자격증 필기 기출문제



공조냉동기계기사(구) 필기 기출문제(해설) 및 CBT 2010년03월07일(1347)

최강 자격증 기출문제 전자문제집 CBT : www.comcbt.com


전자문제집 CBT란?

종이 문제집이 아닌 인터넷으로 문제를 풀고 자동으로 채점하며 모의고사, 오답 노트, 해설까지 제공하는
무료 기출문제 학습 프로그램으로 실제 상설검정에서 사용하는 OMR 형식의 CBT를 제공합니다.


최신 공조냉동기계기사(구) 필기 기출문제 : [다운로드]

1과목 : 기계열역학


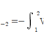
1. 보일러 입구의 압력이 9800kN/m2이고, 복수기의 압력이 4900N/m2일 때 펌프 일은 약 몇 kJ/kg 인가? (단, 물의 비체적은 0.001m3/kg이다.)
     1. -9.79
     2. -15.17
     3. -87.25
     4. -180.52

     정답 : []
     정답률 : 62%
     <문제 해설>
펌프의 일은 공업일이므로 v(P2-P1)로 나타낼 수 있다.
단위에 주의하여 입력한다 = 0.001 * (9800*10^3 - 4900)= 9795...J/Kg
[해설작성자 : 건전한자]

2. 잘 단열된 노즐에서 공기가 0.45MPa에서 0.15 MPa로 팽창한다. 노즐 입구에서 공기의 속도는 50m/s, 온도는 150℃이며 출구에서의 온도는 45℃이다. 출구에서의 공기의 속도는? (단, 공기의 정압비열과 정적비열은 1.0035 kJ/kgㆍK, 0.7165 kJ/kgㆍK 이다.)
     1. 약 350 m/s
     2. 약 363 m/s
     3. 약 455 m/s
     4. 약 462 m/s

     정답 : []
     정답률 : 41%
     <문제 해설>
노즐의 에너지 보존법칙
h1 + (v1^2/ 2) = h2 + (v2^2 / 2)
h = CpT

좌변 = 1.0035*423* (50^2 / 2* 1000) = 약 425.88KJ/KG
우변 = 1.0035*318* (V2 / 2000) = 319.33 + (V2^2 / 2000)
415.88 = 319.33+(V2^2/2000)
V2 = 461.5m/s
[해설작성자 : comcbt.com 이용자]

3. 단순 압축성 물질의 압력-체적-온도사이의 관계식을 나타내는 상태방적식 Pv=RT에 대한 다음 설명 중 잘못된 것은?
     1. 이상 기체에 적용할 때 정확한 결과를 얻는다.
     2. 압력이 충분히 높은 기체에 적용할 때 정확한 결과를 얻는다.
     3. 밀도가 충분히 낮은 기체에 적용할 때 정확한 결과를 얻는다.
     4. 분자 사이에 작용하는 힘이 없다고 가정할 수 있는 기체에 적용할 때 정확한 결과를 얻는다.

     정답 : []
     정답률 : 54%

4. 다음 그림은 열교환기를 흐름 배열(flow arrangement)에 따라 분류한 것이다. 맞는 것은?

   

     1. 평행류
     2. 대향류
     3. 병행류
     4. 직교류

     정답 : []
     정답률 : 74%

5. 500 W의 전열기로 4 kg의 물을 20℃에서 90℃까지 가열하는데 몇 분이 소요되는가? (단, 전열기에서 열은 전부 온도 상승에 사용된다. 물의 비열은 4180 J/kgㆍK이다.)
     1. 16
     2. 27
     3. 39
     4. 45

     정답 : []
     정답률 : 60%

6. 고온열원(T1)과 저온열원(T2) 사이에서 역카르노 사이클에 의한 열펌프(heat pump)의 성능계수는?
     1. (T1-T2)T1
     2. T2/(T1-T2)
     3. T1/(T1-T2)
     4. (T1-T2)/T2

     정답 : []
     정답률 : 62%

7. 상온의 감자를 가열하여 뜨거운 감자로 요리하였다. 감자의 에너지 변동 중 맞는 것은?
     1. 위치에너지가 증가
     2. 엔탈피 감소
     3. 운동에너지 감소
     4. 내부에너지가 증가

     정답 : []
     정답률 : 75%
     <문제 해설>
감자가 열을 받아서 내부에너지가 증가합니다(열역학1법칙)
[해설작성자 : 깡군]

8. 흑체의 온도가 20℃에서 80℃로 되었다면 방사하는 복사 에너지는 약 몇 배가 되는가?
     1. 1.2
     2. 2.1
     3. 4.0
     4. 5.0

     정답 : []
     정답률 : 65%
     <문제 해설>
복사 에너지는 절대온도의 4제곱에 비례함
(273+80)^4 / (273+20)^4 = 2.1
[해설작성자 : 유이크로스]

9. 체적이 0.3 m3인 튼튼한 밀폐 용기에 물이 50kg 들어있으며 그 압력은 100 kPa이다. 이 포화상태의 물을 가열할 경우 일어나는 변화로 알맞은 것은? (단, 물의임계점에서의 비체적은 0.003155 m3/kg이고, 100 kPa에서의 포화수 및 포화증기의 비체적은 각각 0.001043 m3/kg, 1.694m3/kg이다.)(오류 신고가 접수된 문제입니다. 반드시 정답과 해설을 확인하시기 바랍니다.)
     1. 기화가 일어나 수증기로 바뀌면서 압력과 온도가 올라간다.
     2. 응축이 일어나 액체 상태로 바뀌면서 압력과 온도가 올라간다.
     3. 액체와 증기의 비율이 그대로 유지된 채로 압력과 온도가 올라간다.
     4. 기화가 일어나 수증기로 바뀌면서 압력과 온도는 그대로 유지된다.

     정답 : []
     정답률 : 33%
     <문제 해설>
아래와 같은 오류 신고가 있었습니다.
여러분들의 많은 의견 부탁 드립니다.
추후 여러분들의 의견을 반영하여 정답을 수정하도록 하겠습니다.
참고로 정답 변경은 오류 신고 5회 이상일 경우 수정합니다.

