자격증 필기 기출문제



건축설비기사 필기 기출문제(해설) 및 CBT 2012년03월04일(2445)

최강 자격증 기출문제 전자문제집 CBT : www.comcbt.com


전자문제집 CBT란?

종이 문제집이 아닌 인터넷으로 문제를 풀고 자동으로 채점하며 모의고사, 오답 노트, 해설까지 제공하는
무료 기출문제 학습 프로그램으로 실제 상설검정에서 사용하는 OMR 형식의 CBT를 제공합니다.


최신 건축설비기사 필기 기출문제 : [다운로드]

1과목 : 건축일반


1. 병원건축에서 분관식(pavilion type)에 대한 설명으로 옳은 것은?
     1. 각 병실마다 고르게 일조를 얻을 수 있다.
     2. 의료, 간호서비스가 집중될 수 있다.
     3. 동선이 짧아진다.
     4. 대지가 협소해도 가능하다.

     정답 : []
     정답률 : 83%

2. 다음 중 건축화 조명의 종류에 속하지 않는 것은?
     1. 광천장조명
     2. 밸런스조명
     3. 코오브조명
     4. 국부조명

     정답 : []
     정답률 : 77%

3. 주택의 쾌적성을 유지하기 위한 표면결로방지에 관한 설명 중 옳은 것은?
     1. 벽이나 천장의 실내측 표면온도를 내려 실내외 온도차를 없앤다.
     2. 외벽의 단열강화로 실내측 표면온도를 상승시킨다.
     3. 각 실을 될 수 있는 한 넓게 잡고 실내의 열용량을 크게 한다.
     4. 외벽을 될 수 있는 한 통기성이 없는 구조로 하여 외기로부터의 습기를 차단한다.

     정답 : []
     정답률 : 61%

4. 병원계획에 대한 설명 중 옳지 않은 것은?
     1. 외래진료부의 운영방식에서 오픈 시스템은 일반적으로 대규모의 각종 과를 필요로 한다.
     2. 1개의 간호사 대기소에서 관리할 수 있는 병상수는 30 ~ 40개 이하로 한다.
     3. 병원의 조직은 시설계획상 병동부, 중앙진료부, 외래부, 공급부, 관리부 등으로 구분되며, 각부는 동선이 교차되지 않도록 계획되어야 한다.
     4. 일반적으로 입원환자의 병상수에 따라 외래, 수술, 급식 등 모든 병원의 시설규모가 결정된다.

     정답 : []
     정답률 : 67%

5. 건축물에 루버(louver)를 설치하는 가장 주된 이유는?
     1. 자연환기를 유지하기 위하여
     2. 외관상 변화를 주기 위하여
     3. 직사광선을 막기 위하여
     4. 비를 막기 위하여

     정답 : []
     정답률 : 75%

6. 도서관 출납 시스템에 대한 설명 중 옳지 않은 것은?
     1. 개가식은 자유개가식, 안전개가식, 반개가식, 등이 있다.
     2. 폐가식은 열람자 자신이 서가에서 자료를 꺼내서 관원의 확인을 받아 대출기록을 제출하는 방식이다.
     3. 자유개가식에서는 반납할 때 서가의 배열이 흩어지는 것을 방지하기 위해 반납대를 두는 경우도 있다.
     4. 폐가식은 방재, 방습 등을 위해 서고자체의 실내환경을 유지해야 한다.

     정답 : []
     정답률 : 87%

7. 고층사무소 건축의 코어계획에 관한 설명 중 옳은 것은?
     1. 화장실은 그 위치가 외래자에게 잘 알려지지 않도록 한다.
     2. 계단과 엘리베이터 및 화장실은 가능한 한 접근시킨다.
     3. 엘리베이터는 가급적 건물의 모서리에 배치한다.
     4. 특별피난계단 상호간의 간격은 법정거리 내에서 가능한 가깝게 한다.

     정답 : []
     정답률 : 71%

8. 철근 콘크리트 단순보의 단부에 늑근을 많이 사용하여야 되는 이유는?
     1. 보의 전단 저항력을 높이기 위하여
     2. 보의 휨 저항력을 높이기 위하여
     3. 보의 주근 정착을 위하여
     4. 철근과 콘크리트의 부착력을 높이기 위하여

     정답 : []
     정답률 : 62%

9. 건축 음환경의 명료도에 대한 설명으로 옳지 않은 것은?
     1. 명료도는 사람이 말을 할 때 어느 정도 정확하게 청취할 수 있는가에 대해 표시하는 기준을 백분율로 나타낸 것이다.
     2. 명료도는 잔향시간이 증가하면 증대된다.
     3. 음의 세기에 의한 명료도는 음압레벨이 70 ~ 80dB에서 가장 좋다.
     4. 명료도는 소음이 증가하면 저하한다.

     정답 : []
     정답률 : 76%
     <문제 해설>
명료도는 잔향시간이 증가하면 감소한다
[해설작성자 : 박갑열]

10. 모임지붕에서 중도리가 직각으로 만나는 귀에 마루대에서 처마도리까지 걸쳐대어 귀서까래를 받는 부재를 무엇이라 하는가?
     1. 달대공
     2. 우미량
     3. 추녀
     4. 종보

     정답 : []
     정답률 : 39%

11. 다음 중 건식구조와 가장 거리가 먼 공법은?
     1. 대형패널(panel) 공법
     2. 조립식 커튼월(curtain wall) 공법
     3. 슬립 폼(slip form) 공법
     4. 틸트 업(tilt up) 공법

     정답 : []
     정답률 : 68%

12. 모듈러 플래닝(Modular Planning)에 대한 설명 중 옳지 않은 것은?
     1. 건축구성재의 다량생산이 용이해지고, 생산비용이 낮아질 수 있다.
     2. 건축구성재의 수송이나 취급이 편리해진다.
     3. 국제적인 MC를 사용하면 건축구성재의 국제교역이 용이해진다.
     4. 현장작업이 복잡해 공사기간이 길어질 수 있다.

