자격증 필기 기출문제



에너지관리기사 필기 기출문제(해설) 및 CBT 2003년08월31일(1924)

최강 자격증 기출문제 전자문제집 CBT : www.comcbt.com


전자문제집 CBT란?

종이 문제집이 아닌 인터넷으로 문제를 풀고 자동으로 채점하며 모의고사, 오답 노트, 해설까지 제공하는
무료 기출문제 학습 프로그램으로 실제 상설검정에서 사용하는 OMR 형식의 CBT를 제공합니다.


최신 에너지관리기사 필기 기출문제 : [다운로드]

1과목 : 연소공학


1. 액체연료가 증발하고 확산에 의해서 공기와 혼합되어 불꽃 연소하는 것을 ( )라 한다. ( )안에 알맞는 것은?
     1. 혼합기연소
     2. 증발연소
     3. 표면연소
     4. 분해연소

     정답 : []
     정답률 : 78%

2. 고체연료의 공업분석에서 고정탄소를 산출하는 식은?
     1. 고정탄소(%) = 100 - [수분(%)+회분(%)+황분(%)]
     2. 고정탄소(%) = 100 - [수분(%)+회분(%)+질소(%)]
     3. 고정탄소(%) = 100 - [수분(%)+회분(%)+휘발분(%)]
     4. 고정탄소(%) = 100 - [수분(%)+황분(%)+휘발분(%)]

     정답 : []
     정답률 : 85%

3. 일산화탄소 1Nm3을 연소시키는데 필요한 공기량(Nm3)은?
     1. 1/0.232
     2. 1/0.232×1/2
     3. 1/0.21
     4. 1/0.21×1/2

     정답 : []
     정답률 : 66%

4. 다음 연료중 발열량(kcal/㎏)이 가장 큰 것은?
     1. 중유
     2. 프로판
     3. 석탄
     4. 코크스

     정답 : []
     정답률 : 82%

5. 중유의 저위발열량이 10000㎉/㎏인 원료 1㎏을 연소시킨 결과 연소열이 7500㎉/㎏이고, 유효 출열이 7230㎉/㎏이었다면 전열효율과 연소효율을 구한 값은?
     1. 전열효율 : 75%, 연소효율 : 96.4%
     2. 전열효율 : 96.4%, 연소효율 : 75%
     3. 전열효율 : 72.3%, 연소효율 : 75%
     4. 전열효율 : 72.3%, 연소효율 : 96.4%

     정답 : []
     정답률 : 59%
     <문제 해설>
전열효율 = 유효 줄열 / 연소열
연소효율 = 연소열 / 저위발열량
[해설작성자 : comcbt.com 이용자]

6. 경유의 탄소함량이 80%일 때, 이것 1㎏을 완전 연소시켰을 때 건가스중에 CO2가 15%였다면 건연소가스량은?
     1. 9.96Nm3/㎏
     2. 7.48Nm3/㎏
     3. 11.93Nm3/㎏
     4. 6.67Nm3/㎏

     정답 : []
     정답률 : 26%

7. 보일러에 공급되는 연료의 조성과 중량비가 아래와 같을 때 150%의 공기과잉율로 연소시킨다면 연료 1㎏당 공급되는 공기량은? [ C : 78%, H2 : 6%, O2 : 9%, ash : 7% ]
     1. 16.67㎏/㎏연료
     2. 14.73㎏/㎏연료
     3. 11.56㎏/㎏연료
     4. 15.95㎏/㎏연료

     정답 : []
     정답률 : 38%

8. 연료가 연소실에서 연소하여 그 가스가 1400℃에서 가열실로 들어가고 가열실을 나오는 온도가 600℃였다. 이 때 가열실의 열효율은? (단, 가열실로부터의 방산열은 연소실에서 생성된 열의 20%에 상당한다고 한다.)
     1. 42.9%
     2. 34.3%
     3. 57.1%
     4. 45.7%

     정답 : []
     정답률 : 32%

9. 1차, 2차 연소중 2차 연소란 어떤 것을 말하는가?
     1. 공기보다 먼저 연료를 공급했을 경우 1차, 2차 반응에 의해서 연소하는 것
     2. 불완전 연소에 의해 발생한 미연가스가 연도 내에서 다시 연소하는 것
     3. 완전 연소에 의한 연소가스가 2차 공기에 의해서 폭발되는 현상
     4. 점화할 때 착화가 늦었을 경우 재점화에 의해서 연소 하는 것

     정답 : []
     정답률 : 82%

10. 기체연료가 완전연소할 경우 배가스의 분석결과에 따르면(CO2)가 생성된다. 이 때 (CO2max)를 옳게 나타낸 식은?
     1. 21 (O2)/(CO2) - 21
     2. 21 (CO2)/21 - (O2)
     3. 21 (O2)/21 - (CO2)
     4. 21 (CO2)/(O2) - 21

     정답 : []
     정답률 : 80%

11. 대기오염 방지를 위한 집진장치중 습식집진장치에 속하지 않는 것은?
     1. 백필터
     2. 사이크론 스크러버
     3. 벤추리 스크러버
     4. 충전탑

     정답 : []
     정답률 : 73%

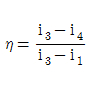
12. 액체연료 중 고온건류하여 얻은 타르계 중유의 특징이 아닌 것은?
     1. 화염의 방사율이 크다.
     2. 황의 영향이 적다.
     3. 슬러지를 발생시킨다.
     4. 단위 용적당의 발열량이 극히 적다.

