자격증 필기 기출문제



토목산업기사 필기 기출문제(해설) 및 CBT 2004년05월23일(2659)

최강 자격증 기출문제 전자문제집 CBT : www.comcbt.com


전자문제집 CBT란?

종이 문제집이 아닌 인터넷으로 문제를 풀고 자동으로 채점하며 모의고사, 오답 노트, 해설까지 제공하는
무료 기출문제 학습 프로그램으로 실제 상설검정에서 사용하는 OMR 형식의 CBT를 제공합니다.


최신 토목산업기사 필기 기출문제 : [다운로드]

1과목 : 응용역학


1. 그림과 같은 빗금 부분의 단면적 A인 단면에서 도심 y를 구한 값은?

   

     1. 5D/12
     2. 6D/12
     3. 7D/12
     4. 8D/12

     정답 : []
     정답률 : 알수없음

2. 그림과 같은 구조물에서 AC 강봉의 최소직경 D는? (단, 강봉의 허용응력은 σa=1,400kg/cm2으로 한다.)

   

     1. 4mm
     2. 6mm
     3. 8mm
     4. 10mm

     정답 : []
     정답률 : 알수없음

3. 길이가 6m인 단순보의 중앙에 3t의 집중하중이 연직으로 작용하고 있다. 이 때 단순보의 최대 처짐은 몇 cm 인가? (단, 보의 E=2000000kg/cm2, I=15000cm4이다.)
     1. 1.5
     2. 0.45
     3. 0.27
     4. 0.09

     정답 : []
     정답률 : 알수없음

4. 그림과 같은 보의 고정단 A의 휨 모멘트는?

   

     1. 1 t· m
     2. 2 t· m
     3. 3 t· m
     4. 4 t· m

     정답 : []
     정답률 : 알수없음

5. 지름이 D인 원형 단면의 기둥에서 핵(Core)의 직경은?

   

     1. D/2
     2. D/3
     3. D/4
     4. D/6

     정답 : []
     정답률 : 70%

6. 다음 장주의 단면, 길이, 하중이 같을 때 가장 강한 기둥은?

   

     1. A
     2. B
     3. C
     4. D

     정답 : []
     정답률 : 알수없음

7. 그림과 같은 3힌지 라아멘에 등분포 하중이 작용할 경우 A점의 수평반력은?

   

     1. 0
     2.
     3.
     4.

     정답 : []
     정답률 : 알수없음

8. 그림과 같은 하우 트러스의 bc 부재의 부재력 S는?

   

     1. 2t
     2. 4t
     3. 8t
     4. 12t

     정답 : []
     정답률 : 알수없음

9. 그림과 같은 부정정보에서 지점 B의 휨모멘트 MB는?

   

     1. -31.2 t·m
     2. -36 t·m
     3. -41 t·m
     4. -47 t·m

     정답 : []
     정답률 : 알수없음

10. 직경 D인 원형 단면보에 휨모멘트 M이 작용할 때 최대 휨응력은?
     1.
     2.
     3.
     4.

     정답 : []
     정답률 : 알수없음

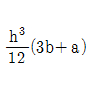
11. 다음 도형(빗금친 부분)의 X축에 대한 단면 1차 모멘트는?

    

     1. 5,000cm3
     2. 10,000cm3
     3. 15,000cm3
     4. 20,000cm3

     정답 : []
     정답률 : 알수없음

12. 다음 구조물에서 절점D는 이동하지 않으며 재단 A, B, C가 고정일 때 MCD는?

    

     1. 3.125t· m
     2. 4.667t· m
     3. 6.333t· m
     4. 6.250t· m

     정답 : []
     정답률 : 알수없음

13. 탄성계수 E는 2,000,000kg/cm2이고 포아슨 비 ν=0.3일 때 전단탄성계수 G는 약 얼마인가?
     1. 770,000kg/cm2
     2. 750,000kg/cm2
     3. 730,000kg/cm2
     4. 710,000kg/cm2

     정답 : []
     정답률 : 알수없음

14. 그림과 같은 캔틸레버보의 자유단에 단위처짐이 발생하도록 하는데 필요한 등분포하중 w의 크기는? (단, EI는 일정하다.)