     정답 : []
     정답률 : 79%

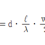
13. 일사량에 대한 설명 중 옳지 않은 것은?
     1. 일사량은 지면부근의 수평 평면에 입사하는 태양에너지의 단위면적당 양이다.
     2. 전천일사량은 단위면적의 수평면에 입사하는 태양복사의 총량이며, 직달일사, 천공의 전방향에서 입사하는 산란일사 및 구름에서의 반사일사를 합한 것이다.
     3. 직달일사량은 단위면적의 수평면에 입사하는 태양복사중 산란광 및 반사광만을 포함한 일사량이다.
     4. 산란일사량은 단위면적의 수평면에 입사하는 태양복사중 직달일사를 제외하고, 대기 중에서 공기분자, 수증기, 에어로졸 등으로 산란된 빛의 에너지량이다.

     정답 : []
     정답률 : 74%

14. 다음 중 사무소 건축에 있어서 개방식 배치에 관한 설명으로 옳지 않은 것은?
     1. 소음이 들리고 독립성이 결핍되어 있은 결점이 있다.
     2. 칸막이 벽이 없어서 개실 시스템보다 공사비가 적게 든다.
     3. 공간에 융통성이 없어 전면적을 유용하게 이용할 수 없다.
     4. 큰 사무실 형식에 많이 채용되며 임대자가 직접 이동식 파티션 등으로 적절한 프라이버시를 확보한다.

     정답 : []
     정답률 : 78%

15. 철근콘크리트 보를 타설하는 과정에서 부득이하여 이어붓기를 할 때 그 위치로서 옳은 것은?
     1. 보의 단부
     2. 스팬의 1/8 지점
     3. 스팬의 1/5 지점
     4. 스팬의 1/2 지점

     정답 : []
     정답률 : 70%

16. 철골구조의 특성에 대한 설명 중 옳지 않은 것은?
     1. 철근콘크리트구조에 비해 경량의 구조체를 만들 수있다.
     2. 재료 특성상 압축재는 좌굴에 대한 검토가 필요하다.
     3. 해체가 어렵고 재사용이 불가능하다.
     4. 내화성이 낮아 내화 피복이 필요하다.

     정답 : []
     정답률 : 77%

17. 다음 중 새집증후군(sick house syndrome)의 원인과 가장 거리가 먼 것은?
     1. 건물의 기밀성 증대로 인한 환기부족 현상
     2. 건자재, 시공재의 화학물질사용 증가
     3. 생활용품으로 화학제품 사용의 증가
     4. 시공결함으로 인한 외부공기 유입현상

     정답 : []
     정답률 : 77%

18. 쌓기 전 시멘트벽돌을 물축이기 하는 가장 주된이유는?
     1. 벽돌의 파손 방지
     2. 모르타르의 수분흡수 방지
     3. 화재방지
     4. 백화방지

     정답 : []
     정답률 : 78%

19. 다음 중 서로 관련된 용어의 연결이 옳지 않은 것은?
     1. 플로어 힌지 –창호철물
     2. 인서트 –지붕틀
     3. 턴버클 –인장재 접합
     4. 징두리 –벽하부

     정답 : []
     정답률 : 54%

20. 다음 중 플랫슬래브에서 기둥에 의한 슬래브의 펀칭(뚫림)현상을 방지하는 대책이 아닌 것은?
     1. 슬래브 두께 증가
     2. 드롭 판넬 설치
     3. 기둥 철근량 증가
     4. 캐피탈 설치

     정답 : []
     정답률 : 68%

2과목 : 위생설비


21. 급수배관 내에 공기실(air chamber)을 설치하는 이유로 가장 알맞은 것은?
     1. 수압시험을 하기 위해
     2. 통기관의 연결을 위해
     3. 수격작용을 방지하기 위해
     4. 급수관의 신축을 방지하기 위해

     정답 : []
     정답률 : 80%

22. 옥내소화전설비의 화재안전기준에 따른 용어의 정의가 옳지 않은 것은?
     1. 진공계라 함은 대기압 이상의 압력과 대기압 이하의 압력을 측정할 수 있는 계측기를 말한다.
     2. 가압수조라 함은 가압원인 압축공기 또는 불연성 고압기체에 따라 소방용수를 가압시키는 수조를 말한다.
     3. 충압펌프라 함은 배관내 압력손실에 따른 주펌프의 빈번한 기동을 방지하기 위하여 충압역할을 하는 펌프를 말한다.
     4. 체절운전이라 함은 펌프의 성능시험을 목적으로 펌프 토출측의 개폐밸브를 닫은 상태에서 펌프를 운전하는 것은 말한다.

     정답 : []
     정답률 : 56%

23. 강관 이음쇠에 관한 설명으로 옳지 않은 것은?
     1. 엘보우(elbow)는 관의 방향을 바꿀 때 사용된다.
     2. 티(tee), 크로스(cross)는 관을 도중에서 분기할 때 사용된다.
     3. 레듀서(reducer)는 관경이 서로 다른 관을 접속할 때 사용된다.
     4. 플러그(plug), 캡(cap)은 동일 관경의 관을 직선 연결 할 때 사용된다.

     정답 : []
     정답률 : 80%

24. 국소식 급탕방식에 관한 설명으로 옳은 것은?
     1. 배관 및 기기로부터의 열손실이 중앙식보다 많다.
     2. 배관에 의해 필요 개소 어디든지 급탕할 수 있다.
     3. 건물 완공 후에도 급탕 개소의 증설이 중앙식보다 쉽다.
     4. 기구의 동시이용률을 고려하므로 가열장치의 총용량을 적게 할 수 있다.

