자격증 필기 기출문제



토목산업기사 필기 기출문제(해설) 및 CBT 2003년05월25일(2656)

최강 자격증 기출문제 전자문제집 CBT : www.comcbt.com


전자문제집 CBT란?

종이 문제집이 아닌 인터넷으로 문제를 풀고 자동으로 채점하며 모의고사, 오답 노트, 해설까지 제공하는
무료 기출문제 학습 프로그램으로 실제 상설검정에서 사용하는 OMR 형식의 CBT를 제공합니다.


최신 토목산업기사 필기 기출문제 : [다운로드]

1과목 : 응용역학


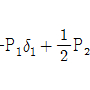
1. 아래 그림에서 P1 과 P2 의 크기는?

   

     1. P1 = P2 = 100 ㎏f
     2. P1 = P2 = 150 ㎏f
     3. P1 = P2 = 300 ㎏f
     4. P1 = P2 = 600 ㎏f

     정답 : []
     정답률 : 알수없음

2. 그림과 같이 천정에 두끈을 매고 10kgf의 물체를 매달았을 때 두끈의 인장력 T1, T2의 합은?

   

     1. 20kgf
     2. 11.55kgf
     3. 10kgf
     4. 17.32kgf

     정답 : []
     정답률 : 37%

3. 다음 그림과 같이 직교좌표계 위에 있는 사다리꼴 도형 OABC 도심의 좌표는?

   

     1. (2.54, 3.46)
     2. (2.77, 3.31)
     3. (3.34, 3.21)
     4. (3.54, 2.74)

     정답 : []
     정답률 : 알수없음

4. 지름 5㎝, 길이 200㎝의 강봉을 15mm만큼 늘어나게 하려면 얼마의 힘이 필요한가? (단, E = 2,100,000 kgf/㎝2)
     1. 305 tonf
     2. 307 tonf
     3. 309 tonf
     4. 311 tonf

     정답 : []
     정답률 : 알수없음

5. 다음 그림과 같이 인장력을 받는 막대에서 최대 전단력을 갖는 경사면 θ 와 그 크기는? (단, σ 는 X 단면에서의 수직응력이다.)

   

     1. 15° 에서 σ
     2. 30° 에서 σ/4
     3. 45° 에서 σ/2
     4. 60° 에서 σ/3

     정답 : []
     정답률 : 알수없음

6. 다음 그림에서 연행 하중으로 인한 최대 반력 RA 는?

   

     1. 6 tonf
     2. 5 tonf
     3. 3 tonf
     4. 1 tonf

     정답 : []
     정답률 : 31%

7. 그림과 같은 게르버보의 A점의 휨모멘트는?

   

     1. 72 tonf·m
     2. 36 tonf·m
     3. 27 tonf·m
     4. 18 tonf·m

     정답 : []
     정답률 : 알수없음

8. Euler 공식을 적용하는 일단 고정, 타단 활절인 장주에서 탄성계수 E = 210000 kgf/cm2, 단면폭 b =15 cm, 단면높이 h =30cm, 기둥길이 ℓ =18m 이다. 이때 최소 좌굴 하중 Pb 값은?
     1. 5.4 tonf
     2. 10.8 tonf
     3. 20.6 tonf
     4. 43.1 tonf

     정답 : []
     정답률 : 알수없음

9. 그림과 같은 정정 아치(arch)의 지점 A의 수평반력은?

   

     1. 1 tonf
     2. 1.5 tonf
     3. 2 tonf
     4. 2.5 tonf

     정답 : []
     정답률 : 알수없음

10. 에너지 불변의 법칙을 옳게 기술한 것은?
     1. 탄성체에 외력이 작용하면 이 탄성체에 생기는 외력의 일과 내력이 한 일의 크기는 같다.
     2. 탄성체에 외력이 작용하면 외력의 일과 내력이 한 일의 크기의 비가 일정하게 변화한다.
     3. 외력의 일과 내력의 일이 일으키는 휨모멘트의 값은 변하지 않는다.
     4. 외력과 내력에 의한 처짐비는 변하지 않는다.

     정답 : []
     정답률 : 알수없음

11. 다음 단면에서 직사각형 단면의 최대 전단응력은 원형단면의 최대 전단응력의 몇배인가? (단, 두단면의 단면적과 작용하는 전단력의 크기는 같다.)

    

     1. 9/8 배
     2. 8/9 배
     3. 5/6 배
     4. 6/5 배

     정답 : []
     정답률 : 알수없음

12. 다음 그림과 같은 트러스에서 DE부재의 부재력은?

    

     1. Pℓ /4h
     2. 2Pℓ /3h
     3. Pℓ /2h
     4. 3Pℓ /4h

     정답 : []
     정답률 : 19%

13. 등분포하중을 받는 직사각형단면의 단순보에서 최대처짐에 대한 설명으로 옳은 것은?
     1. 보의 폭에 정비례한다.
     2. 지간의 3제곱에 비례한다.
     3. 탄성계수에 반비례한다.
     4. 보의 높이의 2제곱에 반비례한다.

     정답 : []
     정답률 : 알수없음

14. 다음 그림에 보이는 연속보의 중앙 지점에서의 휨모멘트를 구하면? (단, EI는 일정하다.)

    

     1. -wL2 / 10
     2. -wL2 / 13
     3. -wL2 / 16
     4. -wL2 / 18

     정답 : []
     정답률 : 알수없음

15. 경간 ℓ =8m, 단면 30 × 40cm 되는 단순보의 중앙에 10tonf 되는 집중하중이 작용할 때 최대 휨응력은?

    

     1. 200 kgf/cm2
     2. 250 kgf/cm2
     3. 300 kgf/cm2
     4. 350 kgf/cm2

     정답 : []
     정답률 : 40%

16. 다음 부정정보에서 지점B의 수직 반력은 얼마인가? (단, EI는 일정함)

    

     1.
     2.
     3.
     4.

     정답 : []
     정답률 : 알수없음

17. 다음 그림과 같은 도형의 x축에 대한 단면 2차모멘트는?

