자격증 필기 기출문제



산림산업기사 필기 기출문제(해설) 및 CBT 2016년05월08일(621)

최강 자격증 기출문제 전자문제집 CBT : www.comcbt.com


전자문제집 CBT란?

종이 문제집이 아닌 인터넷으로 문제를 풀고 자동으로 채점하며 모의고사, 오답 노트, 해설까지 제공하는
무료 기출문제 학습 프로그램으로 실제 상설검정에서 사용하는 OMR 형식의 CBT를 제공합니다.


최신 산림산업기사 필기 기출문제 : [다운로드]

1과목 : 조림학


1. 종자를 건조 상태로 저장하는 수종으로 가장 부적합한 것은?
     1. 편백
     2. 삼나무
     3. 소나무
     4. 굴참나무

     정답 : []
     정답률 : 72%
     <문제 해설>
건조저장법:소나무,해송,리기다소나무,삼나무,편백,낙엽송 등 소립자를 가지는 침엽수종에 적용.
[해설작성자 : comcbt.com 이용자]

Quercus variabilis(굴참나무)
[해설작성자 : comcbt.com 이용자]

2. 겉씨식물의 특성으로 옳은 것은?
     1. 헛물관이 있다.
     2. 잎은 그물맥이다.
     3. 중복수정을 한다.
     4. 밑씨가 씨방 속에 들어 있다.

     정답 : []
     정답률 : 76%

3. 잎의 기공에서 이뤄지는 개폐기작과 가장 관련 있는 것은?
     1. 인산
     2. 칼륨
     3. 칼슘
     4. 질소

     정답 : []
     정답률 : 68%
     <문제 해설>
칼륨: 산소의 활동과 관계가 깊고 부족하면 탄수화물의 전류와 질소대사에 지장이 있다. 식물세포는 칼륨과 나트륨을 구별하고 나트륨은 칼륨의 대용이 될수 없으며 칼륨의 전류는 매우 쉽게 진행된다. 이것은 생장이 왕성한 부분에 많고 근계의 생장을 촉진시키며 결실을 돕는다. 또한 광합성에 의한 탄수화물의 생성과 그 이동, 특히 전분의 생성에 필요하다.
[해설작성자 : comcbt.com 이용자]

4. 가식에 대한 설명으로 옳지 않은 것은?
     1. 상록수는 묘목 전체를 묻는다.
     2. 가식장소는 배수가 잘 되는 곳을 택한다.
     3. 춘기에는 묘목의 끝을 북쪽으로 묻는다.
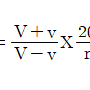
     4. 오랫동안 가식할 때는 다발을 풀고 낱개로 펴서 묻는다.

     정답 : []
     정답률 : 75%
     <문제 해설>
묘목 전체를 묻을 수 없다(뿌리보다 약간 높게 묻어준다).
[해설작성자 : comcbt.com 이용자]

5. 밀식조림에 대한 설명으로 옳지 않은 것은?
     1. 수관이 빨리 울폐되고 임지의 침식을 막는다.
     2. 조림 비용이 더 소요되고 작업량이 많아진다.
     3. 개체목 간 경쟁으로 인한 근계발달이 촉진된다.
     4. 키가 큰 나무를 빨리 이용하고자 할 때 유리하다.

     정답 : []
     정답률 : 75%
     <문제 해설>
밀식은 개체목 간 경쟁으로 인하여 근계발달이 저하된다.
[해설작성자 : comcbt.com 이용자]

6. 무성번식에 대한 설명으로 옳지 않은 것은?
     1. 클론 보존이 가능하다.
     2. 모수보다 우수한 유전형질 변화를 기대할 수 있다.
     3. 종자번식이 어려운 수목의 후계목 조성이 가능하다.
     4. 소나무는 다른 수종에 비하여 삽목 발근이 어려운 편이다.

     정답 : []
     정답률 : 80%
     <문제 해설>
2. 모수와 동일한 유전자형의 묘목을 얻을 수 있다.
[해설작성자 : comcbt.com 이용자]

7. 인공조림의 장점이 아닌 것은?
     1. 집약적인 관리가 가능하다.
     2. 조림수종 선택의 폭이 넓다.
     3. 동령단순 경제림 조성이 용이하다.
     4. 천연갱신에 비해 활착률이 더 높다.

     정답 : []
     정답률 : 83%

8. 어린나무 가꾸기나 천연림 보육작업 등의 잡목 솎아내기 작업이 끝난 후부터 최종 수확 때까지 숲을 가꾸는 작업은?
     1. 간벌
     2. 제벌
     3. 덩굴제거
     4. 가지치기

     정답 : []
     정답률 : 81%

9. 산림토양 내 유기물에 대한 설명으로 옳지 않은 것은?
     1. 보수력을 감소시킨다.
     2. 토양을 산성화 시킨다.
     3. 토양구조를 개량한다.
     4. 무기영양소의 흡착능력을 증가시킨다.