[오류 신고 내용]
비체적이 습증기상태에서 열을받으면 온도압력변화없이 기화하는거 아닌가요?
[해설작성자 : dhdnwls44]

[추가 오류 신고]
답 1번임 밀폐계에서 가열은 비체적 고정이므로 4번도 아님
[해설작성자 : ㅇㅇ]

10. 고체에 에너지를 전달하여 온도를 높이는 여러가지 방법들 중에서 전달되는 에너지가 일이 아닌 것은?
     1. 프레스로 소성 변형시킨다.
     2. 전원을 연결하여 전류를 통과시킨다.
     3. 자기장을 가하여 자화시킨다.
     4. 강력한 빛을 쪼인다.

     정답 : []
     정답률 : 63%

11. 그림은 압력-온도선도이다. 다음 설명 중 틀린 것은?

    

     1. (A)는 고체, (B)는 액체, (C)는 기체이다.
     2. (D)는 삼중점으로 물의 경우 압력은 대기압보다 낮다.
     3. (E)는 임계점이다.
     4. 융해곡선으로서 물은 파선 F에, 그 밖의 대부분의 물질은 실선 G에 해당한다.

     정답 : []
     정답률 : 55%

12. 압력 250 kPa, 체적 0.35 m3의 공기가 일정 압력 하에서 팽창하여, 체적이 0.5m3로 되었다. 이때의 내부에너지의 증가가 93.9 kJ이었다면, 팽창에 필요한 열량은 약 몇 kJ인가?
     1. 43.8
     2. 56.4
     3. 131.4
     4. 175.2

     정답 : []
     정답률 : 60%
     <문제 해설>
W = P(v2-v1)
    = 250(0.5-0.35)
    = 37.5
Q = ΔU + W
    = 93.9 + 37.5 = 131.4
[해설작성자 : 만년공학도]

13. 어느 열기관이 33 kW의 일을 발생할 때 1시간 동안의 일을 열량으로 환산하면 약 얼마인가?
     1. 83600 kJ
     2. 104500 kJ
     3. 118800 kJ
     4. 988780 kJ

     정답 : []
     정답률 : 68%

14. 내부에너지가 40 kJ, 절대압력이 200 kPa, 체적이 0.1m3, 절대온도가 300K인 계의 엔탈피는 약 몇 kJ인가?
     1. 42
     2. 60
     3. 80
     4. 240

     정답 : []
     정답률 : 66%
     <문제 해설>
H = U + PV = 40 + 200 X 0.1 = 60kJ
[해설작성자 : 서문형]

15. 다음의 열역학 상태량 중 종량적 상태량은?
     1. 압력
     2. 체적
     3. 온도
     4. 밀도

     정답 : []
     정답률 : 70%

16. 분자량이 29이고, 정압비열이 1005 J/kgㆍK인 기체의 기체상수는 약 몇 J/kgㆍK인가? (단, 일반기체상수는 8314.5 J/kmolㆍK이다.)
     1. 976
     2. 287
     3. 34.7
     4. 29.3

     정답 : []
     정답률 : 57%

17. 절대압력 100 kPa, 온도 100℃인 상태에 있는 수소의 비체적(m3/kg)은? (단, 수소의 분자량은 2이고, 일반기체상수는 8.3145 kJ/kmolㆍK 이다.)
     1. 약 15.5
     2. 약 0.42
     3. 약 3.16
     4. 약 0.84

     정답 : []
     정답률 : 52%

18. 다음과 같은 온도범위에서 작동하는 카르노(Carnot)사이클 열기관이 있다. 이 중에서 효율이 가장 좋은것은?
     1. 0℃와 100℃
     2. 100℃와 200℃
     3. 200℃와 300℃
     4. 300℃와 400℃

     정답 : []
     정답률 : 67%

19. 이상기체 1kg이 가역등온 과정에 따라 P1=2kPa, V1=0.1m3로 부터 V2=0.3m3로 변화했을 때 기체가 한 일은 몇 주울(J)인가?
     1. 9540
     2. 2200
     3. 954
     4. 220

     정답 : []
     정답률 : 57%
     <문제 해설>
등온과정 일 = P1 * V1 * ln (V2/V1)
2000 * 0.1 * ln(0.3/0.1) = 219.7 = 약 220J
[해설작성자 : 건전한자]

20. 반데발스(van der Waals)의 상태 방정식은 로 표시된다. 이 식에서 , b는 각각 무엇을 고려하는 상수인가?
     1. 분자간의 작용 인력, 분자간의 거리
     2. 분자간의 작용 인력, 분자 자체의 부피
     3. 분자 자체의 중량, 분자간의 거리
     4. 분자 자체의 중량, 분자 자체의 부피

     정답 : []
     정답률 : 63%

2과목 : 냉동공학


21. 다음 설명 중 ( )에 적당한 것은?

    

     1. 낮았다가 높아
     2. 낮아
     3. 일정해
     4. 높아

     정답 : []
     정답률 : 79%

22. 흡수식 냉동기의 재생기로 들어가는 용액의 농도를 ζ1, 발생기에서 나오는 용액의 농도를 ζ2라고 할 때 용액순환비 a를 나타내는 식으로 적당한 것은?
     1.
     2.
     3.
     4.

     정답 : []
     정답률 : 45%

23. 20℃, 500kg의 물을 -10℃의 얼음으로 만들고자 한다. 이때 필요한 냉동능력은 약 몇 RT인가? (단, 물의 비열을 1kcal/kg℃, 얼음의 비열을 0.5kcal/kg℃, 물의 응고잠열을 80kcal/kg, 1RT를 3320kcal/h로 한다.)
     1. 9.79
     2. 13.55
     3. 15.81
     4. 16.57

     정답 : []
     정답률 : 60%

24. 두께 20cm의 벽돌 벽이 있다. 벽 외측의 온도 15℃, 벽 내측의 온도가 25℃일 때 이 벽을 통하여 흐르는 열량은 몇 kcal/m2h인가? (단, 벽돌의 열전도율(λ)은 0.8 kcal/mh℃ 이다.)
     1. 20
     2. 40
     3. 100
     4. 200

     정답 : []
     정답률 : 64%

25. 다음과 같은 냉동 사이클 중 성적계수가 가장 큰 사이클은 어느 것인가?

