자격증 필기 기출문제



전자기사 필기 기출문제(해설) 및 CBT 2010년09월05일(724)

최강 자격증 기출문제 전자문제집 CBT : www.comcbt.com


전자문제집 CBT란?

종이 문제집이 아닌 인터넷으로 문제를 풀고 자동으로 채점하며 모의고사, 오답 노트, 해설까지 제공하는
무료 기출문제 학습 프로그램으로 실제 상설검정에서 사용하는 OMR 형식의 CBT를 제공합니다.


최신 전자기사 필기 기출문제 : [다운로드]

1과목 : 전기자기학


1. 평면파 전파가 E=30cos(109t+20z)j[V/m]로 주어졌다면 이 전자파의 위상 속도는?
     1. 5×107[m/s]
     2. 1/3×108[m/s]
     3. 109[m/s]
     4. 3/2[m/s]

     정답 : []
     정답률 : 47%

2. 공기 중에 있는 지름 6[cm]인 단일 도체구의 정전용량은 약 몇 [pF]인가?
     1. 0.33[pF]
     2. 0.67[pF]
     3. 3.3[pF]
     4. 6.7[pF]

     정답 : []
     정답률 : 54%

3. 길이 ℓ[m], 단면적 지름 d[m]인 원통이 길이 방향으로 균일하게 자화되어 자화의 세기가 J[Wb/m2]인 경우 원통 양단에서의 전자극의 세기는?
     1. πd2J[wb]
     2. πdJ[wb]
     3. 4J/πd2[wb]
     4. πd2J/4[wb]

     정답 : []
     정답률 : 53%

4. 주파수가 100[MHz]일 때 구리의 표피두께(skin depth)는 약 몇 [mm] 인가? (단, 구리의 도전율은 5.8×107 [℧/m], 비투자율은 1이다.)
     1. 3.3×10-2[mm]
     2. 6.61×10-2[mm]
     3. 3.3×10-3[mm]
     4. 6.61×10-3[mm]

     정답 : []
     정답률 : 47%

5. 3개의 도체 a, b, c가 있다. 도체 c를 a로 정전차폐 했을 때의 조건은?
     1. a, b 사이의 유도계수는 0이다.
     2. b, c 사이의 유도계수는 0이다.
     3. b의 전하는 c의 전위와 관계가 있다.
     4. c의 전하는 b의 전위와 관계가 있다.

     정답 : []
     정답률 : 71%

6. 지름이 40[mm] 원형 종이관에 일정하게 2000회의 코일이 감겨있는 솔레노이드의 인덕턴스는 약 몇 [mH] 인가? (단, 솔레노이드의 길이는 50[cm], 투자율은 [μ0]라 하며 누설자속은 없는 것으로 한다.)
     1. 12.6[mH]
     2. 25.2[mH]
     3. 50.4[mH]
     4. 75.6[mH]

     정답 : []
     정답률 : 알수없음

7. 전기력선에 대한 설명 중 옳은 것은?
     1. 전기력선은 양전하에서 시작하여 음전하에서 끝난다.
     2. 전기력선은 전위가 낮은 점에서 높은 점으로 향한다.
     3. 전기력선의 방향은 그 점의 전계의 방향과 반대이다.
     4. 전계가 0이 아닌 곳에서 2개의 전기력선은 항상 교차한다.

     정답 : []
     정답률 : 74%

8. 정전용량 2[μF]인 콘덴서를 충전하여 4[mH]인 코일을 통해서 방전할 때의 전기진동이 공간에 전파되는 경우 그 파장[m]은 약 얼마인가?
     1. 17[m]
     2. 170[m]
     3. 1.7×105[m]
     4. 3.4×105[m]

     정답 : []
     정답률 : 64%

9. 사이클로트론에서 양자가 매초 3×1015개의 비율로 가속되어 나오고 있다. 양자가 15[MeV]의 에너지를 가지고 있다고 할 때, 이 사이클로트론은 가속용 고주파 전계를 만들기 위해서 150[kW]의 전력을 필요로 한다면 에너지 효율은?
     1. 2.8[%]
     2. 3.8[%]
     3. 4.8[%]
     4. 5.8[%]

     정답 : []
     정답률 : 알수없음

10. x>0인 영역에 ε1=3인 유전체, x<0인 영역에 ε2=5인 유전체가 있다. 유전율 ε2인 영역에서 전계 E2=20ax +30ay - 40az[V/m]일 때, 유전율 ε2인 영역에서의 전계 E1은?
     1. 100/3ax +30ay - 40az[V/m]
     2. 20ax +90ay - 40az[V/m]
     3. 100ax +10ay - 40az[V/m]
     4. 60ax +30ay - 40az[V/m]

     정답 : []
     정답률 : 28%

11. 맥스웰의 전자방정식에 대한 의미를 설명한 것으로 잘못된 것은?
     1. 자계의 회전은 전류밀도와 같다.
     2. 전계의 회전은 자속밀도의 시간적 감소율과 같다.
     3. 단위체적 당 발산 전속수는 단위체적 당의 공간전하 밀도와 같다.
     4. 자계는 발산하며, 자극은 단독으로 존재한다.