     정답 : []
     정답률 : 68%

25. 다음 중 유량선도를 이용한 급수관의 관경 결정순서에서 가장 먼저 이루어지는 사항은?
     1. 관 재료의 결정
     2. 순간 최대유량의 산정
     3. 관로의 상당길이 산정
     4. 허용마찰손실수두 계산

     정답 : []
     정답률 : 55%

26. 급수방식 중 고가수조방식에 관한 설명으로 옳지 않은 것은?
     1. 급수압력이 일정하다.
     2. 위생성 측면에서 가장 바람직한 방식이다.
     3. 대규모의 급수 수요에 쉽게 대응할 수 있다.
     4. 단수시에도 일정량의 급수를 계속할 수 있다.

     정답 : []
     정답률 : 83%
     <문제 해설>
고가수조 급수방식
- 저수조에서 물이 오염될 가능성이 가장 크다.
[해설작성자 : 복]

27. 도시가스 사용시설의 가스계량기와 화기 사이에 유지하여야 하는 거리는 최소 얼마 이상이어야 하는가? (단, 그 시설 안에서 사용하는 자체화기는 제외)
     1. 1m
     2. 1.5m
     3. 2m
     4. 3m

     정답 : []
     정답률 : 62%

28. 플러시 밸브식 대변기에 관한 설명으로 옳지 않은 것은?
     1. 대변기의 연속사용이 불가능하다.
     2. 일반 가정용으로 사용이 곤란하다.
     3. 로 탱크 방식에 비해 최저 필요 수압이 크다.
     4. 세정음은 유수음도 포함되기 때문에 소음이 크다.

     정답 : []
     정답률 : 70%

29. 물의 경도에 관한 설명으로 옳지 않은 것은?
     1. 경도의 표시는 도(度) 또는 ppm이 사용된다.
     2. 경도가 큰 물을 경수, 경도가 낮은 물을 연수라고 한다.
     3. 일반적으로 물이 접하고 있는 지층의 종류와 관계없이 지표수는 경수, 지하수는 연수로 간주된다.
     4. 물의 경도는 물 속에 녹아있는 칼슘, 마그네슘 등의 염류의 양을 탄산칼슘의 농도로 환산하여 나타낸 것이다.

     정답 : []
     정답률 : 72%
     <문제 해설>
지표수는 경도가 낮고
지하수는 경도가 높다
[해설작성자 : comcbt.com 이용자]

30. 탕의 사용상태가 간헐적이며 일시적으로 사용량이 많은 건물에서 급탕설비의 설계 방법으로 가장 알맞은 것은? (단, 중앙식 급탕방식이며 증기를 열원으로 하는 열교환기 사용)
     1. 저탕용량을 크게 하고 가열능력도 크게 한다.
     2. 저탕용량은 크게 하고 가열능력은 작게 한다.
     3. 저탕용량은 작게 하고 가열능력은 크게 한다.
     4. 저탕용량을 작게 하고 가열능력도 작게 한다.

     정답 : []
     정답률 : 67%

31. 양수량이 650L/min, 전양정이 50m인 소화펌프의 축동력은? (단, 펌프의 효율은 50% 이다.)
     1. 5.3W
     2. 10.6W
     3. 5.3kW
     4. 10.6kW

     정답 : []
     정답률 : 60%
     <문제 해설>
축동력kw = 양수량 0.65m3/min x 물 비중량(1000) x 전양정 50 / 102 x 60 x 펌프효율0.5 = 10.62kw
[해설작성자 : 김대견]

32. 배수⋅통기 배관의 시공에 관한 설명으로 옳지 않은 것은?
     1. 배수수직관의 최하부에는 청소구를 설치한다.
     2. 배수수직관의 관경은 최하부부터 최상부까지 동일하게 한다.
     3. 간접배수계통의 통기관은 일반 통기계통에 접속시키지 않고 단독으로 대기 중에 개구한다.
     4. 통기관을 수평으로 설치하는 경우에는 그 층의 최고 위치에 있는 위생기구의 오버플로우면으로부터 100mm 낮은 위치에서 수평 배관한다.

     정답 : []
     정답률 : 53%
     <문제 해설>
통기관을 수평으로 설치하는 경우에는 그 층의 최고 위치에 있는 위생기구의 오버플로우면으로부터
100mm(X) => 150mm 이상 낮은 위치에 수평 배관
[해설작성자 : 전역했습니다!]

33. 급탕배관의 관경 결정에서 기구 급탕부하 단위는 기구 급수부하 단위의 얼마 정도로 하는가?
     1. 1/2
     2. 1/3
     3. 1/4
     4. 3/4

     정답 : []
     정답률 : 42%

34. 다음 중 배관의 재질을 선택할 때 고려할 사항과 가장 거리가 먼 것은?
     1. 사용온도
     2. 사용유량
     3. 사용압력
     4. 사용유체

     정답 : []
     정답률 : 64%

35. 배수⋅통기 배관을 나타낸 다음 그림에서 a가 가리키고 있는 배관의 종류는 무엇인가? (단, 그림에서 실선의 배관은 배수관을 , 점선의 배관은 통기관을 나타낸다.)

    

     1. 도피통기관
     2. 루프통기관
     3. 각개통기관
     4. 결합통기관

     정답 : []
     정답률 : 65%

36. 배수트랩과 통기관에 관한 설명으로 옳지 않은 것은?
     1. 통기관을 설치하면 배수능력이 향상된다.
     2. 배수트랩을 설치하면 배수능력이 향상된다.
     3. 배수트랩은 봉수가 파괴되지 않는 구조로 한다.
     4. 통기관은 사이폰 작용에 의해서 트랩봉수가 파괴되는 것을 방지한다.

     정답 : []
     정답률 : 68%

37. 터보형 펌프의 일종으로 급수, 급탕, 배수설비에 주로 이용되는 펌프는?
     1. 기어 펌프
     2. 베인 펌프
     3. 원심식 펌프
     4. 사류식 펌프

     정답 : []
     정답률 : 63%

38. 다음 중 간접배수로 하지 않아도 되는 것은?
     1. 세탁기에서의 배수
     2. 세면기에서의 배수
     3. 냉각탑에서의 배수
     4. 식기세척기에서의 배수

     정답 : []
     정답률 : 79%

39. 평균 BOD가 200ppm인 오수가 하루에 1500m3 만큼 정화조로 유입되며, 유출수의 BOD가 50ppm일 때 BOD 제거율은?
     1. 50%
     2. 75%
     3. 100%
     4. 150%

     정답 : []
     정답률 : 72%

40. 다음과 같은 조건에 있는 양수펌프의 전양정은?

