자격증 필기 기출문제



건축설비기사 필기 기출문제(해설) 및 CBT 2018년03월04일(2462)

최강 자격증 기출문제 전자문제집 CBT : www.comcbt.com


전자문제집 CBT란?

종이 문제집이 아닌 인터넷으로 문제를 풀고 자동으로 채점하며 모의고사, 오답 노트, 해설까지 제공하는
무료 기출문제 학습 프로그램으로 실제 상설검정에서 사용하는 OMR 형식의 CBT를 제공합니다.


최신 건축설비기사 필기 기출문제 : [다운로드]

1과목 : 건축일반


1. 벽돌면에 구멍을 내어 쌓는 방식이며 힘을 받을 수 없는 장막벽으로 장식적 가리개의 효과를 기대할 수 있는 벽돌쌓기는?
     1. 세워쌓기
     2. 엇모쌓기
     3. 공간쌓기
     4. 영롱쌓기

     정답 : []
     정답률 : 77%
     <문제 해설>
벽돌을 쌓을 때 가운데 빈 부분을 남겨놓고 쌓는 방식을 공간쌓기, 타공쌓기 또는 영롱쌓기라 한다.
[해설작성자 : 늬들은...]

2. 상점의 매장계획에 관한 설명으로 옳지 않은 것은?
     1. 상품이 고객 쪽에서 효과적으로 보이도록 한다.
     2. 고객의 동선은 짧게, 점원의 동선을 길게 한다.
     3. 고객과 직원의 시선이 바로 마주치지 않도록 배치한다.
     4. 고객을 감시하기 쉬워야 한다.

     정답 : []
     정답률 : 92%
     <문제 해설>
고객의 동선은 [길게], 점원의 동선을 [짧게] 한다.
[해설작성자 : 창민의 그녀]

3. 아파트계획에서 메조넷 형(Maisonette Type)에 관한 설명으로 옳지 않은 것은?
     1. 주택내의 공간 변화가 있다.
     2. 엘리베이터 이용상 비경제적이다.
     3. 양면 개구일 경우 일조, 통풍 및 전망이 좋다.
     4. 소규모 주택에서는 면적면에서 불리하다.

     정답 : []
     정답률 : 68%
     <문제 해설>
복층형 주택
[maisonette type dwelling unit, 複層形住宅]
집합 주택에서의 주택형식의 일종으로, 1주택이 2층 이상에 걸치는 것. 공용 통로 면적의 절약, 엘리베이터 정지층 감소. 2층 부분의 통풍, 프라이버시의 확보 등을 할 수 있다.
[해설작성자 : 다즈]

4. 철근콘크리트 보에서 사인장 균열에 대한 보강과 가장 관계 깊은 철근은?
     1. 늑근
     2. 배력근
     3. 인장철근
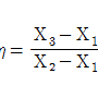
     4. 압축철근

     정답 : []
     정답률 : 75%

5. 사무소 건축의 코어 구성형식 중 편심코어형식에 관한 설명으로 옳은 것은?
     1. 중심코어 형식에 비하여 사무공간을 자유롭게 구성하기 어렵다.
     2. 방재상 유리하며 바닥면적이 커지면 서브코어가 필요하지 않다.
     3. 코어 접합부에서 변형이 과대해지지 않는 계획이 필요하다.
     4. 중심코어 형식에 비하여 내진성능이 우수하다.

     정답 : []
     정답률 : 71%
     <문제 해설>
방재상 불리하며 바닥면적이 커지면 서브코어가 필요하다
[해설작성자 : 감자골]

6. 아파트 평면형식 중에서 일조 및 통풍이 유리하고, 프라이버시가 침해되기 쉬우나 같은 층에 거주하는 사람과의 친교 기회가 많은 형식은?
     1. 홀형
     2. 계단실형
     3. 편복도형
     4. 중복도형

     정답 : []
     정답률 : 91%

7. 학교의 배치형식 중 분산병렬형의 특징이 아닌 것은?
     1. 일조, 통풍 등의 교실환경 조건이 균등하다.
     2. 편복도로 할 경우 복도면적을 많이 차지하지 않고 유기적인 구성을 할 수 있다.
     3. 구조계획이 간단하다.
     4. 동선이 길어지고 각 건물 사이의 연결을 필요로 한다.

     정답 : []
     정답률 : 61%
     <문제 해설>
분산병렬형은 편복도로 구성 할 경우 복도면적을 많이 차지한다
[해설작성자 : 달달외우자]

8. 건물의 하부 전체 또는 지하실 전체를 하나의 기초판으로 구성한 기초로서 매트기초라고도 하는 것은?
     1. 연속기초
     2. 독립기초
     3. 온통기초
     4. 복합기초

     정답 : []
     정답률 : 84%

9. 상점의 쇼윈도에 관한 설명으로 옳지 않은 것은?
     1. 쇼윈도의 바닥높이는 귀금속점의 경우는 낮을수록, 운동용품점의 경우는 높을수록 좋다.
     2. 국부조명은 배열을 바꾸는 경우를 고려하여 자유롭게 수량, 방향, 위치를 변경할 수 있도록 한다.
     3. 유리면의 반사방지를 위해 쇼윈도 안의 조도를 외부보다 밝게 한다.
     4. 쇼윈도 내부의 조명에 주광색의 전구를 필요로 하는 상점은 의료품점, 약국 등이다.

     정답 : []
     정답률 : 81%
     <문제 해설>
귀금속은 높을수록, 운동용품점은 낮을수록 좋다
[해설작성자 : comcbt.com 이용자]

10. 측창채광에 관한 설명으로 옳지 않은 것은?
     1. 비막이에 유리하다.
     2. 개폐조작이 용이하고, 유지관리가 쉽다.
     3. 균일한 조도를 얻을 수 있다.
     4. 주변 건물들에 의해 채광이 방해받을 수 있다.

     정답 : []
     정답률 : 77%
     <문제 해설>
조도가 불균일하다.

측창채광: 벽면이나 지붕하부의 빈공간에서 들어오는 채광방식
[해설작성자 : comcbt.com 이용자]

11. 잔향시간에 관란 설명으로 옳은 것은?
     1. 강당의 최적 잔향시간은 음악당보다 길다.
     2. 잔향시간은 실내 공간의 용적에 비례한다.
     3. 강당의 내부벽 재료는 잔향시간에는 영향을 주지 않는다.
     4. 잔향시간은 정상상태에서 90dB의 음이 감쇠하는데 소요되는 시간을 말한다.

     정답 : []
     정답률 : 71%
     <문제 해설>
1 - 강당은 잔향시간이 짧아야 강연 내용 전달이 잘 되고, 음악당은 잔향시간이 길어야 음악이 효과적으로 감상된다
3 - 내부벽 재료의 흡음률에 따라 잔향시간에 영향을 준다
4 - 60dB 감쇠 시간
[해설작성자 : 관동폭주연합]

12. 열람자가 책의 목록에 의해 책을 선택하여 관원에게 대출기록을 제출한 후 책을 대출하는 출납시스템 형식은?
     1. 자유개가식
     2. 안전개가식
     3. 반개가식
     4. 폐가식

     정답 : []
     정답률 : 64%
     <문제 해설>
자유개가식 : 열람자 자신이 서가에서 책을 꺼내어 고르고 검열없이 열람하는 방식
안전개가식 : 자유개가식+반개가식으로 열람자가 책을 직접 꺼내지만 관원의 검열을 받고 열람
반개가식 : 열람자는 직접 서가에 면하여 책의 표지 정도는 볼 수 있지만 내용을 볼려면 관원에게 요구하여 대출 기록을 남긴 후 열람
폐가식 : 열람자는 책의 목록에 의해 책을 선택하여 관원에게 대출기록을 제출한 후 대출 받는 형식으로 서고와 열람실이 분리
[해설작성자 : 쏘공주]

13. 호텔의 동선계획에 관한 설명으로 옳지 않은 것은?
     1. 숙박고객과 연회고객과의 동선이 분리되도록 계획한다.
     2. 숙박고객이 가능한 한 프런트를 통하지 않고 바로 주차장으로 갈 수 있도록 계획한다.
     3. 최상층에 레스토랑을 설치하는 방안은 엘리베이터 계획에 영향을 주므로 기본계획 시 결정한다.
     4. 객실층의 동선은 코어의 위치에 따라 결정되므로 충분히 검토하고, 엘리베이터에서 객실에 이르는 동선은 명료하고 혼동되지 않도록 계획한다.

