정류회로에서 다이오드를 병렬로 여러 개 접속시킬 경우에 나타나는 특성으로 옳은 것은?
     1. 과전압으로부터 보호할 수 있다.
     2. 정류회로의 전류용량이 커진다.
     3. 정류기의 역방향 전류가 감소한다.
     4. 부하출력에서 맥동률을 감소시킬 수 있다.

     정답 : []
     정답률 : 75%

2. 다음 정전압 회로에서 전압 안정도를 0.05로 하기 위해서 RS의 값은? (단, rd=10[Ω])

   

     1. 190[Ω]
     2. 260[Ω]
     3. 290[Ω]
     4. 330[Ω]

     정답 : []
     정답률 : 68%
     <문제 해설>
입력전압 Vs 중 다이오드 저항 rd에 걸리는 전압이 출력의 변동전압 성분이 되므로 Vs를 Rs와 Rd로 전압분배시켜 출력(변동)전압을 구하면 다음과 같다. Vo(=VL)=Vs x rd/rd+Rs
따라서 전압 안정계수 Sv=Vo/Vs이므로 다음과 같이 정리된다.
Sv=rd/rd+Rs -->10/10+Rs=0.05 계산하면 Rs값은 190Ω
[해설작성자 : 85년생 최수빈]

3. 다음 증폭기 회로에서 βDC=75인 경우 컬렉터 전압 VC는 약 얼마인가? (단, VBE=0.7[V]이다.)

   

     1. 15.1[V]
     2. 17.1[V]
     3. 18.1[V]
     4. 20.1[V]

     정답 : []
     정답률 : 70%
     <문제 해설>
VBB로 B-E접합을 순바이어스(on)시키므로 먼저 입력측 회로망에서 전압방정식(KVL)을 세워서 IB를 구한다. (KVL법칙 : 공급전압은 각 저항에 걸리는 전압의 합과 같다.)
VBB=RBIB+VBE ==> IB=VBB-VBE/RB=276.6[μA]
IC=βIB=75x276.6[μA]=20.7[mA]
출력측 회로망에서 전압방정식을 세워서 출력전압 VCE를 구한다. (TR이 스위치 기능을 할 때는 접점 역할을 하지만, 증폭기 기능을 할 때는 컬렉터와 이미터 사이에서 가변저항 역할을 하며 연결되어 출력측에 전류 IC가 흐르게 해준다. 그리고 그 저항에 걸리는 전압이 출력전압 VCE가 된다.)
VCC=RCIC+VCE ==> VCE=VCC-RCIC= 24[V]-430x20.7[mA]=15.099 => 반올림하면 15.1
[해설작성자 : 85년생 최수빈]

Vc = Vcc - IcRc
임.
그래서 Ic= 베타 x Ib
니까,
Ib = Vbb - Vbe = 2 - 0.7 = 1.3
해서 계산하면됨~!
[해설작성자 : 졸려]

4. 전류 궤환 증폭기의 출력 임피던스는 궤환이 없을 경우에 비해 어떻게 변화하는가?
     1. 변화가 없다.
     2. 0이 된다.
     3. 감소한다.
     4. 증가한다.

     정답 : []
     정답률 : 76%
     <문제 해설>
전압궤환은 출력임피던스를 감소시키고 전류궤환은 출력임피던스를 증가시킨다.
[해설작성자 : comcbt.com 이용자]

5. 다음 증폭기 회로의 특성에 대한 설명으로 틀린 것은? (문제 오류로 실제 시험에서는 2, 3번이 정답처리 되었습니다 여기서는 2번을 누르면 정답 처리 됩니다.)

   

     1. 동상신호 제거비(CMRR)를 높게 하기 위해 hfe가 높은 트랜지스터를 사용한다.
     2. 동상신호 제거비(CMRR)를 높게 하기 위해 RE 값을 감소시킨다.
     3. 동상이득을 높게 하기 위해 RC1과 RC2 값을 감소시킨다.
     4. 차동이득을 높게 하기 위해 RE 값을 감소시킨다.

     정답 : []
     정답률 : 81%

6. 입력신호의 전주기에 대하여 선형영역에서 동작하는 증폭기는?
     1. A급 증폭기
     2. B급 증폭기
     3. C급 증폭기
     4. D급 증폭기

     정답 : []
     정답률 : 84%
     <문제 해설>
전달특성 곡선(활성 영역의 선형특성 곡선)의 중앙에 동작점을 두는 형태로서 입력신호 1주기가 왜곡없이 선형증폭되는 장점이 있는 것이 A급 증폭기이다.
[해설작성자 : 85년생 최수빈]

7. 발진회로에서 발진을 지속하기 위해 필요한 과정은?
     1. 출력신호의 일부분을 부궤환시킨다.
     2. 출력신호의 일부분을 정궤환시킨다.
     3. 외부로부터 지속적으로 입력신호를 제공한다.
     4. L과 C성분을 제거한다.

     정답 : []
     정답률 : 86%

8. 그림과 같은 발진회로에서 높은 주파수의 동작에 적절한 발진회로 구현을 위한 리액턴스 조건은 무엇인가?

   

     1. Z1 = 용량성, Z2 = 용량성, Z3 = 용량성
     2. Z1 = 유도성, Z2 = 유도성, Z3 = 유도성
     3. Z1 = 유도성, Z2 = 용량성, Z3 = 용량성
     4. Z1 = 용량성, Z2 = 용량성, Z3 = 유도성

     정답 : []
     정답률 : 90%
     <문제 해설>
LC발진기는 RC발진기에 비해 고주파용이며 Q(선택도)가 높지만, 발진 주파수의 가변(조정) 범위가 좁다는 단점이 있다. 그런데 하틀리 발진기는 콜푸치 발진기에 비해 발진 출력이 크고, 발진 주파수의 가변(조정) 범위가 비교적 넓으나 상호 인덕턴스(M)의 영향으로 고주파에 불안정하다. 반면 콜피츠 발진기는 궤환요소가 용량성이므로 고조파 성분에 대한 임피던스가 매우 낮아 접지로 바이패스시킨다. 따라서 발진 주파수의 안정성이 좋고 인덕턴스(L)를 작게 사용할 수 있어 하틀리 발진기보다 높은 주파수를 얻을 수 있으므로 VHF 대역에서 많이 사용된다. 그러므로 높은 주파수의 동작에 적절한 발진회로를 구현하기 위해서는 콜피츠 발진기가 적합하고 리액턴스 조건은 콜=>콘(으로 암기팁) 콘덴서=>용량성 Z1, Z2에 해당, Z3는 유도성
[해설작성자 : 85년생 최수빈]

9. 변조도가 ‘1’이라는 의미는 무엇인가?
     1. 1[%] 변조
     2. 무변조
     3. 과변조
     4. 100[%] 변조

     정답 : []
     정답률 : 88%
     <문제 해설>
변조도 = 변조(%)/100
ex) 60% 변조 -> 60/100 = 0.6이므로 변조도는 0.6
즉, 100% 변조 -> 100/100 = 1이므로 변조도는 1
[해설작성자 : NICE]

10. 디지털 신호의 정보 내용에 따라 반송파의 위상을 변화시키는 변조 방식으로 2원 디지털 신호를 2개씩 묶어 전송하는 QPSK 변조방식의 반송파 위상차는?
     1. 45[°]
     2. 90[°]
     3. 180[°]
     4. 270[°]