    

     1. 16.63m
     2. 14.63m
     3. 9.65m
     4. 8m

     정답 : []
     정답률 : 59%
     <문제 해설>
전양정 = 흡입양정 + 토출양정 + 마찰손실수두 + 유속양정
             = 3 + 5 + 1.6 + (1^2/2*9.8)
             = 9.65m
[해설작성자 : 푸른마을 안전관리자]

3과목 : 공기조화설비


41. 30℃의 외기 40%와 23℃의 환기 60%를 혼합하여 냉각코일로 냉각감습하는 경우 바이패스 팩터가 0.2이면 코일의 출구 온도는? (단, 코일 표면온도는 10℃ 이다.)
     1. 12.16℃
     2. 13.16℃
     3. 14.16℃
     4. 15.16℃

     정답 : []
     정답률 : 52%
     <문제 해설>
혼합 온도 = 30 * 0.4 + 23 * 0.6 = 25.8 'C
코일의 출구 온도 = ( 25.8 - 10 ) * (0.2) + 10 = 13.16 'C
[해설작성자 : 모르면외워버려]

42. 진공 환수식 증기난방법에서 저압증기 환수관이 진공펌프의 흡입구 보다 낮은 위치에 있을 때 응축수를 끌어 올 리가 위해 설치하는 것은?
     1. 역압 방지기
     2. 리프트 피팅
     3. 버큠 브레이커
     4. 바이패스 밸브

     정답 : []
     정답률 : 77%

43. 실의 크기가 7m×8m×3m인 회의실에 84명이 있다. 1인당 수증기 발생량이 50g/h이고 실내의 절대습도가 0.0081kg/kg, 외기의 절대습도가 0.0046kg/kg일 때 수증기 배출에 요구되는 환기회수는? (단, 공기의 밀도는 1.2kg/m3 이다.)
     1. 3회/h
     2. 4회/h
     3. 5회/h
     4. 6회/h

     정답 : []
     정답률 : 32%
     <문제 해설>
( 84명 * 50g/h ) / 1.2kg/m^3 * (0.0081 - 0.0046) = 1,000
1,000 / (7 * 8 * 3) = 5.95
[해설작성자 : 푸른마을 안전관리자]

( 84명 * 50g/h )/1000 / 1.2kg/m^3 * (0.0081 - 0.0046) = 1,000
g에서 m3로 환산 하기 위해 1000을 나눔
1,000 / (7 * 8 * 3) = 5.95
[해설작성자 : 옥정동 안보 지킴이 ]

44. 지역난방에 관한 설명으로 옳지 않은 것은?
     1. 초기 투자비용이 크다.
     2. 배관에서의 열손실이 거의 없다.
     3. 각 건물의 설비면적을 줄이고 유효면적을 넓힐 수있다.
     4. 설비의 고도화에 따라 도시의 매연을 경감시킬 수있다.

     정답 : []
     정답률 : 74%

45. 냉방부하의 종류 중 송풍기 용량 및 송풍량의 산출 요인에 해당하지 않는 것은?
     1. 외기부하
     2. 조명부하
     3. 인체부하
     4. 일사부하

     정답 : []
     정답률 : 53%

46. 배관 내의 유속으로 가장 부적당한 것은?
     1. 냉수 : 2m/s
     2. 배수관 : 1.5m/s
     3. 냉각수 : 1.5m/s
     4. 펌프 흡입측 : 35m/s

     정답 : []
     정답률 : 57%

47. 다음 중 동관의 사용용도로 가장 부적합한 것은?
     1. 급수관
     2. 급탕관
     3. 증기관
     4. 냉온수관

     정답 : []
     정답률 : 80%

48. 흡수식 냉동기에 관한 설명으로 옳지 않은 것은?
     1. 발생기의 형식에 따라 단효용식과 2중효용식이 있다.
     2. 증발기, 흡수기, 재생기(발생기), 응축기 등으로 구성 된다.
     3. 열에너지가 아닌 기계적 에너지에 의해 냉동효과를 얻는다.
     4. 냉방용의 흡수냉동기는 물과 브롬화리튬(LiBr)의 혼합용액을 사용한다.

     정답 : []
     정답률 : 70%

49. 송풍기의 크기를 나타내는 송풍기 번호의 결정방법으로 옳은 것은? (단, 원심 송풍기의 경우)
     1.
     2.
     3.
     4.

     정답 : []
     정답률 : 66%

50. 동일 송풍기에서 회전수를 2배로 했을 경우 풍량, 정압 및 소요동력의 변화량으로 옳은 것은?
     1. 풍량 4배, 정압 8배, 소요동력 2배
     2. 풍량 4배, 정압 8배, 소요동력 8배
     3. 풍량 2배, 정압 8배, 소요동력 4배
     4. 풍량 2배, 정압 4배, 소요동력 8배

     정답 : []
     정답률 : 70%

51. 공기여과기를 통과하기 전의 오염농도 C1= 0.45mg/m3, 통과한 후의 오염농도 C2= 0.12mg/m3이다. 이 여과기의 여과효율은?
     1. 약 27%
     2. 약 42%
     3. 약 58%
     4. 약 73%

     정답 : []
     정답률 : 69%

52. 냉각탑에서 어프로치(approach)에 관한 설명으로 옳은 것은?
     1. 냉각탑 출구와 입구 수온의 온도차
     2. 냉각탑 입구와 출구 공기의 습구온도차
     3. 냉각탑 입구의 수온과 출구공기의 습구온도와의 차
     4. 냉각탑 출구의 수온과 입구공기의 습구온도와의 차

     정답 : []
     정답률 : 60%

53. 온수난방에 관한 설명으로 옳지 않은 것은?
     1. 증기난방에 비하여 간헐운전에 적합하다.
     2. 온수의 현열을 이용하여 난방하는 방식이다.
     3. 한랭지에서는 운전정지 중에 동결의 위험이 있다.
     4. 증기난방에 비하여 난방부하 변동에 따른 온도조절이 용이하다.