     정답 : []
     정답률 : 69%

13. 연소자동제어에서 점화전에 연소실가스를 몰아내는 환기를 무엇이라 하는가?
     1. 프리퍼지(prepurge)
     2. 로터리킬른(rotary kiln)
     3. 벤튜리스크라버(ventri scrubber)
     4. 멀티클론(multiclone)

     정답 : []
     정답률 : 90%

14. 기체연료의 연소가 다른 연료들보다 과잉공기가 적게 드는 가장 큰 이유는?
     1. 확산으로 혼합이 용이하다.
     2. 열전도도가 크다.
     3. 착화온도가 낮다.
     4. 착화가 용이하다.

     정답 : []
     정답률 : 84%

15. 다음 중 고체연료의 단점이 아닌 것은?
     1. 회분이 많고 발열량이 적다.
     2. 연소효율이 낮고 고온을 얻기 어렵다.
     3. 점화 및 소화가 곤란하고 온도조절이 곤란하다.
     4. 설비비 및 인건비가 적게 든다.

     정답 : []
     정답률 : 61%

16. 공기비(m)에 대한 식으로 맞는 것은?
     1. m = 실제공기량/이론공기량
     2. m = 이론공기량/실제공기량
     3. m = 과잉공기량/이론공기량
     4. m = 실제공기량/과잉공기량

     정답 : []
     정답률 : 91%

17. 등유, 경유 등의 휘발성이 큰 연료를 접시모양의 용기에 넣어 증발 연소시키는 방식은?
     1. 분해연소
     2. 확산연소
     3. 분무연소
     4. 포트식연소

     정답 : []
     정답률 : 76%

18. 천연가스(주성분 : CH4)의 연소반응식은 CH4 + 2O2 → CO2 + 2H2O이다. 이 천연가스를 이론공기량으로 연소시켰을 때 의 이론 연소가스량으로 옳은 것은? (단, 공기중의 산소농도는 21%이며, 또한 물은 수증기 상태라고 한다.)
     1. 3.0Nm3/Nm3 CH4
     2. 10.5Nm3/Nm3 CH4
     3. 5.0Nm3/Nm3 CH4
     4. 12.5Nm3/Nm3 CH4

     정답 : []
     정답률 : 49%

19. 연소용 공기의 공급방식으로는 자연통풍방식과 강제통풍 방식이 있으며, 강제통풍방식은 송풍기에 의해 공급된다. 송풍기의 풍량 조절방법이 아닌 것은?
     1. Speed Control
     2. Damper Control
     3. Vane Control
     4. Governor Control

     정답 : []
     정답률 : 44%

20. 로 또는 보일러에 사용하는 연소용 중유의 성질을 조사한것중 틀린 것은?
     1. 비중 : 일반적으로 큰 것
     2. 점도 : 사용지역에 적합한 것을 선택
     3. 인화점 : 낮은 것은 화재의 위험성이 있으므로 예열 온도보다 5℃정도 높은 것
     4. 잔류 탄소 : 많은 것을 택할 것

     정답 : []
     정답률 : 68%

2과목 : 열역학


21. 다음 중 물의 증발잠열에 관한 사항은?
     1. 포화압력이 낮으면 증가한다.
     2. 포화압력이 높으면 증가한다.
     3. 포화온도가 높으면 증가한다.
     4. 온도와 압력에 무관하다.

     정답 : []
     정답률 : 57%

22. 열효율이 25[%]인 증기 사이클에서 참일이 5[kWh/kJ]이면 1[kWh]의 일을 얻기 위하여 증기량은 몇 [㎏/kWh]인가?
     1. 20
     2. 120
     3. 920
     4. 720

     정답 : []
     정답률 : 34%

23. 잘 보온된 10㎏/cm2의 포화수를 9㎏/cm2로 감압할 때 1ton의 포화수에서 발생하는 증기량은? (단, 절대압 10㎏/cm2인 포화수와 건포화증기의 엔탈피는 각각 181.19㎉/㎏, 663.2㎉/㎏이고, 9㎏/cm2 때의 포화수 및 건포화증기의 엔탈피는 각각 176.45㎉/㎏, 662.2㎉/㎏이다.)
     1. 6.99㎏
     2. 7.98㎏
     3. 8.07㎏
     4. 9.75㎏

     정답 : []
     정답률 : 24%

24. 열펌프(heat pump)사이클에 대한 성능계수(COP)는 다음 중 어느 것을 해준 일(work input)로 나누어 준 것인가?
     1. 저온 쪽에 전달된 열량
     2. 저온 쪽에서 흡수한 열량
     3. 고온 쪽에서 전달된 열량
     4. 고온 쪽에서 흡수한 열량

     정답 : []
     정답률 : 58%

25. 다음 설명 중 옳지 않은 것은?
     1. 이상기체의 등온가역 과정에서는 PV = 일정 이다.
     2. 이상기체의 경우 Cp-Cv = AR 이다.
     3. 이상기체의 단열가역 과정에서는 PV = 일정 이다.
     4. 이상기체의 열역학적 정의는 이고, PV = nRT의 식을 만족하는 기체이다.