     정답 : []
     정답률 : 66%
     <문제 해설>
유기물은 보수력을 증가시킨다.
[해설작성자 : comcbt.com 이용자]

10. 수분 이후 종자성숙까지 소요되는 기간이 가장 긴 수종은?
     1. 회양목
     2. 사시나무
     3. 졸참나무
     4. 상수리나무

     정답 : []
     정답률 : 63%

11. 잎보다 꽃이 먼저 피는 수종은?
     1. Juglans regia
     2. Prunus yedoensis
     3. Aesculus turbinata
     4. Ligustrum obtusifolium

     정답 : []
     정답률 : 64%
     <문제 해설>
2.왕벚나무 : 꽃이 먼저 핀다.
1.호두나무 : 잎이 먼저 핀다.
3.칠엽수     : 잎이 먼저 핀다.
4.쥐똥나무 : 잎이 먼저 핀다.
[해설작성자 : comcbt.com 이용자]

12. 목재 수피 등 물질적 생산을 위하여 경영되는 산림은?
     1. 원시림
     2. 단순림
     3. 경제림
     4. 보안림

     정답 : []
     정답률 : 92%

13. 묘포지에 가장 알맞은 토양은?
     1. 사토
     2. 양토
     3. 점토
     4. 사양토

     정답 : []
     정답률 : 84%

14. 근주묘(뿌리묘목)의 표시로 옳은 것은?
     1. 0/0묘
     2. 1/2묘
     3. 0/2묘
     4. 1/1묘

     정답 : []
     정답률 : 72%
     <문제 해설>
0/2묘:뿌리의 연령이 2년, 지상부는 절단 제거한 삽목표로 이것을 뿌리묘라고 한다.
[해설작성자 : comcbt.com 이용자]

15. 종자의 순량율에 대한 설명으로 옳은 것은?
     1. 종자 1000립의 무게
     2. 실중에 발아율을 곱한 값
     3. 종자 100립 중에서 발아한 종자의 비율
     4. 전체 종자 무게 중에서 순정종자 무게의 비율

     정답 : []
     정답률 : 82%

16. 종자의 구조에 대한 설명으로 옳은 것은?
     1. 배, 내피, 외피로 구성된다.
     2. 배, 배유, 종피로 구성된다.
     3. 배유, 자엽, 배축으로 구성된다.
     4. 유아, 자엽, 외곽조직으로 구성된다.

     정답 : []
     정답률 : 83%
     <문제 해설>
종자는 종피, 내종피, 배유, 배 로 구성된다.
[해설작성자 : comcbt.com 이용자]

17. 노지양묘에서 판갈이 시작년도가 가장 늦은 것은?
     1. 곰솔
     2. 소나무
     3. 삼나무
     4. 가문비나무

     정답 : []
     정답률 : 66%
     <문제 해설>
Picea jezoensis (가문비나무)
[해설작성자 : comcbt.com 이용자]

18. 수목이 생명현상을 유지하는 데 에너지의 역할이 아닌 것은?
     1. 세포의 분열
     2. 체온의 유지
     3. 탄수화물의 저장
     4. 무기영양소의 흡수

     정답 : []
     정답률 : 67%

19. 산림용 고형복합비료의 주성분이 아닌 것은?
     1. 인산
     2. 칼륨
     3. 칼슘
     4. 질소

     정답 : []
     정답률 : 68%

20. 다음 설명에 해당하는 작업종은?

    

     1. 모수작업
     2. 개벌작업
     3. 택벌작업
     4. 중림작업

     정답 : []
     정답률 : 91%

2과목 : 산림보호학


21. 흡즙성 해충이 아닌 것은?
     1. 뽕나무이
     2. 버들잎벌레
     3. 분홍다리노린재
     4. 진달래방패벌레

     정답 : []
     정답률 : 56%
     <문제 해설>
성충과 유충이 버드나무, 포플러류의 잎을 식해한다. 묘목이나 어린 나무에 피해가 심하다.(네이버 지식백과)
[해설작성자 : 골프의신]

22. 살충제 종류별 작용기작으로 옳지 않은 것은?
     1. 소화중독제 : 해충의 입으로 들어가면 소화관내에서 중독작용을 일으킨다.
     2. 침투성 살충제 : 약제를 해충의 체표면에 직접 살포하여 중독작용을 일으킨다.
     3. 훈증제 : 약제의 유효성분을 가스상태로 해충의 호흡기에 침입하여 사망시킨다.
     4. 제충제 : 해충을 즉시 죽이지 않고 발육과 생식을 억제하여 해충의 밀도를 저하시킨다.