     정답 : []
     정답률 : 67%

54. 건구온도 35℃, 절대습도 0.022kg/kg 인 외기와 건구온도 26℃, 절대습도 0.0105kg/kg 실내공기를 3:7로 혼합할 경우 혼합공기의 건구온도 및 절대습도는?
     1. 29.4℃, 0.015kg/kg
     2. 28.7℃, 0.014kg/kg
     3. 27.5℃, 0.016kg/kg
     4. 26.6℃, 0.017kg/kg

     정답 : []
     정답률 : 63%

55. 내경 50mm인 관 속을 흐르는 물의 유량은 10.5m3/h 이다. 관의 길이가 10m 일 경우 마찰손실은? (단, 관마찰계수는 0.02 이다.)
     1. 약 2.4kPa
     2. 약 4.4kPa
     3. 약 6.2kPa
     4. 약 8.2kPa

     정답 : []
     정답률 : 46%
     <문제 해설>
Convert the friction loss to kPa
h_f_kPa = h_f * 9.81
h_f_kPa
assistant’’
마찰손실을 계산한 결과는 약 4.4 kPa 입니다. 이는 주어진 정답과 일치합니다. 계산 과정은 다음과 같습니다:
먼저, 관의 단면적(A)을 계산합니다: A=π⋅(2D​)2=3.14159⋅(20.05​)2≈0.00196m2
다음으로, 유체의 평균 속도(v)를 계산합니다: v=AQ​=0.001962.92×10−3​≈1.49m/s
마지막으로, 마찰손실(h_f)을 계산합니다: hf​=f⋅DL​⋅2gv2​=0.02⋅0.0510​⋅2⋅9.811.492​≈0.45m
마찰손실을 kPa로 변환합니다: hf​(kPa)=hf​(m)⋅g=0.45m⋅9.81m/s2≈4.4kPa

56. 냉방부하에 관한 설명으로 옳은 것은?
     1. 덕트로부터의 취득열은 잠열로만 구성된다.
     2. 유리창을 통한 취득열은 현열과 잠열로 구성된다.
     3. 외기의 도입으로 인한 취득열은 현열로만 구성된다.
     4. 인체의 호흡으로부터 발생하는 열은 현열과 잠열로 구성된다.

     정답 : []
     정답률 : 68%

57. 실내 벽면에 설치하기에 가장 부적당한 취출구는?
     1. 그릴형
     2. 슬롯형
     3. 노즐형
     4. 아네모스탯형

     정답 : []
     정답률 : 61%

58. 정풍량 단일덕트방식에 관한 설명으로 옳지 않은 것은?
     1. 전공기방식에 속한다.
     2. 2중덕트방식에 비해 에너지 절약적이다.
     3. 냉풍과 온풍을 혼합하는 혼합상자가 필요없다.
     4. 각 실이나 존의 부하변동에 즉시 대응할 수 있다.

     정답 : []
     정답률 : 64%

59. 덕트 내의 풍속이 10m/s, 정압이 245Pa 일 경우 전압은? (단, 공기의 밀도는 1.2kg/m3 이다.)
     1. 254Pa
     2. 272Pa
     3. 305Pa
     4. 343Pa

     정답 : []
     정답률 : 64%
     <문제 해설>
전압 = 동압 + 정압
동압 = p * v^2 /2 [Pa] = 1.2 * 10^2 / 2 = 60
전압 = 245 Pa + 60 Pa = 305Pa
*[Pa]로 계산시    pv^2/2 [Pa]
[mAq]로 계산시 v^2/2g [mAq]

60. 빙축열 등을 이용하는 축열시스템에 관한 설명으로 옳지 않은 것은?
     1. 열손실이 줄어든다.
     2. 심야전력을 이용할 수 있다.
     3. 열원기기의 고효율운전이 가능하다.
     4. 주간 피크 시간대에 전력부하를 절감할 수 있다.

     정답 : []
     정답률 : 55%

4과목 : 소방 및 전기설비


61. 그림과 같이 접속된 회로에서 10[Ω]인 저항 R에 걸리는 전압의 값은?

    

     1. 2[V]
     2. 3[V]
     3. 10[V]
     4. 12[V]

     정답 : []
     정답률 : 64%
     <문제 해설>
12v * ( 10 / 2 + 10 ) = 10v
[해설작성자 : 푸른마을 안전관리자]

62. 10[A]의 전류를 흘렸을 때의 전력이 100[W]인 저항에 20[A]의 전류를 흘렸을 때 전력은?
     1. 100[W]
     2. 200[W]
     3. 300[W]
     4. 400[W]

     정답 : []
     정답률 : 43%
     <문제 해설>
P=VI=I2R
P는 I2에 비례
[해설작성자 : comcbt.com 이용자]

63. 4극의 공조기팬용 유도전동기를 220[V] 60Hz의 전원으로 운전하는 경우 회전수는 얼마인가?(단, 전동기의 슬립(slip)은 5% 임)
     1. 900[rpm]
     2. 1710[rpm]
     3. 1750[rpm]
     4. 1800[rpm]

     정답 : []
     정답률 : 62%
     <문제 해설>
Ns = ( 120 * 60 / 4 ) * ( 1 - 0.05 )
     = 1,710
[해설작성자 : 푸른마을 안전관리자]

64. 계기용 변성기로서 대전류 회로의 지락사고시 각 상의 불평형 전류를 검출하여 이에 비례한 미소전류를 2차측으로 전하는 기능을 하는 것은?
     1. 영상 변류기(ZCT)
     2. 계기용 변류기(CT)
     3. 계기용 변압기(PT)
     4. 계기용 변압⋅변류기(MOF)

     정답 : []
     정답률 : 70%

65. 정현파 교류의 파형률은 얼마인가?
     1. 1.0
     2. 1.11
     3. 1.414
     4. 1.571

     정답 : []
     정답률 : 62%

66. 역률에 관한 설명으로 옳은 것은?
     1. 백열전등이나 전열기의 역률은 100%에 가깝다.
     2. 무효전력에 대한 유효전력의 비를 역률이라고 한다.
     3. 역률은 부하의 종류와는 관계가 없으며 공급전력의질을 의미한다.
     4. 역률산정시에 필요한 피상전력은 유효전력과 무효 전력의 산술합이다.