     정답 : []
     정답률 : 37%

26. 냉동기의 증기 압축장치에 쓸 수 있는 냉동제가 갖추어야 할 특성이 아닌 것은?
     1. 응축기 내부의 증기압이 과중하면 안된다.
     2. 증발기 내부의 증기압은 대기압 이하이어야 한다.
     3. 증발잠열은 크고 액체의 열용량은 적어야 한다.
     4. 임계압력은 최고 조작압력보다도 더 높아야 한다.

     정답 : []
     정답률 : 46%

27. 다음 중 온도의 증가함수로 표현되지 않는 것은?
     1. 증발열
     2. 내부에너지
     3. 엔탈피
     4. 엔트로피

     정답 : []
     정답률 : 36%

28. 냉장고가 저온체에서 300㎉/h의 비율로 열을 흡수하여 고온체에서 400㎉/h의 비율로 열을 방출한다. 이 냉장고의 성능계수는?
     1. 4.0
     2. 3.0
     3. 2.0
     4. 5.0

     정답 : []
     정답률 : 66%

29. 발전소 보일러실에서 소비되는 석탄의 양이 6시간 동안 20톤이라고 한다. 석탄 1㎏의 연소에 의한 열량은 7000㎉이다. 석탄에서 얻을 수 있는 열의 20%가 전기에너지로 변한다고 하면 이 발전소에서 발전되는 전력은?
     1. 5426㎾
     2. 10862㎾
     3. 23220㎾
     4. 32560㎾

     정답 : []
     정답률 : 43%

30. 그림의 PV선도에서 A → C의 등압과정중 계는 50J의 일을 받아들이고 25J의 열을 방출하며, C → B의 등적과정 중 75J의 열을 받아들인다면, B → A의 과정이 단열일 때 얼마의 일(J)을 방출하겠는가?

    

     1. 25J
     2. 50J
     3. 75J
     4. 100J

     정답 : []
     정답률 : 77%

31. 다음 중 아래 압력의 포화수를 가열하여 동일 압력의 건포화증기로 만드는데 소요되는 증발열이 가장 큰 것은?
     1. 0.5kgf/cm2
     2. 1.0kgf/cm2
     3. 10kgf/cm2
     4. 100kgf/cm2

     정답 : []
     정답률 : 57%

32. 온도가 800K이고 질량이 10㎏인 구리를 단열된 용기내에 담겨 있는 온도 290K인 100㎏의 물속에 넣었을 때 이 계전체의 엔트로피 변화는? (단, 구리와 물의 열용량은 각각 0.398kJ/㎏.K, 4.185kJ/㎏.K이다.)
     1. -3.973kJ/K
     2. 2.897kJ/K
     3. 4.424kJ/K
     4. 6.870kJ/K

     정답 : []
     정답률 : 54%

33. 대기압 하에서 1몰의 CO2를 0℃에서 1000℃까지 가열하였을 때 엔트로피 변화는? (단, CO2의 Cp = 6.85+0.008533T-2.475x10-6T2이다.)
     1. 17.17 ㎈/deg.mol
     2. 21.25 ㎈/deg.mol
     3. 25.17 ㎈/deg.mol
     4. 29.25 ㎈/deg.mol

     정답 : []
     정답률 : 34%

34. 97℃로 유지되고 있는 항온조가 실내 온도 27℃인 방에 놓여 있다. 어떤 시간에 1000㎈의 열이 항온조에서 실내로 새어 나왔다고 하면, 다음 내용중 틀린 설명은?
     1. 항온조속의 물질의 엔트로피 변화량은 -2.7㎈/K이다.
     2. 실내 공기의 엔트로피의 변화량은 3.3㎈/K이다.
     3. 이 과정은 비가역적이다.
     4. 이 과정중 엔트로피는 감소하였다.

     정답 : []
     정답률 : 54%

35. 엔탈피 78㎉/㎏인 어떤 기체가 노즐을 통하여 단열적으로 팽창되어 엔탈피 77㎉/㎏으로 되어 나간다. 유입 속도를 무시할 때 유출 속도는 몇 m/sec인가?
     1. 4.4
     2. 22.6
     3. 64.7
     4. 91.5

     정답 : []
     정답률 : 26%

36. 공기 온도가 15℃, 대기압이 758.7㎜Hg인 때에 습도계로 공기중의 증기의 분압이 9.5㎜Hg임을 알았다. 건조공기의 밀도는 얼마인가? (단, 0℃, 760㎜Hg 때의 건조공기의 밀도는 1.293㎏/m3이다.)
     1. 1.020㎏/m3
     2. 1.208㎏/m3
     3. 1.403㎏/m3
     4. 1.600㎏/m3