    

     1. 27,500cm4
     2. 144,200cm4
     3. 1,265,000cm4
     4. 1,287,500cm4

     정답 : []
     정답률 : 17%

18. 캔틸레버보의 점 B 에 연직하중 P 가 작용 할 때 점 B 와 점 C 의 처짐각 θB와 θC의 비는?

    

     1. 1 : 1
     2. 2 : 3
     3. 4 : 7
     4. 4 : 9

     정답 : []
     정답률 : 0%

19. 그림과 같은 원통형 단면 기둥의 길이가 L=20m일 때 이 기둥의 세장비는?

    

     1. 13.45
     2. 1.490
     3. 148.7
     4. 74.3

     정답 : []
     정답률 : 알수없음

20. 단순지지 보의 B 지점에 우력 모멘트 Mo가 작용하고 있다. 이 우력 모멘트로 인한 A 지점의 처짐각 θa 를 구하면?

    

     1. θa = MoL / 3EI
     2. θa = MoL / 6EI
     3. θa = MoL / 9EI
     4. θa = MoL / 12EI

     정답 : []
     정답률 : 50%

2과목 : 측량학


21. 도로의 단곡선 계산에서 교점까지의 추가거리와 교각을 알고 있을 때 곡선시점의 위치를 구하기 위해서는 다음 요소 중 어느 것을 계산하여야 하는가?
     1. 접선장(T.L)
     2. 곡선장(C.L)
     3. 중앙종거(M)
     4. 접선에 대한 지거(Y)

     정답 : []
     정답률 : 알수없음

22. 거리가 450m 인 두점 사이를 50m Tape를 사용하여 측정할 때 Tape 1회 측정의 정오차가 3㎜, 우연오차가 2㎜ 일 때 전 길이의 확률오차는?
     1. 27.66㎜
     2. 21.66㎜
     3. 17.66㎜
     4. 31.66㎜

     정답 : []
     정답률 : 알수없음

23. 수준측량에서 경사거리 S, 연직각이 α 일 때 두 점간의 수평거리 D는?
     1. D = S sin α
     2. D = S cos α
     3. D = S tan α
     4. D = S cot α

     정답 : []
     정답률 : 알수없음

24. 교점(I.P.)의 위치가 기점으로부터 143.25m 일 때 곡률반경 150m, 교각 58° 14′ 24″ 인 단곡선을 설치하고자 한다면 곡선시점의 위치는? (단, 중심말뚝 간격 20m)
     1. No.2 + 3.25
     2. No.2 + 19.69
     3. No.3 + 9.69
     4. No.4 + 3.56

     정답 : []
     정답률 : 60%

25. 초점거리가 210mm 인 카메라로 표고 570m 의 지형을 1/25,000의 사진축척으로 촬영한 연직사진이 있다. 비행 고도는 얼마인가?
     1. 5,050 m
     2. 5,250 m
     3. 5,820 m
     4. 6,020 m

     정답 : []
     정답률 : 알수없음

26. 25mm의 외심오차가 있는 앨리데이드로 축척 1/200인 측량을 할 때 외심오차로 인해 도상에는 얼마의 위치오차가 생기는가?
     1. 0.063mm
     2. 0.125mm
     3. 0.188mm
     4. 0.300mm

     정답 : []
     정답률 : 0%

27. 다음 중 기지의 삼각점을 이용한 삼각측량의 순서는 어느 것인가?

    

     1. ① → ② → ③ → ④ → ⑤ → ⑥
     2. ② → ① → ③ → ⑥ → ⑤ → ④
     3. ② → ① → ③ → ④ → ⑤ → ⑥
     4. ① → ② → ③ → ⑤ → ④ → ⑥

     정답 : []
     정답률 : 알수없음

28. 다음 도로의 횡단면도에서 AB의 수평거리는?

    

     1. 8.1m
     2. 17.5m
     3. 18.5m
     4. 19.5m

     정답 : []
     정답률 : 37%

29. 직접법으로 등고선을 측정하기 위하여 B점에 레벨을 세우고 표고가 75.25m인 P점에 세운 표척을 시준하여 0.85m를 측정했다. 68m인 등고선 위의 점 A를 정하려면 시준하여야 할 표척의 높이는?
     1. 8.1m
     2. 5.6m
     3. 6.7m
     4. 9.5m

     정답 : []
     정답률 : 알수없음

30. 수준측량에서 전시와 후시의 시준거리를 같게 함으로써 소거할 수 있는 오차는?
     1. 시준축이 기포관축과 평행하지 않기 때문에 발생하는 오차
     2. 표척 눈금의 오독으로 발생하는 오차
     3. 표척을 연직방향으로 세우지 않아 발생하는 오차
     4. 시차에 의해 발생하는 오차

     정답 : []
     정답률 : 46%

31. 다음은 수준측량에 관한 설명이다. 틀린 것은?
     1. 우리나라에서는 인천만의 평균해면을 표고의 기준면으로 하고 있다.
     2. 수준측량에서 고저의 오차는 거리의 제곱근에 비례한다.
     3. 중간점이 많을때 편리한 야장기입법은 고차식이다.
     4. 종단측량은 일반적으로 횡단측량보다 높은 정확도를 요구한다.

     정답 : []
     정답률 : 알수없음

32. 삼각형의 내각 α, β, γ를 각각 다른 무게로 측정할 때 각각의 최확치를 구하는 방법 중 가장 옳은 것은?
     1. 등배분한다.
     2. 각의 크기에 비례하여 배분한다.
     3. 무게에 비례하여 배분한다.
     4. 무게에 반비례하여 배분한다.

     정답 : []
     정답률 : 8%

33. 완화곡선설치에 관한 다음 설명 중 틀리는 것은?
     1. 반지름은 무한대로부터 시작하여 점차 감소되고 소요의 원곡선에 연결된다.
     2. 완화곡선의 접선은 시점에서 직선에 접하고 종점에서 원호에 접한다.
     3. 완화곡선의 시점에서 칸트는 0이고 소요의 곡선점에 도달하면 어느 높이에 달하고 그 사이의 변화비는 일정하다.
     4. 완화곡선의 곡률은 곡선의 어느 부분에서도 그 값이 같다.