     정답 : []
     정답률 : 85%
     <문제 해설>
관리적인 측면에서 고객이 프런트를 통하고 바로 나가면 곤란하다
[해설작성자 : 키는 주고가야지]

14. 진동 및 방진대책에 관한 설명으로 옳지 않은 것은?
     1. 방진고무는 압축용보다 인장용으로 사용하면 더욱 효과적이다.
     2. 진동차단은 가능한 한 진동원에 가까운 위치에서 감쇠시키는 것이 효과적이다.
     3. 고체 전파음은 공기음보다 훨씬 빠르고 멀리까지 전해진다.
     4. 낮은 진동수의 기계류 방진에는 금속 스프링이나 고무재료가 효과적이다.

     정답 : []
     정답률 : 77%
     <문제 해설>
방진고무는 인장용보다 압축용으로 사용하면 더욱 효과적
[해설작성자 : comcbt.com 이용자]

15. 커머셜 호텔(commercial hotel)계획에서 크게 고려하지 않아도 되는 것은?
     1. 주차장
     2. 발코니
     3. 레스토랑
     4. 연회장

     정답 : []
     정답률 : 79%
     <문제 해설>
커머셜 호텔은 시티호텔로써 숙박의 비중이 높아 발코니는 크게 고려하지 않아도 된다
[해설작성자 : 인스타샷 찍으러 가는게 아니니까]

16. 표면결로의 방지대책으로 옳지 않은 것은?
     1. 냉교(cold bridge)가 생기지 않도록 주의한다.
     2. 환기로 실내절대습도를 저하시킨다.
     3. 실내에서 수증기 발생을 억제한다.
     4. 외벽의 단열강화로 실내측 표면온도를 저하시킨다.

     정답 : []
     정답률 : 80%

17. 철골보와 콘크리트 슬래브를 연결하는 전단연결철물(shear connector)로 사용하는 것은?
     1. 스터드 볼트
     2. 고장력 볼트
     3. 앵커 볼트
     4. TC 볼트

     정답 : []
     정답률 : 81%

18. 설계도서가 없는 건물의 구조물 조사진단 시 설계도서 작성과 관련하여 우선적으로 조사하지 않아도 되는 것은?
     1. 구조체의 치수
     2. 철근의 치수 및 배근상황
     3. 재료의 강도
     4. 균열위치 및 상태

     정답 : []
     정답률 : 77%
     <문제 해설>
설계도서가 없을경우 우선적으로 구조체의 치수, 철근의 치수및 배근상황 재료의 강도를 확인한다
[해설작성자 : 들어가서 균열보기전에..]

19. 오피스 랜드스케이프(office landscape)의 장점으로 볼 수 없는 것은?
     1. 공간 이용률을 높일 수 있다.
     2. 변화하는 작업의 패턴에 따라 공간의 조절이 가능하며 신속하고 경제적으로 대처할 수 있다.
     3. 소음이 발생하지 않아 집중작업이 가능하다.
     4. 커뮤니케이션의 융통성이 있고, 장애요인이 거의 없다.

     정답 : []
     정답률 : 86%
     <문제 해설>
직급이나 서열에 의한 획일적인 배치가 아닌 의사전달이나 사무의 흐름에 의해 공간을 구성하는 방식
작업의 성격을 중시하며 커뮤니케이션에 융통성이 있고 변화하는 작업의 패턴에 따라 조절이 가능하고
신속하고 경제적인 대처가 가능
대형가구 등의 소리를 반향시키는 기재의 사용이 어려움
작업장의 집단을 자유롭게 그루핑하여 불규칙한 평면을 유도
[해설작성자 : comcbt.com 이용자]

20. 말뚝머리 지름이 400mm인 기성콘크리트 말뚝의 중심간격은 최소 얼마 이상으로 하여야 하는가?
     1. 1000 mm 이상
     2. 1250 mm 이상
     3. 1500 mm 이상
     4. 2000 mm 이상

     정답 : []
     정답률 : 70%
     <문제 해설>
기성콘크리트 말뚝 타설시 그 중심간격은 말뚝지름의 2.5배 또는 750mm이상으로 한다.
따라서 400 * 2.5 = 1000
[해설작성자 : 다즈]

2과목 : 위생설비


21. 급수방식 중 수도직결방식에 관한 설명으로 옳은 것은?
     1. 전력 차단 시 급수가 불가능하다.
     2. 3층 이상의 고층으로의 급수가 용이하다.
     3. 저수조가 있으므로 단수 시에도 급수가 가능하다.
     4. 수도 본관의 영향을 그대로 받아 수압 변화가 심하다.

     정답 : []
     정답률 : 73%

22. 먹는물의 수질기준에 따른 건강상 유해영향 무기물질에 속하지 않는 것은?
     1.
     2. 페놀
     3. 불소
     4. 수은

     정답 : []
     정답률 : 60%
     <문제 해설>
페놀 : 유기물질
[해설작성자 : 서현지완아빠]

23. 대변기의 세정방식 중 로 탱크(low tank)식에 관한 설명으로 옳은 것은?
     1. 바닥으로부터 1.6m 이상 높은 위치에 탱크를 설치한다.
     2. 단시간에 다량의 물이 필요하기 때문에 일반 가정용으로는 사용하지 않는다.
     3. 사용빈도가 많거나 일시적으로 많은 사람들이 연속하여 사용하는 장소에 적합하다.
     4. 세정의 경우 탱크로의 급수압력에 관계없이 대변기로의 공급수량이나 압력이 일정하다.

     정답 : []
     정답률 : 75%
     <문제 해설>
- 모든 가정에 있는 대변기는 로탱크 방식(물통이 있는것)
- 탱크의 용량은 절수형은    9L이하, 보통 11~15L정도
- 물의 압력이 있다보니 급수압력은 0.03MPa이상
- 물을 저장,세처하는 방식이므로 연속사용 불가능, 재사용 시간 60초 정도 걸리게 되므로 불특정 다수가 사용하는 곳이 아닌 주택이나 호텔의 객실 등에 사용
[해설작성자 : 합격]

24. 기구배수부하단위 산정의 기준이 되는 기구는?
     1. 욕조
     2. 세면기
     3. 싱크대
     4. 샤워기

     정답 : []
     정답률 : 85%

25. 원심펌프의 일종으로 날개의 바깥쪽에 가이드베인(guide vane)을 설치한 것은?
     1. 터빈 펌프
     2. 기어 펌프
     3. 베인 펌프
     4. 피스톤 펌프

     정답 : []
     정답률 : 74%

26. 직경 200mm의 강관에 2400L/min의 물이 흐를 때 강관 내의 유속은?
     1. 0.04m/sec
     2. 0.40m/sec
     3. 1.27m/sec
     4. 1.72m/sec

     정답 : []
     정답률 : 66%
     <문제 해설>
A = 3.14 ÷ 4 x d제곱
Q=AV
Q ÷ A
[해설작성자 : comcbt.com 이용자]

추가적으로 1000L = 1 세제곱 미터    단위환산 주의
[해설작성자 : 환산이 어렵더라]

v=Q/A=4Q/兀d2
=(4×2400×0.001m3)
/(3.14×0.2제곱×60)
=1.27m/s
/m=/60s, 1L=0.001m3
[해설작성자 : 다부ENG]

27. 수질과 관련된 용어의 설명으로 옳지 않은 것은?
     1. SS란 오수 중에 떠 있는 부유물질을 말하며, 탁도의 원인이 되기도 한다.
     2. DO란 오수 중의 산소요구량을 말하며, 오염도가 높을수록 산소요구량이 적다.
     3. COD란 화학적 산소요구량을 말하며, COD값은 일반적으로 BOD값보다 높게 나타난다.
     4. BOD란 생물화학적 산소요구량을 말하며, 오수중의 분해가능한 유기물 함유 정도를 간접적으로 측적하는데 이용된다.