     정답 : []
     정답률 : 49%

37. 다음 중 이상기체(ideal gas)의 정의로서 틀린 것은?
     1. 분자 자신의 부피를 무시할 수 있는 기체
     2. 분자간의 반발력을 무시할 수 있는 기체
     3. 이상기체 법칙을 만족하는 기체
     4. 분자운동이 없는 기체

     정답 : []
     정답률 : 60%

38. 용기에 25℃의 물 150㎏이 들어 있다. 이 용기에 수증기를 통과시켜 70℃가 되도록 하였을 때, 물의 최종 량이 315㎏가 되었다면 공급한 수증기의 엔탈피는 얼마인가? (단, 열용량, 열손실은 무시하고, 25℃ 150㎏의 엔탈피는 16.7㎉/㎏이고, 70℃ 315㎏의 엔탈피는 72.4㎉/㎏이다.)
     1. 103㎉/㎏
     2. 113㎉/㎏
     3. 123㎉/㎏
     4. 133㎉/㎏

     정답 : []
     정답률 : 30%

39. 20㎉의 열을, 정압에 있는 5㎏공기에 전달하여 10℃에서 30℃로 온도를 올렸다. 이 온도범위에서 공기의 평균 비열을 구하면?
     1. 0.1㎉/㎏.℃
     2. 0.2㎉/㎏.℃
     3. 0.3㎉/㎏.℃
     4. 0.4㎉/㎏.℃

     정답 : []
     정답률 : 50%

40. 그림은 카르노 사이클 순환을 나타낸다. 여기서 성적계수(COP)는 어떻게 나타낼 수 있는가?

    

     1. Q1 - Q2/Q1
     2. Q2/Q1 - Q2
     3. Q2/Q1
     4. Q1/Q2

     정답 : []
     정답률 : 57%

3과목 : 계측방법


41. 층류와 난류를 판정할 때 레이놀즈수를 사용한다. 난류는 얼마 이상인가?
     1. 2430
     2. 2320
     3. 2220
     4. 2130

     정답 : []
     정답률 : 53%

42. 열전대 온도계에서 주위 온도에 의한 오차를 전기적으로 보상할 때 주로 사용되는 저항선은?
     1. 서미스터(thermistor)
     2. 동(Cu) 저항선
     3. 백금(Pt) 저항선
     4. 알루미늄(Al) 저항선

     정답 : []
     정답률 : 30%

43. 신호전송용 공기압은 몇 ㎏/cm2이 적당한가?
     1. 0.01 ~ 0.1
     2. 0.1 ~ 0.2
     3. 0.2 ~ 0.5
     4. 0.2 ~ 1.0

     정답 : []
     정답률 : 42%

44. 가스의 자기성(磁氣性) 성질을 이용한 분석계는?
     1. CO2
     2. SO2
     3. 가스크로마토그래프
     4. O2

     정답 : []
     정답률 : 52%

45. 단요소식 수위제어에 관한 설명중 옳은 것은?
     1. 보일러의 수위만을 검출하여 급수량을 조절하는 방식이다.
     2. 발전용 고압 대용량 보일러의 수위제어에 사용되는 방식이다.
     3. 수위조절기의 제어동작은 PID동작이다.
     4. 부하변동에 의한 수위변화 폭이 대단히 적다.

     정답 : []
     정답률 : 66%

46. 다음 중 그림과 같은 조작량 변화는?

    

     1. PI동작
     2. 2위치동작
     3. PID동작
     4. PD동작

     정답 : []
     정답률 : 66%

47. 다음 유량계 중 유체압력 손실이 가장 적은 것은?
     1. 용적식 유량계
     2. 유속식(Impeller식)유량계
     3. 전자식 유량계
     4. 차압식(差壓式) 유량계

     정답 : []
     정답률 : 73%

48. 자동제어의 동작순서로 맞는 것은?
     1. 비교 → 판단 → 조작 → 검출
     2. 검출 → 비교 → 판단 → 조작
     3. 조작 → 비교 → 검출 → 판단
     4. 판단 → 비교 → 검출 → 조작

     정답 : []
     정답률 : 72%

49. 다음 기계식 압력계중 정밀도가 가장 좋은 것은?
     1. U자관형 액주압력계
     2. 경사관식 액주압력계
     3. 단관형 액주압력계
     4. 2액 U자관형 액주압력계

     정답 : []
     정답률 : 79%

50. 다음 중 가장 높은 진공도를 측정할 수 있는 계기는?
     1. Mcleed 진공계
     2. Pirani 진공계
     3. 열전대 진공계
     4. 전리 진공계

     정답 : []
     정답률 : 27%

51. 광온도계는 복사온도계에 비하여 다음과 같은 점이 다르다. 이중에서 틀린 것은?
     1. 정도(精度)가 높다.
     2. 낮은 온도가 측정된다.
     3. 자동기록 및 자동제어의 목적에 쓸수 없다.
     4. 측정거리에 따라 측정치의 영향이 적다.