     정답 : []
     정답률 : 76%
     <문제 해설>
침투성 살충제
식물의 뿌리나 잎, 줄기 등으로 약제를 <흡수시켜> 식물체 내의 각 부분에 도달하게 하고, 해충이 식물체를 섭식하면 살충 성분이 작용하게 한다. 산림기사2020년 4회
식물 뿌리·줄기·잎을 통하여 <식물체 내로> 들어가 식물의 즙액과 함께 식물 전체에 퍼져 식물을 가해하는 해충에 작용하는 살충제는? 산기2016년 1회
[해설작성자 : 르망]

23. 해충의 개체군 동태를 알기위해서 주로 사용하는 것으로 충태별 사망수, 사망요인, 사망률 등의 항목으로 구성된 표는?
     1. 생명표
     2. 생태표
     3. 생식표
     4. 수명표

     정답 : []
     정답률 : 82%

24. 항생제 계통인 살균제는?
     1. 만코제브 수화제
     2. 메탈락실 수화제
     3. 보르도혼합액 입상수화제
     4. 옥시테트라사이클린 수화제

     정답 : []
     정답률 : 71%
     <문제 해설>
1. 만코제브 수화제 : 살균
2. 메탈락실 수화제 : 살균
3. 보르도혼합액 입상수화제 : 살균
4. 옥시테트라사이클린 수화제 : 항생

농약에는 살충제, 살균제, 제초제, 살선충제, 생장조절제 등 여러 종류가 있고,
이 중 항생제는 살균제의 한 종류로 곰팡이, 세균, 바이러스 병원균을을 억제하거나
소멸하는데 사용.

[예시]
스트렙토마이신 : 과수 화상병, 벼 도열병 등에 사용
옥시테트라사이클린 : 균핵병, 세균성 점무늬병 등에 사용
가스가마이신 : 세균 및 균사류 병해에 사용
[해설작성자 : 나그네]

25. 오동나무 빗자루병의 병원체는?
     1. 세균
     2. 곰팡이
     3. 바이러스
     4. 파이토플라스마

     정답 : []
     정답률 : 86%

26. 유충이 침엽수와 활엽수를 모두 가해하는 해충은?
     1. 독나방
     2. 매미나방
     3. 천막벌레나방
     4. 미국흰불나방

     정답 : []
     정답률 : 64%
     <문제 해설>
매미나방(집시나방)의 가해 수종은 낙엽송,적송,참나무,밤나무,오리나무 등.
[해설작성자 : comcbt.com 이용자]

27. 기주식물의 수간 및 가지 등에 구멍을 뚫어 피해를 주는 천공성 해충이 아닌 것은?
     1. 박쥐나방
     2. 알락하늘소
     3. 버들바구미
     4. 솔껍질깍지벌레

     정답 : []
     정답률 : 67%
     <문제 해설>
솔껍질깍지벌레는 흡즙성 해충이다.
[해설작성자 : 르망]

28. 다음 ()안에 들어갈 용어는?

    

     1. A : 잎, B : 줄기
     2. A : 잎, B : 열매
     3. A : 뿌리, B : 줄기
     4. A : 뿌리. B : 열매

     정답 : []
     정답률 : 82%

29. 곤충의 청각기관이 아닌 것은?
     1. 감각털
     2. 고막기관
     3. 알라타체
     4. 존스톤기관

     정답 : []
     정답률 : 73%
     <문제 해설>
알라타체 - 곤충류에 있는 내분비선
[해설작성자 : 경자]

30. 균류에 대한 설명으로 옳지 않은 것은?
     1. 자낭균류 : 균류 중 가장 많이 종이 있으며 균사에 격벽이 있다.
     2. 난균류 : 균사에 격벽이 없고 무성포자인 유주포자를 생성한다.
     3. 담자균류 : 대부분의 버섯이 속하는 것으로 격벽을 가지고 있는 다세포이다.
     4. 불완전균류 : 유성생식으로 번식하며 분생포자 형성기관에 따라 재분류된다.

     정답 : []
     정답률 : 69%
     <문제 해설>
불완전균류 - 무성생식

31. 지표화로부터 연소되는 경우가 많고, 나무의 공동부가 굴뚝과 같은 작용을 하는 산불의 종류는?
     1. 수간화
     2. 수관화
     3. 지상화
     4. 지중화

     정답 : []
     정답률 : 82%
     <문제 해설>
(1) 산불의 형태

① 지표화 (地表火, Surface Fire)
△ 낙엽, 초본류, 지피물, 지상 관목, 치수 등 지표면의 연료가 타는 화재.
△ 가장 일반적이며 산불의 시작 형태.
△ 지표화 → 지중화, 수간화, 수관화로 확산 가능.
△ 연소속도: 평균 4~7km/h, 지형·바람의 영향을 받음

② 지중화 (地中火, Ground Fire)
△ 이탄질, 부식층 등 지하 연료가 타는 화재
△ 산소 공급 부족 → 불꽃과 연기 적음, 대신 열 지속
△ 육안 식별 어려움 → 뒷불 정리 주의


③ 수간화 (樹幹火)
△ 나무 줄기가 타는 화재
△ 지표화에서 파생되는 경우 많음
△ 줄기 속이 썩어 속이 비었을 경우 굴뚝 작용으로 불꽃 비산 → 다른 지역 점화 유발

④ 수관화 (樹冠火, Crown Fire)
△ 나무의 수관(윗부분)*이 타는 화재
△ 수관에서 수관으로 공중을 통해 확산
△ 진화가 어렵고, 피해 규모 가장 큼
△ 바람을 통해 불씨 비산, 새로운 화재 발생 가능

【출처 : 네이버 블로그】
[해설작성자 : 나그네]