     정답 : []
     정답률 : 71%
     <문제 해설>
DO(Dissolved Oxygen)은 수중에 용해되어 있는 산소 즉 용존산소를 말하며,
DO값은 수온이나 기압, 용질에 따라 영향을 받으며 수온의 상승시 감소하고
대기중의 산소분압에 비례하여 증가한다.
오염도가 높을수록 산소 요구량이 커진다.
[해설작성자 : OXYGEN IS included]

28. 급탕배관에 관한 설명으로 옳은 것은?
     1. 배관은 하향 구배로 하는 것이 원칙이다.
     2. 탕비기 주위의 급탕배관은 가능한 짧게 하고 공기가 체류하지 않도록 한다.
     3. 배관은 신축에 견디도록 가능하면 요철부가 많도록 배관하는 것이 원칙이다.
     4. 물이 뜨거워지면 수중에 포함된 공기가 분리되기 쉽고, 이 공기는 배관의 상부에 모여서 급탕의 순환을 원활하게 한다.

     정답 : []
     정답률 : 70%

29. 슬루스 밸브에 관한 설명으로 옳지 않은 것은?
     1. 게이트 밸브라고도 한다.
     2. 리프트가 커서 개패에 시간이 걸린다.
     3. 유체의 흐름을 단속하는 대표적인 밸브이다.
     4. 유체의 흐름이 90°로 바뀌기 때문에 유체에 대한 저항이 크다.

     정답 : []
     정답률 : 78%
     <문제 해설>
앵글밸브: 유체위 흐름을 직각으로 바꾸는 밸브
[해설작성자 : comcbt.com 이용자]

30. 10℃의 냉수 100kg과 70℃의 탕 100kg을 혼합 할 경우, 혼합수의 온도는?
     1. 36℃
     2. 38℃
     3. 40℃
     4. 42℃

     정답 : []
     정답률 : 77%
     <문제 해설>
((10*100)+(70*100))/100+100

31. 유체의 성질과 관련하여 다음 설명이 의미하는 것은?

    

     1. 파스칼의 원리
     2. 스토크스의 법칙
     3. 뉴턴의 점성법칙
     4. 베르누이의 정리

     정답 : []
     정답률 : 74%

32. 통기관의 관경에 관한 설명으로 옳지 않은 것은?
     1. 신정통기관의 관경은 배수수직관 관경의 1/2 이상으로 한다.
     2. 루프통기관의 관경은 담당 배수수평지관의 1/2 이상으로 한다.
     3. 건물의 배수탱크에 설치하는 통기관의 관경은 50mm 이상으로 한다.
     4. 결합통기관의 관경은 통기수직관과 배수수직관중 작은 쪽 관경 이상으로 한다.

     정답 : []
     정답률 : 45%
     <문제 해설>
1. 신정통기관 - 75mm 이상, 배수수직관경 이상
2. 루프통기관 - 접속 배수관경 1/2 이상, 40mm
3. 각개통기관 - 접속 배수관경 1/2 이상, 32mm
4. 결합통기관 - 50mm 이상, 통기수직관경 이상
+    도피통기관 - 접속 배수관경 1/2 이상, 40mm
[해설작성자 : 에버그린]

각개통기관 - 접속 배수관경 1/2 이상, 32mm
도피통기관 - 접속 배수관경 1/2 이상, 32mm
루프통기관 - 접속 배수관경 1/2 이상, 40mm
결합통기관 - 50mm 이상, 통기수직관/배수수직관 중 작은관경 이상
신정통기관 - 75mm 이상, 배수수직관과 동일관경 이상
[해설작성자 : metalmind]

33. 워터해머의 방지 방법으로 옳지 않은 것은?
     1. 대기압식 또는 가압식 진공브레이커를 설치한다.
     2. 관내의 수압은 평상 시 높아지지 않도록 구획한다.
     3. 배관은 가능한 한 우회하지 않고 직선이 되도록 계획한다.
     4. 수압이 0.4MPa을 초과하는 계통에는 감압밸브를 부착하여 적절한 압력으로 감압한다.

     정답 : []
     정답률 : 47%
     <문제 해설>
워터해머 발생할 경우는 에어챔버를 설치해야 됩니다.
[해설작성자 : 영햄]

진공브레이커 (변기 따위에서 물받이 용기 안이 오수가 역사이펀 작용에 의하여 급수 계통으로 역류하는것을 방지하려고 자동으로 공기를 보충하는 장치)

0.4MPA 초과 계통은 감압밸브
수격방지기는 보통 입상배관 말단에 배관 파손우려때문에 설치하는걸로 알고 있습니다.
[해설작성자 : 차정권]

대기압식 가압식...은 수질오염방지 임
[해설작성자 : comcbt.com 이용자]

우선 뜻이 같은 단어를 말씀드립니다. 진공방지기(vacuum breaker) = 역류방지기(버큠 브레이커)는 같은 말입니다.
그러나 공기실(air chamber)은 다른 뜻입니다.
워터해머(수격작용)의 방지대책은 공기실을 설치하여 워터해머가 발생하면 공기실의 완충작용으로 워터해머를 방지합니다.
그러면 진공방지기는 어디에 쓰는 물건일까요?
세정밸브식 대변기에서 세정수가 급수관으로 역류하여 오염되는 것을 방지합니다. 감사합니다.
[해설작성자 : 강비무]

34. 급탕설비의 팽창관 및 팽창탱크에 관한 설명으로 옳지 않은 것은?
     1. 팽창관 도중에는 밸브를 설치하지 않는다.
     2. 가열장치의 과도한 수온 상승을 방지하기 위해 설치한다.
     3. 개방식 팽창탱크는 급수방식이 고가탱크방식일 경우에 적합하며 급탕 보급탱크와 겸용할 수 있다.
     4. 급수방식이 압력탱크방식이나 펌프직송방식의 중앙식 급탕설비의 경우에는 밀폐식 팽창 탱크를 사용한다.

     정답 : []
     정답률 : 44%
     <문제 해설>
급탕설비 팽창탱크 역할
장치 내의 공기를 배출하는 공기배출구로 이용되고, 온수보일러의 도피관으로도 이용된다.
이러한 기능을 발휘하기 위하여 팽창탱크에는 팽창관 외에, 오버플로우 관 또는 안전밸브, 물보급장치 등을 갖추고 있다.
[해설작성자 : comcbt.com 이용자]

급탕설비의 팽창관은 수온 상승을 방지하는 것이 아니라 압력 상승을 도피시키기 위하여 설치하는 것으로
가열장치와 팽창탱크 사이를 연결하는 관으로 밸브는 설치하면 안된다.
[해설작성자 : 강비무]

35. 유체의 점성에 관한 설명으로 옳지 않은 것은?
     1. 유체의 동점성계수는 점성계수와 밀도와의 비로 표시된다.
     2. 기체의 점성계수는 일반적으로 온도의 상승과 함께 증가한다.
     3. 점성이 유체운동에 미치는 영향은 동점성계수값에 의해 결정된다.
     4. 점성력은 상호 접하는 층의 면적과 그 관계속도의 제곱에 비례한다.