    

     1. b - e - h - i - b
     2. c - d - h - i - c
     3. b - f - g - j - b
     4. a - e - h - j - a

     정답 : []
     정답률 : 74%

26. 다음 T-S 선도와 같은 카르노 사이클에서 열펌프(Heat Pump)로 작동할 때의 성적계수는 약 얼마인가?

    

     1. 7.57
     2. 1.5
     3. 0.75
     4. 6.57

     정답 : []
     정답률 : 56%

27. 냉동장치에서 압력용기의 안전장치로 사용되는 가용전 및 파열판에 대한 설명이다. 옳지 않은 것은?
     1. 파열판의 파열압력은 내압시험 압력이상의 압력으로 한다.
     2. 응축기에 부착하는 가용전의 용융온도는 보통 75℃ 이하로 한다.
     3. 안전밸브와 파열판을 부착한 경우 파열판의 파열압력은 안전밸브의 작동 압력이상으로 해도 좋다.
     4. 파열판은 터보 냉동기에 주로 사용된다.

     정답 : []
     정답률 : 47%

28. 냉동기의 압축기에 사용되는 윤활유의 구비성질이 아닌 것은?
     1. 저온에서 응고점이 충분히 낮고, 고온에서 열화가 되지 않을 것
     2. 인화점이 높고, 냉매에 잘 용해될 것
     3. 수분 함유량이 적고, 전기절연내력이 클 것
     4. 장기간 사용하여도 변질되거나 열화되지 않을 것

     정답 : []
     정답률 : 75%

29. 냉동기 중 공급 에너지원이 동일한 것끼리 이루어진 것은?
     1. 흡수식 냉동기, 기체 냉동기
     2. 증기분사 냉동기, 증기 압축 냉동기
     3. 기체 냉동기, 흡수 냉동기
     4. 증기분사 냉동기, 흡수 냉동기

     정답 : []
     정답률 : 64%
     <문제 해설>
증기 압축 (전기모터) , 기체 냉동기 (압축기) : 기계적 에너지를 사용
흡수식 (보일러), 증기 분사 냉동기 (증기) : 열 에너지를 사용
[해설작성자 : comcbt.com 이용자]

30. 액 분리기에 대하여 기술할 때 옳은 것은?
     1. 액 분리기는 R - 22의 냉동장치에서 액을 반드시 건조기로 되돌리는 일을 한다.
     2. 액 분리기는 흡입관 중의 가스와 액을 분리하여 액 압축을 방지시킨다.
     3. 액 분리기는 압축기에 액과 가스를 분리하는 것이다.
     4. 액 분리기는 암모니아의 냉동장치에는 사용하지 않는다.

     정답 : []
     정답률 : 59%
     <문제 해설>
액 분리기는 흡입관 중의 냉매가스와 냉매액을 분리시킨다.
[해설작성자 : 류원수]

31. 무기질 브라인이 아닌 것은?
     1. CaCl2
     2. CH3OH
     3. MgCl2
     4. NaCl

     정답 : []
     정답률 : 73%

32. 전자변(solenoid valve) 설치시 주의 사항이 아닌 것은?
     1. 코일 부분이 상부로 오도록 수직으로 설치한다.
     2. 전자변 직전에 스트레이너를 장치한다.
     3. 배관시 전자변에 부당한 하중이 걸리지 않아야한다.
     4. 전자변 본체의 유체 방향성에 무관하게 설치한다.

     정답 : []
     정답률 : 75%
     <문제 해설>
사이드 글라스, 건조기, 여과기, 전자밸브순
[해설작성자 : dalma2018]

33. 다음 중간 압력에 대한 설명 중 맞는 것은? (단, 저압 압축기, 고압 압축기 모두 건조 포화증기가 흡입 압축되는 정상운전을 하는 것으로 고려한다.)
     1. 중간 압력을 저압에 가까이 하면 성적계수는 커진다.
     2. 중간 압력을 고압에 가까이 하면 성적계수는 커진다.
     3. 중간 압력이 낮을수록 냉동효과는 커진다.
     4. 중간 압력이 낮을수록 고압 압축기 일량이 적어진다.

     정답 : []
     정답률 : 38%
     <문제 해설>
중간압력이 낮을수록 냉동효과는 커짐
[해설작성자 : ㄱㄱㄱㄱ]

34. 냉동장치의 제어에 관한 설명 중 올바른 것은?
     1. 온도식 자동팽창밸브는 증발기 입구의 냉매가스온도가 일정한 과열도로 유지되도록 냉매유량을 조절하는 팽창밸브이다.
     2. 증발온도가 다른 2대의 증발기를 1대의 압축기로 운전 할 때 증발압력조정밸브는 증발온도가 높은 쪽의 증발기 출구쪽에 설치한다.
     3. 흡읍압력조정밸브는 증발기 입구측에 설치하여 기동시 과부하 등으로 인해 압축기용 전동기가 손상되기 쉬운것을 방지한다.
     4. 저압축 플로트식 팽창밸브는 주로 건식증발기의 액면 높이에 따라 냉매의 유량을 조절하는 것이다.

     정답 : []
     정답률 : 48%
     <문제 해설>
1. 과열도는 증발기출구 (출구 냉매 온도와 포화온도 차)를 의미한다.따라서 온도식 자동팽창밸브도 증발기 출구 온도 기준이다.

3. 흡입압력조정밸브는 압축기 흡입관 앞 (=증발기 출구쪽)에 설치하여 흡입압력이 높아져 압축기가 과부하가 일어나는 것을 방지한다.