     정답 : []
     정답률 : 알수없음

34. 그림과 같이 0점에서 같은 정도로 각을 관측하여 다음과 같은 결과를 얻었을 때 보정값으로 옳은 것은? (단, x3 - (x1 + x2) = +45")

    

     1. x1 : - 22.5", x2 : - 22.5", x3 : + 22.5"
     2. x1 : - 15", x2 : - 15", x3 : + 15"
     3. x1 : + 22.5", x2 : + 22.5", x3 : - 22.5"
     4. x1 : + 15", x2 : + 15", x3 : - 15"

     정답 : []
     정답률 : 알수없음

35. 수위관측소의 설치장소 선정 중 틀린 것은?
     1. 수위가 교각이나 기타구조물에 의한 영향을 받지 않는 장소일 것
     2. 홍수시에도 양수량을 쉽게 볼 수 있을 것
     3. 잔류, 역류 및 저수가 많은 장소일 것
     4. 하상과 하안이 안전하고 퇴적이 생기지 않는 장소일 것

     정답 : []
     정답률 : 알수없음

36. 다음 중 지구자원탐사위성으로부터 얻어진 영상의 활용분야로 가장 거리가 먼 것은?
     1. 수자원조사
     2. 환경오염조사
     3. 수온의 분포상태
     4. 두 점간의 정밀한 거리측정

     정답 : []
     정답률 : 알수없음

37. 촬영고도 3,000m, 사진 I의 주점기선장 59mm, 사진 II의 주점기선장 61mm 일 때 시차차 2.5mm 인 두 점간의 고저차는 얼마인가?
     1. 75m
     2. 100m
     3. 125m
     4. 150m

     정답 : []
     정답률 : 알수없음

38. 어느 고속도로를 시속 100km/h로 주행하기 위하여 필요로 하는 캔트(cant)는 얼마인가? (단, 곡선반경 : 400m, 궤간 : 15m)
     1. 2.95m
     2. 3.54m
     3. 4.12m
     4. 5.64m

     정답 : []
     정답률 : 알수없음

39. 트래버스측량에서는 측각의 정도와 측거의 정도가 균형을 이루어야 한다. 지금 측거 100m 에 대한 오차가 ± 2㎜일 때 각관측오차는 얼마인가?
     1. ± 2"
     2. ± 4"
     3. ± 6"
     4. ± 8"

     정답 : []
     정답률 : 알수없음

40. 다음 지형측량 방법 중 기준점측량에 해당되지 않는 것은?
     1. 수준측량
     2. 트래버스측량
     3. 삼각측량
     4. 스타디아측량

     정답 : []
     정답률 : 70%

3과목 : 수리학


41. 다음 중 단위유량도 작성시 필요없는 사항은?
     1. 직접유출량
     2. 유효우량의 지속시간
     3. 투수계수
     4. 유역면적

     정답 : []
     정답률 : 알수없음

42. 모세관 현상에서 모세관고(h)와 관의 지름(D)의 관계는?
     1. h는 D의 제곱에 비례한다.
     2. h는 D에 비례한다.
     3. h는 D-1에 비례한다.
     4. h는 D-2에 비례한다.

     정답 : []
     정답률 : 37%

43. 그림과 같이 반지름 R의 원통형 관에 층류로 흐를 때 중 심부에서의 최대유속을 Vc로 하는 경우 평균유속 Vm은?

    

     1. Vm = (1/2)Vc
     2. Vm = (1/3)Vc
     3. Vm = (1/4)Vc
     4. Vm = (1/5)Vc

     정답 : []
     정답률 : 알수없음

44. 사류(射流)의 수심이 0.8m이고 단위폭당 유량이 10m3/sec인 직사각형수로에서 도수가 발생할 때 에너지 손실은?
     1. 2.54m
     2. 2.96m
     3. 3.54m
     4. 3.88m

     정답 : []
     정답률 : 알수없음

45. 지하수의 흐름에 대한 Darcy의 법칙은? (단, v는 지하수의 유속, k는 투수계수, Δh는 길이 Δℓ에 대한 손실수두임)
     1. v = k(Δh / Δℓ)2
     2. v = k(Δh / Δℓ)
     3. v = k(Δh / Δℓ)-1
     4. v = k(Δh / Δℓ)-2

     정답 : []
     정답률 : 알수없음

46. 지름 100㎝의 원형단면 관수로에 물이 만수되어 흐를 때의 동수반경(動水半徑)은?
     1. 20㎝
     2. 25㎝
     3. 50㎝
     4. 75㎝

     정답 : []
     정답률 : 37%

47. 어느 하천의 수심이 5m일 때 평균유속을 2점법에 의하여 구하려면 유속계의 위치를 수면에서 각각 어느 위치에 설치해야 하는가?
     1. 0m, 2.5m
     2. 1m, 4m
     3. 2m, 3m
     4. 0.5m, 4.5m

     정답 : []
     정답률 : 알수없음

48. 그림과 같은 두개의 수조를 한변의 길이가 10㎝인 정사각형 단면의 Orifice로 연결하여 물을 유출시킬 때 두 수조의 수면이 같아지려면 얼마의 시간이 걸리는가? (단, C = 0.65이다.)

    

     1. 130 초
     2. 120 초
     3. 115 초
     4. 110 초

     정답 : []
     정답률 : 알수없음

49. 다음 중 깊은 우물(심정호)를 옳게 설명한 것은?
     1. 집수 깊이가 100m 이상인 우물
     2. 집수정 바닥이 불투수층까지 도달한 우물
     3. 집수정 바닥이 불투수층을 통과하여 새로운 대수층에 도달한 우물
     4. 불투수층에서 50m이상 도달한 우물

     정답 : []
     정답률 : 알수없음

50. 다음 중 합리식에 관한 설명으로 틀린 것은?
     1. 소유역에 적용하는 것이 바람직하다.
     2. 강우강도는 유출량에 큰 영향이 없다.
     3. 첨두유량을 구할 수 있다.
     4. 유출량은 유출계수에 직접적인 관계가 있다.