32. 모잘록병의 피해형태가 아닌 것은?
     1. 직립형
     2. 근부형
     3. 도복형
     4. 지중부패형

     정답 : []
     정답률 : 65%

33. 수목병을 발생하는 세균 중 막대 모양은?
     1. 간균
     2. 구균
     3. 나선균
     4. 방선균

     정답 : []
     정답률 : 70%

34. 볕데기(피소현상)이 잘 발생하지 않는 수종은?
     1. 단풍나무
     2. 굴참나무
     3. 오동나무
     4. 배롱나무

     정답 : []
     정답률 : 78%

35. 수목 바이러스병 진단에 사용하는 지표식물이 아닌 것은?
     1.
     2. 담배
     3. 버섯
     4. 명아주

     정답 : []
     정답률 : 71%

36. 삼나무 붉은마름병균은 어느 균류에 속하는가?
     1. 조균
     2. 자낭균
     3. 담자균
     4. 불완전균

     정답 : []
     정답률 : 48%
     <문제 해설>
불완전균류에 의한 수병은 삼나무의 붉은마름병,오동나무의 탄저병,오리나무의 갈색무늬병,측백나무의 잎마름병 등이 있다.
[해설작성자 : comcbt.com 이용자]

37. 소나무좀의 월동 충태는?
     1.
     2. 유충
     3. 성충
     4. 번데기

     정답 : []
     정답률 : 65%
     <문제 해설>
소나무좀은 수피 틈에서 월동한 성충이 3월 하순~4월 초순 평균기온이 15도씨 정도가 2~3일 계속되면 월동처에서 나와 쇠약목,벌채목의 수피에 구멍을 뚫고 침입한다.
[해설작성자 : comcbt.com 이용자]

38. 수목의 잎을 가해하는 식엽성 해충이 아닌 것은?
     1. 낙엽송잎벌
     2. 전나무잎응애
     3. 참나무재주나방
     4. 잣나무넓적잎벌

     정답 : []
     정답률 : 59%
     <문제 해설>
전나무잎응애 - 성충과 약충이 주로 잎 앞면에서 수액을 빨아먹어 엽록소가 파괴되면서 잎이 노랗게 변한다
[해설작성자 : 경자]

39. 녹병균의 생활사에서 핵융합으로 핵상이 2n으로 되는 시기는?
     1. 녹포자
     2. 녹병정자
     3. 겨울포자
     4. 여름포자

     정답 : []
     정답률 : 50%

40. 성충은 흡즙 가해하고 유충은 잎을 식엽 가해하는 것은?
     1. 솔나방
     2. 소나무좀
     3. 오리나무잎벌레
     4. 느티나무벼룩바구미

     정답 : []
     정답률 : 37%

3과목 : 임업경영학


41. 다음 조건에서 시장가역산법에 의한 임목의 m3당 매매가는?

    

     1. 약 21,100원
     2. 약 22,800원
     3. 약 25,600원
     4. 약 29,700원

     정답 : []
     정답률 : 54%
     <문제 해설>
단위재적당 임목가=0.8*(100.00/(1+0.13)-60,000)=22,797
[해설작성자 : comcbt.com 이용자]

X=f(A/1+mp+r - B)
X : 단위재적당 임목가
f : 이용률(조재율)
A : 단위재적당 원목시장가
B : 벌목비, 운반비, 기타비용일체
m : 자본회수기간
p : 월이율
r : 기업이익률
[해설작성자 : comcbt.com 이용자]

0.8×(100,000÷(1+0.13)−60,000) = 22,796.46 ...
약 22,800원
[해설작성자 : comcbt.com 이용자]

42. 10년 후에 산림의 가치가 백만원이고 산림의 연간 생장률(총 가격생장률)이 6%이면 현재가는?
     1. 458,400원
     2. 558,400원
     3. 1,690,800원
     4. 1,790,800원

     정답 : []
     정답률 : 58%
     <문제 해설>
전가= 후가/(1+0,06)^10 =1,000,000/1.7908 =558,400
    전가는    현재가
    후가는    미래가 로 생각 하시면 됩니다
[해설작성자 : 천리향C]

43. 임황조사에서 경사도 구분으로 옳지 않은 것은?
     1. 험준지(험) : 경사 25°이상
     2. 완경사지(완) : 경사 15°미만
     3. 경사지(경) : 경사 15~20°미만
     4. 급경사지(급) : 경사 20~25°미만

     정답 : []
     정답률 : 73%
     <문제 해설>
험준지 25~30
절험지 30 이상
[해설작성자 : comcbt.com 이용자]

15도~30도까지는 5도씩 나눠서 구분
15도 미만은 완경사지
30도 이상은 절험지
[해설작성자 : comcbt.com 이용자]

44. 국유림경영계획의 산림구획에서 소반면적에 대한 설명으로 다음 (A)에 해당하는 것은?