     정답 : []
     정답률 : 61%

67. 다음 중 방범설비에 해당하지 않는 것은?
     1. 비상경보설비
     2. 출입통제설비
     3. 침입발견설비
     4. 침입통보설비

     정답 : []
     정답률 : 69%

68. 변압기의 정격용량을 표시하는 단위는?
     1. [kA]
     2. [kV]
     3. [kW]
     4. [kVA]

     정답 : []
     정답률 : 61%

69. 다음 중 옥내 배선의 전선 굵기 결정 요소와 가장 거리가 먼 것은?
     1. 전압 강하
     2. 허용 전류
     3. 외부 온도
     4. 기계적 강도

     정답 : []
     정답률 : 63%

70. 다음 그림과 같이 콘덴서가 접속되어 있을 때 합성 정전용량은?

    

     1. 2.0[㎌]
     2. 1.5[㎌]
     3. 1.2[㎌]
     4. 1.0[㎌]

     정답 : []
     정답률 : 49%
     <문제 해설>
4 * 1 / 4 + 1 = 4/5 = 0.8
0.8 + 1.2 = 2
2 * 3 / 2 + 3 = 1.2
[해설작성자 : 푸른마을 안전관리자]

71. 평균구면 광도가 1000[cd]인 전구로부터 총발산 광속은?
     1. 100π[lm]
     2. 1000π[lm]
     3. 4000π[lm]
     4. 10000π[lm]

     정답 : []
     정답률 : 47%
     <문제 해설>
1. 전구일 때
광도(I) = 광속(F) / (4 * 파이) [Cd]
광속(F) = 광도(I) * 4 * 파이 [lm] = 1,000 * 4 * 파이 = 4,000파이[lm]

2. 반구일 때
I = F / (2 * 파이)
[해설작성자 : 푸른마을 안전관리자]

72. 다음 중 휘트스톤 브리지를 이용하는 기기는?
     1. 모듀트롤 모터
     2. 차압식 유량계
     3. 니켈 측온 저항체
     4. 광전 스위치

     정답 : []
     정답률 : 59%

73. 다음 설명에 알맞은 전동기는?

    

     1. 분권전동기
     2. 타여자전동기
     3. 농형유도전동기
     4. 권선형유도전동기

     정답 : []
     정답률 : 71%

74. 피드백 제어에서 제어요소는 무엇으로 구성되는가?
     1. 비교부와 조작부
     2. 비교부와 검출부
     3. 조절부와 조작부
     4. 검출부와 조작부

     정답 : []
     정답률 : 67%

75. 다음의 에스컬레이터에 관한 설명 중 ( )안에 알맞은 내용은?

    

     1. 15°
     2. 20°
     3. 25°
     4. 30°

     정답 : []
     정답률 : 71%

76. 다음 중 전기설비가 얼마나 유효하게 사용되었는 가를 나타내며 어떤 기간 중의 평균 수용 전력[kW]과 그 기간중의 최대 수용전력[kW]과의 비로 표시하는 것은?
     1. 수용율
     2. 부하율
     3. 부등율
     4. 설비율

     정답 : []
     정답률 : 41%

77. 시퀀스(Sequence) 제어에 관한 설명으로 옳은 것은?
     1. 시퀀스 제어는 일명 피드백(Feedback)제어라고도 한다.
     2. 시퀀스 제어계의 신호처리 방식은 유접점 방식만 있다.
     3. 미리 정해진 순서에 따라 제어의 각 단계를 순차적으로 제어한다.
     4. 시퀀스 제어 회로의 주전원과 조작전원은 반드시 동일해야 한다.

     정답 : []
     정답률 : 75%

78. 피뢰침에 근접한 뇌격을 흡인하여 전극으로 확실하게 방류하기 위하여 필요한 것은?
     1. 도체저항이 커야 한다.
     2. 접촉저항이 커야 한다.
     3. 접지저항이 작아야 한다.
     4. 돌침의 보호각이 작아야 한다.

     정답 : []
     정답률 : 65%

79. 전력요금이 kWh당 300원이다. 200W TV수상기를 하루 4시간씩 시청하였을 때 1달(30일) 사용료는?
     1. 2400원
     2. 3600원
     3. 7200원
     4. 8400원

     정답 : []
     정답률 : 68%

80. 건물의 자동제어방식에서 디지털방식에 해당하는 것은?
     1. 전기식
     2. 전자식
     3. 공기식
     4. DDC방식

     정답 : []
     정답률 : 79%

81. 건축법령상 다음과 같이 정의되는 용어는?

    

     1. 증축
     2. 재축
     3. 개축
     4. 대수선

     정답 : []
     정답률 : 77%
     <문제 해설>
개축 : 인위적 철거
재축 : 천재지변 또는, 재해

82. 축냉식전기냉방설비의 설계기준 내용으로 옳지 않은 것은?
     1. 열교환기는 시간당 최소냉방열량을 처리할 수 있는 용량 이상으로 설치하여야 한다.
     2. 자동제어설비는 축냉운전, 방냉운전 또는 냉동기와 축열조를 동시에 이용하여 냉방운전이 가능한 기능을 갖추어야 한다.
     3. 축열조는 보온을 철저히 하여 열손실과 결로를 방지해야 하며, 맨홀 등 점검을 부분은 해체와 조립이 용이하도록 하여야 한다.
     4. 부분축냉방식의 경우에는 냉동기가 축냉운전과 방냉운전 또는 냉동기와 축열조의 동시운전이 반복적으로 수행하는데 아무런 지장이 없어야 한다.