4. 플로트식 팽창밸브는 습식 증발기에 사용한다. (참고 : 건식 - 열팽창밸브)
[해설작성자 : comcbt.com 이용자]

35. 공기열원 수가열 R-22 열펌프 장치를 가열운전(시운전)하는 상태에서 압축기 토출밸브 부근에서 노출가스온도를 측정하였더니 120~140℃로 나타났다. 이러한 운전상태로 나타난 원인이나 상황 등과 관계가 없는 설명은?
     1. 냉매 분해가 일어날 가능성이 있다.
     2. 팽창밸브를 지나치게 교축 하였을 가능성이 있다.
     3. 공기측 열교환기(증발기)에서 눈에 띄게 착상이 일어나면 이것도 원인이 된다.
     4. 가열측 순환온수의 유량을 설계값 보다 많게 하는 것도 원인이 된다.

     정답 : []
     정답률 : 50%
     <문제 해설>
유량을 설계값보다 많게 하는것은 영향이 없다.
[해설작성자 : 류원수]

36. to=-20의 R-22 냉동장치가 있고, 냉매 순환량 qmr=300kg/h에서 건조포화 증기를 흡입압축 하는 것으로 한다. 액분리기 드럼의 내경은 약 몇 m정도로 하면 좋은가? (단, 액분리기의 가스속도를 0.5m/s로 하고, -20℃의 R-22 건조포화 증기의 비체적 v=0.0925 m3/kg이다.)
     1. 0.14
     2. 0.58
     3. 1.42
     4. 1.98

     정답 : []
     정답률 : 25%
     <문제 해설>
액분리기 드럼이 원형인 경우 A = pi*D^2 / 4 이다.

유량 = 단면적 * 속도
유량 = 냉매순환량 * 비체적

냉매순환량 = 300kg/h = 0.0833kg/s
유량 = 0.00833*0.0925 = 0..007708m^3/s
단면적 = 0.007708/0.5 = 0.015416m^2
내경 = 루트([4*0.015416]/pi) = 0.14m
[해설작성자 : comcbt.com 이용자]

37. 폭 12m, 길이 25m, 높이 4m의 철근 콘크리트 건물로 된 냉각실을 암모니아 직접 팽창식으로, 외경 60.5mm 강관 1,400m를 사용하여 -18℃로 유지하려고 한다. 냉각관내의 암모니아 증발온도는 -28℃로 하고 강관 표면의 열통과율은 11.2kcal/m2h℃라 할 때 소요 냉동능력은 약 얼마인가?
     1. 4829kcal/h
     2. 26600kcal/h
     3. 29800kcal/h
     4. 31200kcal/h

     정답 : []
     정답률 : 48%

38. 대기압에서 암모니아액 1kg을 증발시킨 열량은 0℃ 얼음 몇 kg을 융해시킨 것과 같은가?
     1. 2.1
     2. 3.1
     3. 4.1
     4. 5.1

     정답 : []
     정답률 : 58%
     <문제 해설>
암모니아 기화잠열 = 1370KJ/kg
얼음 융해잠열 = 334KJ/Kg

1370/334 = 4.1
[해설작성자 : comcbt.com 이용자]

39. 냉동장치에서 증발온도를 일정하게 하고 응축온도를 높일 때 일어나는 현상은?
     1. 성적계수 증가
     2. 압축일량 감소
     3. 토출가스온도 감소
     4. 플래쉬가스 발생량 증가

     정답 : []
     정답률 : 74%

40. 증발기 중 가정용 냉장고, 쇼케이스 등과 같이 소형냉동시스템에 주로 사용하는 것은?
     1. 만랙식 셸엔드 튜브식 증발기
     2. 건식 셸엔드 튜브식 증발기
     3. 나관 코일식 증발기
     4. 헤링본식 증발기

     정답 : []
     정답률 : 50%

3과목 : 공기조화


41. 배관설비 중 보일러의 안전수면을 유지시키기 위한 설비는 어느 것인가?
     1. 플랜지 이음
     2. 리버스 리턴 배관
     3. 하트포드 배관
     4. 슬리브 이음

     정답 : []
     정답률 : 77%

42. 어떤 실의 난방 부하를 계산한 결과 5000kcal/h였다. 증기난방으로 할 경우 소요 방열면적은 약 얼마인가? (단, 난방조건은 표준상태, 증기의 온도 102℃, 실내온도 18.5℃로 한다.)
     1. 5.6m2
     2. 7.7m2
     3. 8.9m2
     4. 11.1m2

     정답 : []
     정답률 : 55%

43. 어떤 구조체의 손실열량을 계산하는 식 Q=KㆍAㆍ△t에서 K는 무엇을 의미 하는가?
     1. 열통과율[kcal/m2h℃]
     2. 열전도율[[kcal/mh℃]
     3. 열저항[m2℃/[kcal]]
     4. 열복사율[[kcal/m2h℃]

     정답 : []
     정답률 : 66%

44. 열원방식에서 에너지를 선택ㆍ결정할 때 고려되어야 할 사항으로 틀린 것은?
     1. 에너지원 확보의 안정성
     2. 열원기기의 유지ㆍ보수관리 필요성
     3. 복합에너지 시스템으로 서 시스템 구축
     4. 기기의 용량 분할의 필요성

     정답 : []
     정답률 : 45%

45. 공기 중의 수분이 벽이나 천장, 바닥 등에 닿았을 때 응축되어 이슬이 맺히는 경우가 있다. 이와 같은 수분의 응축 결로를 방지하는 방법으로 적당하지 않은 것은?
     1. 다습한 외기를 도입하지 않도록 한다.
     2. 벽체인 경우에는 단열재를 부착한다.
     3. 유리창인 경우에는 2중유리(Pair glass)를 사용한다.
     4. 공기와 접촉하는 벽면의 온도를 노점온도 이하로 낮춘다.