    

     1.
     2.
     3.
     4.

     정답 : []
     정답률 : 알수없음

15. 리벳이 파괴될 때는 주로 어떤 응력이 발생하여 파괴되는가?
     1. 휨응력
     2. 인장응력
     3. 전단응력
     4. 압축응력

     정답 : []
     정답률 : 알수없음

16. 다음과 같은 단면적이 A인 임의의 부재단면이 있다. 도심축으로부터 y1 떨어진 축을 기준으로한 단면2차모멘트의 크기가 Ix1일때, 도심축으로부터 3y1 떨어진 축을 기준으로한 단면2차모멘트의 크기는?

    

     1.
     2.
     3.
     4.

     정답 : []
     정답률 : 알수없음

17. 길이가 1.0m이고 한 변의 길이가 10cm인 정사각형 단면의 부재가 양끝이 고정되어 있다. 온도가 10℃ 내려갔을 때 이로 인한 부재 단면에 발생하는 단면력은? (탄성계수 E=2.1×10kg/cm2, 선팽창계수=10-5/℃)
     1. 210 kg
     2. 420 kg
     3. 21000 kg
     4. 42000 kg

     정답 : []
     정답률 : 알수없음

18. 다음 그림에서 하중 P 에 의한 A 점의 휨모멘트는?

    

     1. 10 t· m
     2. 20 t· m
     3. 30 t· m
     4. 50 t· m

     정답 : []
     정답률 : 알수없음

19. 다음 그림과 같이 연직의 분포하중 w = 2x2 이 작용한다. 지점 B 의 연직방향 반력의 크기는?

    

     1. L2/2
     2. 2L2/3
     3. L3/2
     4. 2L3/3

     정답 : []
     정답률 : 알수없음

20. 탄성변형에너지는 외력을 받는 구조물에서 변형에 의해 구조물에 축적되는 에너지를 말한다. 탄성체이며 선형거동을 하는 길이가 L인 캔틸레버보에 집중하중 P가 작용할 때 굽힘모멘트에 의한 탄성변형에너지는? (단, EI는 일정)
     1.
     2.
     3.
     4.

     정답 : []
     정답률 : 알수없음

2과목 : 측량학


21. A, B 두 점의 표고가 각각 102.3m, 504.7m 일 때 축척 1/25,000 지형도 상에 주곡선 간격으로 몇 개의 등고선을 삽입할 수 있는가?
     1. 8개
     2. 20개
     3. 40개
     4. 48개

     정답 : []
     정답률 : 46%

22. 1/50,000 지형도 상에서 두점간의 거리가 62㎜이고 표고차가 500m일 때 이 사면의 경사도는 약 얼마인가?
     1. 1/4
     2. 1/6
     3. 1/8
     4. 1/10

     정답 : []
     정답률 : 9%

23. 표와 같은 횡단수준측량에서 우측 12m 지점의 지반고는? (단, 측점 No. 10의 지반고는 100.00m 이다.)

    

     1. 99.50m
     2. 99.60m
     3. 100.00m
     4. 101.50m

     정답 : []
     정답률 : 알수없음

24. 노선측량에서 제1중앙종거(M)은 제3중앙종거(M2)의 약 몇 배인가?
     1. 2배
     2. 4배
     3. 8배
     4. 16배

     정답 : []
     정답률 : 알수없음

25. 종중복도가 60%인 단 촬영경로로 촬영한 사진의 지상 유효면적은? (단, 촬영고도 3000m, 초점거리 150mm, 사진크기 210mm×210mm)
     1. 15.089km2
     2. 10.584km2
     3. 7.056km2
     4. 5.889km2

     정답 : []
     정답률 : 알수없음

26. 트래버스 측량에서 각 관측 결과가 허용오차 이내일 경우 오차처리 방법으로 옳지 않은 것은?
     1. 각 관측 정확도가 같을 때는 각의 크기에 관계없이 등배분한다.
     2. 각 관측 경중률이 다를 경우에는 경중률에 반비례하여 배분한다.
     3. 변 길이의 역수에 비례하여 배분한다.
     4. 각의 크기에 비례하여 배분한다.