     정답 : []
     정답률 : 알수없음

51. 그림과 같은 수중 오리피스에서 유량 Q를 구하는데 사용되는 수심은?

    

     1. H1 + Hd
     2. H1 + Hd - H2
     3. H1 - H2
     4. Hd + H2

     정답 : []
     정답률 : 알수없음

52. 유속이 5m/sec이고, 압력 P = 5t/m2 일 때 총수두는?
     1. 5.0m
     2. 6.28m
     3. 7.36m
     4. 8.20m

     정답 : []
     정답률 : 10%

53. 유역내의 DAD해석이란?
     1. 우량, 유역면적, 강우 계속 시간과의 관계 해석을 말한다.
     2. 우량, 유역면적, 강우 강도와의 관계 해석을 말한다.
     3. 우량, 수위, 유량과의 관계 해석을 말한다.
     4. 우량, 유출계수, 유역면적과의 관계 해석을 말한다.

     정답 : []
     정답률 : 알수없음

54. 일단 물이 토양면을 통해 스며든 후 중력의 영향으로 계속 지하로 이동하여 지하수면까지 도달하게 되는 현상을 무엇이라 하는가?
     1. 침투
     2. 침루
     3. 차단
     4. 저류

     정답 : []
     정답률 : 알수없음

55. 물의 점성계수(粘性係數)에 대한 설명 중 옳은 것은?
     1. 수온이 높을수록 점성계수는 크다.
     2. 수온이 낮을수록 점성계수는 크다.
     3. 4℃에 있어서 점성계수는 가장 크다.
     4. 수온에는 관계없이 점성계수는 일정하다.

     정답 : []
     정답률 : 54%

56. 그림과 같은 콘크리이트 케이슨이 바다물에 떠 있을 때 흘수는? (단, 콘크리이트 비중은 2.4이며, 바다물의 비중은 1.025이다.)

    

     1. x = 2.45m
     2. x = 2.55m
     3. x = 2.65m
     4. x = 2.75m

     정답 : []
     정답률 : 알수없음

57. 정수압의 성질이 아닌 것은?
     1. 정수압은 면에 수직으로 작용한다.
     2. 정수중의 임의의 1점의 수압은 모든 방향에 그 크기가 같다.
     3. 정수중의 임의의 1점의 수압은 각 방향에 따라 그 크기가 다르다.
     4. 정지한 물속의 임의의 점의 압력강도는 그 점의 수심과 물의 단위중량의 곱과 같다.

     정답 : []
     정답률 : 알수없음

58. 전단응력 및 인장력이 발생하지 않으며 전혀 압축되지도 않고 손실수두(hL)가 0인 유체를 무엇이라 하는가?
     1. 관성유체
     2. 완전유체
     3. 소성유체
     4. 점성유체

     정답 : []
     정답률 : 알수없음

59. 안지름 0.5m, 두께 20㎜의 수압관이 15㎏/㎝2의 압력을 받고 있다. 관벽에 작용되는 인장응력은?
     1. 46.8㎏/㎝2
     2. 93.7㎏/㎝2
     3. 140.6㎏/㎝2
     4. 187.5㎏/㎝2

     정답 : []
     정답률 : 28%

60. 이중누가해석(double mass analysis)은 장기간 동안의 강수량자료에 대한 어떤 성질을 검사하기 위하여 가장 필요한가?
     1. 주기성
     2. 일관성
     3. 차별성
     4. 독립성

     정답 : []
     정답률 : 알수없음

4과목 : 철근콘크리트 및 강구조


61. fy = 3,500㎏f/㎝2, d = 50㎝ 인 강도설계의 단철근 직사각형 균형보에서 압축연단에서 중립축까지의 거리는?
     1. 25.8㎝
     2. 29.1㎝
     3. 31.6㎝
     4. 33.2㎝

     정답 : []
     정답률 : 16%

62. 길이가 3 m인 캔틸레버보의 자중을 포함한 설계하중이 10.0 tonf/m 일 때 위험단면에서 전단 철근이 부담해야할 전단력을 강도 설계법으로 구하면? (단, fck = 240 kgf/cm2, fy = 3,000 kgf/cm2, b = 30 cm, d = 50 cm)
     1. 12.7 tonf
     2. 18.9 tonf
     3. 21.0 tonf
     4. 25.2 tonf

     정답 : []
     정답률 : 30%

63. 그림과 같은 연결에서 리벳의 강도는? (단, 허용전단응력은 1300 ㎏f/㎝2, 허용지압응력은 3000 ㎏f/㎝2)

    

     1. 7368㎏f
     2. 8550㎏f
     3. 7350㎏f
     4. 8568㎏f

     정답 : []
     정답률 : 22%

64. 그림과 같은 T형보에 정모멘트가 작용할 때 다음 중 옳은 것은? (단, b = 100 cm, tf = 8 cm, d = 60 cm, bw = 40cm, fck = 210 kgf/cm2, fy = 3000 kgf/cm2, As = 50 cm2)

    

     1. bw를 폭으로 하는 직사각형보로 취급한다.
     2. b를 폭으로 하는 직사각형보로 취급한다.
     3. T형 보로 취급한다.
     4. a = t 로 보고 공칭모멘트를 계산한다.

     정답 : []
     정답률 : 알수없음

65. 강도설계법에서 전단과 휨 만을 받는 부재의 콘크리트가 부담하는 공칭 전단강도는?
     1. Vc = 0.53 √fck · bw · d
     2. Vc = 0.75 √fck · bw · d
     3. Vc = 0.85 √fck · bw · d
     4. Vc = 1.25 √fck · bw · d

     정답 : []
     정답률 : 알수없음

66. 축방향 압축부재로서 띠철근으로 보강된 철근 콘크리트 부재의 강도감소계수 ø 의 값은 얼마인가?(오류 신고가 접수된 문제입니다. 반드시 정답과 해설을 확인하시기 바랍니다.)
     1. 0.65
     2. 0.70
     3. 0.75
     4. 0.80

     정답 : []
     정답률 : 알수없음
     <문제 해설>
아래와 같은 오류 신고가 있었습니다.
여러분들의 많은 의견 부탁 드립니다.
추후 여러분들의 의견을 반영하여 정답을 수정하도록 하겠습니다.
참고로 정답 변경은 오류 신고 5회 이상일 경우 수정합니다.