     정답 : []
     정답률 : 45%

52. 다음 중 가스분석 측정법이 아닌 것은?
     1. 자동올쟈트법
     2. 적외선흡수법
     3. 플로우노즐법
     4. 가스크로마토그래피법

     정답 : []
     정답률 : 62%

53. 유속 5m/s의 물 흐름속에 피토관을 흐름에 향하여 세웠을때 그 수주의 높이 h는?
     1. 1.03m
     2. 1.28m
     3. 1.65m
     4. 1.94m

     정답 : []
     정답률 : 48%

54. 다음 온도계중 액체 온도팽창을 이용한 온도계는?
     1. 저항 온도계
     2. 색 온도계
     3. 유리제 온도계
     4. 광학 온도계

     정답 : []
     정답률 : 54%

55. 보일러의 자동제어중 A.C.C란 무엇의 약칭인가?
     1. 연소제어
     2. 급수제어
     3. 증기온도제어
     4. 유압제어

     정답 : []
     정답률 : 73%

56. 보일러를 자동 운전할 경우 송풍기가 작동되지 않으면 연료공급 전자 밸브가 열리지 않는 인터록제어 종류는?
     1. 송풍기인터록
     2. 전자벨브인터록
     3. 프리퍼지인터록
     4. 불착화인터록

     정답 : []
     정답률 : 62%

57. 광고온계를 써서 용융 철의 온도를 측정하는 경우 꼭 주의하여야 할 사항은?
     1. 거리계수에 주의
     2. 개인측정 오차에 주의
     3. CO2 및 H2에 의한 가스흡수의 영향에 주의
     4. 원격지시에 주의

     정답 : []
     정답률 : 53%

58. 수두압이 10m이며 150mm관에 100mm 오리피스를 설치하였을 때 오리피스를 통과하는 유속과 유량은?
     1. V = 14m/s, Q = 0.109m3/s
     2. V = 4.5m/s, Q = 6.594m3/s
     3. V = 14m/s, Q = 1.099m3/s
     4. V = 4.5m/s, Q = 7.594m3/s

     정답 : []
     정답률 : 24%

59. 다음 압력계 중 측정 범위가 가장 넓은 것은?
     1. U자관 압력계
     2. 침종식 압력계
     3. 플로우트식 압력계
     4. 단관식 압력계

     정답 : []
     정답률 : 69%

60. 용적식 유량계의 설명으로 맞지 않는 것은?
     1. 정도(精度)가 좋다.
     2. 고점도의 유체측정이 가능하다.
     3. 맥동에 의한 영향이 없다.
     4. 압력손실이 없다.

     정답 : []
     정답률 : 40%

4과목 : 열설비재료 및 관계법규


61. 보온재에 요구되는 성질을 열거한 것으로 틀린 것은?
     1. 가벼울 것, 밀도가 적을 것
     2. 보온력이 클 것, 열전도율이 적을 것
     3. 어느 정도 재료가 부드러울 것, 내압력이 있을 것
     4. 장시간의 사용에 대하여 변질하지 않을 것, 내산, 내열, 내약품성이 있을 것

     정답 : []
     정답률 : 50%
     <문제 해설>
아래와 같은 오류 신고가 있었습니다.
여러분들의 많은 의견 부탁 드립니다.
추후 여러분들의 의견을 반영하여 정답을 수정하도록 하겠습니다.
참고로 정답 변경은 오류 신고 5회 이상일 경우 수정합니다.

[오류 신고 내용]

오류, 1. 밀도가 적으면 보온효과가 적어짐. 답은 1번입니다.
[해설작성자 : kevin]

[오류신고 반론]
3번이 맞습니다. 재료는 어느정도 거칠어야 됩니다.

62. 단열효과에 대한 설명중 옳지 않은 것은?
     1. 열확산계수가 작다.
     2. 열전도계수가 작다.
     3. 노온이 균일하게 유지된다.
     4. 열용량이 적어 연소열이 많아진다.

     정답 : []
     정답률 : 68%

63. 다음 중 에너지관리공단 이사장에게 권한이 위탁된 업무가 아닌 것은?
     1. 에너지관리 대상자의 지정
     2. 검사대상기기의 검사
     3. 에너지 사용계획의 검토
     4. 검사대상기기 조종자의 채용.해임 또는 퇴직신고

     정답 : []
     정답률 : 25%

64. 효율관리기자재 중 최저 소비효율기준에 미달하거나 최대 사용량 기준을 초과한 것의 생산 또는 판매 금지 명령을 위반한자에 해당하는 벌칙은?
     1. 2000만원이하의 벌금
     2. 500만원이하의 벌금
     3. 1000만원이하의 과태료
     4. 500만원이하의 과태료

     정답 : []
     정답률 : 52%

65. 다음 중 규석벽돌로 쌓은 가마속에서 소성할 때 가장 적당하지 못한 것은?
     1. 지르코니아 벽돌
     2. 샤모트질 벽돌
     3. 납석질 벽돌
     4. 마그네시아질 벽돌

     정답 : []
     정답률 : 72%

66. 다음 중 산성 내화물이 아닌 것은?
     1. 샤모트질
     2. 규석질
     3. 석영질
     4. 크롬질

     정답 : []
     정답률 : 42%

67. 다음 내화물의 특성중 비중과 관계 없는 것은?
     1. 슬레이킹(Slaking)
     2. 압축강도
     3. 기공율(porosity)
     4. 내화도