     정답 : []
     정답률 : 64%

12. 질량(m)이 10-10[kg]이고, 전하량(q)이 10-8 [C]인 전하가 전기장에 의해 가속되어 운동하고 있다. 이 때 가속도 a=102i +102j[m/sec2]이라고 하면 전기장의 세기 E는?
     1. E=104i +105j [V/m]
     2. E=i+10j [V/m]
     3. E=i+j [V/m]
     4. E=10-6i+10-4j [V/m]

     정답 : []
     정답률 : 알수없음

13. 그림과 같은 두개의 코일이 있을 때 L1=20[mH], L2=40[mH], 결합계수 k=0.5이다. 지금 이 두개의 코일을 직렬로 접속하여 0.5[A]의 전류를 흐릴 때 이 합성코일에 저축되는 에너지는 약 몇 [J] 인가?

    

     1. 1.1×10-4[J]
     2. 2.2×10-4[J]
     3. 1.1×10-2[J]
     4. 2.2×10-2[J]

     정답 : []
     정답률 : 40%

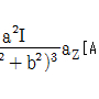
14. 원형코일의 전류 중심으로부터 r[m]인 점의 자위는? (단, ω는 점 p로부터 원형코일의 전류를 바라보는 입체각이다.)
     1.
     2.
     3.
     4.

     정답 : []
     정답률 : 36%

15. 1[kV]로 충전된 콘덴서의 정전에너지가 1[J]일 때 이 콘덴서의 정전용량[μF]은?
     1. 1[μF]
     2. 2[μF]
     3. 3[μF]
     4. 4[μF]

     정답 : []
     정답률 : 50%

16. 두 종류의 금속을 루프상으로 이어서 두 접속점을 다른 온도로 유지해 줄 때, 이 회로에 전류가 흐르는 효과는?
     1. 지벡(Seebeck) 효과
     2. 톰슨(Thomson) 효과
     3. 펠티에(Peltier) 효과
     4. 홀(Hall) 효과

     정답 : []
     정답률 : 29%

17. 진공내에서 전위함수 V=x2+y2[V]로 주어질 때, 0≤x≤1, 0≤y≤1, 0≤z≤1인 공간에 저축되는 에너지는?
     1.
     2. 0
     3.
     4. 0

     정답 : []
     정답률 : 58%

18. 전기회로와 비교할 때 자기회로의 특징이 아닌 것은?
     1. 기자력과 자속은 변화가 비직선성이다.
     2. 공기에 대한 누설자속이 많다.
     3. 자기회로는 정전용량과 같은 회로 요소는 없다.
     4. 자속의 변화에 따른 자기 저항내의 줄 손실이 없다.

     정답 : []
     정답률 : 39%

19. 권수 500[회], 길이 5[cm]인 솔레노이드에 10[mA]의 전류가 흐른다면 이 솔레노이드에 발생되는 자계의 세기는?
     1. 50[AT/m]
     2. 100[AT/m]
     3. 150[AT/m]
     4. 200[AT/m]

     정답 : []
     정답률 : 40%

20. 전계성분과 자계성분의 크기의 비를 고유임피던스 또는 파동임피던스라 한다. 진공일 경우 고유임피던스는?
     1. 377[Ω]
     2. 4π×10-7[Ω]
     3. 390[Ω]
     4. 3×108[Ω]

     정답 : []
     정답률 : 47%

2과목 : 회로이론


21. 시간 t에 대하여 다음과 같은 파형의 전류가 20[Ω] 저항에 흐를 때, 소비전력이 100[W]이다. 이 전류를 가동코일형 계기로 측정하면 약 몇 [A]를 나타내겠는가?

    

     1. 0.79[A]
     2. 1.58[A]
     3. 2.24[A]
     4. 3.16[A]

     정답 : []
     정답률 : 18%

22. 다음 그림과 쌍대가 되는 회로는?

    

     1.
     2.
     3.
     4.

     정답 : []
     정답률 : 50%

23. 시정수 T인 RL 직렬회로에 t=0에서 직류전압을 가하였을 때 t=4T에서의 회로 전류는 정상치의 몇 [%] 인가?
     1. 63[%]
     2. 86[%]
     3. 95[%]
     4. 98[%]

     정답 : []
     정답률 : 39%

24. 그림과 같은 주기성을 갖는 구형파 교류 전류의 실효치는?