[오류 신고 내용]
띠철근 0.65아닌가요?
[해설작성자 : 나나]

[관리자 입니다.
다른 문제집 확인 가능한분 계시면 확인 부탁 드립니다.
신고시 출판사명까지 기제 부탁 드립니다.]

67. 단철근 직사각형보를 강도설계법으로 설계할 때 철근비를 최소철근비 이상으로 규정하는 주된 이유는?
     1. 철근의 압축강도를 확보하기 위해
     2. 보의 좌굴현상을 막기 위해
     3. 콘크리트의 취성파괴를 막기 위해
     4. 콘크리트의 처짐과 균열을 막기 위해

     정답 : []
     정답률 : 64%

68. 3개의 철근을 묶어 다발로 사용할 경우에 정착길이의 증가량과 B급 이음을 했을 경우의 겹침이음길이가 바르게 묶여진 것은? (단, ℓd는 정착길이)
     1. 20%, 1.0ℓd
     2. 33%, 1.3ℓd
     3. 20%, 1.3ℓd
     4. 33%, 1.0ℓd

     정답 : []
     정답률 : 9%

69. 유효깊이 d가 90 cm을 초과하는 깊은 휨부재 복부의 양측면에 부재 축방향으로 배근하는 철근의 명칭은?
     1. 표면철근
     2. 배력철근
     3. 피복철근
     4. 연결철근

     정답 : []
     정답률 : 알수없음

70. 다음 중 PS 강재에 요구되는 성질이 아닌 것은?
     1. 인장강도가 클 것
     2. 릴렉세이션이 적을 것
     3. 취성이 좋을 것
     4. 응력부식에 대한 저항성이 클 것

     정답 : []
     정답률 : 알수없음

71. 그림과 같은 단면에서 최대철근량과 설계 휨강도 φMn은 약 얼마인가? (단, fck=210kgf/cm2, fy=3500kgf/cm2, ø=0.85)

    

     1. 32cm2, 49.0 tonf·m
     2. 42cm2, 37.6 tonf·m
     3. 32cm2, 37.6 tonf·m
     4. 42cm2, 49.0 tonf·m

     정답 : []
     정답률 : 알수없음

72. 단면 30cm × 40cm 이고, 1.5cm2의 PS강선 4개를 단면 도심축에 배치한 프리텐션 PSC 부재가 있다. 초기 프리스트레스 10000kgf/cm2일 때 콘크리트의 탄성수축에 대한 프리스트레스 손실량은 얼마인가? (단, n=6)
     1. 250 kgf/cm2
     2. 300 kgf/cm2
     3. 350 kgf/cm2
     4. 400 kgf/cm2

     정답 : []
     정답률 : 64%

73. 인장부재의 순단면적을 산정할 때의 볼트구멍의 지름은 공칭지름에 얼마를 더한 값으로 계산하는가?
     1. 1 mm
     2. 2 mm
     3. 3 mm
     4. 4 mm

     정답 : []
     정답률 : 37%

74. 보를 설계할 때 강도설계법에 대한 기본 가정중 옳지 않은 것은?
     1. 철근과 콘크리트의 변형율은 중립축으로부터 떨어진 거리에 비례한다.
     2. 콘크리트 압축연단에서 허용할 수 있는 최대 변형율은 0.003으로 한다.
     3. 항복강도 fy 이하에서의 철근의 응력은 변형율에 관계없이 fy와 같다.
     4. 휨응력 계산에서 콘크리트의 인장강도는 무시한다.

     정답 : []
     정답률 : 37%

75. 띠철근과 나선철근을 두는 주된 이유는?
     1. 건조수축에 의한 균열을 방지하기 위해서
     2. 기둥의 강도를 높이기 위해서
     3. 하중을 고르게 분포시키기 위해서
     4. 축철근의 위치를 확보하고 좌굴을 방지하기 위해서

     정답 : []
     정답률 : 알수없음

76. 보통 골재를 사용한 콘크리트의 압축강도가 300kgf/cm2을 초과할 때 탄성계수를 구하는 식으로 옳은 것은?
     1. 10,500 √fCK + 70,000
     2. 10,500 √fCK + 4,270
     3. 4,270 · WC1.5 √fCK
     4. 15,000 √fCK

     정답 : []
     정답률 : 10%

77. 연속보의 한지간에 대한 휨모멘트를 아래 그림에 나타내었다. 지점부와 지간중앙부의 철근 배근 위치가 적당한 것은?

    

     1.
     2.
     3.
     4.

     정답 : []
     정답률 : 알수없음

78. PS 강재에서 요구되는 일반 성질 중에서 틀리는 것은?
     1. 파단시 늘음이 커야 한다.
     2. 부착강도는 커야 한다.
     3. 릴렉세이션이 클수록 좋다.
     4. 항복점 강도는 클수록 좋다.

     정답 : []
     정답률 : 알수없음

79. 뒷부벽식 옹벽의 뒷부벽은 어떤보로 보고 설계하는가?
     1. 직사각형보
     2. T형보
     3. 단순보
     4. 연속보

     정답 : []
     정답률 : 47%

80. 인장철근이 필요한 휨 부재의 모든 단면은 규정된 최소철근량 이상을 사용해야 하는데, 이 때 해석상 필요한 철근량보다 얼마 이상 철근을 더 배근하면 이들 규정을 적용하지 않아도 되는가?
     1. 1/3
     2. 1/4
     3. 1/5
     4. 1/6

     정답 : []
     정답률 : 알수없음

5과목 : 토질 및 기초


81. 아래 그림과 같이 사질토 지반에 타설된 무리마찰말뚝이 있다. 말뚝은 원형이고 직경은 0.4m, 설치간격은 1m이었다. 이 무리말뚝의 효율은 얼마인가?