     정답 : []
     정답률 : 45%
     <문제 해설>
점성력은 유체의 층이 상대적으로 움직일 때 서로 마찰을 일으켜 발생하는 힘입니다.
점성력의 크기는 다음과 같이 주어집니다.

F = μ * A * (v_1 - v_2)

* F는 점성력 (N)
* μ는 점성계수 (N * s / m^2)
* A는 상호 접하는 층의 면적 (m^2)
* v_1은 상위 층의 속도 (m/s)
* v_2는 하위 층의 속도 (m/s)
따라서, 점성력은 상호 접하는 층의 면적과 관계속도에 비례하지만,
제곱에 비례하지 않습니다.
[해설작성자 : chwoo420]

36. 배수수직관 내가 부압으로 되는 곳에 배수수평지관이 접속되어 있는 경우, 배수수평지 관 내의 공기가 수직관으로 유인되어 봉수가 파괴되는 현상(작용)은?
     1. 증발 현상
     2. 모세관 현상
     3. 유도사이폰 작용
     4. 자기사이폰 작용 r

     정답 : []
     정답률 : 74%

37. 양수펌프의 흡수면으로부터 토출수면까지의 실제 높이는 20m이고, 흡입관과 토출관의 관경이 같은 경우 펌프의 전양정은? (단, 관로의 전손실수두는 실양정의 20%로 한다.)
     1. 20m
     2. 22m
     3. 24m
     4. 26m

     정답 : []
     정답률 : 69%
     <문제 해설>
전양정H = 실양정+마찰손실수도 20m+(20*0.2) = 24m
[해설작성자 : comcbt.com 이용자]

38. 배관의 마찰저항에 관한 설명으로 옳은 것은?
     1. 유속의 제곱에 비례한다.
     2. 관이 길이에 반비례한다.
     3. 관 내경의 제곱에 비례한다.
     4. 유체의 점성이 클수록 감소한다.

     정답 : []
     정답률 : 72%
     <문제 해설>
배관마찰손실
유속 제곱의 비례
배관길이의 비례
배관내경의 반비례
점성이 클수록 증가
[해설작성자 : 열공]

마찰저항=마찰저항계수 x 관길이 x 속도제곱 x 밀도 / 관경 x 2
[해설작성자 : chwoo420]

39. 중앙식 급탕방식에 관한 설명으로 옳지 않은 것은?
     1. 배관에 의해 필요 개소에 급탕할 수 있다.
     2. 급탕 개소마다 가열기의 설치 스페이스가 필요하다.
     3. 기구의 동시이용률을 고려하여 가열장치의 총용량을 적게 할 수 있다.
     4. 호텔, 병원 등 급탕 개소가 많고 소요 급탕량도 많이 필요한 대규모 건축물에 채용된다.

     정답 : []
     정답률 : 78%

40. 다음 중 원칙적으로 청소구(clean out)를 설치하여야 하는 곳에 속하지 않는 것은?
     1. 배수수직관의 최상부
     2. 배수수평주관이 기점
     3. 배수수평지관의 기점
     4. 배수관이 45° 이상의 각도로 방향을 바꾸는 곳

     정답 : []
     정답률 : 81%
     <문제 해설>
배관 청소구는 이물등이 퇴적될 가능성이 높은곳 위주로 설치, 수직관은 그대로 쑥 잘 빠지니 보통 설치 안함
[해설작성자 : 수직관은 잘 안맥혀]

3과목 : 공기조화설비


41. 다음 설명에 알맞은 보일러의 출력 표시 방법은?

    

     1. 정격출력
     2. 상용출력
     3. 정미출력
     4. 과부하출력

     정답 : []
     정답률 : 77%

42. 공조기의 저항이 30mmAq, 덕트의 필요 전압이 11mmAq, 송풍기의 토출구 풍속이 6m/s 일 때, 송풍기의 정압은?
     1. 약 35mmAq
     2. 약 39mmAq
     3. 약 43mmAq
     4. 약 45mmAq

     정답 : []
     정답률 : 35%
     <문제 해설>
전압 = 정압 + 동압 - 공조기 저항
정압 = 전압 + 공조기 저항 - 동압
동압 = 6^2 / 2 * 9.8 = 1.836...mmAq
11+30-1.84 = 39.16mmAq
[해설작성자 : 에버그린]

동압 mmAg = 6^2/2*9.8*1.2(공기비중량) =2.2
11+30-2.2=38.8입니다
[해설작성자 : comcbt.com 이용자]

43. 창의 틈새바람 계산법에 속하지 않는 것은?
     1. 균열법
     2. 면적법
     3. 환기횟수법
     4. 굴뚝효과에 의한 계산법

     정답 : []
     정답률 : 62%

44. 다음 그림과 같은 여과장치의 효율은?

    

     1. 25%
     2. 66%
     3. 75%
     4. 83%

     정답 : []
     정답률 : 74%
     <문제 해설>
여과장치 효율 = (1 - 여과 후 밀도 / 여과 전 밀도) * 100(%)
                            = (1 - 0.08 / 0.32) * 100 = 75%
[해설작성자 : 푸른마을 안전관리자]

여과장치의 효율 = (여과 전 밀도-여과 후 밀도)/여과 전 밀도 * 100
                                = (0.32-0.08)/0.32 * 100
                                = 75%
[해설작성자 : 강비무]

45. 다음 그림과 같은 엘보의 국부저항은? (단, 곡관부의 국부저항손실계수는 0.35, 공기의 밀도는 1.2kg/m3이다.)

    

     1. 약 10Pa
     2. 약 20Pa
     3. 약 30Pa
     4. 약 40Pa

     정답 : []
     정답률 : 54%
     <문제 해설>
국부저항 = 0.35x122x1.2/2
             = 30.24pa
[해설작성자 : 수안파파]

국부저항에 의한 압력손실
저항계수 * (유체속도^2 / 2) * 공기밀도
= 0.35 * (12^2 / 2) * 1.2 = 30.24 Pa
[해설작성자 : metalmind]

46. 건물의 냉방부하의 종류 중 현열과 잠열성분을 모두 갖는 것은?
     1. 인체의 발생열량
     2. 벽체로부터의 취득열량
     3. 유리로부터의 취득열량
     4. 덕트로부터의 취득열량

     정답 : []
     정답률 : 84%
     <문제 해설>
수분의 유무로 판별
[해설작성자 : Mreo]

47. 온수난방방식에 관한 설명으로 옳은 것은?
     1. 용량제어가 어렵고 응축수에 의한 열손실이 크다.
     2. 실내온도의 상승이 빠르고 예열손실이 적어 간헐난방에 적합하다.
     3. 증기난방에 비하여 소요방열면적과 배관경이 작으므로 설비비가 낮다.
     4. 열용량이 크므로 보일러를 정지시켜도 실내난방이 어느정도 지속된다.

     정답 : []
     정답률 : 76%

48. 정압 재취득법에 관한 설명으로 옳지 않은 것은?
     1. 고속덕트의 경우 부적합하다.
     2. 취출구 직전의 정압이 대략 일정해진다.
     3. 등압변에 비해 송풍기 동력이 절약되며 풍량조절이 용이하다.
     4. 덕트구간에서 앞 구간의 동압감소로 인해 얻은 정압을 다음 구간에서 이용하는 방법이다.