     정답 : []
     정답률 : 59%

83. 건축물을 건축하거나 대수선하는 경우 국토해양부령으로 정하는 구조기준 등에 따라 그 구조의 안전을 확인하여야 하는 대상 건축물 기준으로 옳지 않은 것은?
     1. 층수가 3층 이상인 건축물
     2. 높이가 12m 이상인 건축물
     3. 처마높이가 9m 이상인 건축물
     4. 기둥과 기둥사이의 거리가 10m 이상인 건축물

     정답 : []
     정답률 : 43%
     <문제 해설>
높이 13m이상인 건축물
[해설작성자 : 건축파보기]

84. 하수도법상 건물⋅시설 등에서 발생하는 오수를 침전⋅분해등의 방법으로 처리하는 시설로 정의되는 것은?
     1. 하수관거
     2. 개인하수도
     3. 분뇨처리시설
     4. 개인하수처리시설

     정답 : []
     정답률 : 48%

85. 다음 중 외기에 면하고 1층 또는 지상으로 연결된 출입문을 방풍구조로 하지 않아도 되는 것은? (단, 사람의 통행을 주목적으로 하며, 너비가 1.2m를 초과하는 출입문인 경우)
     1. 호텔의 주출입문
     2. 공동주택의 출입문
     3. 공기조화를 하는 업무시설의 출입문
     4. 바닥면적의 합계가 500m2 인 상점의 주출입문

     정답 : []
     정답률 : 64%

86. 다음 중 하수도 시설에 포함되지 않는 것은?
     1. 하수관거
     2. 정수시설
     3. 배수설비
     4. 분뇨처리시설

     정답 : []
     정답률 : 55%

87. 다음은 스프링클러설비의 설치면제 요건에 관한 기준 내용이다. ( )안에 적합한 설비는?

    

     1. 연결살수설비
     2. 옥외소화전설비
     3. 물분무등소화설비
     4. 간이스프링클러설비

     정답 : []
     정답률 : 57%

88. 건축법령상 제2종 근린생활시설에 해당하지 않는 것은?
     1. 한의원
     2. 동물병원
     3. 노래연습장
     4. 일반음식점

     정답 : []
     정답률 : 68%

89. 바닥면적이 100m2인 초등학교 교실에 채광용 창면적이 6m2이다. 부족한 면적을 천창으로 처리하고자 할 때 요구 되는 천창의 최소 면적은?
     1. 2m2
     2. 4m2
     3. 8m2
     4. 14m2

     정답 : []
     정답률 : 54%
     <문제 해설>
주택의 거실, 학교의 교실, 의료시설의 병실, 숙박시설의 객실 = 채광을 위해 거실 면적의 1/10 이상 창을 설치
* 환기를 위해서는 1/20 이상 크기
[해설작성자 : 푸른마을 안전관리자]

90. 다음 중 건축물의 건축허가 신청시 에너지절약계획서를 제출해야 하는 대상 건축물 기준으로 옳은 것은?
     1. 공동주택 중 아파트 및 연립주택
     2. 숙박시설로서 그 용도에 사용되는 바닥면적의 합계가 1000m2 이상인 건축물
     3. 판매시설로서 그 용도에 사용되는 바닥면적의 합계가 2000m2 이상인 건축물
     4. 업무시설로서 당해 용도에 사용되는 바닥면적의 합계가 2000m2 이상인 건축물

     정답 : []
     정답률 : 44%

91. 방염성능기준 이상의 실내장식물 등을 설치하여야 하는 특정소방대상물에 해당하지 않는 것은?
     1. 아파트
     2. 숙박시설
     3. 종합병원
     4. 방송통신시설 중 방송국 및 촬영소

     정답 : []
     정답률 : 77%

92. 국토해양부장관과 환경부장관이 지속가능한 개발의 실현과 자원절약형이고 자연친화적인 건축물의 건축을 유도하기 공공으로 실시하는 제도는?
     1. 친환경건축물 허가제도
     2. 친환경건축물 신고제도
     3. 친환경건축물 인증제도
     4. 친환경건축물 권장제도

     정답 : []
     정답률 : 74%

93. 다음은 건축법상 지하층의 정의이다. ( )안에 알맞은 것은?

    

     1. 2분의 1
     2. 3분의 1
     3. 3분의 2
     4. 4분의 3

     정답 : []
     정답률 : 74%

94. 판매시설로서 전층에 스프링클러설비를 설치하여야 하는 경우에 관한 기준 내용으로 옳지 않은 것은?
     1. 연면적이 8000m2 이상인 것
     2. 수용인원이 500명 이상인 것
     3. 층수가 3층 이하인 건축물로서 바닥면적의 합계가 6000m2 이상인 것
     4. 층수가 4층 이상인 건축물로서 바닥면적의 합계가 5000m2 이상인 것

     정답 : []
     정답률 : 40%

95. 다음 소방시설 중 소화활동설비에 해당하지 않는 것은?
     1. 제연설비
     2. 비상콘센트설비
     3. 무선통신보조설비
     4. 상수도소화용수설비

     정답 : []
     정답률 : 52%

96. 다음 중 다중이용건축물에 해당하지 않는 것은? (단, 16층 미만인 건축물인 경우)
     1. 종교시설의 용도로 쓰는 바닥면적의 합계가 5,000m2 이상인 건축물
     2. 판매시설의 용도로 쓰는 바닥면적의 합계가 5,000m2 이상인 건축물
     3. 업무시설의 용도로 쓰는 바닥면적의 합계가 5,000m2 이상인 건축물
     4. 의료시설 중 종합병원의 용도로 쓰는 바닥면적의 합계가 5,000m2 이상인 건축물