    

     1. 2[A]
     2. 4[A]
     3. 3[A]
     4. √2[A]

     정답 : []
     정답률 : 67%

25. 2개 이상의 전원을 내포한 선형 회로에서 어떤 가지에 흐르는 전류나 단자의 전압에 대해 해석하는데 사용하는 것은?
     1. Norton의 정리
     2. Thevenin의 정리
     3. 치환정리
     4. 중첩의 원리

     정답 : []
     정답률 : 50%

26. RL 직렬회로에 일정한 정현파 전압을 인가하였다. 이때 인덕터의 양단 전압을 측정하였을 경우에 나타나는 현상은?
     1. 신호원의 전압과 위상이 동일한 형태로 나타난다.
     2. 저항양단 전압보다 90°만큼 앞선 위상이 나타난다.
     3. 인덕터 전류와 위상이 동일한 형태로 나타난다.
     4. 신호원 전압보다 90°만큼 앞선 위상이 나타난다.

     정답 : []
     정답률 : 40%

27. 그림과 같은 삼각파의 파고율은?

    

     1. 1.15
     2. 1.73
     3. 1
     4. 1.41

     정답 : []
     정답률 : 25%

28. 다음 그림과 같은 이상 변압기의 권선비는?

    

     1.
     2.
     3.
     4.

     정답 : []
     정답률 : 44%

29. RLC 병렬회로가 공진주파수보다 큰 주파수 영역에서 동작할 때, 이 회로는?
     1. 유도성 회로가 된다.
     2. 용량성 회로가 된다.
     3. 저항성 회로가 된다.
     4. 탱크 회로가 된다.

     정답 : []
     정답률 : 31%

30. 다음과 같은 회로에 100[V]의 전압을 인가하였다. 최대전력이 되기 위한 용량성 리액턴스 XC 값은?

    

     1. 12[Ω]
     2. 12.5[Ω]
     3. 15[Ω]
     4. 25[Ω]

     정답 : []
     정답률 : 27%

31. 인덕턴스 L1, L2가 각각 2[mH], 4[mH]인 두 코일간의 상호 인덕턴스 M이 4[mH]라고 하면 결합계수 K는?
     1. 1.41
     2. 1.54
     3. 1.66
     4. 2.47

     정답 : []
     정답률 : 55%

32. 어떤 성형시스템의 전달함수가 다음과 같을 때, 이 시스템의 단위계단응답(unit-step response)은?

    

     1. e3tu(t)
     2.
     3. e-3tu(t)
     4.

     정답 : []
     정답률 : 알수없음

33. 정현 대칭에서 성립하는 함수식은?
     1. f(t) = f(t)
     2. f(t) = -f(t)
     3. f(t) = f(-t)
     4. f(t) = -f(-t)

     정답 : []
     정답률 : 55%

34. 정현파 전압의 진폭이 Vm이라면 이를 반파정류 했을 때의 평균값은?
     1. Vm/2
     2. Vm/√2
     3. Vm
     4. 2Vm

     정답 : []
     정답률 : 57%

35. 다음 그림의 라플라스(Laplace) 변환은?

    

     1. E/s2
     2. E/Ts
     3. E/Ts2
     4. TE/s

     정답 : []
     정답률 : 62%

36. 다음 그림의 회로에서 단자 a, b 간의 전압은?

    

     1. 0.116[V]
     2. 1.16[V]
     3. 11.6[V]
     4. 116[V]

     정답 : []
     정답률 : 40%

37. R=80[Ω], XL=60[Ω]인 R-L 병렬회로에서 V=220∠45°[V]의 전압을 가했을 때, 코일 L에 흐르는 전류는?
     1. 3.67∠45°[A]
     2. 3.67∠-45°[A]
     3. 5.75∠90°[A]
     4. 5.75∠-90°[A]

     정답 : []
     정답률 : 50%

38. 20[μF]의 콘덴서에 100[V], 50[Hz]의 교류전압을 가할 때의 무효전력은?
     1. -10π[Var]
     2. -20π[Var]
     3. -30π[Var]
     4. -40π[Var]

     정답 : []
     정답률 : 47%

39. 다음 회로에서 결합계수가 K일 때, 상호 인덕턴스 M은?

    

     1. M=K√L1L2
     2. M=/√L1L2
     3. M=KL1L2
     4. M=K/(L1L2)

     정답 : []
     정답률 : 58%

40. 다음 회로의 전달 함수는?