    

     1. 0.1
     2. 0.5
     3. 1
     4. 100

     정답 : []
     정답률 : 71%

45. 법정상태와 관련된 용어에 대한 설명으로 옳지 않은 것은?
     1. 법정생장량 : 법정축적의 평균생장량이다.
     2. 법정축적 : 영급분배와 생장상태가 법정일 때 보유할 작업급으로서 전체 축적이다.
     3. 법정영급분배 : 해마다 균등한 수확을 할 수 있도록 각 영급의 면적을 동일하게 하는 것이다.
     4. 법정임분배치 : 임목 이용, 보호 및 갱신을 위하여 각 임분이 적절한 배치 상태를 유지하는 조건이다.

     정답 : []
     정답률 : 53%
     <문제 해설>
법정생장량 : 법정림 각 임분의 성장량의 합계, 법정림의 최노령임분의 재적과 같다.
[해설작성자 : 정여사]

46. 감가상각비 계산 방법 중 감가율은 일정하지만 상각비는 등비급수적으로 체감하는 것은?
     1. 정률법
     2. 정액법
     3. 등비급수법
     4. 연수합계법

     정답 : []
     정답률 : 54%

47. 연년생장량과 평균생장량과의 관계에 대한 설명으로 옳지 않은 것은?
     1. 성장 초기에는 연년생장량이 더 크다.
     2. 평균 생장량의 극대점에서는 연년 생장량이 더 크다.
     3. 연년생장량은 평균생장량보다 빨리 극대점을 가진다.
     4. 평균생장량이 극대점에 이르기까지는 연년생장량이 항상 더 크다.

     정답 : []
     정답률 : 68%
     <문제 해설>
평균 생장량의 극대점에서는 두 성장량의 크기가 같게 된다.
[해설작성자 : comcbt.com 이용자]

48. 임목자산의 구성 상태로서 질적지표를 나타내는 것은?
     1. 경영자가 보유하고 있는 전체 산림면적
     2. 경영자가 보유하고 있는 임목자산장비율
     3. 경영자가 보유하고 있는 임목자산 중에서 부채가 차지하는 비율
     4. 경영자가 보유하고 있는 임목자산 중에서 인공림이 차지하는 비율

     정답 : []
     정답률 : 68%

49. 다음 조건에서 작업시간비례법에 의한 총감가상각비는?

    

     1. 20,000원
     2. 22,500원
     3. 25,000원
     4. 30,000원

     정답 : []
     정답률 : 69%
     <문제 해설>
550.000-50.000/100.000= 5원
5000*5= 25000원
[해설작성자 : comcbt.com 이용자]

50. 임업경영의 경제적 특성에 대한 설명으로 옳지 않은 것은?
     1. 임업생산은 조방적이다.
     2. 공익성이 커서 제한성이 많다.
     3. 육성임업과 채취임업은 병존한다.
     4. 임업노동은 계절적 제약을 크게 받는다.

     정답 : []
     정답률 : 71%
     <문제 해설>
4. 임업노동은 계절적 제약 받지 않는다.
[해설작성자 : comcbt.com 이용자]

51. 어떤 재화로부터 장차 얻을 수 있을 것으로 기대되는 수익을 일정한 이율로 할인하여 구한 현재가를 무엇이라 하는가?
     1. 매매가
     2. 비용가
     3. 기망가
     4. 자본가

     정답 : []
     정답률 : 82%

52. 지위지수에 대한 설명으로 옳은 것은?
     1. 임지의 생산력 판단지표이다.
     2. 택벌작업을 하는 산림에 설정되는 기간개념이다.
     3. 10등급으로 임도 또는 도로까지의 거리를 100m단위로 구분하는 것이다.
     4. 작업급에 의한 산림의 생산조직화에 있어 이상적인 개념으로 제시된 산림조직이다.

     정답 : []
     정답률 : 74%

53. 수간석해도 작성방법에 해당하는 것은?
     1. 절충법
     2. 평행선법
     3. 원주등분법
     4. 삼각등분법

     정답 : []
     정답률 : 51%
     <문제 해설>
수간석해도 작성방법: 수고측정법,직선연장법,평행선법
[해설작성자 : comcbt.com 이용자]

54. 매년 말마다 산림관리비로 1000만원이 필요하고 연이율 5%일 때 자본가는?
     1. 50만원
     2. 1050만원
     3. 2억원
     4. 2억1천만원

     정답 : []
     정답률 : 58%
     <문제 해설>
10,000,000 / 0.05
따라서 2억원

55. 표준지 매목조사 중 흉고직경 측정에 대한 설명으로 옳지 않은 것은?
     1. 2cm 괄약을 이용한다.
     2. 흉고직경 6cm 이상이 측정 대상이다.
     3. 흉고란 땅 위에서 1.2m의 높이를 말한다.
     4. 흉고직경 측정기구로 아브네이레블이 있다.