     정답 : []
     정답률 : 61%

68. 검사대상기기의 위험 또는 위반시 사용정지를 명령할 수 있는 자는?
     1. 에너지관리공단이사장
     2. 건설교통부장관
     3. 시∙도지사
     4. 행정자치부장관

     정답 : []
     정답률 : 52%

69. 열사용기자재의 설치.시공 또는 세관을 업으로 하고자 하는 자는 어디에 등록을 하여야 하는가?
     1. 행정자치부장관
     2. 한국열관리시공협회
     3. 에너지관리공단 이사장
     4. 시∙도지사

     정답 : []
     정답률 : 68%

70. 염기성 내화벽돌의 공통적인 취약성은?
     1. 스폴링(spalling)
     2. 슬레이킹(slaking)
     3. 더스팅(dusting)
     4. 습윤(濕潤,swelling)

     정답 : []
     정답률 : 48%

71. 다음 중 보온재의 구비조건으로 볼 수 없는 것은?
     1. 열전도율이 작을 것
     2. 시공이 용이할 것
     3. 부피 비중이 클 것
     4. 흡습성이 없을 것

     정답 : []
     정답률 : 69%

72. 에너지이용합리화법에 나타난 에너지관리공단의 설립목적은?
     1. 시∙도의 기능을 대신하기 위해
     2. 정부의 과대한 업무를 일부 분담키 위해
     3. 에너지수급 및 동향을 효율적인 방안으로 관리키 위해
     4. 에너지이용합리화 사업을 효율적으로 추진키 위해

     정답 : []
     정답률 : 47%

73. 에너지이용합리화법 상의 효율관리기자재에 속하지 않는 것은?
     1. 전기냉장고
     2. T.V
     3. 조명기기
     4. 자동차

     정답 : []
     정답률 : 44%

74. 반규석질 내화물의 특징은?
     1. 열에 의한 균열형성율이 작다.
     2. 열에 의한 치수변동율이 작다.
     3. 열에 의한 소결성이 좋아진다.
     4. 열에 의한 기공형성율이 작다.

     정답 : []
     정답률 : 14%

75. 급수밸브 및 체크밸브의 크기는, 전열면적 10m2이하의 보일러에서는 관의 호칭 (A)이상의 것이어야 하고, 10m2를 초과하는 보일러는 관의 호칭 (B)이상의 것이어야 한다. 위 괄호 (A), (B)에 알맞는 것은?
     1. A : 10A, B : 10A
     2. A : 15A, B : 15A
     3. A : 15A, B : 20A
     4. A : 15A, B : 40A

     정답 : []
     정답률 : 80%

76. 피열물이 연소가스의 더러움을 받지 않는 가마는?
     1. 직화식가마(直火式 kiln)
     2. 반머플가마(半muffle kiln)
     3. 머플가마(muffle kiln)
     4. 직접식가마(直接式 kiln)

     정답 : []
     정답률 : 66%

77. 다음 중 어느 것을 기준으로 단열재, 보온재 및 보냉제를 구분하는가?
     1. 열전도율
     2. 내화도
     3. 안전사용 온도
     4. 내압강도

     정답 : []
     정답률 : 68%

78. 다음 설명중 납석벽돌의 특성이 아닌 것은?
     1. 비교적 저온에서의 소결이 용이하다.
     2. 흡수율이 작고 압축강도가 크다.
     3. 슬래그에 의해서 내식성이 크다.
     4. 내화도는 SK34이상이다.

     정답 : []
     정답률 : 59%

79. 다음 중 용해로가 아닌 것은?
     1. 고로
     2. 평로
     3. 전로
     4. 수직로

     정답 : []
     정답률 : 35%

80. 그림의 배관에서 보온하기전 표면 열전달율 α는 12.3[kcal/m2.℃] 였다. 이를 그래스울 보온통 두께 30mm로 시공하여 방산열량이 28kcal/m.h로 되었다면 보온효율은? (단, 외기온도는 20℃이다.)

    

     1. 44%
     2. 56%
     3. 85%
     4. 93%

     정답 : []
     정답률 : 43%

81. 연돌의 통풍력에 대한 설명으로 잘못된 것은?
     1. 연돌이 높을수록 커진다.
     2. 외부 온도가 낮을수록 커진다.
     3. 연돌의 단면적이 클수록 커진다.
     4. 배가스 온도가 낮을수록 커진다.

     정답 : []
     정답률 : 59%
     <문제 해설>
통풍력이 커질 조건

1. 굴똑 높이 ↑, 단면적 ↑
2. 배출가스 온도 ↑, 외기온도 ↓
3. 굴뚝내의 굴곡이 없을수록
4. 외기주입이 없을수록
5. 여름보다는 겨울    
[해설작성자 : comcbt.com 이용자]

82. 증기 트랩으로서 가져야 할 조건이 아닌 것은?
     1. 압력 유량이 소정내에서 변화하지 않아야 한다.
     2. 슬립, 율동 부분이 적고 마모, 부식에 견뎌야 한다.
     3. 동작이 확실하고 내구력이 있어야 한다.
     4. 마찰 저항이 적고 공기 배기가 좋아야 한다.