    

     1. C1+C2
     2. 1/C1+C2
     3. 1/C1+1/C2
     4. C1/C1+C2

     정답 : []
     정답률 : 20%

3과목 : 전자회로


41. 다음 연산 증폭기(Op-Amp) 회로에서 출력 전압은? (단, R1=1[kΩ], R2=5[kΩ], V1=4[V], V2=3[V])

    

     1. -5[V]
     2. -7[V]
     3. -11[V]
     4. -12[V]

     정답 : []
     정답률 : 알수없음
     <문제 해설>
Vo=(R2/R1)*(V2-V1)
    = (5/1)*(4-3)
[해설작성자 : 송혜주]

42. 수정발진기의 주파수 변동 원인과 그 대책에 대한 설명으로 틀린 것은?
     1. 동조점의 불안정 : Q가 작은 수정공진자 사용
     2. 주위온도의 변화 : 항온조 사용
     3. 부하의 변동 : 완충 증폭기 사용
     4. 전원전압의 변동 : 정전압회로 사용

     정답 : []
     정답률 : 알수없음

43. 다음 논리 게이트 중 Fan-out이 가장 큰 것은?
     1. RTL(Register-Transistor-Logic) 게이트
     2. TTL(Transistor-Transistor-Logic) 게이트
     3. DTL(Diode-Transistor-Logic) 게이트
     4. DL(Diode-Logic) 게이트

     정답 : []
     정답률 : 60%

44. 다음 회로의 출력 Y에 대한 논리식은?

    

     1.
     2.
     3.
     4.

     정답 : []
     정답률 : 46%

45. 다음 회로의 명칭으로 가장 적합한 것은?

    

     1. 평형 변조회로
     2. 전파 정류회로
     3. 배전압 정류회로
     4. 반파 정류회로

     정답 : []
     정답률 : 54%

46. 교류 전압에 직류 레벨을 더하는 회로는?
     1. 클리퍼
     2. 클램퍼
     3. 리미터
     4. 필터

     정답 : []
     정답률 : 알수없음

47. 고주파 증폭기에서 α차단 주파수에 대한 설명으로 옳은 것은?
     1. α가 최대값의 0.5 되는 곳의 주파수이다.
     2. α가 최대값의 0.707 되는 곳의 주파수이다.
     3. 출력 전력이 원래값의 1/5로 되는 곳의 주파수이다.
     4. 출력 전력이 원래값의 1/√2로 되는 곳의 주파수이다.

     정답 : []
     정답률 : 55%

48. A급 증폭기의 최대 효율은? (단, 병렬 부하인 경우임)
     1. 20[%]
     2. 30[%]
     3. 40[%]
     4. 50[%]

     정답 : []
     정답률 : 50%

49. FET가 보통의 접합 트랜지스터에 대해 갖는 장점이 아닌 것은?
     1. 입력 임피던스가 크다.
     2. 진공관이나 트랜지스터에 비하여 잡음이 적다.
     3. 이득×대역폭이 커서 고주파에서도 사용하기 쉽다.
     4. 오프셋 전압이 없으므로 좋은 초퍼로서 사용할 수 있다.

     정답 : []
     정답률 : 17%

50. 다음 회로의 명칭으로 가장 적합한 것은?

    

     1. Schmitt 트리거 회로
     2. 톱니파발생 회로
     3. Monostable 회로
     4. Astable 회로

     정답 : []
     정답률 : 60%

51. MOSFET의 채널은 어느 단자 사이에 형성되는가?
     1. 입력과 출력 사이
     2. 게이트와 소스 사이
     3. 드레인과 소스 사이
     4. 게이트와 드레인 사이

     정답 : []
     정답률 : 50%

52. mod-12 존슨 카운터를 설계하기 위하여 최소 필요한 플립플롭의 수는?
     1. 4개
     2. 6개
     3. 12개
     4. 24개

     정답 : []
     정답률 : 59%

53. B급 푸시풀(Push-Pull) 증폭기의 특징이 아닌 것은?
     1. 차단 상태 부근에 바이어스 되어 있다.
     2. 트랜지스터의 비선형 특성에서 오는 일그러짐이 증가한다.
     3. 우수 고조파가 상쇄되어 일그러짐이 적다.
     4. B급이나 AB급으로 동작시킨다.

     정답 : []
     정답률 : 29%

54. 베이스 접지 증폭회로에 대한 설명으로 틀린 것은?
     1. 고주파수 특성이 양호하다.
     2. 입출력 위상은 동위상이다.
     3. 입력저항은 수십[Ω] 정도로 작다.
     4. 전류 증폭도가 수십~수백으로 크다.

     정답 : []
     정답률 : 42%

55. 트랜지스터를 베이스 접지에서 이미터 접지로 했더니 ICEO가 50배가 되었다. 트랜지스터의 β는?
     1. 49
     2. 50
     3. 59
     4. 120

     정답 : []
     정답률 : 34%

56. 궤환에 관한 설명으로 틀린 것은?
     1. 궤환된 신호와 본래의 입력과의 위상관계에 있어서 역위상 경우를 부궤환이라 한다.
     2. 궤환전압이 출력전류에 비례할 때를 전류궤환이라 한다.
     3. 궤환전압이 출력전류에 비례하는 경우를 직렬궤환이라 한다.
     4. 직렬궤환과 병렬궤환이 함께 사용된 것을 복합궤환이라 한다.