     정답 : []
     정답률 : 77%

46. 주철제 보일러의 특징을 설명한 것으로 틀린 것은?
     1. 섹션을 분할하여 반입하므로 현장설치의 제한이 적다.
     2. 강제 보일러보다 내식성이 우수하며 수명이 길다.
     3. 강제 보일러보다 급격한 온도변화에 강하여 고온ㆍ고압의 대용량으로 사용된다.
     4. 섹션을 증가시켜 간단하게 출력을 증가시킬 수 있다.

     정답 : []
     정답률 : 71%

47. 공조기 냉각코일의 출구공기를 재열하는 경우가 아닌 것은?
     1. 공조기의 풍량이 계산량보다 적을 때
     2. 실내의 잠열취득 잠열취득 비율이 커서 포화선과 교차하지 않을 때
     3. 현열비가 작아 포화선과 교차하지 않을 때
     4. 이중 덕트를 사용할 때

     정답 : []
     정답률 : 38%

48. 인체의 발열에 관한 설명으로 틀린 것은?
     1. 증발 : 인체 피부에서의 수분이 증발하며 그 증발열로 체내 열을 방출한다. 입에서 불어내는 공기 중에도 증발한 수분이 함유되어 있다.
     2. 대류 : 인체 표면과 주위공기와의 사이에 열의 이동으로 인위적으로 조절이 가능하며 주위공기의 온도와 기류에 영향을 받는다.
     3. 복사 : 실내온도와 관계없이 유리창과 벽면 등의 표면 온도와 인체 표면과의 온도차에 따라 실제 느끼지 못하는 사이 방출되는 열이다.
     4. 전도 : 겨울철 유리창근처에서 추위를 느끼는 것은 전도에 의한 열 방출이다.

     정답 : []
     정답률 : 68%

49. 고속 덕트의 설계법에 관한 설명 중 틀린 것은?
     1. 송풍기 동력이 과대해진다.
     2. 동력비가 증가된다.
     3. 공조용 덕트는 소음의 고려가 필요하지 않다.
     4. 리턴 덕트와 공조기에서는 저속방식과 같은 풍속으로 한다.

     정답 : []
     정답률 : 80%

50. 증기 사용압력이 가장 낮은 보일러는?
     1. 노통 연관 보일러
     2. 수관 보일러
     3. 관류 보일러
     4. 입형 보일러

     정답 : []
     정답률 : 57%

51. 냉방 시 열의 종류와 설명이 틀린 것은?
     1. 인체의 발생열 - 현열, 잠열
     2. 틈새바람에 의한 열량 - 현열, 잠열
     3. 외기 도입량 - 현열, 잠열
     4. 조명의 발생열 - 현열, 잠열

     정답 : []
     정답률 : 73%

52. 공기조화 방식에 대한 설명 중 옳은 것은?
     1. 각층 유닛 방식은 대규모 건물이고 다층인 경우에 적합하다.
     2. 이중 덕트 방식은 에너지 절약적인 방식이다.
     3. 팬코일 유닛 방식은 전 공기식에 비해 덕트 면적이 크다.
     4. 단일 덕트 방식에는 혼합상자를 사용한다.

     정답 : []
     정답률 : 64%

53. 온퐁난방의 특징으로 틀린 것은?
     1. 연소장치, 송풍장치 등이 일체로 되어 있어 설치가 간단하다.
     2. 예열부하가 거의 없으므로 기동시간이 아주 짧다.
     3. 토출 공기온도가 높으므로 쾌적도는 떨어진다.
     4. 실내 층고가 높을 경우에는 상하의 온도차가 작다.

     정답 : []
     정답률 : 70%
     <문제 해설>
층고가 높을 시 온도차가 큼
[해설작성자 : 루루네아빠]

54. 증기 보일러에서 환산 증발량에 관한 설명으로 옳은 것은?
     1. 대기압상태에서 100℃의 포화수를 100℃의 건포화증기로 증발시켜 상태변화시키는 경우의 증발량
     2. 대기압상태에서 37.8℃의 포화수를 100℃의 건포화증기로 증발시켜 상태변화시키는 경우의 증발량
     3. 대기압상태에서 100℃의 포화수를 소요증기로 증발시켜 상태변화시키는 경우의 증발량
     4. 대기압상태에서 37.8℃의 포화수를 소요증기로 증발시켜 상태변화시키는 경우의 증발량

     정답 : []
     정답률 : 67%

55. 덕트의 배치 방식에 관한 설명 중 틀린 것은?
     1. 간선덕트 방식은 주덕트인 입상덕트로부터 각 층에서 분기되어 각 취출구로 취출관을 연결한다.
     2. 개별 덕트 방식은 주덕트에서 각개의 취출구로 각개의 덕트를 통해 분산하여 송풍하는 방식으로 각실의 개벽 제어성은 우수하다.
     3. 환상덕트의 방식은 2개의 덕트말단을 루프(loop) 상태로 연결함으로써 덕트말단에 가까운 취출구에서 송풍량의 언밸런스가 발생될 수 있다.
     4. 각개 입상 덕트 방식은 호텔, 오피스빌딩 등 공기ㆍ수 방식인 덕트병용 팬코일 유닛방식이나 유인 유닛방식등에 사용된다.

     정답 : []
     정답률 : 63%

56. 중앙식 공조방식의 특징이 아닌 것은?
     1. 송풍량이 많으므로 실내공기의 오염이 적다.
     2. 리턴 펜을 설치하면 외기내방이 가능하게 된다.
     3. 소형건물에 적합하며 유리하다.
     4. 덕트가 대형이고 개별식에 비해 설치공간이 크다.

     정답 : []
     정답률 : 74%

57. 송풍기의 법칙에서 회전속도가 일전하고 직경이 d, 동력이 L인 송풍기의 직경을 d1으로 했을 때 동력 L1을 나타내는 식은?
     1. L1=(d1/d)2L
     2. L1=(d1/d)3L
     3. L1=(d1/d)4L
     4. L1=(d1/d)5L

     정답 : []
     정답률 : 77%

58. 유효 온도차(상당 외기온도차)에 대한 설명 중 틀린 것은?
     1. 태양 일사량을 고려한 온도차이다.
     2. 계절, 시각 및 방위에 따라 변화한다.
     3. 실내온도와는 무관하다.
     4. 냉방 부하시에 적용된다.