    

     1. 55%
     2. 62%
     3. 68%
     4. 75%

     정답 : []
     정답률 : 알수없음

82. 다음의 사운딩(Sounding)방법 중에서 동적인 사운딩(Sounding)은?
     1. 이스키 메타(Iskymeter)
     2. 베인 전단시험(Vane Shear Test)
     3. 더취 콘 관입시험(Dutch Cone Penetrometer)
     4. 표준관입시험(Standard Penetration Test)

     정답 : []
     정답률 : 알수없음

83. 어떤 시료를 입도분석한 결과 #200체 통과량이 56%이었고 에터버그 시험결과 액성한계가 40%이었으며 카사그랜드 소성도의 A선위의 구역에 plot되었다면 이 시료는 통일분류법으로 다음 중에 어디에 해당되는가?
     1. SM
     2. SC
     3. CL
     4. MH

     정답 : []
     정답률 : 알수없음

84. 어떤 흙에 대한 일축압축 강도가 1.2㎏/㎝2이었고, 파괴면과 최대 주응력면이 이루는 각을 측정하였더니 45° 였다. 이 흙의 전단강도는?
     1. 0.25㎏/㎝2
     2. 0.6㎏/㎝2
     3. 3.5㎏/㎝2
     4. 0.35㎏/㎝2

     정답 : []
     정답률 : 20%

85. 연약 점토의 전단강도를 측정하는 현장 시험 방법은?
     1. 베인 전단 시험
     2. 직접 전단 시험
     3. 오가 보오링
     4. CBR 시험

     정답 : []
     정답률 : 알수없음

86. 그림과 같이 물이 위로 흐르는 경우 Y - Y 단면에서의 유효응력은?

    

     1. 3.4t/m2
     2. 1.4t/m2
     3. 4.4t/m2
     4. 2.4t/m2

     정답 : []
     정답률 : 알수없음

87. 단위 체적중량 1.8t/m3, 점착력 2.0t/m2, 내부마찰각 0°인 점토지반에 폭 2m, 근입깊이 3m의 연속기초를 설치하였다. 이 기초의 극한 지지력을 Terzaghi 식으로 구한 값은? (단, 지지력 계수 Nc = 5.7, Nr = 0,Nq = 1.0이다.)
     1. 23.2t/m2
     2. 16.8t/m2
     3. 12.7t/m2
     4. 8.4t/m2

     정답 : []
     정답률 : 알수없음

88. 지표가 수평인 연직 옹벽에 있어서 주동토압 계수와 수동토압 계수의 비는? (단, 흙의 내부 마찰각은 30° 이다.)
     1. 1/3
     2. 3
     3. 9
     4. 1/9

     정답 : []
     정답률 : 10%

89. 10m × 15m의 장방형 기초위에 q = 6t/m2의 등분포 하중이 작용할 때 지표면 아래 10m에서의 수직응력을 2 : 1 법으로 구한 값은?
     1. 3t/m2
     2. 2.4t/m2
     3. 2.1t/m2
     4. 1.8t/m2

     정답 : []
     정답률 : 알수없음

90. 다짐에너지에 관한 설명 중 옳지 않은 것은?
     1. 다짐 에너지는 램머의 중량에 비례한다.
     2. 다짐 에너지는 시료의 체적에 비례한다.
     3. 다짐 에너지는 램머의 낙하고에 비례한다.
     4. 다짐 에너지는 타격수에 비례한다.

     정답 : []
     정답률 : 알수없음

91. 다음의 흙댐에서 유선망을 작도하는데 있어 경계조건이 틀린 것은?

    

     1. AB는 등수두선이다.
     2. BC는 등수두선이다.
     3. CD는 등수두선이다.
     4. AD는 유선이다.

     정답 : []
     정답률 : 알수없음

92. Boiling 현상은 주로 어떤 지반에 많이 생기는가?
     1. 모래지반
     2. 사질점토지반
     3. 보통토
     4. 점토질지반

     정답 : []
     정답률 : 37%

93. 다음 중 사면 안정 해석법과 관계가 없는 것은?
     1. 비숍(Bishop)의 방법
     2. 마찰원법
     3. 펠레니우스(Fellenius)의 방법
     4. 뷰지네스크(Boussinesq)의 이론

     정답 : []
     정답률 : 알수없음

94. 어떤 흙의 습윤단위중량(γt)이 1.852g/cm3이고 함수비(W)가 42%일때 이 흙의 건조단위중량(γd)은 얼마인가?
     1. 1.304 g/cm3
     2. 1.351 g/cm3
     3. 1.417 g/cm3
     4. 1.454 g/cm3

     정답 : []
     정답률 : 알수없음

95. 다음 중 직접기초에 속하지 않는 것은?
     1. 독립기초
     2. 복합기초
     3. 전면기초
     4. 말뚝기초

     정답 : []
     정답률 : 50%

96. 내부 마찰각이 26° 인 어떤 흙을 삼축압축시험 했을 때 최소 주응력면과 파괴면이 이루는 각은?
     1. 32°
     2. 19°
     3. 16°
     4.

     정답 : []
     정답률 : 24%

97. 평판재하시험에서 침하량 1.25㎜에 해당하는 하중강도가 2.3㎏/㎝2일때 지지력 계수는?
     1. 15.5㎏/㎝3
     2. 18.8㎏/㎝3
     3. 7.8㎏/㎝3
     4. 5.5㎏/㎝3

     정답 : []
     정답률 : 알수없음

98. 두께 6m의 점토층이 있다. 이 점토의 간극비는 eo = 2.0 이고 액성한계는 WL = 70%이다. 지금 압밀하중을 2㎏/㎝2 에서 4㎏/㎝2로 증가시키려고 한다. 예상되는 압밀침하량은? (단, 압축지수 Cc는 Skempton의 식 Cc = 0.009(WL – 10)을 이용할것)
     1. 0.27m
     2. 0.33m
     3. 0.49m
     4. 0.65m

     정답 : []
     정답률 : 알수없음

99. 다음의 연약지반 처리공법에서 일시적인 공법은?
     1. 웰 포인트 공법
     2. 치환 공법
     3. 콤포져 공법
     4. 샌드 드레인 공법