     정답 : []
     정답률 : 44%

83. 보일러동의 외경이 800mm이고 길이가 2500mm인 랭카셔 보일러의 전열면적은?
     1. 6.28m2
     2. 8m2
     3. 2m2
     4. 4.8m2

     정답 : []
     정답률 : 42%

84. 다음 중 증기보일러 용량을 표시하는 것은?
     1. 단위시간당 증발량
     2. 화격자면적 x 본체전열면적
     3. 단위온도, 단위면적당의 증발량
     4. 보일러 본체의 접촉전열 면적

     정답 : []
     정답률 : 48%

85. 24500㎾의 증기원동소에 사용하고 있는 석탄의 발열량이 7200㎉/㎏이고 이 원동소의 열효율을 23%라 하면 매 시간당 필요한 석탄의 양은?
     1. 10.5t/h
     2. 12.7t/h
     3. 15.3t/h
     4. 18.2t/h

     정답 : []
     정답률 : 54%

86. 다음 중 부식 요인으로서 적절치 못한 것은?
     1. 이온화 반응
     2. 전지작용
     3. 용존가스
     4. 가성취화

     정답 : []
     정답률 : 61%

87. 기포가 보일러 수면에서 파괴될 때 물방울이 날려서 증기와 함께 운반되는 현상을 무엇이라고 하는가?
     1. 캐리 오버
     2. 포오밍
     3. 프라이밍
     4. 역화

     정답 : []
     정답률 : 66%
     <문제 해설>
캐리오버 : 보일러수의 유지분이나 고형물이 증기에 섞여 튀어오르는 현상.
포밍 : 보일러수 수면에 다량의 거품이 발생하는 현상
프라이밍 : 보일러수가 물보라처럼 비산하여 증기에 혼입되는 현상.

고형물이나 유지분이 없는 경우는 프라이밍이 정답에 가까움.
[해설작성자 : kevin]

88. 일반적으로 하천수, 지하수 등을 용수처리하여 보일러 급수에 사용할 때 용수처리 과정으로 적당한 것은?
     1. 침전 → 제거 → 연화 → 응집 → 여과
     2. 여과 → 침전 → 응집 → 연화 → 제거
     3. 응집 → 여과 → 연화 → 침전 → 제거
     4. 연화 → 응집 → 침전 → 여과 → 제거

     정답 : []
     정답률 : 37%

89. 열교환기(Heat exchanger)에서 입구와 출구의 온도차가 △θ′, △θ″일 때 대수 평균온도차 △θ 의 관계식으로 적합한 것은? (단, △θ′> △θ″이다.)
     1.
     2.
     3.
     4.

     정답 : []
     정답률 : 57%

90. 연소실내의 통풍력이 과대(過大)할 때의 현상을 잘못 설명한 것은?
     1. 과잉공기량이 많아진다.
     2. 배기가스에 의한 열손실이 커진다.
     3. 연소실 내부의 온도가 떨어진다.
     4. 연소가 불완전하다.

     정답 : []
     정답률 : 40%

91. 공냉식 열교환기의 송풍기중 흡입형(induced draft)에 대한 장점을 설명한 것으로 틀린 것은?
     1. 열풍이 재순환할 염려가 없다.
     2. 공기의 흐름이 비교적 균일하다.
     3. 구동축이 짧고 진동이 적다.
     4. 자연통풍에 의한 냉각효과가 크다.

     정답 : []
     정답률 : 42%

92. 다음의 스케일 성분중 연질의 것은?
     1. 황산염 퇴적물
     2. 규산염 퇴적물
     3. 탄산염 퇴적물
     4. 수산염 퇴적물

     정답 : []
     정답률 : 42%

93. 전열면적 16m2인 주철제 보일러의 오버 플로우 파이프의 안지름은 어느 정도 이상으로 정해야 하는가?
     1. 25mm 이상
     2. 30mm 이상
     3. 40mm 이상
     4. 50mm 이상

     정답 : []
     정답률 : 34%

94. 안지름 15㎝, 바깥지름 20㎝인 두꺼운 원통이 견딜수 있는 내압은 몇 ㎏/cm2인가? (단, σt = 4.5[㎏/mm2]이라 한다.)
     1. 126
     2. 258
     3. 86
     4. 56

     정답 : []
     정답률 : 27%

95. 벙커 C유 연소보일러의 연소 배가스온도를 측정한 결과 300℃였다. 여기에 공기예열기를 설치하여 배가스온도를 150℃까지 내리면 연료 절감율은? (단, B/C유의 발열량 9750㎉/㎏, 배가스량 13.6Nm3/㎏, 배가스의 비열 0.33㎉/Nm3℃, 공기예열기의 효율은 0.75로 한다.)
     1. 4.3%
     2. 5.2%
     3. 6.6%
     4. 7.2%

     정답 : []
     정답률 : 43%

96. 다음 약품중 부식방지용에 사용되지 않는 것은?
     1. 아황산나트륨
     2. 히드라진
     3. Morpholme(C4H3ONH)
     4. 수산화 나트륨

     정답 : []
     정답률 : 45%

97. 다음 보일러의 부속장치중 여열장치가 아닌 것은?
     1. 과열기
     2. 송풍기
     3. 재열기
     4. 절탄기

     정답 : []
     정답률 : 78%

98. 아래 조건일 때 절탄기용 주철관의 최소 두께 산출식은?