     정답 : []
     정답률 : 79%
     <문제 해설>
4진 PSK(QPSK)는 한 번에 2비트를 전송하는 PSK 방식으로서, 00, 01, 10, 11 형태의 2비트 각각에 대해 위상이 90º(즉 2π/4=90º)씩 다른 반송파들을 보내면 된다.
[해설작성자 : 85년생 최수빈]

M진PSK변조의 위상차 : 2pi/M
[해설작성자 : comcbt.com 이용자]

11. 다음 그림과 같은 회로에서 콘덴서 양단의 스텝 응답에 대한 상승 시간(Rise Time)은 약 얼마인가? (단, RC 시정수는 2[μs])

    

     1. 2[μs]
     2. 2.2[μs]
     3. 4[μs]
     4. 4.4[μs]

     정답 : []
     정답률 : 71%
     <문제 해설>
펄스의 상승시간(tr= 2.2 x 시정수)
[해설작성자 : 85년생 최수빈]

12. 병렬 클리핑 회로에서 클리핑 특성을 좋게 하기 위하여 사용되는 저항 R의 조건으로 옳은 것은? (단, Rd는 다이오드의 순방향 저항이다.)
     1. R=Rd
     2. R=1/Rd
     3. R<Rd
     4. R>Rd

     정답 : []
     정답률 : 66%

13. BCD 코드 1001에 대한 해밍 코드를 구하면?
     1. 0011001
     2. 1000011
     3. 0100101
     4. 0110010

     정답 : []
     정답률 : 74%

14. 다음 중 2-out of-5 code에 해당하지 않는 것은?
     1. 10010
     2. 11000
     3. 10001
     4. 11001

     정답 : []
     정답률 : 85%
     <문제 해설>
5비트로 이루어진 unweighted code로서, 4비트는 digit bit이고, 1비트는 check bit이다.
그리고 5비트 안에는 1의 개수가 2개이며 오류 검출용으로 쓰인다.
[해설작성자 : 85년생 최수빈]

15. 숫자 0에서 9까지를 나타내기 위해 BCD 코드는 몇 비트가 필요한가?
     1. 4
     2. 3
     3. 2
     4. 1

     정답 : []
     정답률 : 88%

16. 다음 중 Master-Slave 플립플롭은 어떠한 현상을 해결하기 위한 플립플롭인가?
     1. 지연 현상
     2. Race 현상
     3. Set 현상
     4. Toggle 현상

     정답 : []
     정답률 : 86%

17. 다음 중 디코더(Decoder)에 대한 설명으로 틀린 것은?
     1. 출력보다 많은 입력을 갖고 있다.
     2. 한번에 하나의 출력만을 동작한다.
     3. N 비트의 2진 코드 입력에 의해 최대 2N개의 출력이 나온다.
     4. 인코더(Encoder)의 역기능을 수행한다.

     정답 : []
     정답률 : 75%
     <문제 해설>
Decoder는 2진수 입력을 10진수로 변환하거나 부호화된 명령이나 번지를 해독(복호)하는 데 사용하며, 다수 입력과 다수 출력(즉, nx2^n 구조를 갖는 IC이다. 그러므로 "입력보다 많은 출력을 갖고 있다"가 올바른 답이다.
[해설작성자 : 85년생 최수빈]

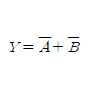
18. 반가산기에서 입력이 A, B일 경우, 반가산기의 합(S)에 대한 출력 논리식으로 옳은 것은?
     1.
     2.
     3.
     4.

     정답 : []
     정답률 : 90%

19. 다음 중 특정 비트의 값을 무조건 0으로 바꾸는 연산은?
     1. XOR 연산
     2. 선택적-세트(Selective-Set) 연산
     3. 선택적-보수(Selective-Complement) 연산
     4. 마스크(Mask) 연산

     정답 : []
     정답률 : 87%

20. 다음 그림과 같은 회로의 명칭은?

    

     1. 일치 회로
     2. 시프트 회로
     3. 카운터 회로
     4. 다수결 회로

     정답 : []
     정답률 : 82%

2과목 : 무선통신 기기


21. 진폭 12[V], 주파수 10[MHz]의 반송파를 진폭 6[V], 주파수 1[kHz]의 변조파 신호로 진폭 변조할 때 변조율은?
     1. 25[%]
     2. 50[%]
     3. 75[%]
     4. 100[%]

     정답 : []
     정답률 : 84%

22. 다음 중 SSB 변조기를 구성하는 방식이 아닌 것은?
     1. 필터(Filter)법
     2. 위상천이방법
     3. 웨버(Weaver)법
     4. 압신법

     정답 : []
     정답률 : 75%
     <문제 해설>
1. 필터법 : 상측파대 또는 하측파대를 필터링하여 SSB 신호를 생성
2. 위상천이방법 : 신호의 위상을 조정하여 한쪽 측파만 생성
3. 웨버법 : 두 개의 사인파를 이용하여 상측파대와 하측파대를 생성하고 이를 합성하여 SSB 신호를 만들어 냄

* 압신법은 SSB 변조와는 관련이 없는 방식. 따라서 정답은 4번입니다.
[해설작성자 : KEITH PARK]

23. 주파수 90[MHz]의 반송파를 6[kHz]의 정현파 신호로 FM 변조했을 때 최대주파수 편이가 ±76[kHz]일 경우, 점유주파수대폭은 몇 [kHz] 인가?
     1. 12[kHz]
     2. 82[kHz]
     3. 152[kHz]
     4. 164[kHz]

     정답 : []
     정답률 : 86%
     <문제 해설>
B = 2(fm + 최대주파수편이)
    여기서 fm에 반송파주파수 넣으면됌.
    = 2(6k+76k) = 164kHz
[해설작성자 : 또구리]

fm에 반송파 주파수가 아니라, "6[kHz]의 정현파 신호" 넣으면됨
[해설작성자 : 또구리]

24. 다음 그림은 입력신호에서 주파수와 위상을 추출하는 위상동기루프(PLL)을 나타낸 것이다. (가), (나)에 들어갈 명칭으로 맞는 것은?

    

     1. (가) 위상검출기, (나) 저역통과필터
     2. (가) 위상검출기, (나) 전압제어발진기
     3. (가) 전압제어발진기, (나) 저역통과필터
     4. (가) 저역통과필터, (나) 전압제어발진기

     정답 : []
     정답률 : 68%

25. 다음 중 무선통신 시스템의 수신신호 전력에 대한 설명으로 틀린 것은?
     1. 송신전력의 크기에 비례한다.
     2. 안테나 유효 개구면(Aperture)에 비례한다.
     3. 자유공간에서 송신부까지의 거리 제곱에 반비례한다.
     4. 신호 파장에 비례한다.

     정답 : []
     정답률 : 65%
     <문제 해설>
수신신호 전력 Pr은 파장의 제곱에 비례한다.
[해설작성자 : 밍더사이즈]

26. 다음 중 BPSK 변조방식에 대한 설명으로 틀린 것은?
     1. 정보 데이터의 심볼값에 따라 반송파의 위상이 변경되는 변조방법이다.
     2. 이진 신호의 s1(t)와 s2(t)의 위상차가 180°가 될 때 성능이 최대가 된다.
     3. 정보 데이터의 심볼값에 따라 부호가 반대로 되는 결과를 얻는다.
     4. BPSK 신호는 기저대역 단극성 NRZ(Non Return to Zero) 신호를 DSB 변조하여 발생할 수 있다.