     정답 : []
     정답률 : 64%

57. 다음 회로에서 Voi는 연산 증폭기의 입력 직류 오프셋 전압이다. 직류 출력 오프셋 전압 Vos는?

    

     1.
     2.
     3.
     4.

     정답 : []
     정답률 : 55%

58. 다음 회로는 어떤 궤환 증폭회로인가?

    

     1. 전류궤환 증폭회로
     2. 전압궤환 증폭회로
     3. 정전류궤환 증폭회로
     4. 정전압궤환 증폭회로

     정답 : []
     정답률 : 36%

59. 다음 그림은 연산 증폭기이다. V1=2[V], V2=3[V]이면, 출력 Vo는?

    

     1. -5[V]
     2. -6[V]
     3. -7[V]
     4. -8[V]

     정답 : []
     정답률 : 31%

60. 전가산기를 구성할 때 필요한 게이트는?
     1. XOR 2개, AND 2개, OR 1개
     2. XOR 2개, AND 1개, OR 2개
     3. XOR 1개, AND 2개, OR 2개
     4. XOR 2개, AND 2개, OR 2개

     정답 : []
     정답률 : 46%

4과목 : 물리전자공학


61. FET가 초퍼(Chopper)로 적합한 가장 큰 이유는?
     1. 전력 소모가 적기 때문
     2. 대량 생산에 적합하기 때문
     3. 입력 임피던스가 매우 높기 때문
     4. 오프셋 전압이 매우 작기 때문

     정답 : []
     정답률 : 67%

62. 100[V] 전압으로 가속된 전자속도는 25[V]의 전압으로 가속된 전자속도의 몇 배인가?
     1. √2
     2. 2
     3. 5
     4. 5√2

     정답 : []
     정답률 : 37%

63. 고속의 전자(이온)가 금속의 표면에 충돌하면 금속 안의 자유전자가 방출되는 현상은?
     1. 전계 방출
     2. 열전자 방출
     3. 광전자 방출
     4. 2차 전자 방출

     정답 : []
     정답률 : 50%

64. 전자 수가 32인 원자의 가전자 수는?
     1. 2개
     2. 4개
     3. 8개
     4. 18개

     정답 : []
     정답률 : 47%

65. n채널 전계 효과 트랜지스터에 흐르는 전류는 주로 어느 현상에 의한 것이다.
     1. 전자의 확산 현상
     2. 전공의 확산 현상
     3. 정공의 드리프트 현상
     4. 전자의 드리프트 현상

     정답 : []
     정답률 : 알수없음

66. 일정한 온도에서 n형 반도체의 도너 불순물 밀도를 증가시키면 페르미 준위는?
     1. 전도대 쪽으로 접근한다.
     2. 충만대 쪽으로 접근한다.
     3. 금지대 중앙에 위치한다.
     4. 가전자대 쪽으로 접근한다.

     정답 : []
     정답률 : 40%

67. 실리콘 단결정 반도체에서 P형 불순물을 사용될 수 있는 것은?
     1. P(인)
     2. As(비소)
     3. B(붕소)
     4. Sb(안티몬)

     정답 : []
     정답률 : 알수없음

68. Pauli의 배타율 원리에 대한 설명으로 틀린 것은?
     1. 원자내의 전자 배열을 지배하는 원리이다.
     2. 원자내에서 두 개의 전자가 동일한 양자 상태에 있을 수 있다.
     3. 하나의 양자 궤도에 spin이 다른 두 개의 전자가 존재할 수 있다.
     4. 원자내에 존재하는 어떠한 전자도 네 개의 양자수를 같게 취할 수 없다.

     정답 : []
     정답률 : 28%

69. 금소의 일함수에 대한 설명으로 틀린 것은?
     1. 전자방출에 필요한 에너지를 일함수라 한다.
     2. 일함수가 큰 물질일수록 열전자의 방출성이 우수하다.
     3. 금속 중에는 비교적 자유로이 움직이는 다수의 자유전자가 있다.
     4. 자유전자는 외부에서 에너지를 가하지 않으면 금속표면에서 튀어나갈 수 없다.

     정답 : []
     정답률 : 59%

70. 터널 다이오드가 부성 저항 영역을 갖는 이유는?
     1. PN 접합의 용량변화 때문에
     2. PN의 높은 불순물 농도 때문에
     3. PN 접합의 줄 열 때문에
     4. PN 양단의 온도에 따른 팽창 때문에

     정답 : []
     정답률 : 40%

71. 이동도(mobility)에 관한 설명으로 틀린 것은?
     1. 이동도의 단위는 [m2/Vㆍs]이다.
     2. 도전율이 크면 이동도도 크다.
     3. 온도가 증가하면 이동도는 증가한다.
     4. 반도체에서 전자의 이동도는 정공의 이동도보다 크다.