     정답 : []
     정답률 : 63%

97. 승용승강기 설치 대상 건축물로서 6층 이상의 거실 면적의 합계가 6,000m2 인 경우, 다음 중 설치하여야 하는 승용승강기의 최소 대수가 가장 많은 건축물의 용도는?
     1. 병원
     2. 업무시설
     3. 숙박시설
     4. 공공주택

     정답 : []
     정답률 : 64%

98. 신축 또는 리모델링하는 100세대 이상의 공동주택은 시간당 최소 몇 회 이상의 환기가 이루어질 수 있도록 자연환기설비 또는 기계환기설비를 설치하여야 하는가? (단, 기숙사 제외) (관련 규정 개정전 문제로 여기서는 기존 정답인 2번을 누르면 정답 처리됩니다. 자세한 내용은 해설을 참고하세요.)
     1. 0.5회
     2. 0.7회
     3. 1.2회
     4. 1.5회

     정답 : []
     정답률 : 30%
     <문제 해설>
[규정 개정]
설비기준11조 0.5회 이상(2014년개정)

현재 답은 1번 0.5회가 정답입니다
[해설작성자 : 세종설비왕]

99. 건축물의 건축허가신청에 필요한 설계도서 중 건축계획서에 표시하여야 할 사항에 해당하지 않는 것은?
     1. 주차장 규모
     2. 건축물의 용도별 면적
     3. 공개공지 및 조경계획
     4. 에너지절약계획서(해당 건축물에 한함)

     정답 : []
     정답률 : 40%

100. 건축물의 높이 기준이 60m인 건축물에서 허용되는 높이의 오차범위는?
     1. 0.6m
     2. 0.9m
     3. 1.0m
     4. 1.2m

     정답 : []
     정답률 : 53%
     <문제 해설>
높이 오차범위는 2%
60 * 0.02 = 1.2m 이지만
높이 차이는 1m 이내 허용이므로 답은 1m
[해설작성자 : 건축설비 뿌셔]


정 답 지

1

2

3

4

5

6

7

8

9

10

11

12

13

14

15

16

17

18

19

20

21

22

23

24

25

26

27

28

29

30

31

32

33

34

35

36

37

38

39

40

41

42

43

44

45

46

47

48

49

50

51

52

53

54

55

56

57

58

59

60

61

62

63

64

65

66

67

68

69

70

71

72

73

74

75

76

77

78

79

80

81

82

83

84

85

86

87

88

89

90

91

92

93

94

95

96

97

98

99

100

건축설비기사 필기 기출문제(해설) 및 CBT 2012년03월04일을 이용해 주셔서 감사합니다.
, 필기, 기출문제, 전자문제집, CBT, 온라인, 모의테스트, 모의고사



List of Articles
번호 제목 글쓴이 날짜 조회 수
2200 건축설비기사 필기 기출문제(해설) 및 CBT 2018년04월28일(2463) 좋은아빠되기 2025.10.07 2
2199 건축설비기사 필기 기출문제(해설) 및 CBT 2018년03월04일(2462) 좋은아빠되기 2025.10.07 0
2198 건축설비기사 필기 기출문제(해설) 및 CBT 2017년09월23일(2461) 좋은아빠되기 2025.10.07 3
2197 건축설비기사 필기 기출문제(해설) 및 CBT 2017년05월07일(2460) 좋은아빠되기 2025.10.07 0
2196 건축설비기사 필기 기출문제(해설) 및 CBT 2017년03월05일(2459) 좋은아빠되기 2025.10.07 3
2195 건축설비기사 필기 기출문제(해설) 및 CBT 2016년10월01일(2458) 좋은아빠되기 2025.10.07 2
2194 건축설비기사 필기 기출문제(해설) 및 CBT 2016년05월08일(2457) 좋은아빠되기 2025.10.07 1
2193 건축설비기사 필기 기출문제(해설) 및 CBT 2016년03월06일(2456) 좋은아빠되기 2025.10.07 2
2192 건축설비기사 필기 기출문제(해설) 및 CBT 2015년09월19일(2455) 좋은아빠되기 2025.10.07 1
2191 건축설비기사 필기 기출문제(해설) 및 CBT 2015년05월31일(2454) 좋은아빠되기 2025.10.07 3
2190 건축설비기사 필기 기출문제(해설) 및 CBT 2015년03월08일(2453) 좋은아빠되기 2025.10.07 1
2189 건축설비기사 필기 기출문제(해설) 및 CBT 2014년09월20일(2452) 좋은아빠되기 2025.10.07 3
2188 건축설비기사 필기 기출문제(해설) 및 CBT 2014년05월25일(2451) 좋은아빠되기 2025.10.07 1
2187 건축설비기사 필기 기출문제(해설) 및 CBT 2014년03월02일(2450) 좋은아빠되기 2025.10.07 2
2186 건축설비기사 필기 기출문제(해설) 및 CBT 2013년09월28일(2449) 좋은아빠되기 2025.10.07 1
2185 건축설비기사 필기 기출문제(해설) 및 CBT 2013년06월02일(2448) 좋은아빠되기 2025.10.07 2
2184 건축설비기사 필기 기출문제(해설) 및 CBT 2013년03월10일(2447) 좋은아빠되기 2025.10.07 1
2183 건축설비기사 필기 기출문제(해설) 및 CBT 2012년05월20일(2446) 좋은아빠되기 2025.10.07 2
» 건축설비기사 필기 기출문제(해설) 및 CBT 2012년03월04일(2445) 좋은아빠되기 2025.10.07 1
2181 건축설비기사 필기 기출문제(해설) 및 CBT 2011년06월12일(2444) 좋은아빠되기 2025.10.07 2
Board Pagination Prev 1 ... 628 629 630 631 632 633 634 635 636 637 ... 742 Next
/ 742