     정답 : []
     정답률 : 76%
     <문제 해설>
BPSK 변조된 신호는, 기저대역 복극성 NRZ 신호를 DSB-SC 변조한 것과 같음
[해설작성자 : HS]

27. 전송할 신호의 주파수에 비해 높은 주파수의 반송파를 이용하여 1과 0을 진폭, 주파수 및 위상에 대응하여 전송하는 방식은?
     1. 문자 동기 전송 방식
     2. 대역 전송 방식
     3. 차분 방식
     4. 다이코드 방식

     정답 : []
     정답률 : 86%

28. 다음 중 눈다이어그램(Eye Diagram)에 대한 설명으로 틀린 것은?

    

     1. 데이터 전송과정에서 발생하는 신호의 손상을 그림으로 살펴볼 수 있다.
     2. 부호간 간섭 또는 잡음이 증가할수록 눈 모양이 더욱 열려 진다.
     3. 수신된 펄스열을 비트주기 동안 계속 중첩하여 그린 파형이다.
     4. 수신기에서 1과 0을 판정하기 위하여 신호를 표본화하는 최적의 시간은 바로 눈이 가장 크게 열리는 순간이다.

     정답 : []
     정답률 : 87%
     <문제 해설>
잡음이 증가할수록 눈모양 닫힘.
[해설작성자 : 또구리]

29. 다음 중 무선방위 측정에서 전파전파에 따른 오차에 해당하지 않은 것은?
     1. 야간오차
     2. 해안선의 오차
     3. 대륙현상
     4. 산란현상

     정답 : []
     정답률 : 75%

30. 다음 중 DGPS(Differential Global Positioning System)에 대한 설명으로 틀린 것은?
     1. 라디오 비컨을 통하여 방송한다.
     2. 관측 가능한 모든 위성을 모니터링한다.
     3. DGPS의 정확도는 100[m] 내외이다.
     4. 관측에 의한 위치와 이미 알고 있는 기준국의 위치를 비교하여 보정값을 산출한다.

     정답 : []
     정답률 : 72%
     <문제 해설>
DGPS의 정확도는 30[m] 이내이다.
[해설작성자 : 밍더사이즈]

31. 다음 중 상용부하에 대한 전력공급은 충전기가 담당하고, 충전기가 부감하기 어려운 대전류 부하는 축전지가 부담하게 하는 충전방식을 무엇이라 하는가?
     1. 초충전(Initial Charge)
     2. 균등충전(Equality Charge)
     3. 부동충전(Floating Charge)
     4. 평상충전(Normal Charge)

     정답 : []
     정답률 : 74%

32. 다음 중 무정전 전원장치(UPS) 방식이 아닌 것은?
     1. ON-LINE 방식
     2. OFF-LINE 방식
     3. Hybrid 방식
     4. LINE 인터랙티브 방식

     정답 : []
     정답률 : 87%

33. 다음 중 초크 L 입력형과 콘덴서 C 입력형 정류회로에 대한 비교 설명으로 틀린 것은?
     1. 콘덴서 C 입력형은 부하 전류의 평균치와 최대치의 차가 크다.
     2. 콘덴서 C 입력형은 맥동율이 크다.
     3. 초크 L 입력형은 정류 소자 전류가 연속적이다.
     4. 초크 L 입력형은 전압 변동율이 작다.

     정답 : []
     정답률 : 84%

34. 단상 전파 브리지 정류회로에서 각 다이오드에 걸리는 최대 역전압은 약 얼마인가? (단, 1차측 입력실효전압 100[V], 트랜스포머의 권선비는 n1:n2=10:1)
     1. 10[V]
     2. 14.1[V]
     3. 100[V]
     4. 141[V]

     정답 : []
     정답률 : 81%
     <문제 해설>
부하에는 실효값
다이오드는 최댓값
[해설작성자 : 이은택]

35. 다음 중 태양전지 구조에 대한 설명으로 틀린 것은?
     1. 일반적인 태양전지는 3층 구조로 되어 있다.
     2. 태양건전지는 N형과 P형 반도체로 구성되어 있다.
     3. 가장 많이 보급되는 태양전지 재료는 실리콘결정형이다.
     4. 실리콘원자의 최외각 전자의 개수는 4개이다.

     정답 : []
     정답률 : 76%
     <문제 해설>
대부분의 일반적인 태양전지는 2층 구조(P형 반도체와 N형 반도체)로 이루어져 있습니다.
이들이 PN 접합을 형성하고, 여기에 빛이 흡수되면 전자가 이동하여 전류가 생성됩니다.
[해설작성자 : KEITH PARK]

36. 다음 중 송신기의 변조특성을 나타내는 요소가 아닌 것은?
     1. 변조의 직선성
     2. 선택도
     3. 종합왜율
     4. 신호대 잡음비

     정답 : []
     정답률 : 64%

37. 다음 중 진폭변조(AM) 송신기의 전력 측정방법으로 적합하지 않은 것은?
     1. 실효 저항법
     2. 의사 공중선법
     3. 전구의 조도비교법
     4. 볼로메터 브리지법

     정답 : []
     정답률 : 86%
     <문제 해설>
볼로메터 브리지법은 FM, M/W 송신기의 전력을 측정하는 법이다.
[해설작성자 : 8일남은 거 토나온다]

38. 다음 중 급전선(선로)에 나타나는 정재파의 전류, 전압의 분포와 위상에 대한 설명으로 옳은 것은?
     1. 전류, 전압의 분포는 선로상의 어디서나 같으며, 위상은 선로의 각 점에 따라 다르다.
     2. 전류, 전압의 분포는 선로상의 어디서나 같으며, 위상도 선로의 어디서나 같다.
     3. 전류, 전압의 분포는 λ/2마다 최대와 최소가 있고 위상은 선로의 각 점에 따라 다르다.
     4. 전류, 전압의 분포는 λ/2마다 최대와 최소가 있고 위상은 선로의 어디서나 같다.