     정답 : []
     정답률 : 30%

72. 25[℃]에서 8.2[V]인 제너 다이오드가 0.05[%/℃]의 온도계수를 가질 때 60[℃]에서의 제너 전압은?
     1. 8.06[V]
     2. 8.17[V]
     3. 8.34[V]
     4. 8.42[V]

     정답 : []
     정답률 : 20%

73. 1[eV]를 가장 잘 설명한 것은?
     1. 1개의 전자가 1[J]의 에너지를 얻는데 필요한 에너지이다.
     2. 1개의 전자가 1[m]의 간격을 통과할 때 필요한 전압이다.
     3. 1개의 전자가 1[V]의 전위차를 통과할 때 필요한 운동 에너지이다.
     4. 1개의 전자가 1[m/sec]의 속도를 얻는데 필요한 에너지이다.

     정답 : []
     정답률 : 55%

74. FET에서 차단주파수 fT를 높이는 방법으로 틀린 것은?
     1. gm을 크게 한다.
     2. n 채널을 사용한다.
     3. 채널 길이를 길게 한다.
     4. 정전용량을 적게 한다.

     정답 : []
     정답률 : 34%

75. 핀치 오프 전압이 -4[V]이고, VGS=0일 때 드레인 전류(IDSS)가 8[mA]인 JFET에서 VGS=-1.8[V]일 때 드레인 전류는?
     1. 2.4[mA]
     2. 3.2[mA]
     3. 3.9[mA]
     4. 4.3[mA]

     정답 : []
     정답률 : 17%

76. 컬렉터 접합부의 온도 상승으로 인하여 트랜지스터가 파괴되는 현상은?
     1. 얼리 현상
     2. 항복 현상
     3. 열폭주 현상
     4. 펀치스로우 현상

     정답 : []
     정답률 : 58%

77. 진성반도체에 있어서 전도대의 전자밀도 n은 에너지 gap Eg의 크기에 따라 변한다. 다음 중 옳은 것은?
     1. n은 Eg의 증가에 지수 함수적으로 증가한다.
     2. n은 Eg의 증가에 지수 함수적으로 감소한다.
     3. n은 Eg에 반비례한다.
     4. n은 Eg에 비례한다.

     정답 : []
     정답률 : 40%

78. 빛의 파장이 4.5×10-10 [m]일 때 광자의 에너지는? (단, 플랑크상수는 6.6×10-34[Jㆍs]이다.)
     1. 1.5×10-16[J]
     2. 2.2×10-16[J]
     3. 3.9×10-16[J]
     4. 4.4×10-16[J]

     정답 : []
     정답률 : 9%

79. 어떤 도체의 단면을 1[A]의 전류가 흐를 때, 이 단면을 0.01초 동안에 통과하는 전자수는?
     1. 6.25×1016 [개]
     2. 6.25×1018 [개]
     3. 6.25×1020 [개]
     4. 6.25×1022 [개]

     정답 : []
     정답률 : 30%

80. 진성반도체의 페르미 준위는?
     1. 온도에 따라 변화하지 않는다.
     2. 온도가 감소하면 전도대로 향한다.
     3. 온도가 감소하면 충만대로 향한다.
     4. 온도가 감소하면 가전대로 향한다.

     정답 : []
     정답률 : 28%

81. 데이터의 순환적 구조와 관계가 깊은 리스트는?
     1. 단순 연결 리스트(singly linked list)
     2. 이중 연결 리스트(doubly linked list)
     3. 다중 연결 리스트(multi linked list)
     4. 환형 연결 리스트(circular linked list)

     정답 : []
     정답률 : 47%

82. 가상기억장치(Virtual Memory System)를 도입함으로써 기대할 수 있는 장점이 아닌 것은?
     1. Binding Time을 늦추어서 프로그램의 Relocation을 용이하게 쓴다.
     2. 일반적으로 가상기억장치를 채택하지 않는 시스템에서의 실행속도보다 빠르다.
     3. 실제 기억용량보다 큰 가상공간(Virtual Space)을 사용자가 쓸 수 있다.
     4. 오버레이(Overlay) 문제가 자동적으로 해결된다.

     정답 : []
     정답률 : 알수없음

83. 다음 설명에 해당하는 용어는?