     정답 : []
     정답률 : 55%
     <문제 해설>
덕트설계방법 중 정압재취득법은 고속덕트의 경우에 적합한 방식이다.
[해설작성자 : 강비무]

49. 다음 중 일사를 받는 외벽·지붕으로부터의 취득열량을 계산하는데 필요한 요소가 아닌것은?
     1. 면적
     2. 열관류율
     3. 상당외기온도차
     4. 표준일사열취득열량

     정답 : []
     정답률 : 45%
     <문제 해설>
표준일사열취득은 유리창을 통한 일사부하입니다.
[해설작성자 : Mreo]

50. 송풍기의 회전수 500rpm에서 풍량은 200m3/min이었다. 회전수를 600rpm으로 올렸을 경우 풍량은?
     1. 210m3/min
     2. 240m3/min
     3. 288m3/min
     4. 356m3/min

     정답 : []
     정답률 : 69%
     <문제 해설>
Q2/Q1 = N2/N1
Q2=Q1(N2/N1)
200(600/500)=240
[해설작성자 : konggo]

51. 냉각코일의 용량 결정 시 고려되는 요소와 가장 거리가 먼 것은?
     1. 배관부하
     2. 재열부하
     3. 외기부하
     4. 실내 취득열량

     정답 : []
     정답률 : 42%
     <문제 해설>
냉각코일을 거쳐 냉동기로 순환되는 배관부하는
냉각코일 용량 요소가 아니다
[해설작성자 : konggo]

냉동부하의 기기요량
1. 송풍기용량 및 송풍량     : 실내부하(실내취득열량=기기취득열량) + 재열부하
2. 냉 각 코 일 용 량            :    1번용량 + 외기부하
3. 냉 동 기        용    량         :    2번 용량 + 배관부하(/w 냉수펌프)
[해설작성자 : metalmind]

냉각코일의 부하는 실내부하, 외기부하, 장치부하, 재열부하를 말한다.
냉동기의 부하는 펌프 및 배관부하이다.
[해설작성자 : 강비무]

52. 배관 일부의 교환 및 수리를 용이하게 하기 위하여 사용하는 배관 부속품은?
     1.
     2. 엘보
     3. 플러그
     4. 유니온

     정답 : []
     정답률 : 79%
     <문제 해설>
유니온(UNION), 플렌지(FLANGE)
[해설작성자 : 세젤예]

53. 개방식 배관의 펌프 흡입관 선단에 부착하여 펌프 운전 중에는 물론 펌프 정지 시에도 흡입관 내를 만수상태로 유지하기 위해 설치하는 것은?
     1. 관트랩
     2. 박스트랩
     3. 스트레이너
     4. 풋형 체크밸브

     정답 : []
     정답률 : 67%

54. 습공기의 상태변화량 중 수분의 변화량과 엔탈피 변화량 비율을 의미하는 것은?
     1. 현열비
     2. 열수분비
     3. 접촉계수
     4. 바이패스계수

     정답 : []
     정답률 : 75%

55. 다음의 증기압축 냉동사이클의 압력(P)-엔탈피(h)선도에 관한 설명으로 옳지 않은 것은?

    

     1. 과정 1→2는 정압증발과정이다.
     2. 과정 2→3은 단열압축과정이다.
     3. 과정 3→4는 정압응축과정이다.
     4. 과정 4→1은 가열팽창과정이다.

     정답 : []
     정답률 : 58%

56. 다음과 같은 조건에서 어느 작업장의 발생 현열량이 4000W일 때 필요 환기량(m3/h)은?

    

     1. 411.3
     2. 698.8
     3. 872.5
     4. 1188.1

     정답 : []
     정답률 : 59%
     <문제 해설>
4000W= 14400 kJ/H
14400/1.2*1.01*(35-25) =1,188
*1W=1J/s
[해설작성자 : comcbt.com 이용자]

57. 다음 중 재실인원이 적은 실에 부하변동이 크고 극간풍이 비교적 많은 경우 공조방식으로 가장 적절한 것은?
     1. FCU방식
     2. 멀티존 유니트 방식
     3. 2중덕트 정풍량방식
     4. 단일덕트 정풍량방식

     정답 : []
     정답률 : 64%
     <문제 해설>
극간풍이 비교적 많은 경우 : 외부 온도에 변화가 크다.
FCU(팬코일 유닛방식) : 외주부의 부하변동에 가장 효과적으로 대응할 수 있으므로 호텔, 사무실, 병실 등에 적합하다.
[해설작성자 : 강비무]

58. 온수에서 분리된 공기를 배제하기 위한 배관방법으로 가장 알맞은 것은?
     1. 배수밸브를 설치한다.
     2. 감압밸브를 설치한다.
     3. 팽창관에 밸브를 설치한다.
     4. 팽창탱크를 향하여 선상향 구배로 한다.

     정답 : []
     정답률 : 60%

59. 응축수의 드레인 배관이 필요없는 곳은?
     1. 재열기
     2. 팬코일 유닛
     3. 패키지 공조기
     4. 에어 핸들링 유닛

     정답 : []
     정답률 : 60%
     <문제 해설>
재열기는 가열을 하는장치로서 응 축수가 발생하지 않는다
[해설작성자 : 하루남음 ]

60. 다음과 같은 조건에 있는 에어와셔의 입구 수온은?

    

     1. 약 8.4℃
     2. 약 9.7℃
     3. 약 10.2℃
     4. 약 11.5℃

     정답 : []
     정답률 : 48%
     <문제 해설>
공기열량=물의열량
공기열량=m*(h2-h1)
물의열량=CmΔT
[해설작성자 : 인생망한사람]

에어 와셔의 입구 수온은? 공기의 열량 = 물의 열량
1.공기의 열량 = 공기의 질량 * 엔탈피의 변화량
2.물의 열량 = 물의 비열 * 물의 질량 * 온도의 변화량
3.20000*(26.8-23.9) = 4.2 * 15600 * (t - 9.3)
4.답) t = 10.185
[해설작성자 : 강비무]

4과목 : 소방 및 전기설비


61. 3상유도 전동기의 기동법으로 Y-△기동법을 사용하는 가장 주된 목적은?
     1. 전압을 높이기 위하여
     2. 기동전류를 줄이기 위하여
     3. 전동기의 출력을 높이기 위하여
     4. 전동기의 동기속도를 높이기 위하여

     정답 : []
     정답률 : 69%

62. 피드백 제어방식을 제어동작에 의해 분류할 경우, 다음 중 불연속 동작에 속하는 것은?
     1. 비례동작
     2. 미분동작
     3. 적분동작
     4. 다위치동작

     정답 : []
     정답률 : 70%

63. 교류회로에서 전압 220[V], 전류5[A]일 때 저항은 얼마인가?
     1. 22[Ω]
     2. 33[Ω]
     3. 44[Ω]
     4. 55[Ω]

     정답 : []
     정답률 : 76%
     <문제 해설>
P=VI    P=I^2*R
P=220V * 5
=1100W

1100W=5^2*R
R=1100/5^2
=44
[해설작성자 : 탕구리]

전압(V)= I(전류) X R(저항)
R = V/I -> 220/5 = 44
[해설작성자 : comcbt.com 이용자]

64. 정현과 교류의 파형률은 얼마인가?
     1. 1.0
     2. 1.11
     3. 1.414
     4. 1.571

     정답 : []
     정답률 : 53%
     <문제 해설>
파형율=실효값/정현파 교류평균값
1/(루트1/2)
[해설작성자 : 솔잎]

파형률 = 실효값 / 정현파 교류 평균값
             = (1/루트2) / (2/파이)
[해설작성자 : comcbt.com 이용자]

정현파 교류 : Vm = 루트2 V = 파이/2 Vav 여기서 Vm은 최대값, V는 실효값, Vav는 평균값
파형률=실효값/평균값
위의 공식에서 실효값은 최대값/루트2 이므로 계산하면 0.707(1/루트2)
                            평균갑은 (2*최대값)/파이 이므로 계산하면 0.6366(2/파이)
파형률 = 0.707/0.6366
             = 1.11
[해설작성자 : 강비무]

65. 그림과 같이 반대의 극을 갖는 막대자석을 놓았을 때 상호간에 작용하는 힘의 종류는?