     정답 : []
     정답률 : 64%

39. 급전선의 특성 임피던스 Zo와 급전선을 통과하는 전파의 전파속도 v를 알면 급전선이 가지는 인덕턴스값(L)을 알 수 있다. 다음 중 인덕턴스값(L)을 구하는 식으로 맞는 것은?
     1. Zo / v
     2. v / Zo
     3. v × Zo
     4. 1 / (v×Zo)

     정답 : []
     정답률 : 82%
     <문제 해설>
특성 임피던스 Z와 전파속도 v를 이용하여 단위길이당 인덕턴스와 단위길이당 정전용량을 구할 수 있다.
L = Z/v    C = 1/Z*V
[해설작성자 : 밍더사이즈]

40. 인버터의 주파수가 2[kHz]가 되려면 인버터의 On, Off 주기는 몇 [ms]로 해야 하는가?
     1. 0.1[ms]
     2. 0.5[ms]
     3. 1[ms]
     4. 10[ms]

     정답 : []
     정답률 : 87%

3과목 : 안테나 공학


41. 레이더의 안테나에서 송신된 펄스가 6[μs] 후에 목표물로부터 반사되어 수신되었다면 목표물까지의 거리는?
     1. 450[m]
     2. 900[m]
     3. 1,800[m]
     4. 3,600[m]

     정답 : []
     정답률 : 72%
     <문제 해설>
빛의속도 3 * 6 /2
[해설작성자 : comcbt.com 이용자]

왕복시간 6us
편도시간 3us
거리 = 속도(빛의속도) * 시간
         = 3*10^8 * 3 * 10^-6
         = 9*10^2
         = 900m
[해설작성자 : 큰큰대가리]

42. 수직 안테나에서 방사되는 수직 편파가 지구 자계의 영향을 받는 전리층에서 반사되면 어떠한 편파가 되는가?
     1. 수직 편파
     2. 수평 편파
     3. 원편파
     4. 타원 편파

     정답 : []
     정답률 : 73%
     <문제 해설>
지상에서 방사된 수직편파 및 수평편파가 지구자계의 영향을 받는 전리층에서 반사되면 타원편파가 된다.
[해설작성자 : 밍더사이즈]

43. 다음 중 평면파에 대한 설명으로 틀린 것은? (단, εo: 진공의 유전율, μo: 진공의 투자율, εs: 비유전율, μs: 비투자율, c: 빛의 속도)
     1. 공중선으로부터 방사된 전파는 공중선 부근에서는 구형파이지만 상당히 먼거리에서는 평면파로 된다.
     2. 전파 속도는 이다.
     3. 자유 공가나 임피던스는 이다.
     4. 진행 방향에 대해서 전계와 자계가 서로 180[°]를 이룬다.

     정답 : []
     정답률 : 80%

44. 다음 중 정재파비가 1일 때 선로에는 어떤 성분의 파가 실리게 되는가?
     1. 정재파
     2. 반사파
     3. 진행파
     4. 원편파

     정답 : []
     정답률 : 80%

45. 안테나의 급전점 인피던스가 75[Ω]인 반파장 안테나와 특성 임피던스가 600[Ω]인 평행2선식 선로를 λ/4 임피던스 변환기로서 정합시키고자 할 때, 이 변환기의 특성 임피던스는 약 얼마인가?
     1. 112[Ω]
     2. 212[Ω]
     3. 312[Ω]
     4. 412[Ω]

     정답 : []
     정답률 : 81%

46. 비동조 급전선의 급전점에 정합회로를 설정하는 이유는?
     1. 급전선의 파동 임피던스를 감소시키기 위하여
     2. 급전선의 파동 임피던스를 일정하게 하기 위하여
     3. 급전선에 정재파가 실리지 않게 하기 위하여
     4. 안테나의 고유파장을 조절하기 위하여

     정답 : []
     정답률 : 68%
     <문제 해설>
비동조는 진행파만 존재~! 하니까 정재파 실리면 XX
[해설작성자 : 무선뿌신다]

정재파 = 반사파 + 진행파 , 비동조 급전선은 진행파만 존재하므로 반사파가 실리면 안되기 때문에(=정재파가 실리면 안됨)
[해설작성자 : 8일 토나온다]

47. 다음 중 Balun을 사용하는 이유로 알맞은 것은?
     1. 불평형 전류를 흐르지 못하도록 하고 평형형 전류만 흐르도록 하기 위해서이다.
     2. 안테나의 임피던스를 부정합시키기 위해서이다.
     3. 안테나의 손실을 줄이고 정재파비를 크게 하기 위해서이다.
     4. 안테나의 대역폭을 크게 하기 위해서이다.

     정답 : []
     정답률 : 82%

48. 다음 중 구형 도파관에 대한 설명으로 틀린 것은?
     1. TE10 모드인 경우 차단파장(λc)는 4a이다.
     2. 전계는 Y방향 성분만 존재한다.
     3. 자계는 XZ방향 성분만 존재한다.
     4. 구형 도파관의 기본 모드는 TE10 모드이다.

     정답 : []
     정답률 : 81%

49. 사용주파수가 20[MHz]이고, 복사저항이 73.13[Ω]인 반파장 다이폴 안테나의 실효길이는 약 얼마인가?
     1. 2.4[m]
     2. 3.6[m]
     3. 4.8[m]
     4. 5.2[m]

     정답 : []
     정답률 : 59%
     <문제 해설>
[반파장 다이폴 안테나]
다이폴의 전류분포는 안테나의 끝에서 정현적으로 증가하여 끝에서 1/4 파장되는 곳에서 최대입니다.
따라서 다이폴 안테나의 이상적인 길이는 반파장입니다.
전파의 반파장 직선도체봉을 중앙에서 나누어, 그 나눈 자리에 급전선을 접속한 안테나입니다.
전계강도 측정용으로 가장 기본적인 안테나로 8자의 방사패턴을 가집니다.

* 복사저항 : 73.13옴
* 실효고 : 파장 / pi(3.14)
* 절대이득 : 1.64dB

즉, 실효고(실효길이)는
사용주파수 20MHz 일 때, 파장은 15[m]
실효길이는 파장 / 3.14 이므로
15 / 3.14 = 4.77 약, 4.8[m]
[해설작성자 : KEITH PARK]

50. 다음 중 접지안테나 손실의 대부분을 차지하는 것은?
     1. 도체저항
     2. 유전체 손실
     3. 접지저항
     4. 코로나 손실

     정답 : []
     정답률 : 82%
     <문제 해설>
접지저항에 의한 손실 : 접지안테나와 대지 사이의 접촉저항으로 접지안테나 손실저항의 대부분을 차지하며, 0이 되도록 하는 것이 바람직하다.
[해설작성자 : 밍더사이즈]

51. 송신출력 1[W], 송수신 안테나 이득이 각각 20[dBi]이고 수신입력 레벨이 -30[dBm]일 경우 자유공간손실은 몇 [dB]인가? (단, 전송선로 손실 및 기타 손실은 무시한다.)
     1. 30[dB]
     2. 70[dB]
     3. 100[dB]
     4. 120[dB]

     정답 : []
     정답률 : 76%
     <문제 해설>
1W = 1000mW

10 log ( 1000) = 30 db
30 + 20 + 20 +30
[해설작성자 : 254]

52. 다음 중 철탑의 높이가 같은 경우에 일반적으로 방사 효율이 가장 낮은 안테나는?
     1. 연장코일을 사용하는 안테나
     2. 역 L형 안테나
     3. 우산형 안테나
     4. 원정관(Top Ring) 안테나

     정답 : []
     정답률 : 81%

53. Phased Array 안테나의 각 안테나 소자에 공급하는 전류의 위상을 조정하면 어떤 특성을 얻을 수 있는가?
     1. 복사전력이 증가한다.
     2. 급전선의 VSWR이 낮아진다.
     3. 복사패턴의 방향을 바꿀 수 있다.
     4. 위상을 바꾸지 않을 때 보다 임피던스 정합이 용이하다.