     정답 : []
     정답률 : 74%
     <문제 해설>
아브네이레블은 수고측정기다.
[해설작성자 : comcbt.com 이용자]

4. 아브네이레블, 덴드로미터 - 수고 측정 기구
[해설작성자 : comcbt.com 이용자]

56. 다음 중 소반을 구획하는 경우가 아닌 것은?
     1. 지종구분이 서로 다를 때
     2. 임종 및 작업종이 서로 다를 때
     3. 임령 및 지위의 차이가 현저할 때
     4. 병충해 피해나 간벌작업이 이루어 질 때

     정답 : []
     정답률 : 63%
     <문제 해설>
소반의 구획
1.산림의 기능(생활환경보전림,자연환경보전림,수원함량보전림,산지재해방지림,산림휴양림,목재생산림 등)이 상이할 때.
2.지종(입목지,무립목지,법정정지림 등)이 상이할 때.
3.임종,임상 및 작업종이 상이할 때.
4.임령,지위,지리 또는 운반계통이 상이할 때.
[해설작성자 : comcbt.com 이용자]

57. 임업경영요소 중 유동자본에 속하는 것은?
     1. 임도
     2. 종자
     3. 기계톱
     4. 사무실

     정답 : []
     정답률 : 80%

58. 물가상승과 도로, 철도 등의 개설로 인한 운반비의 절약에 기인하는 산림의 임목가격의 상승을 의미하는 것은?
     1. 재적생장
     2. 형질생장
     3. 근원생장
     4. 등귀생장

     정답 : []
     정답률 : 81%

59. 임업경영 분석에 대한 설명으로 옳지 않은 것은?
     1. 임업소득은 임업조수익에서 임업경영비를 뺀 값이다.
     2. 임가소득은 임업소득, 농업소득, 기타소득을 더한 값이다.
     3. 임업의존도는 임가소득을 임업소득으로 나누어 100을 곱한 값이다.
     4. 임업소득율은 임업소득에서 임업조수익을 나누어 100을 곱한 값이다.

     정답 : []
     정답률 : 67%
     <문제 해설>
임업의존도=임업소득/임가소득*100
[해설작성자 : comcbt.com 이용자]

60. Huber 식의 약 10,053배 과대치를 주고 중앙단면이 원이 아닐때 오차가 더 커지는 구적식은?
     1. 5분주법
     2. 호퍼스법
     3. 브레레튼법
     4. 스크리브너 로그 룰

     정답 : []
     정답률 : 75%

61. 포장을 하지 않은 임도 노면의 경우에 횡단기울기 시설 기준은?
     1. 0 ~ 1%
     2. 1.5 ~ 2%
     3. 3 ~ 5%
     4. 6 ~ 7%

     정답 : []
     정답률 : 64%
     <문제 해설>
포장한 노면(포장도)의 횡단기울기 - 1.5 ~ 2%
[해설작성자 : comcbt.com 이용자]

62. 임도의 사면 붕괴 원인으로 옳지 않은 것은?
     1. 사면 토양의 점착력 감소
     2. 사면 토양의 공급 수압 감소
     3. 온도변화에 의한 사면 토양의 입자 신축
     4. 눈 및 빗물로 인한 사면 토양의 과다한 하중 발생

     정답 : []
     정답률 : 72%
     <문제 해설>
사면 토양의 공극수압이 증가하면 사면붕괴의 원인이된다
옳지 않은 것을 고르면 공극 수압 감소라고 되어 있기때문에 2번이 답이다
[해설작성자 : 댤리아]

63. 스키더 또는 타워야더 등에 의해 집재된 전목재의 가지제거, 절단, 초두부 제거, 집적 등의 조재작업을 전문적으로 실행하는 기계는?
     1. 포워더
     2. 하베스터
     3. 프로세서
     4. 펠러번쳐

     정답 : []
     정답률 : 65%

64. 사방댐의 시공적지로 옳지 않은 것은?
     1. 상류부의 계폭이 좁은 곳
     2. 계상과 양안에 암반이 존재하는 곳
     3. 수생태계에 미치는 영향이 크지 않은 곳
     4. 지류의 합류점 부근에서는 합류점의 하류지역

     정답 : []
     정답률 : 64%
     <문제 해설>
상류부의 계폭이 넓고 댐자리는 좁은 곳이 좋다.
[해설작성자 : comcbt.com 이용자]

65. 벌도작업 시 쐐기 사용의 주목적은?
     1. 작업 능률 향상
     2. 벌도 방향 결정
     3. 박피 작업 유리
     4. 작업 비용 절감

     정답 : []
     정답률 : 74%

66. 임도 설계업무의 순서로 옳은 것은?
     1. 예비조사 → 답사 → 예측 → 실측 → 설계도작성
     2. 예비조사 → 예측 → 답사 → 실측 → 설계도작성
     3. 답사 → 예비조사 → 예측 → 실측 → 설계도작성
     4. 답사 → 예비조사 → 실측 → 예측 → 설계도작성

     정답 : []
     정답률 : 79%

67. 앞모래언덕의 뒤쪽으로 바람에 의한 모래날림을 방지하고 식생의 생육환경을 조성하기 위해 가장 적합한 공법은?
     1. 모래덮기
     2. 퇴사울세우기
     3. 정사울세우기
     4. 구정바자얽기

     정답 : []
     정답률 : 65%
     <문제 해설>
(정사울세우기)주로 전사구의 육지 쪽에 후방모래를 고정하여 그 표면에
전면적인 모래의 안정을 도모하고 식재목이 잘 생육할 수 있도록
환경을 조성하는 목적으로 생행하는 공법이다.
[해설작성자 : comcbt.com 이용자]