    

     1. 흡인력
     2. 반발력
     3. 회전력
     4. 마찰력

     정답 : []
     정답률 : 78%
     <문제 해설>
같은 극끼리는 반발력
다른 극끼리는 흡인력
[해설작성자 : 탕구리]

66. 제1종 접지공사의 접지저항값은 최대 얼마 이하이어야 하는가?
     1. 2[Ω]
     2. 5[Ω]
     3. 10[Ω]
     4. 100[Ω]

     정답 : []
     정답률 : 71%
     <문제 해설>
1) 제1종접지 공사
접지 저항값 10옴 이하

2) 제2종접지 공사
변압기의 고압측 또는 특별 고압측의 전로의 1선지락 전류의 암페어 수로 150을 나눈 값과 같은 옴 수 이하

3) 제3종접지 공사
접지 저항값 100옴 이하

4)특별 제3종 접지 공사
접지 저항값 10옴 이하
[해설작성자 : 관동폭주연합]

67. 피드백 제어에서 제어요소는 무엇으로 구성되는가?
     1. 비교부와 조작부
     2. 비교부와 검출부
     3. 조절부와 조작부
     4. 조절부와 검출부

     정답 : []
     정답률 : 61%

68. 우리나라의 가정용 전압은 교류220[V]이다. 이 전압의 최대값은 몇[V] 인가?
     1. 220
     2. 220×√2
     3. 220×√3
     4. 440

     정답 : []
     정답률 : 57%
     <문제 해설>
정현파 교류 : 최대값 = 루트2*실효값 = (파이/2)*평균값 ...... 공식
문제에서 실효값은 220 이므로
최대값 = 루트2 * 220
[해설작성자 : 강비무]

69. 가스계량기는 전기점멸기와 최소 얼마 이상의 거리를 유지하여야 하는가?
     1. 30cm
     2. 45cm
     3. 60cm
     4. 90cm

     정답 : []
     정답률 : 64%
     <문제 해설>
가스계량기 - 2m 화기
                         60cm 전기 계폐기,계량기
                         30cm 전기 점멸기,접속기, 굴뚝
                         15cm 절연처리 안 된 전선
[해설작성자 : 에버그린]

70. 전류가 도선을 통하여 흐를 때 도선의 둘레에 발생하는 것은?
     1. 전계
     2. 자계
     3. 정전계
     4. 중력계

     정답 : []
     정답률 : 59%

71. 수전설비에서 인입구 개폐기로 사용되지 않는 것은?
     1. LBS
     2. ASS
     3. DS
     4. PF

     정답 : []
     정답률 : 60%
     <문제 해설>
PF는 전력퓨즈
[해설작성자 : 하루남음 ]

72. 인공광원 중 효율이 높지만 등황색의 단색광으로 색채의 식별이 곤란하므로 주로 터널 조명에 사용되는 것은?
     1. 형광램프
     2. 할로겐램프
     3. 저압나트륨램프
     4. 메탈헬라이드램프

     정답 : []
     정답률 : 69%

73. C급 화재가 의미하는 화재의 종류는?
     1. 일반화재
     2. 전기화재
     3. 유류화재
     4. 주방화재

     정답 : []
     정답률 : 81%
     <문제 해설>
A급 - 일반화재(재o)
B급 - 유류화재(재x)
C급 - 전기화재
K급 - 주방화재
[해설작성자 : 인생망한사람]

74. 스프링클러설비의 알람밸브에 리타딩챔버를 설치하는 주된 목적은?
     1. 오보를 방지한다.
     2. 자동배수를 한다.
     3. 방수압을 시험한다.
     4. 가압수의 온도를 검지한다.

     정답 : []
     정답률 : 79%

75. 3층 건물의 각 층에 옥내소화전이 2개씩 설치되어 있는 경우, 옥내소화전설비의 수원의 저수량은 최소 얼마 이상이 되도록 하여야 하는가?
     1. 3.2m3
     2. 3.4m3
     3. 5.2m3
     4. 14m3

     정답 : []
     정답률 : 72%
     <문제 해설>
Q = 130L/min x 20min x 2 = 5200L = 5.2m^3
[해설작성자 : konggo]

76. 스프링클러설비에 관한 설명으로 옳지 않은 것은?
     1. 초기 화재 진압에 효과적이다.
     2. 소화약제가 물이므로 경제적이다.
     3. 감지부의 구조가 기계적이므로 오보 및 오동작이 적다.
     4. 다른 소화설비에 비해 시공이 단순하여 초기에 시설비용이 적게 든다.

     정답 : []
     정답률 : 76%
     <문제 해설>
2015년 기사에 따르면 10층짜리 도시형 생활주택 기준으로 스프링클러 설치 비용은 8000만~1억 가량 든다.
스프링클러 설비가 전체 공사비의 10%정도 차지한다. 시설비용이 많다.
[해설작성자 : 에버그린]

77. 작업면에 필요한 평균조도가300[lx], 면적이 50[m2], 램프 한 개의 광속이 2500[lm], 감광보상률이 1.5, 조명률이 0.5일 때 전등의 소요수량은?
     1. 6개
     2. 12개
     3. 18개
     4. 24개

     정답 : []
     정답률 : 63%
     <문제 해설>
평균조도 = 광속*개수*조명률 / 면적*감광보상률
개수 = 평균조도*면적*감광보상률 / 광속*조명률
N = 300*50*1.5 / 2500*0.5 = 18개
[해설작성자 : 에버그린]

78. 정보통신설비를 정보설비와 통신설비로 구분할 경우, 다음 중 통신설비에 속하지 않는 것은?
     1. 인터폰설비
     2. CCTV설비
     3. TV공청설비
     4. 화장회의설비

     정답 : []
     정답률 : 61%
     <문제 해설>
CCTV는 정보설비로 분류
[해설작성자 : konggo]

79. 단상 유도전동기의 종류에 속하는 것은?
     1. 분권 전동기
     2. 타여자 전동기
     3. 권선형 유도전동기
     4. 콘덴서 기동형 전동기

     정답 : []
     정답률 : 43%
     <문제 해설>
- 콘덴서 기동형 전동기 : 단상 유도전동기
- 분권 전동기,타여자 전동기 : 직류 전동기
- 권선형 유도전동기 : 3상전동기
[해설작성자 : konggo]

80. 20[W] 형광램프 2개를 하루에 6시간씩 30일 동안 사용하였을 경우 사용전력량은?
     1. 0.24[kWh]
     2. 3.6[kWh]
     3. 7.2[kWh]
     4. 10.4[kWh]

     정답 : []
     정답률 : 75%
     <문제 해설>
20W/개 x 2개 x 6시간/일 x 30일 = 7,200W*시간 = 7.2kWh
[해설작성자 : 날라리절세미녀]

81. 건축물의 설비기준 등에 관한 규칙에 따라 피뢰설비를 설치하여야 하는 건축물의 높이 기준은?
     1. 10m 이상
     2. 15m 이상
     3. 20m 이상
     4. 31m 이상