     정답 : []
     정답률 : 72%
     <문제 해설>
Phased Array 안테나는 동진폭, 적절한 위상차를 갖는 전류를 각각의 안테나 소자에 인가하여 복사패턴의 방향을 바꿀 수 있다.
[해설작성자 : 밍더사이즈]

54. 다중 접지의 접지 저항과 용도로 각각 옳은 것은?
     1. 약 1~2[Ω] 정도, 대전력용
     2. 약 5[Ω] 정도, 소전력용
     3. 약 10[Ω] 정도, 중파 방송용
     4. 약 20[Ω] 정도, 단파 방송용

     정답 : []
     정답률 : 77%
     <문제 해설>
심굴 접지 : 접지 저항 10옴 전후, 보조접지용, 소전력국의 송신용 안테나 접지에 이용
방사상 접지 : 접지 저항 약 5옴, 중전력국
다중 접지 : 접지 저항 1~2옴, 대전력 방송국
카운터 포이즈(가상접지): 중전력용
[해설작성자 : 밍더사이즈]

55. 대지면에 설치된 수직 접지 안테나로부터 지표면을 따라 전파가 진행할 때 감쇠가 적은 순서대로 바르게 배열한 것은?
     1. 해면, 평지, 산악, 도심지
     2. 도심지, 산악, 평지, 해면
     3. 해면, 도심지, 평지, 산악
     4. 도심지, 평지, 산악, 해면

     정답 : []
     정답률 : 88%

56. 다음 중 수정 굴절률에 대한 설명으로 틀린 것은?
     1. 수정 굴절률을 사용하면 구면 대기층에 대해서도 평면 대기층에 대한 스넬의 법칙을 적용할 수 있다.
     2. 표준대기에서 높이 h에 대한 M단위 수정 굴절률의 비는 dm/dh는 음수이다.
     3. 수정 굴절률의 값은 높이와 비례 관계에 있다.
     4. 수정 굴절률의 값은 굴절률과 비례 관계에 있다.

     정답 : []
     정답률 : 83%
     <문제 해설>
2. ~양수이다.
[해설작성자 : 또구리]

57. 주간에 20[MHz]의 신호로 원양에서 조업 중인 선박과 통신을 하고자 할 때 이용되는 전리층은?
     1. D층
     2. Es층
     3. E층
     4. F층

     정답 : []
     정답률 : 72%
     <문제 해설>
20MHz는 단파이다. 단파를 반사하는 전리층은 F층이다.
[해설작성자 : 핀에어]

58. 다음 중 송ㆍ수신점간의 거리가 정해졌을 때 LUF를 결정하는 요인이 아닌 것은?
     1. 전리층의 높이
     2. 송수신 안테나 이득
     3. 수신점에서의 잡음 강도
     4. 통신 전송 형태

     정답 : []
     정답률 : 60%
     <문제 해설>
LUF 결정요인
전리층 감쇠량,입사각, 안테나 이득, 입력전력, 잡음강도, 통신방식
[해설작성자 : 곡]

59. 페이딩을 방지하기 위해 둘 이상의 수신 안테나를 서로 다른 장소에 설치하여 두 수신 안테나의 출력을 합성하거나 양호한 출력을 선택하여 수신하는 방법이 사용되는 페이딩은?
     1. 간섭성 페이딩
     2. 편파성 페이딩
     3. 흡수성 페이딩
     4. 선택성 페이딩

     정답 : []
     정답률 : 77%

60. 다음 중 자기람 현상에 대한 설명으로 틀린 것은?
     1. 고위도 지방이 심하게 나타난다.
     2. 야간보다 주간에 많이 나타난다.
     3. 지자계의 급격한 변동을 발생시킨다.
     4. 태양 표면의 폭발에 의해 방출된 다량의 대전입자가 지구에 도달하기 때문에 야기된다.

     정답 : []
     정답률 : 78%
     <문제 해설>
주간 및 야간 구분이 없다.
[해설작성자 : 수험생]

4과목 : 무선통신 시스템


61. 다음 중 무선 송신기에서 발생하는 스퓨리어스의 발사 방지 방법이 아닌 것은?
     1. 전력 증폭단의 바이어스를 취한다.
     2. 급전선에 트랩(Trap)을 삽입한다.
     3. 증폭단과 공중선 결합회로에 π형 회로를 사용한다.
     4. 전력 증폭단을 Push-Pull로 접속한다.

     정답 : []
     정답률 : 54%
     <문제 해설>
송신기에서 발사되는 스퓨리어스 방사를 적게 하기 위한 방법
1. Q를 될 수 있는 한 크게 한다.
2. 송신기 종단과 안테나의 결합도는 스퓨리어스에 대해 결합도가 떨어지게 한다.
3. 종단과 안테나 사이에 파이형 결합회로를 사용한다.
4. 급전선에 스퓨리어스에 대한 trap 회로를 설치ㅏㄴ다.
5. 여진 전압을 크게 하지 않는다.
6. 종단 전력 증폭관은 push-pull로 접속한다.
[해설작성자 : 밍더사이즈]

62. 30개의 구간을 망형으로 연결하기 위해 필요한 회선 수는 몇 개인가?
     1. 435개
     2. 400개
     3. 380개
     4. 200개

     정답 : []
     정답률 : 87%
     <문제 해설>
N(N-1)/2
[해설작성자 : 라면]

63. QPSK 변조방식을 사용하는 통신에서 데이터 전송속도가 9,600[bps]일 때, 변조속도는 얼마인가?
     1. 1,600[baud]
     2. 2,400[baud]
     3. 3,200[baud]
     4. 4,800[baud]

     정답 : []
     정답률 : 70%
     <문제 해설>
QPSK:4진 PSK방식
9,600[bps]->4,800[baud]
[해설작성자 : NICE]

64. 다음 중 마이크로 웨이브(Micro Wave) 통신에 대한 설명으로 틀린 것은?
     1. 사용주파수의 범위가 넓다.
     2. PTP(Point to Point) 통신이 가능하다.
     3. 중계없이 원거리 통신이 가능하다.
     4. 외부잡음의 영향이 적다.

     정답 : []
     정답률 : 70%
     <문제 해설>
마이크로 웨이브->원거리X
[해설작성자 : NICE]

65. 이동통신시스템 기지국의 최번 시(Busy Hour Traffic) 1시간 동안 총 통화 호수가 1,650호이고 평균 통화 시간이 2분일 때 통화량은?
     1. 42[Erl]
     2. 55[Erl]
     3. 68[Erl]
     4. 74[Erl]

     정답 : []
     정답률 : 79%
     <문제 해설>
1시간(60분):1,650호=2분:x
x=55
[해설작성자 : NICE]

66. 다음 중 이동통신시스템에서 순방향 채널에 해당되지 않는 것은?(오류 신고가 접수된 문제입니다. 반드시 정답과 해설을 확인하시기 바랍니다.)
     1. Sync Channel
     2. Paging Channel
     3. Traffic Channel
     4. Access Channel

     정답 : []
     정답률 : 67%
     <문제 해설>
순방향 채널: Pilot채널, Sync(동기)채널, Paging(호출)채널, Traffic(통화)채널
[해설작성자 : comcbt.com 이용자]

67. 무선통신시스템에서 기지국과 이동국과의 다중 경로로 인하여 신호가 통달되는 거리의 차가 최대 2[km]이고 전송속도가 512[kbps]일 때 최소 보호 비트는 얼마인가?
     1. 2비트
     2. 4비트
     3. 6비트
     4. 8비트

     정답 : []
     정답률 : 56%
     <문제 해설>
보호 비트수[bit] = 거리차[km]/전송속도[kbps]
[해설작성자 : 김순자]

68. 다음 중 CDMA 시스템의 용량을 결정하는 주요 파라미터가 아닌 것은?
     1. 채널간 간섭
     2. 음성 활성화율
     3. 주파수 재사용 효율
     4. 낮은 호 손실률

     정답 : []
     정답률 : 64%

69. 다음 중 디지털TV 변조방식인 8VSB의 성상도(Constellation)으로 맞는 것은?
     1.
     2.
     3.
     4.