     정답 : []
     정답률 : 알수없음

100. 변수위 투수시험에서 1.25m의 초기수두가 2시간동안 0.5m로 떨어졌다. 이때 stand pipe의 직경은 5mm 이고 시료의 길이는 200mm, 시료의 직경은 100mm 이다. 이 흙의 투수계수는?
     1. 4.36 × 10-5mm/sec
     2. 5.63 × 10-5mm/sec
     3. 6.36 × 10-5mm/sec
     4. 7.63 × 10-5mm/sec

     정답 : []
     정답률 : 16%

101. 강우강도 I = 4,000/(t+30) mm/hr, 유역면적 5km2, 유입시간 420초, 유출계수 0.8, 하수관거 길이 1km, 관내유속 1.2m/sec인 경우의 최대우수유출량을 합리식에 의해 구하면?
     1. 87.3m3/hr
     2. 873m3/hr
     3. 87.3m3/sec
     4. 873m3/sec

     정답 : []
     정답률 : 알수없음

102. 일반적인 정수처리 공정순서로 다음 중 옳은 것은?
     1. 혼화 → 응집 → 침전 → 여과 → 소독
     2. 혼화 → 침전 → 응집 → 여과 → 소독
     3. 응집 → 혼화 → 침전 → 여과 → 소독
     4. 침전 → 응집 → 혼화 → 소독 → 여과

     정답 : []
     정답률 : 알수없음

103. 하수종말 처리장에 유입하는 하수 20mL를 채취하여 증류수에 희석하여 300mL로 하였다. 식종은 별도로 하지 아니하였으며 희석 후 시료의 용전산소량은 8.5mg/L 이었고 20℃에서 5일간 배양후 시료내의 용존산소량은 2.8mg/L 이었다. 이 하수의 BOD5는 얼마인가?
     1. 42.2mg/L
     2. 85.5mg/L
     3. 150.4mg/L
     4. 285.0mg/L

     정답 : []
     정답률 : 알수없음

104. 펌프가 공동현상을 일으키지 않고 임펠러로 물을 흡입하는데 필요한 흡입기준면으로부터의 최소한도 수위를 무엇이라 하는가?
     1. 전양정
     2. 순양정
     3. 유효NPSH
     4. 필요NPSH

     정답 : []
     정답률 : 알수없음

105. 스톡스 법칙(Stoke's 법칙)을 이용하여 설계하는 시설은 다음 중 어느 것인가?
     1. 혼화지
     2. 응집지
     3. 여과지
     4. 침전지

     정답 : []
     정답률 : 알수없음

106. 다음 관거별 계획하수량에 대한 사항으로서 틀린 것은?
     1. 오수관거는 계획시간 최대오수량으로 한다.
     2. 우수관거는 계획우수량으로 한다.
     3. 합류식관거는 계획1일 최대오수량에 계획우수량을 합한 것으로 한다.
     4. 차집관거는 우천시 계획오수량으로 한다.

     정답 : []
     정답률 : 28%

107. 다음 하수관거 시공중 장애물 횡단방법으로 적합한 것은?
     1. 등공
     2. 역사이폰
     3. 토구
     4. 맨홀

     정답 : []
     정답률 : 알수없음

108. 어느 도시의 총인구가 5만명이고, 급수인구는 4만명일 때 1년간 총급수량이 200만톤 이었다. 이 도시의 급수보급률과 1인 1일 평균급수량은? (순서대로 급수보급률, 1인 1일 평균급수량)
     1. 8 %, 37 ℓ /인· 일
     2. 8 %, 137 ℓ /인· 일
     3. 80 %, 37 ℓ /인· 일
     4. 80 %, 137 ℓ /인· 일

     정답 : []
     정답률 : 알수없음

109. 상수의 정수시에 일반적인 살균방법으로 가장 많이 사용되는 것은?
     1. 자외선 살균
     2. 오존 살균
     3. 염소 소독
     4. 산소 주입

     정답 : []
     정답률 : 알수없음

110. 수도용 구조물의 규모 결정시 사용되는 급수량의 종류 중 연평균 1일 사용 수량에 대하여 비율로 표현할 때 가장 큰 값을 나타내는 것은?
     1. 1일 최대 급수량
     2. 시간 최대 급수량
     3. 1일 최대 평균급수량
     4. 1일 평균 급수량

     정답 : []
     정답률 : 알수없음

111. 펌프에 연결된 관로에서 압력강하에 따른 부압발생을 방지하기 위한 방법이 아닌 것은?
     1. 펌프 토출측 관로에 조압수조를 설치한다.
     2. 펌프 토출구 부근에 공기조(air chamber)를 설치한다.
     3. 펌프에 플라이 휠을 붙여 펌프의 관성을 증가시켜 급격한 압력강하를 완화한다.
     4. 펌프 토출구에 완폐식 역지밸브를 설치한다.

     정답 : []
     정답률 : 알수없음

112. 유량 30,000m3/day, BOD 2ppm인 하천에 배수량 2,000m3/day, BOD 400ppm인 오수를 방류하여 즉시 균등하게 혼합된다면 하천의 BOD는 얼마가 되겠는가?
     1. 20.5ppm
     2. 26.9ppm
     3. 42.3ppm
     4. 50.4ppm

     정답 : []
     정답률 : 알수없음

113. 다음의 사항 중에서 틀린 것은?
     1. 송수관 내의 평균유속의 최대한도는 모르타르나 콘크리트일 때 3m/s이다.
     2. 관 내면이 강철이나 주철일 때에는 송수관내의 평균 유속의 최대한도가 6m/s까지 허용된다.
     3. 평균유속이 높은 경우에는 접합정을 설치하여 감속시킨다.
     4. 원수를 도수할 경우 부유물이나 미사의 관내침전을 막기위해 최소유속을 0.5m/s로 하고 그 이하로 떨어지면 가압한다.