    

     1. PROCEDURE
     2. LIBRARY 함수
     3. FUNCTION SUBPROGRAM
     4. SUBROUTINE SUBPROGRAM

     정답 : []
     정답률 : 40%

84. 단항(unary) 연산에 해당되지 않는 것은?
     1. move
     2. compare
     3. clear
     4. shift

     정답 : []
     정답률 : 40%

85. 다음 C언어 프로그램을 수행하고 난 후의 결과값으로 옳은 것은?

    

     1. 13 13 -1 32
     2. 13 25 0 95
     3. 13 14 -1 95
     4. 14 13 0 95

     정답 : []
     정답률 : 알수없음

86. 인터럽트(interrupt)의 발생 원인으로 옳지 않은 것은?
     1. 부 프로그램 호출
     2. 오퍼레이터에 의한 동작
     3. 불법적인 인스트럭션(instruction)의 수행
     4. 정전 또는 자료 전달 과정에서 오류 발생

     정답 : []
     정답률 : 34%

87. 하드 와이어드(hard wired) 방식이 마이크로 프로그래밍 방식보다 좋은 점은?
     1. 컴퓨터의 속도가 향상된다.
     2. 다양한 번지 모드를 갖는다.
     3. 인스트럭션 세트를 변경하기가 쉽다.
     4. 비교적 복잡한 명령 세트를 가진 시스템에 적합하다.

     정답 : []
     정답률 : 19%

88. 디스크에 헤드가 가까울수록 불순물이나 결함에 의한 오류 발생의 위험이 더 크다. 이러한 문제점을 해결한 것은?
     1. 윈체스터 디스크
     2. 이동 디스크
     3. 콤팩트 디스크
     4. 플로피 디스크

     정답 : []
     정답률 : 59%

89. 다음은 0-주소 명령어 방식으로 이루어진 프로그램이다. 레지스터 X의 내용은? (단, 레지스터 A=1, B=2, C=3, D=3, E=2이며, ADD는 덧셈 명령어, MUL은 곱셈 명령어이다.)

    

     1. 15
     2. 20
     3. 25
     4. 30

     정답 : []
     정답률 : 37%

90. 다음 명령어의 형식에 대한 설명 중 옳지 않은 것은?
     1. 3-주소 명령어 형식은 3개의 자료 필드를 갖고 있다.
     2. 2-주소 명령어 형식에서는 연산 후에도 원래 입력 자료가 항상 보존된다.
     3. 1-주소 명령어 형식에서는 연산 결과가 항상 누산기(accumulator)에 기억된다.
     4. 0-주소 명령어 형식을 사용하는 컴퓨터는 일반적으로 스택(stack)을 갖고 있다.

     정답 : []
     정답률 : 20%

91. CPU가 입출력 장치에 접근하는 방식의 설명으로 틀린 것은?
     1. CPU가 입출력 장치를 메모리의 일부로 취급하여 접근하는 방식을 메모리 맵 I/O 방식이라 한다.
     2. 메모리 맵 I/O 방식을 구성할 때는 필수적으로 입출력 요구선(IORQ)을 사용하여야 한다.
     3. 8080이나 Z80 시스템은 원칙적으로 I/O 맵 I/O 방식을 사용하게 되어 있다.
     4. I/O 맵 I/O 방식에서는 별도의 입출력 명령을 사용하여야 한다.

     정답 : []
     정답률 : 0%

92. 다음 불 대수 중 옳지 않은 것은?
     1. A+0 = A
     2. AㆍA = 1
     3.
     4.

     정답 : []
     정답률 : 42%

93. 컴퓨터에서 사용되는 인스트럭션(Instruction)의 기능으로 분류할 때 해당되지 않는 것은?
     1. 함수연산 기능(Function Operation)
     2. 전달 기능(Transfer Operation)
     3. 입출력 기능(Input Output Operation)
     4. 처리 기능(Process Operation)

     정답 : []
     정답률 : 10%

94. 언어를 번역하는 번역기가 아닌 것은?
     1. assembler
     2. interpreter
     3. compiler
     4. Linkage editor

     정답 : []
     정답률 : 55%

95. 중앙처리장치의 구성이 아닌 것은?
     1. 제어장치
     2. 산술 및 논리연산 장치
     3. 레지스터
     4. 출력장치

     정답 : []
     정답률 : 알수없음

96. 캐시(cache) 메모리에 대한 설명으로 옳은 것은?
     1. 중앙처리장치와 주기억장치 사이의 속도차를 해결하는 것이다.
     2. 중앙처리장치와 보조기억장치 사이의 속도차를 해결하는 것이다.
     3. 중앙처리장치와 입출력장치 사이의 속도차를 해결하는 것이다.
     4. 주기억장치의 보조기억매체이다.