     정답 : []
     정답률 : 77%

70. 다음 중 브로드밴드(Broad Band) 전송 방식의 특징이 아닌 것은?
     1. 통신경로를 여러 개의 주파수 대역으로 나누어 이용한다.
     2. 한 회선으로 하나의 신호만 전송한다.
     3. Audio/Video 등에 대한 전송도 가능하다.
     4. 주파수 분할 다중화 방식을 이용한다.

     정답 : []
     정답률 : 78%

71. 다음 중 블루투스(Bluetooth)의 특징이 아닌 것은?
     1. 데이터 전송 거리는 10[m] 정도이며 최대 100[m]까지 가능하지만 이 경우 파워의 소모가 크다.
     2. 전송방식은 주파수 이동 대역 확산 방식을 사용하였으며 간섭과 페이딩에 강인하도록 설계되었다.
     3. 유선 네트워크를 구성할 수 있다.
     4. 사용주파수 대역은 2.4[GHz]의 ISM(Industrial Scientific Medical) 대역을 사용한다.

     정답 : []
     정답률 : 83%
     <문제 해설>
블루투스는 2.4GHz 이고 무선통신에 사용
[해설작성자 : 킹테나]

72. 다음 중 링크를 경유하는 통신에서 MAC(Media Access Control) 프로토콜이 필요한 이유가 아닌 것은?
     1. 매체를 공유하여 사용하는 경우에 여러 단말사이의 경합이 불가피하여 조정이 필요하다.
     2. 매체에서 문제가 발생하여 전송에서 오류가 발생하였을 때 이를 극복하기 위한 방안이 필요하다.
     3. 매체의 특성에 적합한 경로로 정보가 전달될 수 있도록 하는 방안이 필요하다.
     4. 매체에서 문제가 발생하여 전송에서 오류가 발생하는 것을 예방하기 위한 방안이 필요하다.

     정답 : []
     정답률 : 66%

73. 다음의 문제가 발생하는 것을 막아주는 프로토콜 기능은 어느 것인가?

    

     1. 동기화
     2. 순서결정
     3. 주소기능
     4. 다중화

     정답 : []
     정답률 : 86%

74. 다음 중 인접 계층간 통신을 위한 인터페이스는?
     1. SAP(Service Access Point)
     2. PDU(Protocol Data Unit)
     3. SDU(Service Data Unit)
     4. PCI(Programmable Communication Interface)

     정답 : []
     정답률 : 79%
     <문제 해설>
SAP(Service Access Point) : 위 계층과 아래 계층간의 인터페이스
PDU(Protocol Data Unit) : 동일 계층의 entity끼리 주고받는 정보
SDU(Service Data Unit) : 위, 아래 계층의 entity끼리 주고받는 정보
PCI(Protocol Control Information) : 제어정보, 헤더 및 트레일러
[해설작성자 : 밍더사이즈]

75. 다음 중 OSI 7계층에서 메시지 형식 변환, 암호화, 텍스트 압축 등의 역할을 하는 계층은?
     1. 표현 계층
     2. 세션 계층
     3. 네트워크 계층
     4. 데이터링크 계층

     정답 : []
     정답률 : 69%
     <문제 해설>
표현 계층(Presentation Layer)
- 기능:데이터 표현에 차이가 있는 응용처리에서의 제어 구조를 제공
- 데이터 표현의 차이:ASCII, JPEG, MPEG 등의 번역을 말함
- 전송하는 데이터의 인코딩, 디코딩, 암호화, 코드 변환 등을 수행!!!!!!!!!!!!!!
- 예)ASCII, JPEG, MPEG
[해설작성자 : NICE]

76. 다음 중 HDLC(High-Level Data Link Control)에 대한 설명으로 틀린 것은?
     1. CRC 방식의 오류 검출을 수행한다.
     2. 임의의 비트 패턴 전송이 불가능하다.
     3. 신뢰성이 높은 전송이 가능하다.
     4. 수신측의 응답을 기다리지 않고 연속으로 데이터를 전송할 수 있다.

     정답 : []
     정답률 : 76%
     <문제 해설>
2번이 틀렸습니다. HDLC는 비트 스터핑 방식을 사용하여 임의의 비트 패턴도 전송할 수 있습니다.
데이터에 특별한 의미를 가지는 특정 비트 패턴을 삽입하고, 수신측에서는 이를 제거하여 원래의 데이터를 복원합니다.
[해설작성자 : KEITH PARK]

77. 다음 중 근거리 통신망 시스템 구축 계획 설계시 요구되는 네트워크 서비스의 종류가 아닌 것은?
     1. 데이터그램 서비스(Datagram Service)
     2. 가상회선 서비스(Connection Oriented Service)
     3. 패킷 전달 서비스(Packet Translation Service)
     4. 회선 연결 서비스(Circuit Connection Service)

     정답 : []
     정답률 : 59%

78. 다음 중 무선통신시스템 설계 시 단파가 중장파보다 불리한 점으로 옳은 것은?
     1. 복사효율이 나쁘다.
     2. 페이딩의 영향이 더 크다.
     3. 안테나 설치가 어렵다.
     4. 원거리 통신에 불리하다.

     정답 : []
     정답률 : 71%
     <문제 해설>
단파는 장중파보다 복사효율(방사효율)이 높고, 안테나 설치가 용이하고, 원거리 통신에 유리하나 페이딩의 영향이 더 크다는 것이 단점.
[해설작성자 : 7일 토나온다.]

79. 다음 중 통신시스템의 장애를 극복하기 위해 H/W Redundancy 방안이 아닌 것은?
     1. Duplex
     2. Active/Standby
     3. N-version Program
     4. Spare Redundancy

     정답 : []
     정답률 : 80%
     <문제 해설>
H/W Redundancy 방안
1. Duplex
2. Active/Standby 전환 방법
3. Active/Active 전환 방법
[해설작성자 : 밍더사이즈]

80. 다음 중 무선통신 네트워크의 유지보수에서 쓰이는 용어인 SINAD에 대한 설명으로 틀린 것은?
     1. Signal to Noise And Distortion의 약어이다.
     2. 무선통신 기지국의 기본적인 측정항목이다.
     3. SINAD를 측정하기 위해서 별도의 신호 발생기와 SINAD 계측기가 필요하다.
     4. 음성의 압축률을 측정할 때 이용되는 방법이다.