     정답 : []
     정답률 : 77%
     <문제 해설>
1.피뢰침 설치대상
            1)낙뢰의 우려가 있는 건축물
            2)높이 20m 이상의 건축물
[출처] 피뢰설비의 개요와 피뢰침 설비대상 및 피뢰설비 기준|작성자 분양보호자

82. 문화 및 집회시설 중 공연장의 개별관람석의 바닥면적이 500m2인 경우 개별관람석 출구의 유효너비의 합계는 최소 얼마 이상이어야 하는가?
     1. 1m
     2. 2m
     3. 3m
     4. 4m

     정답 : []
     정답률 : 63%
     <문제 해설>
유효너비=바닥면적 100m^2 당 0.6m
[해설작성자 : 인생망한사람]

500m^2 x (0.6m / 100m^2) = 3m
[해설작성자 : 창민의 그녀]

83. 건축법령상 단독주택에 속하지 않는 것은?
     1. 공관
     2. 기숙사
     3. 다중주택
     4. 다가구주택

     정답 : []
     정답률 : 72%
     <문제 해설>
공동주택 : 아파트, 기숙사, 연립주택, 다세대주택
[해설작성자 : 강비무]

84. 다음 중 제연설비를 설치하여야 하는 특정소방대상물에 속하지 않는 것은?
     1. 지하가(터널 제외)로서 연면적 1000m2인 것
     2. 문화 및 집회시설로서 무대부의 바닥면적이 200m2인 것
     3. 문화 및 집회시설 중 영화상영관으로서 수용 인원 100명인 것
     4. 지하층에 설치된 숙박시설로서 해당 용도로 사용되는 바닥면적의 합계가 500m2인 층

     정답 : []
     정답률 : 50%
     <문제 해설>
지하층에 설치된 숙박시설로써 해당용도로 사용되는 바닥면적합계가 1000제곱 미터 이상
[해설작성자 : 카와]

85. 건축물의 바깥쪽으로의 출구로 쓰이는 문을 안여닫이로 하여서는 안되는 대상 건축물에 속하지 않는 것은?
     1. 종교시설
     2. 위락시설
     3. 문화 및 집회시설 중 관람장
     4. 문화 및 집회시설 중 전시장

     정답 : []
     정답률 : 63%
     <문제 해설>
문화 및 집회시설(전시장 및 동식물원 제외)

86. 6층 이상의 거실면적의 합계가 5000m2인 경우, 설치하여야 하는 승용 승강기의 최소 대수가 가장 많은 것은? (단, 8인승 승강기의 경우)
     1. 업무시설
     2. 숙박시설
     3. 위락시설
     4. 의료시설

     정답 : []
     정답률 : 67%

87. 모든 층에 주거용 주방자동소화장치를 설치하여야 하는 특정소방대상물은?
     1. 기숙사
     2. 아파트 등
     3. 일반음식점
     4. 휴게음식점

     정답 : []
     정답률 : 79%
     <문제 해설>
(소방법령 15조 별표5 나항) 아파트등 및 30층 이상 오피스텔
[해설작성자 : 제우스]

88. 건축물의 에너지절약설계기준에 따른 건축부문의 권장사항으로 옳지 않은 것은?
     1. 공동주택은 인동간격을 넓게 하여 저층부의 일사 수열량을 증대시킨다.
     2. 건축물의 체적에 대한 외피면적의 비 또는 연면적에 대한 외피면적의 비는 가능한 크게 한다.
     3. 거실의 층고 및 반자 높이는 실의 용도와 기능에 지장을 주지 않는 범위 내에서 가능한 낮게 한다.
     4. 건물의 창 및 문은 가능한 작게 설계하고, 특히 열손실이 많은 북측 거실의 창 및 문의 면적은 최소화한다.

     정답 : []
     정답률 : 77%

89. 건축물의 거실(피난층 거실 제외)에 국토교통부령으로 정하는 기준에 따라 배연설비를 하여야 하는 대상 건축물에 속하지 않는 것은? (단, 층수가 6층인 건축물의 경우)
     1. 판매시설
     2. 종교시설
     3. 문화 및 집회시설
     4. 제1종 근린생활시설

     정답 : []
     정답률 : 52%
     <문제 해설>
건축물의 설비기준 등에 관한 규칙」제14조제1항의 규정에 의하면「건축법시행령」제87조제2항의 규정에 의하여 6층 이상의 건축물로서 문화 및 집회시설, 판매 및 영업시설, 의료시설, 교육연구 및 복지시설중 연구소·아동관련시설·노인복지시설 및 유스호스텔, 운동시설, 업무시설, 숙박시설, 위락시설, 관광휴게시설, 제2종 근린생활시설 중 고시원 및 장례식장에 쓰이는 거실에는 피난층을 제외하고 본문 각 호의 기준에 적합하게 배연설비를 설치하여야 하는 것이며, 기타 관계법령에도 적합하여야 할 것입니다.

90. 녹색건축 인증의 유효기간으로 옳은 것은?
     1. 녹색건축 인증서를 발급한 날부터 3년
     2. 녹색건축 인증서를 발급한 날부터 5년
     3. 녹색건축 인증서를 발급한 날부터 10년
     4. 녹색건축 인증서를 발급한 날부터 15년

     정답 : []
     정답률 : 71%
     <문제 해설>
신축 건물(사용승인 또는 사용검사를 받은 후 3년 이내의 모든 건축물)과 기존 건물(공동주택, 업무용 건축물)이 인증 대상이 되며 공공기관에서 발주하는 연면적 3,000m2 이상 건축물은 인증 의무 대상이다. 심사 기준에 따른 평가 결과 점수에 따라 최우수(그린 1등급), 우수(그린 2등급), 우량(그린 3등급), 일반(그린 4등급)의 네 등급으로 나뉜다. 예비인증은 인증일자로부터 사용검사 또는 사용승인 완료 전까지 유효하며, 인증을 받으며 인증일자로부터 5년간 유효하다.
[네이버 지식백과] 녹색건축인증제도 (시사상식사전, pmg 지식엔진연구소)

91. 공동주택의 난방설비를 개별난방방식으로 하는 경우에 관한 기준 내용으로 옳지 않은 것은?
     1. 보일러의 연도는 방화구조로서 개별연도로 설치할 것
     2. 보일러실의 윗부분에는 면적이 0.5m2 이상인 환기창을 설치할 것
     3. 기름보일러를 설치하는 경우에는 기름저장소를 보일러실외의 다른 곳에 설치할 것
     4. 보일러를 설치하는 곳과 거실 사이의 경계벽은 출입구를 제외하고는 내화구조의 벽으로 구획 할 것

     정답 : []
     정답률 : 55%
     <문제 해설>
보일러 연도는 내화구조로서 공동연도로 설치할 것.
[해설작성자 : comcbt.com 이용자]

92. 건축물을 특별시나 광역시에 건축하는 경우, 특별시장이나 광역시장의 허가를 받아야 하는 대상 건축물이 연면적 기준은?
     1. 연면적 합계가 1만 제곱미터 이상
     2. 연면적 합계가 5만 제곱미터 이상
     3. 연면적 합계가 10만 제곱미터 이상
     4. 연면적 합계가 20만 제곱미터 이상

     정답 : []
     정답률 : 66%

93. 공사의 공사감리자가 필요하다고 인정하면 공사시공자에게 상세시공도면 작성을 요청할 수 있는 건축공사의 연면적 기준은?
     1. 연면적의 합계가 1000m2 이상인 건축공사
     2. 연면적의 합계가 2000m2 이상인 건축공사
     3. 연면적의 합계가 5000m2 이상인 건축공사
     4. 연면적의 합계가 10000m2 이상인 건축공사

     정답 : []
     정답률 : 69%

94. 다음은 특정소방대상물의 소방시설 설치의 면제에 관한 기준 내용이다. ( )안에 포함되지 않은 소방시설은?