    

     1.
     2.
     3.
     4.

     정답 : []
     정답률 : 62%

99. 수관식 보일러에 대한 장점 설명으로 잘못된 것은?
     1. 보일러 순환이 좋고 효율이 높다.
     2. 증기 발생의 소요시간이 짧다.
     3. 스케일의 발생이 적고 청소가 용이하다.
     4. 관수 순환 방향이 일정하여 순환이 잘 된다.

     정답 : []
     정답률 : 65%

100. 안지름이 150㎜, 살두께가 5㎝인 연동제(軟銅製)의 파이프 허용응력이 8㎏/mm2일 때 이 파이프에 몇 ㎏/cm2의 내압을 가할수 있는가? (단, C = 1㎜) (문제 오류로 실제 시험에서는 모두 정답처리 되었습니다. 여기서는 1번을 누르면 정답 처리 됩니다.)
     1. 14.0
     2. 19.7
     3. 31.4
     4. 42.7

     정답 : []
     정답률 : 36%


정 답 지

1

2

3

4

5

6

7

8

9

10

11

12

13

14

15

16

17

18

19

20

21

22

23

24

25

26

27

28

29

30

31

32

33

34

35

36

37

38

39

40

41

42

43

44

45

46

47

48

49

50

51

52

53

54

55

56

57

58

59

60

61

62

63

64

65

66

67

68

69

70

71

72

73

74

75

76

77

78

79

80

81

82

83

84

85

86

87

88

89

90

91

92

93

94

95

96

97

98

99

100

에너지관리기사 필기 기출문제(해설) 및 CBT 2003년08월31일을 이용해 주셔서 감사합니다.
, 필기, 기출문제, 전자문제집, CBT, 온라인, 모의테스트, 모의고사



List of Articles
번호 제목 글쓴이 날짜 조회 수
1674 에너지관리기사 필기 기출문제(해설) 및 CBT 2007년03월04일(1933) new 좋은아빠되기 2025.10.07 0
1673 에너지관리기사 필기 기출문제(해설) 및 CBT 2006년05월14일(1932) new 좋은아빠되기 2025.10.07 1
1672 에너지관리기사 필기 기출문제(해설) 및 CBT 2006년03월05일(1931) new 좋은아빠되기 2025.10.07 0
1671 에너지관리기사 필기 기출문제(해설) 및 CBT 2005년05월29일(1930) new 좋은아빠되기 2025.10.07 1
1670 에너지관리기사 필기 기출문제(해설) 및 CBT 2005년03월20일(1929) new 좋은아빠되기 2025.10.07 0
1669 에너지관리기사 필기 기출문제(해설) 및 CBT 2005년03월06일(1928) new 좋은아빠되기 2025.10.07 1
1668 에너지관리기사 필기 기출문제(해설) 및 CBT 2004년09월05일(1927) new 좋은아빠되기 2025.10.07 0
1667 에너지관리기사 필기 기출문제(해설) 및 CBT 2004년05월23일(1926) new 좋은아빠되기 2025.10.07 1
1666 에너지관리기사 필기 기출문제(해설) 및 CBT 2004년03월07일(1925) new 좋은아빠되기 2025.10.07 0
» 에너지관리기사 필기 기출문제(해설) 및 CBT 2003년08월31일(1924) new 좋은아빠되기 2025.10.07 2
1664 에너지관리기사 필기 기출문제(해설) 및 CBT 2003년05월25일(1923) new 좋은아빠되기 2025.10.07 0
1663 에너지관리기사 필기 기출문제(해설) 및 CBT 2003년03월16일(1922) new 좋은아빠되기 2025.10.07 1
1662 실내건축기사(구) 필기 기출문제(해설) 및 CBT 2018년09월15일(1921) new 좋은아빠되기 2025.10.07 0
1661 실내건축기사(구) 필기 기출문제(해설) 및 CBT 2018년04월28일(1920) new 좋은아빠되기 2025.10.07 1
1660 실내건축기사(구) 필기 기출문제(해설) 및 CBT 2018년03월04일(1919) new 좋은아빠되기 2025.10.07 0
1659 실내건축기사(구) 필기 기출문제(해설) 및 CBT 2017년09월23일(1918) new 좋은아빠되기 2025.10.07 2
1658 실내건축기사(구) 필기 기출문제(해설) 및 CBT 2017년05월07일(1917) new 좋은아빠되기 2025.10.07 0
1657 실내건축기사(구) 필기 기출문제(해설) 및 CBT 2017년03월05일(1916) new 좋은아빠되기 2025.10.07 1
1656 실내건축기사(구) 필기 기출문제(해설) 및 CBT 2016년10월01일(1915) new 좋은아빠되기 2025.10.07 0
1655 실내건축기사(구) 필기 기출문제(해설) 및 CBT 2016년05월08일(1914) new 좋은아빠되기 2025.10.07 1
Board Pagination Prev 1 ... 241 242 243 244 245 246 247 248 249 250 ... 329 Next
/ 329