     정답 : []
     정답률 : 알수없음

27. 평판측량에서 전진법에 의하여 측점 16개의 폐합트래버스를 측정할 때 허용 폐합오차는?
     1. ± 1.2mm
     2. ± 1.5mm
     3. ± 1.8mm
     4. ± 2.1mm

     정답 : []
     정답률 : 알수없음

28. 다음은 타원체에 관한 설명이다. 옳은 것은?
     1. 어느 지역의 측량좌표계의 기준이 되는 지구타원체를 준거타원체(또는 기준타원체)라 한다.
     2. 실제 지구와 가장 가까운 회전타원체를 지구타원체라하며, 실제 지구의 모양과 같이 굴곡이 있는 곡면이다.
     3. 타원의 주축을 중심으로 회전하여 생긴 지구물리학적형상을 회전타원체라 한다.
     4. 준거타원체는 지오이드와 일치한다.

     정답 : []
     정답률 : 알수없음

29. 삼각점에서 행해지는 모든 각 관측에서 만족해야할 조건이 아닌 것은?
     1. 한 측점의 둘레에 있는 모든 각을 합한 것은 360° 가되어야 한다.
     2. 삼각망 중 어느 한변의 길이는 계산순서에 관계없이 동일해야 한다.
     3. 삼각형 내각의 합은 180° 가 되어야 한다.
     4. 각 관측 방법은 방사법을 사용하여 최대한 정확히 한다.

     정답 : []
     정답률 : 알수없음

30. 캔트(cant)의 계산에 있어서 곡률반경을 2배로 하면 캔트는 몇 배가 되는가?
     1. 1/4배
     2. 1/2배
     3. 2배
     4. 4배

     정답 : []
     정답률 : 알수없음

31. 교점(I.P.)는 기점에서 187.94m의 위치에 있고 곡선반경(R)은 250m, 교각(I) 43°57′20″, 현의 길이가 20m인 단곡선의 접선길이는?
     1. 87.046 m
     2. 100.894 m
     3. 288.834 m
     4. 50.447 m

     정답 : []
     정답률 : 알수없음

32. 트래버스 측선의 방위가 S 75° W, 측선거리 60m 일 때 위거 및 경거는?
     1. 위거 : - 15.53m , 경거 : - 57.96m
     2. 위거 : + 57.96m , 경거 : + 15.53m
     3. 위거 : - 57.96m , 경거 : - 15.53m
     4. 위거 : + 15.53m , 경거 : + 57.96m

     정답 : []
     정답률 : 알수없음

33. 축척 1:1000에서의 면적을 측정하였더니 도상면적이 3cm2이었다. 그런데 도면 전체가 1% 수축되었었다면 실제면적은?
     1. 30600m2
     2. 3060m2
     3. 306m2
     4. 30.6m2

     정답 : []
     정답률 : 알수없음

34. 지오이드를 바르게 설명한 것은?
     1. 육지 및 해저의 凹凸을 평균값으로 정한 면이다.
     2. 평균해수면을 육지내부까지 연장했을 때의 가상적인 곡면이다.
     3. 육지와 해양의 지평면을 말한다.
     4. 회전타원체와 같은 것으로 지구형상이 되는 곡면이다

     정답 : []
     정답률 : 알수없음

35. 삼각망 중 정확도가 가장 높은 삼각망은?
     1. 단열삼각망
     2. 단삼각망
     3. 유심삼각망
     4. 사변형삼각망

     정답 : []
     정답률 : 알수없음

36. 유속 측량 장소의 선정 시 고려하여야할 사항으로 옳지 않은 것은?
     1. 직류부의 흐름이 일정하고 하상경사가 일정하여야 한다.
     2. 수위 변화에 횡단 형상이 급변하지 않아야 한다.
     3. 가급적 지형지물이 없는 곳을 택한다.
     4. 관측장소의 상,하류의 유로가 일정한 단면을 갖고 있으며 관측이 편리하여야 한다.