     정답 : []
     정답률 : 20%

114. 함수율 98%인 슬러지를 농축하여 함수율 95%로 낮추었다. 이때 슬러지의 부피감소율은?
     1. 40%
     2. 50%
     3. 60%
     4. 70%

     정답 : []
     정답률 : 0%

115. BOD 2.5mg/L의 하천수를 취수하여 정수처리할 경우 우선 고려할 수 있는 처리방법은?
     1. 여과 등에 의한 간이정수처리 후 사용
     2. 침전여과 등에 의한 일반적 정수처리 후 사용
     3. 전처리 등을 거친 고도의 정수처리 후 사용
     4. 특수한 정수처리 후 사용

     정답 : []
     정답률 : 19%

116. 하수배제방식 중 분류식과 합류식에 관한 설명으로 틀린 것은?
     1. 합류식이 분류식보다 건설비가 일반적으로 적게든다.
     2. 분류식이 합류식보다 유속의 변화폭이 크다.
     3. 합류식은 처리용량 및 펌프의 용량이 일정하지 않다.
     4. 위생상으로는 분류식이, 경제적인 면에서는 합류식이 우수하다고 할 수 있다.

     정답 : []
     정답률 : 37%

117. 받이와 하수관거를 연결해서 하수를 본관으로 집수하기 위하여 도로를 횡단하여 매설하는 것은?
     1. 오수받이
     2. 우수받이
     3. 우수유입구
     4. 연결관

     정답 : []
     정답률 : 알수없음

118. 배수관에서 분기하여 각 수요자에게 음용수를 공급하는 것을 목적으로 하는 시설은?
     1. 취수시설
     2. 도수시설
     3. 배수시설
     4. 급수시설

     정답 : []
     정답률 : 알수없음

119. 우수저류지에 대한 설명으로 가장 거리가 먼 것은?
     1. 우천시 방류 부하량을 줄인다.
     2. 지상형과 지하형 또는 병설형과 독립형으로 나눈다.
     3. 하수처리장의 부하농도를 줄이기 위한 것이다.
     4. 차집관거의 용량보조를 위한 설치한다.

     정답 : []
     정답률 : 알수없음

120. 하수도의 기본계획시 조사 항목으로 먼 것은?
     1. 하수 배제방식
     2. 하수도 계획구역 및 배수계통
     3. 토지이용계획과 환경오염 실태조사
     4. 계획인구 및 오수량조사

     정답 : []
     정답률 : 알수없음


정 답 지

1

2

3

4

5

6

7

8

9

10

11

12

13

14

15

16

17

18

19

20

21

22

23

24

25

26

27

28

29

30

31

32

33

34

35

36

37

38

39

40

41

42

43

44

45

46

47

48

49

50

51

52

53

54

55

56

57

58

59

60

61

62

63

64

65

66

67

68

69

70

71

72

73

74

75

76

77

78

79

80

81

82

83

84

85

86

87

88

89

90

91

92

93

94

95

96

97

98

99

100

101

102

103

104

105

106

107

108

109

110

111

112

113

114

115

116

117

118

119

120

토목산업기사 필기 기출문제(해설) 및 CBT 2003년05월25일을 이용해 주셔서 감사합니다.
, 필기, 기출문제, 전자문제집, CBT, 온라인, 모의테스트, 모의고사



List of Articles
번호 제목 글쓴이 날짜 조회 수
2394 토목산업기사 필기 기출문제(해설) 및 CBT 2003년08월31일(2657) 좋은아빠되기 2025.10.07 1
» 토목산업기사 필기 기출문제(해설) 및 CBT 2003년05월25일(2656) 좋은아빠되기 2025.10.07 0
2392 토목산업기사 필기 기출문제(해설) 및 CBT 2003년03월16일(2655) 좋은아빠되기 2025.10.07 1
2391 토목산업기사 필기 기출문제(해설) 및 CBT 2002년09월08일(2654) 좋은아빠되기 2025.10.07 0
2390 토목산업기사 필기 기출문제(해설) 및 CBT 2002년05월26일(2653) 좋은아빠되기 2025.10.07 1
2389 토목산업기사 필기 기출문제(해설) 및 CBT 2002년03월10일(2652) 좋은아빠되기 2025.10.07 0
2388 제선기능사 필기 기출문제(해설) 및 CBT 2012년02월12일(1회)(2651) 좋은아빠되기 2025.10.07 1
2387 제선기능사 필기 기출문제(해설) 및 CBT 2005년04월03일(2회)(2650) 좋은아빠되기 2025.10.07 0
2386 제선기능사 필기 기출문제(해설) 및 CBT 2002년04월07일(2회)(2649) 좋은아빠되기 2025.10.07 1
2385 제선기능사 필기 기출문제(해설) 및 CBT 2001년04월29일(2회)(2648) 좋은아빠되기 2025.10.07 0
2384 콘크리트기사 필기 기출문제(해설) 및 CBT 2018년04월28일(2647) 좋은아빠되기 2025.10.07 1
2383 콘크리트기사 필기 기출문제(해설) 및 CBT 2018년03월04일(2646) 좋은아빠되기 2025.10.07 0
2382 콘크리트기사 필기 기출문제(해설) 및 CBT 2017년08월26일(2645) 좋은아빠되기 2025.10.07 1
2381 콘크리트기사 필기 기출문제(해설) 및 CBT 2017년05월07일(2644) 좋은아빠되기 2025.10.07 0
2380 콘크리트기사 필기 기출문제(해설) 및 CBT 2017년03월05일(2643) 좋은아빠되기 2025.10.07 1
2379 콘크리트기사 필기 기출문제(해설) 및 CBT 2016년08월21일(2642) 좋은아빠되기 2025.10.07 0
2378 콘크리트기사 필기 기출문제(해설) 및 CBT 2016년05월08일(2641) 좋은아빠되기 2025.10.07 2
2377 콘크리트기사 필기 기출문제(해설) 및 CBT 2016년03월06일(2640) 좋은아빠되기 2025.10.07 0
2376 콘크리트기사 필기 기출문제(해설) 및 CBT 2015년08월16일(2639) 좋은아빠되기 2025.10.07 1
2375 콘크리트기사 필기 기출문제(해설) 및 CBT 2015년05월31일(2638) 좋은아빠되기 2025.10.07 0
Board Pagination Prev 1 ... 317 318 319 320 321 322 323 324 325 326 ... 441 Next
/ 441