    

     1. 스프링클러설비
     2. 옥내소화전설비
     3. 물분무소화설비
     4. 미분무소화설비

     정답 : []
     정답률 : 57%

95. 건축물에 설치하여야 하는 비상용 승강기의 승강장 및 승강로의 구조에 관한 기준 내용으로 옳지 않은 것은?
     1. 승강장은 각 층의 내부와 연결될 수 있도록 할 것
     2. 승강로는 당해 건축물의 다른 부분과 내화구조로 구획할 것
     3. 벽 및 반자가 실내에 접하는 부분의 마감재료는 난연재료로 할 것
     4. 각 층으로부터 피난층까지 이르는 승강로는 단일구조로 연결하여 설치할 것

     정답 : []
     정답률 : 71%
     <문제 해설>
난연재로-----> 불연재료로 할 것
[해설작성자 : konggo]

96. 다음의 소방시설 중 소화활동설비에 속하지 않는 것은?
     1. 제연설비
     2. 연결살수설비
     3. 옥외소화전설비
     4. 무선통신보조설비

     정답 : []
     정답률 : 53%
     <문제 해설>
옥외소화전설비는 [소화설비]에 속한다. (소화기구, 자동소화장치, 옥내소화전, 옥외소화전, 스프링클러설비, 물분무등소화설비)
[해설작성자 : 날라리절세미녀]

97. 연면적 200m2를 초과하는 건축물에 설치하는 계단의 유효 높이(계단의 바닥 마감면부터 상부 구조체의 하부 마감면까지의 연직방향의 높이)는 최소 얼마 이상으로 하여야 하는 가?
     1. 1.8m
     2. 2.1m
     3. 2.4m
     4. 2.7m

     정답 : []
     정답률 : 59%
     <문제 해설>
연면적 200m2를 초과하는 건축물에 설치하는 계단의 유효 높이는 최소 2.0m 이상이어야 합니다.
[해설작성자 : SD KIM]

98. 다음 중 준다중이용 건축물에 속하지 않는 것은? (단, 해당 용도로 쓰는 바닥면적의 합계가 1000m2인 건축물의 경우)
     1. 종교시설
     2. 판매시설
     3. 위락시설
     4. 수련시설

     정답 : []
     정답률 : 51%

99. 특별피난계단의 구조에 관한 기준 내용으로 옳지 않은 것은?
     1. 계단은 내화구조로 하되, 피난층 또는 지상까지 직접 연결되도록 할 것
     2. 출입구의 유효너비는 0.9m 이상으로 하고 피난의 방향으로 열 수 있을 것
     3. 건축물의 내부에서 노대 또는 부속실로 통하는 출입구에는 갑종방화문 또는 을종방화문을 설치할 것
     4. 계단실에는 노대 또는 부속실에 접하는 부분 외에는 건축물의 내부와 접하는 창문 등을 설치하지 아니할 것

     정답 : []
     정답률 : 57%
     <문제 해설>
건축물의 내부에서 노대 또는 부속실로 통하는 출입구에는 갑종방화문을 설치하고,
노대 또는 부속실로부터 계단실로 통하는 출입구에는 갑종방화문 또는 을종방화문을 설치할 것
[해설작성자 : comcbt.com 이용자]

100. 다음은 건축설비 설치의 원칙에 관한 기준 내용이다. ( )안에 알맞은 것은?

    

     1. 100m2
     2. 500m2
     3. 1000m2
     4. 5000m2

     정답 : []
     정답률 : 50%


정 답 지

1

2

3

4

5

6

7

8

9

10

11

12

13

14

15

16

17

18

19

20

21

22

23

24

25

26

27

28

29

30

31

32

33

34

35

36

37

38

39

40

41

42

43

44

45

46

47

48

49

50

51

52

53

54

55

56

57

58

59

60

61

62

63

64

65

66

67

68

69

70

71

72

73

74

75

76

77

78

79

80

81

82

83

84

85

86

87

88

89

90

91

92

93

94

95

96

97

98

99

100

건축설비기사 필기 기출문제(해설) 및 CBT 2018년03월04일을 이용해 주셔서 감사합니다.
, 필기, 기출문제, 전자문제집, CBT, 온라인, 모의테스트, 모의고사



List of Articles
번호 제목 글쓴이 날짜 조회 수
2218 측량및지형공간정보기사 필기 기출문제(해설) 및 CBT 2008년03월02일(2481) 좋은아빠되기 2025.10.07 2
2217 측량및지형공간정보기사 필기 기출문제(해설) 및 CBT 2007년09월02일(2480) 좋은아빠되기 2025.10.07 2
2216 측량및지형공간정보기사 필기 기출문제(해설) 및 CBT 2007년05월13일(2479) 좋은아빠되기 2025.10.07 2
2215 측량및지형공간정보기사 필기 기출문제(해설) 및 CBT 2007년03월04일(2478) 좋은아빠되기 2025.10.07 0
2214 측량및지형공간정보기사 필기 기출문제(해설) 및 CBT 2006년09월10일(2477) 좋은아빠되기 2025.10.07 2
2213 측량및지형공간정보기사 필기 기출문제(해설) 및 CBT 2006년05월14일(2476) 좋은아빠되기 2025.10.07 3
2212 측량및지형공간정보기사 필기 기출문제(해설) 및 CBT 2006년03월05일(2475) 좋은아빠되기 2025.10.07 1
2211 측량및지형공간정보기사 필기 기출문제(해설) 및 CBT 2005년09월04일(2474) 좋은아빠되기 2025.10.07 3
2210 측량및지형공간정보기사 필기 기출문제(해설) 및 CBT 2005년05월29일(2473) 좋은아빠되기 2025.10.07 2
2209 측량및지형공간정보기사 필기 기출문제(해설) 및 CBT 2005년03월20일(2472) 좋은아빠되기 2025.10.07 0
2208 측량및지형공간정보기사 필기 기출문제(해설) 및 CBT 2005년03월06일(2471) 좋은아빠되기 2025.10.07 3
2207 측량및지형공간정보기사 필기 기출문제(해설) 및 CBT 2004년09월05일(2470) 좋은아빠되기 2025.10.07 0
2206 측량및지형공간정보기사 필기 기출문제(해설) 및 CBT 2004년05월23일(2469) 좋은아빠되기 2025.10.07 3
2205 측량및지형공간정보기사 필기 기출문제(해설) 및 CBT 2004년03월07일(2468) 좋은아빠되기 2025.10.07 0
2204 측량및지형공간정보기사 필기 기출문제(해설) 및 CBT 2003년08월31일(2467) 좋은아빠되기 2025.10.07 2
2203 측량및지형공간정보기사 필기 기출문제(해설) 및 CBT 2003년05월25일(2466) 좋은아빠되기 2025.10.07 2
2202 측량및지형공간정보기사 필기 기출문제(해설) 및 CBT 2003년03월16일(2465) 좋은아빠되기 2025.10.07 2
2201 건축설비기사 필기 기출문제(해설) 및 CBT 2018년09월15일(2464) 좋은아빠되기 2025.10.07 1
2200 건축설비기사 필기 기출문제(해설) 및 CBT 2018년04월28일(2463) 좋은아빠되기 2025.10.07 2
» 건축설비기사 필기 기출문제(해설) 및 CBT 2018년03월04일(2462) 좋은아빠되기 2025.10.07 0
Board Pagination Prev 1 ... 668 669 670 671 672 673 674 675 676 677 ... 783 Next
/ 783