68. 임도시공 시 사용하는 용어에 대한 설명으로 옳지 않은 것은?
     1. 준설 : 물 속의 흙을 파내는 것
     2. 취토장 : 흙이 남아서 버리는 곳
     3. 매립 : 물에 흙을 메워 육지로 만드는 것
     4. 흙일 : 흙을 깎거나 쌓아 올리는 모든 작업

     정답 : []
     정답률 : 72%
     <문제 해설>
사토장은 흙이 남아서 버리는 곳.
취토장은 흙이 부족할 경우 흙을 파가는 장소이다.
[해설작성자 : comcbt.com 이용자]

69. 유역면적의 단위가 ha일 때 유량공식으로 옳은 것은? (단, C : 유출계수, I : 강우강도(mm/hr), A : 면적)
     1. Q = 2778CIA(m3/sec)
     2. Q = 0.2778CIA(m3/sec)
     3. Q = 0.02778CIA(m3/sec)
     4. Q = 0.002778CIA(m3/sec)

     정답 : []
     정답률 : 63%
     <문제 해설>
m2 경우에는 0.2778
[해설작성자 : comcbt.com 이용자]

Q=0.002778CIA(m3/SEC)ha
[해설작성자 : comcbt.com 이용자]

70. 횡단배수구 설치에 대한 설명으로 옳지 않은 것은?
     1. 옆도랑의 물을 처리하기 위해 설치
     2. 표면배수 또는 지하배수를 처리하기 위해 설
     3. 배수관의 연결부 또는 배수시설의 단면이 변화하는 곳에 설치
     4. 작은 골짜기 유역으로부터 집수되는 유수처리를 처리하기 위해 설치

     정답 : []
     정답률 : 53%
     <문제 해설>
배수관의 연결부 또는 배수시설의 단면이 변화하는 곳에는 집수정이나 수로 등을 설치한다.
[해설작성자 : comcbt.com 이용자]

71. 산복수로공에 대한 설명으로 옳지 않은 것은?
     1. 유수가 집중되는 凹부에 설치한다.
     2. 떼수로공은 집수구역이 좁은 곳에 설치한다.
     3. 수로의 시작과 끝에는 반드시 수평대공작물을 적용한다.
     4. 가급적 수로의 기울기는 상부에서 하부로 내려가면서 감소하게 계획된다.

     정답 : []
     정답률 : 62%
     <문제 해설>
가급적 수로의 기울기는 상부에서 하부까지 일정한 물매를 갖도록 계획한다.
[해설작성자 : comcbt.com 이용자]

72. 트랙터의 구입가격이 5000만원이고 수명이 5000시간이며 잔존가치는 구입가격의 20%일 때 이 기계의 시간당 감가상각비는?
     1. 1,250원
     2. 8,000원
     3. 12,500원
     4. 80,000원

     정답 : []
     정답률 : 64%
     <문제 해설>
시간당 감가상각비 = (취득원가-잔존가치)/추정 총 작업시간
=[50,000,000-(50,000,000x0.2)]/5,000
=8,000
*작업시간비례법 = 실제작업시간x시간당감가상각비
[해설작성자 : comcbt.com 이용자]

73. 벌도 시 벌목방향을 확정하고 벌도목이 쪼개지는 것을 방지하기 위하여 근원 부근에 만드는 것은?
     1. 추구
     2. 수구
     3. 벌도구
     4. 수평구

     정답 : []
     정답률 : 69%

74. 가선집재작업이 수행 가능한 장비로 가장 효율적인 것?
     1. 하베스터
     2. 펠러번처
     3. 프로세서
     4. 타워야더

     정답 : []
     정답률 : 73%

75. 중력침식에 속하지 않는 것은?
     1. 산붕
     2. 산사태
     3. 땅밀림
     4. 해안사구

     정답 : []
     정답률 : 77%
     <문제 해설>
4. 해안사구 - 바람침식
[해설작성자 : comcbt.com 이용자]

76. 지선임도 밀도가 10m/ha이며, 임도효율요인이 4인 경우 트랙터를 이용한 평균집재거리는?
     1. 2.5M
     2. 40M
     3. 400M
     4. 2,500M

     정답 : []
     정답률 : 40%
     <문제 해설>
* 임도밀도= 임도효율/평균집재거리(Km)    => 평균집재거리(Km)= 임도효율/임도밀도
* 평균집재거리(km)= 4/10=0.4Km=400M
[해설작성자 : 나는우리]

77. 단면 A의 면적은 180m2, 단면 B의 면적은 600m2이고 양단면 사이의 거리가 20m이면 양단면적평균법을 이용한 토량(m3)은?
     1. 7,800
     2. 8,600
     3. 9,400
     4. 12,600

     정답 : []
     정답률 : 66%
     <문제 해설>
180+600/2*20=7,800
[해설작성자 : comcbt.com 이용자]