     정답 : []
     정답률 : 74%

59. 습공기선도(t-x선도)상에서 알 수 없는 것은?
     1. 엔탈피
     2. 습구온도
     3. 풍속
     4. 상대습도

     정답 : []
     정답률 : 75%

60. 실내의 사용목적에 적합한 온도 및 습도조건을 일정하게하고 장치의 경제적인 운전을 위하여 각종 기기의 운전, 정지, 냉온수의 유량조절, 송풍량의 조절 등을 하는 자동제어 장치에 직접적으로 해당되지 않는 것은?
     1. 전동 댐퍼
     2. 전자 2방 밸브
     3. 휴미디스탯
     4. 플로트레스 스위치

     정답 : []
     정답률 : 51%
     <문제 해설>
플로트레스 스위치(floatless switch)란 구가 없는 레벨스위치를 말한다. 변기나 건물옥상 물탱크를 열어 보면 급.배수구에 "구"같은 것이 연결되어 있어서 물이 없으면 구가 바닥에 있어 급수구가 열려 물이 공급되고 하는 구가 있는데, 플로트레스란 이 연결된 "구"가 없는 것을 말한다.구대신 전기신호를 이용하는 것이 플로트레스 스위치이다.
[해설작성자 : comcbt.com 이용자]

4과목 : 전기제어공학


61. 그림과 같은 단자 1, 2사이의 계전기접점회로 논리식은?

    

     1. {(a+b)d+c}e
     2. {(ab+c)d}+e
     3. {(a+b)c+d}e
     4. (ab+d)c+e

     정답 : []
     정답률 : 63%

62. 전기기기의 절연저항 측정에 관한 사항으로 틀린 것은?
     1. 절연저항은 무한대의 값을 갖는 것이 가장 이상적이다.
     2. 메거의 라인(L)단자에 기기의 코일단자를 연결한다.
     3. 메거의 접지(E)단자에 기기 외함을 연결한다.
     4. 절연저항의 측정치는 10Ω 이하가 적당하다.

     정답 : []
     정답률 : 58%

63. 타이머를 이용한 난방기구의 제어는 어느 분류에 속하는가?
     1. 공정제어
     2. 시퀀스제어
     3. 수치제어
     4. 피드백제어

     정답 : []
     정답률 : 63%

64. 다음 회로의 임피던스는?

    

     1.
     2.
     3.
     4.

     정답 : []
     정답률 : 36%

65. 그림과 같은 제어에 해당하는 것은?

    

     1. 개방 제어
     2. 시퀀스 제어
     3. 개루프 제어
     4. 폐루프 제어

     정답 : []
     정답률 : 64%

66. 단위에서 Ωㆍsec와 같은 단위는?
     1. F
     2. F/m
     3. H
     4. H/m

     정답 : []
     정답률 : 49%

67. 운전자가 배치되어 있지 않는 엘리베이터의 자동제어는?
     1. 추종제어
     2. 프로그램제어
     3. 정치제어
     4. 프로세스제어

     정답 : []
     정답률 : 69%

68. 전압을 V, 전류를 I, 저항을 R, 그리고 도체의 비저항을 p라 할 때 옴의 법칙을 나타낸 식은?
     1.
     2.
     3. V=IR
     4. V=IRp

     정답 : []
     정답률 : 73%

69. 논리식 에서 작동 설명이 잘못된 것은?
     1. A=1, B=0, C=1 이면 X=1 이다.
     2. A=1, B=1, C=0 이면 X=1 이다.
     3. A=0, B=0, C=0 이면 X=0 이다.
     4. A=0, B=0, C=1 이면 X=1 이다.

     정답 : []
     정답률 : 56%

70. 그림과 같은 회로에서 전달함수 를 구하면?

    

     1. R+Ls+Cs
     2.
     3.
     4.

     정답 : []
     정답률 : 58%

71. PLC의 구성에 해당되지 않는 것은?
     1. 입력장치
     2. 제어장치
     3. 주변용장치
     4. 출력장치

     정답 : []
     정답률 : 70%

72. 그림과 같은 연산증폭기를 사용한 회로의 기능은?

    

     1. 적분기
     2. 미분기
     3. 가산기
     4. 제한기

     정답 : []
     정답률 : 52%

73. △ 결선된 3상 평형회로에서 부하 1상의 임피던스가 40 + j30Ω 이고 200V의 전원전압일 때 선전류는 몇 [A]인가?
     1. 4
     2. 4√3
     3. 5
     4. 5√3

     정답 : []
     정답률 : 48%

74. 피드백 제어의 장점이 아닌 것은?
     1. 가장 간단한 제어계로 많이 사용된다.
     2. 외부 조건의 변화에 대한 영향을 줄일 수 있다.
     3. 목표 값을 정확히 달성 할 수 있다.
     4. 제어계의 특성을 향상 시킬 수 있다.

     정답 : []
     정답률 : 63%

75. 변압기 Y-Y결선방법의 특성을 설명한 것으로 틀린 것은?
     1. 중성점을 접지할 수 있다.
     2. 상전압이 선간전압의 1/√3배가 되므로 절연이 용이하다.
     3. 선로에 제 3조파를 주로 하는 충전전류가 흘러 통신장해가 생긴다.
     4. 단상변압기 3대로 운전하던 중 한대가 고장이 발생해도 V결선 운전이 가능하다.