     정답 : []
     정답률 : 16%

97. 주소지정방식에 대한 설명으로 틀린 것은?
     1. register address mode : 명령의 주소 부분의 값은 중앙처리장치내의 register이다.
     2. immediate address mode : 명령의 주소 부분이 그대로 유효주소이다.
     3. relative address mode : 프로그램 카운터의 내용이 주소부분과 더해져서 유효주소가 된다.
     4. indexed address mode : index register 내용이 주소부분과 더해져서 유효주소가 된다.

     정답 : []
     정답률 : 22%

98. 자료를 추출하고 그에 의거한 보고서를 작성하는데 사용하는 가장 적합한 프로그래밍 언어는?
     1. C
     2. java
     3. perl
     4. HTML

     정답 : []
     정답률 : 39%

99. 숫자를 EBCDIC 코드로 표현할 때 0~9까지의 수에서 앞의 4비트(존 비트) 표시형태는?
     1. 1111
     2. 0000
     3. 0011
     4. 1010

     정답 : []
     정답률 : 40%

100. CPU내 여러 장치들의 가장 일반적인 연결 방법은?
     1. 버스
     2. 직접 연결
     3. 간접 연결
     4. 직ㆍ간접 혼용

     정답 : []
     정답률 : 46%


정 답 지

1

2

3

4

5

6

7

8

9

10

11

12

13

14

15

16

17

18

19

20

21

22

23

24

25

26

27

28

29

30

31

32

33

34

35

36

37

38

39

40

41

42

43

44

45

46

47

48

49

50

51

52

53

54

55

56

57

58

59

60

61

62

63

64

65

66

67

68

69

70

71

72

73

74

75

76

77

78

79

80

81

82

83

84

85

86

87

88

89

90

91

92

93

94

95

96

97

98

99

100

전자기사 필기 기출문제(해설) 및 CBT 2010년09월05일을 이용해 주셔서 감사합니다.
, 필기, 기출문제, 전자문제집, CBT, 온라인, 모의테스트, 모의고사



List of Articles
번호 제목 글쓴이 날짜 조회 수
3256 전자기사 필기 기출문제(해설) 및 CBT 2009년03월01일(719) 좋은아빠되기 2025.10.05 15
3255 전자기사 필기 기출문제(해설) 및 CBT 2009년05월10일(720) 좋은아빠되기 2025.10.05 14
3254 전자기사 필기 기출문제(해설) 및 CBT 2009년08월30일(721) 좋은아빠되기 2025.10.05 34
3253 전자기사 필기 기출문제(해설) 및 CBT 2010년03월07일(722) 좋은아빠되기 2025.10.05 21
» 전자기사 필기 기출문제(해설) 및 CBT 2010년09월05일(724) 좋은아빠되기 2025.10.05 16
3251 전자기사 필기 기출문제(해설) 및 CBT 2011년06월12일(726) 좋은아빠되기 2025.10.05 15
3250 전자기사 필기 기출문제(해설) 및 CBT 2011년10월02일(727) 좋은아빠되기 2025.10.05 19
3249 전자기사 필기 기출문제(해설) 및 CBT 2012년03월04일(728) 좋은아빠되기 2025.10.05 22
3248 전자기사 필기 기출문제(해설) 및 CBT 2012년09월15일(730) 좋은아빠되기 2025.10.05 14
3247 전자기사 필기 기출문제(해설) 및 CBT 2013년06월02일(732) 좋은아빠되기 2025.10.05 14
3246 전자기사 필기 기출문제(해설) 및 CBT 2013년09월28일(733) 좋은아빠되기 2025.10.05 15
3245 전자기사 필기 기출문제(해설) 및 CBT 2014년03월02일(734) 좋은아빠되기 2025.10.05 15
3244 전자기사 필기 기출문제(해설) 및 CBT 2014년05월25일(735) 좋은아빠되기 2025.10.05 23
3243 전자기사 필기 기출문제(해설) 및 CBT 2014년09월20일(736) 좋은아빠되기 2025.10.05 15
3242 전자기사 필기 기출문제(해설) 및 CBT 2015년03월08일(737) 좋은아빠되기 2025.10.05 30
3241 전자기사 필기 기출문제(해설) 및 CBT 2015년05월31일(738) 좋은아빠되기 2025.10.05 21
3240 전자기사 필기 기출문제(해설) 및 CBT 2015년09월19일(739) 좋은아빠되기 2025.10.05 15
3239 전자기사 필기 기출문제(해설) 및 CBT 2016년03월06일(740) 좋은아빠되기 2025.10.05 15
3238 전자기사 필기 기출문제(해설) 및 CBT 2016년05월08일(741) 좋은아빠되기 2025.10.05 14
3237 전자기사 필기 기출문제(해설) 및 CBT 2016년10월01일(742) 좋은아빠되기 2025.10.05 22
Board Pagination Prev 1 ... 11 12 13 14 15 16 17 18 19 20 ... 178 Next
/ 178