78. 시멘트 저장 중에 공기 중의 수분을 흡수하여 경미한 수화작용을 일으키고, 그 결과 생긴 수산화칼슘이 공기 중의 이산화탄소와 결합하여 탄산칼슘이 만들어져서 시멘트 강도가 약해지는 작용은?
     1. 풍화
     2. 응결
     3. 경화
     4. 분말도

     정답 : []
     정답률 : 67%

79. 방위각 275°를 방위로 표기하면 다음 중 어느 것인가?
     1. N85°W
     2. S85°W
     3. N95°W
     4. S95°W

     정답 : []
     정답률 : 58%
     <문제 해설>
0~90 = N방위각E
90~180 = S180-방위각E
180~270 = S방위각-180W
270~360 = N360-방위각W
[해설작성자 : 새우]

80. 임도의 너비 설치 기준으로 옳지 않은 것은?
     1. 배향곡선지의 경우 유효너비 6m이상으로 한다.
     2. 길어깨 및 옆도랑의 너비는 각각 50cm ~ 1m 범위로 한다.
     3. 임도의 곡선 반경이 10m 이상일 경우 곡선부 너비를 확대한다.
     4. 길어깨 및 옆도랑을 포함한 임도의 너비는 3m를 기준으로 한다.

     정답 : []
     정답률 : 64%
     <문제 해설>
길어깨 및 옆도랑의 너비를 제외한 임도의 유효너비는 3m를 기준으로 한다.
[해설작성자 : comcbt.com 이용자]


정 답 지

1

2

3

4

5

6

7

8

9

10

11

12

13

14

15

16

17

18

19

20

21

22

23

24

25

26

27

28

29

30

31

32

33

34

35

36

37

38

39

40

41

42

43

44

45

46

47

48

49

50

51

52

53

54

55

56

57

58

59

60

61

62

63

64

65

66

67

68

69

70

71

72

73

74

75

76

77

78

79

80

산림산업기사 필기 기출문제(해설) 및 CBT 2016년05월08일을 이용해 주셔서 감사합니다.
, 필기, 기출문제, 전자문제집, CBT, 온라인, 모의테스트, 모의고사



List of Articles
번호 제목 글쓴이 날짜 조회 수
3356 산림산업기사 필기 기출문제(해설) 및 CBT 2011년03월20일(605) 좋은아빠되기 2025.10.05 25
3355 산림산업기사 필기 기출문제(해설) 및 CBT 2011년06월12일(606) 좋은아빠되기 2025.10.05 25
3354 산림산업기사 필기 기출문제(해설) 및 CBT 2011년08월21일(607) 좋은아빠되기 2025.10.05 19
3353 산림산업기사 필기 기출문제(해설) 및 CBT 2012년03월04일(608) 좋은아빠되기 2025.10.05 19
3352 산림산업기사 필기 기출문제(해설) 및 CBT 2012년05월20일(609) 좋은아빠되기 2025.10.05 27
3351 산림산업기사 필기 기출문제(해설) 및 CBT 2012년08월26일(610) 좋은아빠되기 2025.10.05 22
3350 산림산업기사 필기 기출문제(해설) 및 CBT 2013년03월10일(611) 좋은아빠되기 2025.10.05 30
3349 산림산업기사 필기 기출문제(해설) 및 CBT 2013년06월02일(612) 좋은아빠되기 2025.10.05 20
3348 산림산업기사 필기 기출문제(해설) 및 CBT 2014년03월02일(614) 좋은아빠되기 2025.10.05 24
3347 산림산업기사 필기 기출문제(해설) 및 CBT 2014년08월17일(616) 좋은아빠되기 2025.10.05 22
3346 산림산업기사 필기 기출문제(해설) 및 CBT 2015년03월08일(617) 좋은아빠되기 2025.10.05 33
3345 산림산업기사 필기 기출문제(해설) 및 CBT 2015년05월31일(618) 좋은아빠되기 2025.10.05 25
3344 산림산업기사 필기 기출문제(해설) 및 CBT 2016년03월06일(620) 좋은아빠되기 2025.10.05 19
» 산림산업기사 필기 기출문제(해설) 및 CBT 2016년05월08일(621) 좋은아빠되기 2025.10.05 21
3342 산림산업기사 필기 기출문제(해설) 및 CBT 2016년08월21일(622) 좋은아빠되기 2025.10.05 25
3341 산림산업기사 필기 기출문제(해설) 및 CBT 2017년03월05일(623) 좋은아빠되기 2025.10.05 23
3340 산림산업기사 필기 기출문제(해설) 및 CBT 2017년05월07일(624) 좋은아빠되기 2025.10.05 30
3339 산림산업기사 필기 기출문제(해설) 및 CBT 2017년08월26일(625) 좋은아빠되기 2025.10.05 26
3338 산림산업기사 필기 기출문제(해설) 및 CBT 2018년03월04일(626) 좋은아빠되기 2025.10.05 22
3337 산림산업기사 필기 기출문제(해설) 및 CBT 2018년04월28일(627) 좋은아빠되기 2025.10.05 21
Board Pagination Prev 1 ... 6 7 8 9 10 11 12 13 14 15 ... 178 Next
/ 178