     정답 : []
     정답률 : 알수없음

37. 노선측량에서 노선선정을 할 때 가장 중요한 것은?
     1. 곡선의 대소(大小)
     2. 공사기일
     3. 곡선설치의 난이도
     4. 수송량 및 경제성

     정답 : []
     정답률 : 알수없음

38. 지상고도 3,000m의 비행기 위에서 초점거리 150.0mm인 사진기로 촬영한 항공사진에서 길이가 30m인 교량의 사진에서의 길이는?
     1. 1.3mm
     2. 2.3mm
     3. 1.5mm
     4. 2.5mm

     정답 : []
     정답률 : 알수없음

39. 100m2의 정사각형 토지면적을 0.1m2까지 정확하게 구하기 위하여 필요하고도 충분한 한 변의 측정거리는 다음 중 몇 ㎜까지 측정하여야 하겠는가?
     1. 3㎜
     2. 4㎜
     3. 5㎜
     4. 6㎜

     정답 : []
     정답률 : 알수없음

40. 장애물로 인하여 PQ측정이 불가능하여 간접측량한 결과 AB = 225.85m가 측정되었다. 이 때 PQ의 거리는? (단, ∠PAB = 79° 36′ ∠QAB = 35° 31′ ∠PBA = 34° 17′ ∠QBA = 82° 05′ )

    

     1. 179.46m
     2. 177.98m
     3. 178.65m
     4. 180.75m

     정답 : []
     정답률 : 알수없음

3과목 : 수리학


41. 다음과 같은 작은 오리피스에서 유속을 구한 값은? (단, 유속계수 Cv는 0.9이다)

    

     1. 8.9m/sec
     2. 9.9m/sec
     3. 12.6m/sec
     4. 14.0m/sec

     정답 : []
     정답률 : 알수없음

42. 관수로에서 마찰손실계수(f)와 가장 관계가 깊은 것은?
     1. 한계수심
     2. 후르드(Froude)수
     3. 레이놀즈(Renolds)수
     4. 관의 길이

     정답 : []
     정답률 : 42%

43. 다음 설명 중 옳은 것은?
     1. 수문학에서 강수란 구름이 응축되어 지상으로 떨어지는 모든 형태의 수분 중 비(Rain)만을 의미한다.
     2. 우량(雨量)의 크기는 일정한 면적에 내린 총우량에 그 면적을 곱하여 체적으로 표시한다.
     3. 증발현상이란 물분자들이 눈 혹은 어름과 같은 고체상태로부터 액체상태를 거치지 않고 바로 기화하는 것을 말한다.
     4. 지상에 내린 물이 토양면을 통해 스며들어 중력의 영향으로 계속 지하로 이동하여 지하수면에 도달하는 현상을 침누(percolation)라 한다.

     정답 : []
     정답률 : 알수없음

44. 기온 15℃에서의 포화증기압이 17.38mb이고 상대습도가 30%이면 실제 증기압은?
     1. 5.21mb
     2. 38.25mb
     3. 172.61mb
     4. 57.93mb

     정답 : []
     정답률 : 알수없음

45. 비에너지와 수심과의 관계 그래프에서 한계수심보다 수심이 작은 흐름은?
     1. 사류
     2. 상류
     3. 한계류
     4. 난류

     정답 : []
     정답률 : 64%

46. 단면이 일정한 긴 관에서 마찰손실만 일어나는 경우 에너지선과 동수경사선은?
     1. 서로 나란하다.
     2. 서로 겹친다.
     3. 일정하지 않다.
     4. 압력수두 만큼 차이가 난다.

     정답 : []
     정답률 : 알수없음

47. 수면 차가 항상 20m인 수조를 지름 30cm, 길이 500m인 관으로 연결되었다면 관속의 유속은? (단, 관의 마찰손실계수 f=0.03, 입구손실계수 fi=0.5, 출구손실계수 fo=1.0이다.)
     1. 2.76m/sec
     2. 4.72m/sec
     3. 5.76m/sec
     4. 6.72m/sec

     정답 : []
     정답률 : 알수없음

48. 다음과 같이 수로폭이 3m 인 판으로 물의 흐름을 가로막았을 때 상류수심은 6m, 하류수심은 3m 이였다. 이 때 전수압의 작용점 위치(y)는?