     정답 : []
     정답률 : 75%
     <문제 해설>
음성의 통화품질을 측정할때 이용되는 방법이다.
[해설작성자 : 라뀨]

81. 상대 주소지정(Relative Addressing)에서 사용하는 레지스터는 무엇인가? (문제 오류로 실제 시험에서는 모두 정답처리 되었습니다. 여기서는 1번을 누르면 정답처리 됩니다.)
     1. 일반 레지스터(General Register)
     2. 색인 레지스터(Index Register)
     3. 시프트 레지스터(Shift Register)
     4. 메모리 주소 레지스터(Memory Address Register)

     정답 : []
     정답률 : 82%
     <문제 해설>
상대 주소지정(Relative Addressing)방식 : 유효주소 = 명령어의 주소부분 + PC(program counter)
참고) 인덱스 레지스터 주소지정방식 : 유효주소 = 명령어의 주소부분 + 색인 레지스터(Index Register)
[해설작성자 : comcbt.com 이용자]

82. 다음 중 콘솔(Console)에 대한 설명으로 옳은 것은?
     1. 컴퓨터의 상태를 감시하고, 운용자의 필요에 의해서 동작에 개입할 수 있도록 설치된 단말기이다.
     2. 주기억 장치의 용량 부족을 보충하기 위해 외부에 부착하는 저장용 단말기이다.
     3. 타자기와 비슷한 형태의 입력 장치로서, 문자나 숫자의 키(Key)를 눌러서 컴퓨터에 입력시키는 단말기이다.
     4. 컴퓨터에서 처리된 결과를 인쇄하는 데 사용되는 단말기이다.

     정답 : []
     정답률 : 73%

83. 시프트 레지스터(Shift Register)의 내용을 오른쪽으로 2비트 이동시키면 원래 저장되었던 값은 어떻게 변화되는가?
     1. 원래 값의 2배
     2. 원래 값의 4배
     3. 원래 값의 1/2배
     4. 원래 값의 1/4배

     정답 : []
     정답률 : 78%
     <문제 해설>
오른쪽으로 한번 -> 나누기 2
왼쪽으로 한번 -> 곱하기 2
[해설작성자 : 또구리]

84. 다음 중 후입선출(LIFO) 처리제어 방식은?
     1. 스택
     2. 선형 리스트
     3.
     4. 원형 연결 리스트

     정답 : []
     정답률 : 76%
     <문제 해설>
스택 : LIFO
큐 : FIFO
[해설작성자 : 밍더사이즈]

85. 다음 중 다중프로그래밍(Multi-Programming)을 위하여 시스템이 갖추어야 할 것으로 관계가 가장 적은 것은?
     1. 인터럽트(Interrupt)
     2. 가상메모리(Virtual Memory)
     3. 시분할(Time Slicing)
     4. 스풀링(Spooling)

     정답 : []
     정답률 : 58%

86. 다음 중 운영체제의 프로세스 관리기능에 속하지 않는 것은?
     1. 사용자 및 시스템 프로세스의 생성과 제거
     2. 프로그램내 명령어 형식의 변경
     3. 프로세스 동기화를 위한 기법의 제공
     4. 교착상태 방지를 위한 기법 제공

     정답 : []
     정답률 : 67%

87. 프로그램 구현시 목적파일(Object File)을 실행 파일(Execute File)로 변환해 주는 프로그램은?
     1. 링커(Linker)
     2. 프리프로세서(Preprocessor)
     3. 인터프리터(Interpreter)
     4. 컴파일러(Comipler)

     정답 : []
     정답률 : 61%

88. 객체지향 언어의 세 가지 언어적 주요 특징이 아닌 것은?
     1. 추상 데이터 타입
     2. 상속
     3. 동적 바인딩
     4. 로더(Loader)

     정답 : []
     정답률 : 76%
     <문제 해설>
추상 데이터 타입(ADT): 객체지향 언어는 데이터와 해당 데이터를 처리하는 방법을 묶어서 클래스라는 형태로 표현하며, 이를 통해 추상화를 제공합니다. 즉, 데이터의 세부 구현을 숨기고 필요한 인터페이스만을 제공합니다.

상속 : 상속은 객체지향 언어의 핵심 개념 중 하나로, 기존의 클래스를 확장하여 새로운 클래스를 만들 수 있게 해줍니다. 이를 통해 코드의 재사용성과 유연성을 증가시킬 수 있습니다.

동적 바인딩 : 동적 바인딩은 실행 시점에서 메소드 호출을 결정하는 방식으로, 객체지향 언어에서 다형성을 구현하는 데 사용됩니다. 이를 통해 동일한 메소드 이름이 다른 객체에서 다르게 동작할 수 있게 합니다.

로더 : 프로그램 실행 시 필요한 코드나 라이브러리를 메모리로 로딩하는 역할. 객체지향 언어의 주요 특징이 아닙니다.
[해설작성자 : KEITH PARK]

89. 다음 중 ROM(Read-Only Memory)에 저장하기 가장 적합한 것은?
     1. 사용자 프로그램
     2. BIOS(Basic Input Output System)
     3. 인터럽트 벡터
     4. 사용자 데이터

     정답 : []
     정답률 : 77%

90. CPU가 어떤 프로그램을 순차적으로 수행하는 도중에 외부로부터 인터럽트 요구가 들어오면, 원래의 프로그램을 중단하고, 인터럽트를 위한 프로그램을 먼저 수행하게 되는데 이와 같은 프로그램을 무엇이라 하는가?
     1. 명령 실행 사이클
     2. 인터럽트 서비스 루틴
     3. 인터럽트 사이클
     4. 인터럽트 플래그

     정답 : []
     정답률 : 79%

91. 정부가 전파자원의 이용촉진에 필요한 시책을 수립하고 시행하여 하는 목적은?
     1. 한정된 전파자원을 공공복리의 증진에 최대한 활용하기 위함이다.
     2. 무한한 전파자원을 개발하고 전파통신을 비롯한 과학기술 발전을 촉진하기 위함이다.
     3. 새로운 전파자원의 이용기술을 개발하여 국제간 주파수 할당 분배를 확보하기 위함이다.
     4. 전파자원에 대한 이용기술을 원활히 개발하고 효율적으로 이용하기 위함이다.

     정답 : []
     정답률 : 67%

92. 다음 중 준공검사를 받은 후 운용하여야 하는 무선국은?
     1. 국가안보 또는 대통령 경호를 위하여 개설하는무선국
     2. 공해 또는 극지역에 개설하는 무선국
     3. 외국에서 운용할 목적으로 개설한 육상이동지구국
     4. 도로관리를 위하여 개설하는 기지국

     정답 : []
     정답률 : 80%

93. 전파형식의 표시방법 중 등급의 기본특성에 대한 표현으로 옳은 것은?
     1. 첫째기호는 주반송파의 변조형식
     2. 둘째기호는 다중화 특성
     3. 셋째기호는 주반송파를 변조시키는 신호의 특성
     4. 넷째기호는 송신할 정보

     정답 : []
     정답률 : 76%
     <문제 해설>
첫째 기호 : 주반송파 변조형식
둘째 기호 : 주반송파를 변조시키는 신호의 특징
셋째 기호 : 송신할 정보형태
[해설작성자 : 밍더사이즈]

94. 의료용 전파응용설비는 몇 와트를 초과하는 경우 허가를 받아야 하는가?
     1. 30와트
     2. 50와트
     3. 80와트
     4. 100와트

     정답 : []
     정답률 : 78%

95. 다음 중 적합인증 대상기자재에 해당되지 않는 것은?
     1. PCM단국장치
     2. 위성비상위치지시용 무선표지설비의 기기
     3. 레벨조정기(전송망 기자재)
     4. 자동차 장착 디지털기기