     정답 : []
     정답률 : 61%
     <문제 해설>
한대 고장시 V결선으로 운전가능한것은 델타결선이다.
[해설작성자 : 건전한자]

76. 사이클링(Cycling)을 일으키는 제어는?
     1. 비례 제어
     2. 적분 제어
     3. 비례적분 제어
     4. ON-OFF 제어

     정답 : []
     정답률 : 64%

77. 정격주파수 60Hz의 농형 유도전동기의 1차 전압을 정격값으로 하고 50Hz에 사용할 때 낮아지는 것은?
     1. 온도
     2. 토크
     3. 역률
     4. 여자전류

     정답 : []
     정답률 : 55%

78. 제어대상의 상태를 자동적으로 제어하며, 목표값이 제어공정과 기타의 제한 조건에 순응하면서 가능한 가장 짧은 시간에 요구되는 최종상태까지 가도록 설계하는 제어는?
     1. 디지탈제어
     2. 적응제어
     3. 최적제어
     4. 정치제어

     정답 : []
     정답률 : 65%

79. 어떤 도체에 10C의 전기량이 이동하여 50J의 일을 했을 경우 전압은?
     1. 0.2[V]
     2. 5[V]
     3. 500[V]
     4. 300[V]

     정답 : []
     정답률 : 43%
     <문제 해설>
V=W/Q
[해설작성자 : comcbt.com 이용자]

80. 권선형 유도전동기의 기동방법으로 가장 적당한 것은?
     1. 전전압기동법
     2. 리액터기동법
     3. 기동보상기법
     4. 2차 저항법

     정답 : []
     정답률 : 45%

81. 강제순환식 급탕설비의 배관구배는 어느 정도로 하는 것이 좋은가?
     1. 1/100
     2. 1/150
     3. 1/200
     4. 1/250

     정답 : []
     정답률 : 37%

82. 냉매가 메칠크로라이드(CH3Cl)인 경우 사용하여서는 안되는 배관 재료는?
     1. 알루미늄 합금판
     2. 탈산 동관
     3. 탄소강 강관
     4. 스테인리스 강관

     정답 : []
     정답률 : 37%

83. 급탕설비에 관한 설명으로 틀린 것은?
     1. 중앙식 급탕설비에서의 급탕온도는 일반적으로 60℃를 기준으로 한다.
     2. 증기취입식 기수혼합 가열장치에는 소음을 줄이기 위하여 사이렌서를 설치한다.
     3. 배관과 보일러 또는 저탕탱크와의 접속에는 역류방지기를 설치한다.
     4. 리버스리턴 배관은 배관내 마찰손실수두를 줄이기 위한 방식이다.

     정답 : []
     정답률 : 48%

84. 동관의 이음에서 기계의 분해, 점검, 보수를 고려하여 사용하는 이음법은?
     1. 납땜이음
     2. 플라스턴이음
     3. 플레어이음
     4. 소켓이음

     정답 : []
     정답률 : 62%

85. 펌프 주위의 배관시 주의할 사항을 설명한 것으로 틀린 것은?
     1. 흡입관의 수평배관은 펌프를 향해 위로 올라가도록 설계한다.
     2. 토출부에 설치한 체크 밸브는 서징현상 방지를 위해 펌프에서 먼 곳에 설치한다.
     3. 흡입구(푸트밸브)는 동수위면에서 관경의 2배 이상 물속으로 들어가게 한다.
     4. 흡입관의 길이는 되도록 짧게하는 것이 좋다.

     정답 : []
     정답률 : 58%
     <문제 해설>
체크 밸브는 서징 현상을 방지하기위해 설치된다.
펌프 토출구와 슬루스 밸브 사이에서 펌프와 가까이 설치한다.
[해설작성자 : 루루네아빠]

86. 역지밸브(check valve)애 대한 기술이다. 틀린 것은?
     1. 관내유체의 흐름을 일정한 방향으로 유지하기 위하여 사용한다.
     2. 스윙형, 리프트형, 풋형 등이 있다.
     3. 구조에 따라 수평관, 수직관에 사용할 수 있다.
     4. 필요할 때 수동으로 개폐하여야 한다.

     정답 : []
     정답률 : 70%

87. 보온 시공시 외피의 마무리재로서 옥외 노출부에 사용되는 재료로서 가장 적당한 것은?
     1. 면포
     2. 비닐 테이프
     3. 방수 마포
     4. 아연 철판

     정답 : []
     정답률 : 62%

88. 온수난방 배관에서 리버스 리턴(reverse return)방식을 채택하는 이유는?
     1. 온수의 유량 분배를 균일하게 하기 위하여
     2. 배관의 길이를 짧게 하기 위하여
     3. 배관의 신축을 흡수하기 위하여
     4. 온수가 식지 않도록 하기 위하여

     정답 : []
     정답률 : 72%

89. 냉방부하 구분에 있어서 장치부하에 속하지 않는 것은?
     1. 덕트의 열손실
     2. 송풍기부하
     3. 재열부하
     4. 전열부하

     정답 : []
     정답률 : 33%

90. 일반적으로 벽체내의배수입관에 연결하여 사용하는 배수 트랩은?
     1. 드럽 트랩
     2. P 트랩
     3. S 트랩
     4. U 트랩

     정답 : []
     정답률 : 48%

91. 신축곡관이라고 통용되는 신축이음은?
     1. 스위블형
     2. 벨로즈형
     3. 슬리브형
     4. 루프형

     정답 : []
     정답률 : 50%

92. 급수설비 중 수평배관의 지지간격이 3m일 경우 강관의 관경은 얼마인가?
     1. 20A 이하
     2. 25~30A
     3. 32~40A
     4. 50~80A

     정답 : []
     정답률 : 39%

93. 가스 배관내의 유량이 2배로 증가하면 압력손실은 어떻게 되는가?
     1. 압력손실은 2배로 된다.
     2. 압력손실은 4배로 된다.
     3. 압력손실은 8배로 된다.
     4. 압력손실은 16배로 된다.

     정답 : []
     정답률 : 61%

94. 지역 냉난방설비에 대하여 잘못 설명된 것은?
     1. 에너지의 효율적 이용 및 배열이용이 가능하다.
     2. 대기오염물질이 증가한다.
     3. 도시의 방재수준의 향상이 가능하다.
     4. 사용자에게는 화재에 대한 염려가 없다.