    

     1. y = 1.50m
     2. y = 2.33m
     3. y = 3.66m
     4. y = 4.56m

     정답 : []
     정답률 : 알수없음

49. 어느 지역의 증발접시에 의한 연증발량이 98.2mm이고 증발접시 계수가 0.7일 때 저수지의 연증발량은?
     1. 29.49mm
     2. 68.74mm
     3. 98.24mm
     4. 140.29mm

     정답 : []
     정답률 : 알수없음

50. 위어(weir)의 보편적인 사용 목적이 아닌 것은?
     1. 유량측정
     2. 취수를 위한 수위증가
     3. 분수(分水)
     4. 수질 오염방지

     정답 : []
     정답률 : 알수없음

51. 관정의 펌프용 전동기 동력이 100kW, 펌프의 효율이 93%, 양정고 150m, 손실수두 10m일 때 펌프에 의한 양수량은?
     1. 0.02m3/sec
     2. 0.06m3/sec
     3. 0.12m3/sec
     4. 0.15m3/sec

     정답 : []
     정답률 : 알수없음

52. 레이놀즈수가 갖는 물리적인 의미는?
     1. 점성력에 대한 중력의 비(중력/점성력)
     2. 관성력에 대한 중력의 비(중력/관성력)
     3. 점성력에 대한 관성력의 비(관성력/점성력)
     4. 관성력에 대한 점성력의 비(점성력/관성력)

     정답 : []
     정답률 : 알수없음

53. 개수로의 수심을 h, 평균유속을 V, 에너지 보정계수를 α라 할 때 비에너지(He)를 옳게 표시한 식은?
     1. He = h+αV
     2.
     3.
     4.

     정답 : []
     정답률 : 알수없음

54. 어떤 유역에 20분간 지속된 강우강도가 20㎜/hr이었다면 강우량은?
     1. 1.00㎜
     2. 6.67㎜
     3. 10.33㎜
     4. 20.00㎜

     정답 : []
     정답률 : 알수없음

55. 어떤 지역에 내린 강우의 시간적 분포는 다음 우량주상도와 같다. 총강우량이 75mm를 기록하였을 때 이 유역의 출구에서 측정한 지표유출량이 33mm였다면 ø-index는?

    

     1. 6mm/hr
     2. 7mm/hr
     3. 8mm/hr
     4. 9mm/hr

     정답 : []
     정답률 : 알수없음

56. 지하수에 대한 설명 중 옳지 않은 것은?
     1. 불투수층 위의 대수층 내에 자유 지하수면을 가지는 자유 지하수를 양수하는 우물 중 우물바닥이 불투수층까지 도달한 것을 심정이라 한다.
     2. 불수수층 사이에 낀 투수층 내에 포함되어 있는 지하수를 피압면 지하수라 하며 이를 양수하는 우물을 굴착정이라 한다.
     3. 점토층과 같이 불투수층이 낀 투수층 내의 압력을 받고 있는 지하수를 자유면 지하수라 하고 이를 양수하는 우물 중 우물바닥이 불투수층까지 도달하지 않은 것을 천정이라 한다.
     4. 다르시(Darcy)의 법칙에서 지하수 유속은 동수경사에 비례하며 투수계수 k는 토사의 간극률과 입경 등에 따라 다르다.

     정답 : []
     정답률 : 알수없음

57. 1기압을 서로 다른 단위로 표시한 것으로 옳지 않은 것은?
     1. 1기압 = 760mmHg
     2. 1기압 = 1013mb
     3. 1기압 = 1.033kg/cm2
     4. 1기압 = 1.013 × 104dyne/cm2

     정답 : []
     정답률 : 알수없음

58. 물이 들어 있고 뚜껑이 없는 수조가 9.8m/sec2으로 수직 상향 가속되고 있을 때 깊이 2m에서의 압력은?
     1. 8t/m2
     2. 4t/m2
     3. 2t/m2
     4. 0t/m2

     정답 : []
     정답률 : 알수없음

59. 다음의 모세관 현상에 대한 설명 중 옳지 않은 것은?
     1. 모세관의 상승높이는 모세관의 지름 d에 반비례한다.
     2. 모세관의 상승높이는 액체의 단위중량에 비례한다.
     3. 모세관의 상승여부는 액체의 응집력과 액체와 관벽의 부착력에 의해 좌우된다.
     4. 액체의 응집력이 관벽과의 부착력보다 크면 관내 액체의 높이는 관 밖보다 낮아진다.