     정답 : []
     정답률 : 80%
     <문제 해설>
4.자동차 장착 디지털기기 -> 적합'등록' 대상 기자재(지정시험기관 시험 후 적합등록하는 기자재(제3조제2항 관련))
[해설작성자 : NICE]

96. 전자파 장해를 일으키는 기자재가 ‘전자파 적합’의 판정을 받으려면 다음 중 어느 기준에 적합하여야 하는가?
     1. 전기통신설비에 관한 기술기준
     2. 정보통신기기 인증규칙
     3. 전자파장해 방지기준
     4. 전자파강도 측정기준

     정답 : []
     정답률 : 78%

97. 송신장치의 종단증폭기의 정격출력을 의미하는 것은?
     1. 평균전력(PY)
     2. 첨두포락선전력(PX)
     3. 반송파전력(PZ)
     4. 규격전력(PR)

     정답 : []
     정답률 : 60%
     <문제 해설>
정격->규격!!!!
[해설작성자 : NICE]

98. 무선설비에 전원을 공급하는 고압전기용 전기설비에는 안전시설을 하도록 하고 있다. 여기에서 고압전기란?
     1. 600[V]를 초과하는 고주파 및 교류전압과 750[V]를 초과하는 직류전압
     2. 750[V]를 초과하는 고주파 및 교류전압과 750[V]를 초과하는 직류전압
     3. 1000[V]를 초과하는 고주파 및 교류전압과 직류전압
     4. 220[V]를 초과하는 고주파 및 교류전압

     정답 : []
     정답률 : 88%

99. 무선설비의 주요 기자재를 검수하는 방법 중 시험에 의한 방법의 검수 내용으로 틀린 것은?
     1. 검수방법은 감리사가 입회하여 재료제작자의 시험설비나 공장시험장에서 시험을 실시하고 그 결과로 얻은 성적표로 검수한다.
     2. 감리사가 공공시험기관에 시험을 의뢰 요청하여 실시하고 그 시험성적 결과에 의하여 검수한다.
     3. 규격을 증명하는 KS 등의 마크가 표시되어 있는 규격품이나 적절하다고 인정할 수 있는 품질증명이 첨부되어 있는 제품을 대상으로 한다.
     4. 대상 기자재의 범위는 공사상 중요한 기자재 또는 특별 주문품, 신제품 등으로써 품질 성능을 판정할 필요가 있는 기자재로 한다.

     정답 : []
     정답률 : 87%

100. 다음 중 무선설비 기성부분검사와 준공검사에 대한 설명으로 알맞은 것은?
     1. 공사현장에 주요공사가 완료되고 현장이 정리단계에 있을 때에는 준공 6개월 전에 준공기한 내 중공 가능여부 및 미진사항의 사전보완을 위해 최종 준공검사를 실시하여야 한다.
     2. 감리사는 시공자로부터 시험운용계획서를 제출받아 검토ㆍ확정하여 시험 운용 5일 전까지 발주자에게만 통보하여야 한다.
     3. 예비준공검사는 감리사가 확인한 정산설계도서 등에 의거 검사하여야 하며, 그 검사 내용은 준공검사에 준하여 철저히 시행하여야 한다.
     4. 감리업자 대표자는 기성부분검사원 또는 준공계를 접수하였을 때는 10일 안에 소속 감리사 중 특급감리사급 이상의 자를 검사자로 임명하여, 이 사실을 즉시 본인과 발주자에게 통보하여야 한다.

     정답 : []
     정답률 : 71%


정 답 지

1

2

3

4

5

6

7

8

9

10

11

12

13

14

15

16

17

18

19

20

21

22

23

24

25

26

27

28

29

30

31

32

33

34

35

36

37

38

39

40

41

42

43

44

45

46

47

48

49

50

51

52

53

54

55

56

57

58

59

60

61

62

63

64

65

66

67

68

69

70

71

72

73

74

75

76

77

78

79

80

81

82

83

84

85

86

87

88

89

90

91

92

93

94

95

96

97

98

99

100

무선설비기사 필기 기출문제(해설) 및 CBT 2015년10월04일을 이용해 주셔서 감사합니다.
, 필기, 기출문제, 전자문제집, CBT, 온라인, 모의테스트, 모의고사



List of Articles
번호 제목 글쓴이 날짜 조회 수
156 무선설비기사 필기 기출문제(해설) 및 CBT 2011년03월13일(465) new 좋은아빠되기 2025.10.04 1
155 무선설비기사 필기 기출문제(해설) 및 CBT 2011년05월29일(466) new 좋은아빠되기 2025.10.04 1
154 무선설비기사 필기 기출문제(해설) 및 CBT 2011년09월25일(467) new 좋은아빠되기 2025.10.04 1
153 무선설비기사 필기 기출문제(해설) 및 CBT 2012년03월11일(468) new 좋은아빠되기 2025.10.04 1
152 무선설비기사 필기 기출문제(해설) 및 CBT 2012년06월02일(469) new 좋은아빠되기 2025.10.04 1
151 무선설비기사 필기 기출문제(해설) 및 CBT 2012년10월06일(470) new 좋은아빠되기 2025.10.04 1
150 무선설비기사 필기 기출문제(해설) 및 CBT 2013년03월17일(471) new 좋은아빠되기 2025.10.04 1
149 무선설비기사 필기 기출문제(해설) 및 CBT 2013년06월09일(472) new 좋은아빠되기 2025.10.04 1
148 무선설비기사 필기 기출문제(해설) 및 CBT 2013년10월12일(473) new 좋은아빠되기 2025.10.04 1
147 무선설비기사 필기 기출문제(해설) 및 CBT 2014년03월09일(474) new 좋은아빠되기 2025.10.04 1
146 무선설비기사 필기 기출문제(해설) 및 CBT 2014년05월31일(475) new 좋은아빠되기 2025.10.04 1
145 무선설비기사 필기 기출문제(해설) 및 CBT 2014년10월04일(476) new 좋은아빠되기 2025.10.04 1
144 무선설비기사 필기 기출문제(해설) 및 CBT 2015년03월07일(477) new 좋은아빠되기 2025.10.04 1
143 무선설비기사 필기 기출문제(해설) 및 CBT 2015년06월06일(478) new 좋은아빠되기 2025.10.04 1
» 무선설비기사 필기 기출문제(해설) 및 CBT 2015년10월04일(479) new 좋은아빠되기 2025.10.04 1
141 무선설비기사 필기 기출문제(해설) 및 CBT 2016년03월05일(480) new 좋은아빠되기 2025.10.04 1
140 무선설비기사 필기 기출문제(해설) 및 CBT 2016년06월11일(481) new 좋은아빠되기 2025.10.04 1
139 무선설비기사 필기 기출문제(해설) 및 CBT 2016년10월08일(482) new 좋은아빠되기 2025.10.04 1
138 무선설비기사 필기 기출문제(해설) 및 CBT 2017년03월05일(483) new 좋은아빠되기 2025.10.04 1
137 무선설비기사 필기 기출문제(해설) 및 CBT 2017년06월10일(484) new 좋은아빠되기 2025.10.04 1
Board Pagination Prev 1 ... 7 8 9 10 11 12 13 14 15 16 ... 19 Next
/ 19