     정답 : []
     정답률 : 75%

95. 배관설비에서 수압시험 이외의 방법으로 누설시험을 하는 배관은 어느 것인가?
     1. 액화 석유 가스배관
     2. 급수배관
     3. 급탕배관
     4. 실내 소화전 배관

     정답 : []
     정답률 : 62%
     <문제 해설>
액화석유가스(LPG)배관은 기밀 시험과 같은 기압 시험 방식을 사용한다.
[해설작성자 : comcbt.com 이용자]

96. 관경 300mm, 배관길이 500m의 중랍 가스수송관에서 AㆍB점의 게이지 압력이 3kg/cm2, 2kg/cm2인 경우 가스유량은 약 얼마인가? (단, 가스 비중 0.64, 유량계수 52.31로 한다.)
     1. 10238 m3/h
     2. 20583 m3/h
     3. 38315 m3/h
     4. 40153 m3/h

     정답 : []
     정답률 : 40%

97. 소형, 경량으로 설치면적이 적고 효율이 좋으므로 가장 많이 사용되고 있는 냉각탑은?
     1. 대기식 냉각탑
     2. 대향류식 냉각탑
     3. 직교류식 냉각탑
     4. 밀폐식 냉각탑

     정답 : []
     정답률 : 67%

98. 암모니아 냉매를 사용하는 흡수식 냉동기의 배관재료로 가장 좋은 것은?
     1. 주철관
     2. 동관
     3. 강관
     4. 동합금관

     정답 : []
     정답률 : 64%

99. 통기관의 설치 목적 중 가장 적합한 것은?
     1. 배수의 유속을 조절한다.
     2. 배수 트랩의 봉수를 보호한다.
     3. 배수관 내의 진공을 완화한다.
     4. 배수관 내의 청결도를 유지한다.

     정답 : []
     정답률 : 66%

100. 다음 중 동관용 공구가 아닌 것은?
     1. 익스팬더
     2. 사이징 툴
     3. 드레서
     4. 플레어링 툴 세트

     정답 : []
     정답률 : 64%


정 답 지

1

2

3

4

5

6

7

8

9

10

11

12

13

14

15

16

17

18

19

20

21

22

23

24

25

26

27

28

29

30

31

32

33

34

35

36

37

38

39

40

41

42

43

44

45

46

47

48

49

50

51

52

53

54

55

56

57

58

59

60

61

62

63

64

65

66

67

68

69

70

71

72

73

74

75

76

77

78

79

80

81

82

83

84

85

86

87

88

89

90

91

92

93

94

95

96

97

98

99

100

공조냉동기계기사(구) 필기 기출문제(해설) 및 CBT 2010년03월07일을 이용해 주셔서 감사합니다.
, 필기, 기출문제, 전자문제집, CBT, 온라인, 모의테스트, 모의고사



List of Articles
번호 제목 글쓴이 날짜 조회 수
1110 공조냉동기계기사(구) 필기 기출문제(해설) 및 CBT 2016년03월06일(1364) 좋은아빠되기 2025.10.06 3
1109 공조냉동기계기사(구) 필기 기출문제(해설) 및 CBT 2015년08월16일(1363) 좋은아빠되기 2025.10.06 2
1108 공조냉동기계기사(구) 필기 기출문제(해설) 및 CBT 2015년05월31일(1362) 좋은아빠되기 2025.10.06 2
1107 공조냉동기계기사(구) 필기 기출문제(해설) 및 CBT 2015년03월08일(1361) 좋은아빠되기 2025.10.06 2
1106 공조냉동기계기사(구) 필기 기출문제(해설) 및 CBT 2014년08월17일(1360) 좋은아빠되기 2025.10.06 2
1105 공조냉동기계기사(구) 필기 기출문제(해설) 및 CBT 2014년05월25일(1359) 좋은아빠되기 2025.10.06 2
1104 공조냉동기계기사(구) 필기 기출문제(해설) 및 CBT 2014년03월02일(1358) 좋은아빠되기 2025.10.06 2
1103 공조냉동기계기사(구) 필기 기출문제(해설) 및 CBT 2013년08월18일(1357) 좋은아빠되기 2025.10.06 2
1102 공조냉동기계기사(구) 필기 기출문제(해설) 및 CBT 2013년06월02일(1356) 좋은아빠되기 2025.10.06 3
1101 공조냉동기계기사(구) 필기 기출문제(해설) 및 CBT 2013년03월10일(1355) 좋은아빠되기 2025.10.06 2
1100 공조냉동기계기사(구) 필기 기출문제(해설) 및 CBT 2012년08월26일(1354) 좋은아빠되기 2025.10.06 2
1099 공조냉동기계기사(구) 필기 기출문제(해설) 및 CBT 2012년03월04일(1353) 좋은아빠되기 2025.10.06 2
1098 공조냉동기계기사(구) 필기 기출문제(해설) 및 CBT 2011년08월21일(1352) 좋은아빠되기 2025.10.06 3
1097 공조냉동기계기사(구) 필기 기출문제(해설) 및 CBT 2011년06월12일(1351) 좋은아빠되기 2025.10.06 2
1096 공조냉동기계기사(구) 필기 기출문제(해설) 및 CBT 2011년03월20일(1350) 좋은아빠되기 2025.10.06 2
1095 공조냉동기계기사(구) 필기 기출문제(해설) 및 CBT 2010년07월25일(1349) 좋은아빠되기 2025.10.06 2
1094 공조냉동기계기사(구) 필기 기출문제(해설) 및 CBT 2010년05월09일(1348) 좋은아빠되기 2025.10.06 2
» 공조냉동기계기사(구) 필기 기출문제(해설) 및 CBT 2010년03월07일(1347) 좋은아빠되기 2025.10.06 2
1092 공조냉동기계기사(구) 필기 기출문제(해설) 및 CBT 2009년03월01일(1346) 좋은아빠되기 2025.10.06 3
1091 공조냉동기계기사(구) 필기 기출문제(해설) 및 CBT 2008년05월11일(1345) 좋은아빠되기 2025.10.06 3
Board Pagination Prev 1 ... 225 226 227 228 229 230 231 232 233 234 ... 285 Next
/ 285