     정답 : []
     정답률 : 알수없음

60. 단면 30㎝× 30㎝, 길이 4m, 단위중량 600㎏/m3의 물체를 물속에 완전히 가라 앉히려 할 때 가해야 할 적당한 힘은?
     1. 144㎏ 이상
     2. 108㎏ 이상
     3. 94㎏ 이상
     4. 58㎏ 이상

     정답 : []
     정답률 : 알수없음

4과목 : 철근콘크리트 및 강구조


61. fck = 21MPa, fy = 300MPa일 때 강도설계법으로 인장을 받는 이형철근(D32:db = 31.8mm, Ab = 794.2mm2)의 기본정착길이 ℓdb를 구한 값은? (단, 1MPa=10kgf/cm2)
     1. 1249mm
     2. 574mm
     3. 762mm
     4. 1000mm

     정답 : []
     정답률 : 알수없음

62. 철근콘크리트의 균열에 대한 설명으로 틀린 것은?
     1. 이형 철근을 사용하면 균열폭을 최소화 할 수 있다.
     2. 동일 철근량에 대해 가능한 지름이 가는 철근을 많이 사용하면 균열을 줄일 수 있다.
     3. 가능한 범위내에서 배근간격이 작을수록 균열폭은 증가한다.
     4. 균열폭은 철근의 응력에 비례한다.

     정답 : []
     정답률 : 알수없음

63. 다음 중 사인장 균열을 규제하기 위해 배치하는 전단 보강 철근은?
     1. 주철근
     2. 조립철근
     3. 배력철근
     4. 스터럽

     정답 : []
     정답률 : 알수없음

64. 강도해석에서 fck=30MPa일 때 응력도의 높이 비 β1은 얼마인가? (단, 1MPa=10kgf/cm2)
     1. β1=0.85
     2. β=0.843
     3. β=0.836
     4. β=0.829

     정답 : []
     정답률 : 알수없음

65. 길이가 10m인 PC보에서 포스트텐션 공법으로 설계할 때 강선에 1000MPa의 인장력을 가했더니 강선이 2.0mm 풀렸다. 이 때 프리스트레스의 감소량은? (단, Ep = 2.0×105MPa이고 일단정착이며, 1MPa=10kgf/cm2)
     1. 20MPa
     2. 30MPa
     3. 40MPa
     4. 50MPa

     정답 : []
     정답률 : 알수없음

66. 단철근 직사각형 단면 보의 최대 철근비에 대한 설명 중 틀린 것은?
     1. 균형 철근비의 0.75배로 규정하고 있다.
     2. 최대 철근비로 배근된 단면의 보는 파괴시 철근의 항복으로 인한 연성파괴가 일어난다.
     3. 최대 철근비로 배근된 단면의 압축연단에서 중립축까지의 거리는 균형단면에 비해 짧다.
     4. 최대 철근비로 배근된 단면의 공칭설계 모멘트는 균형철근비로 배근된 단면에 비해 크다.

     정답 : []
     정답률 : 알수없음

67. 강도설계법에 의해서 전단철근을 사용하지 않고 계수하중에 의한 전단력 40kN을 지지할 수 있는 직사각형보의 최소 단면적은 얼마인가? (단, fck = 21MPa이며, 1MPa=10kgf/cm2, 1N=0.1kgf)
     1. 114452mm2
     2. 130931mm2
     3. 186264mm2
     4. 198407mm2

     정답 : []
     정답률 : 알수없음

68. 그림과 같이 지간 중앙점에서 강선을 꺾었을 때 이 중앙점에서 상향력 U의 값은?

    

     1. 2Fsinθ
     2. 4Fsinθ
     3. 2Ftanθ
     4. 4Ftanθ

     정답 : []
     정답률 : 알수없음

69. 강도설계법에 의해 전단부재를 설계할 때 보의 폭이 300mm 이고, 유효깊이가 500mm 이라면 이 때 수직스터럽의 최대 간격은 얼마인가?
     1. 250mm
     2. 300mm
     3. 400mm
     4. 600mm

     정답 : []
     정답률 : 15%

70. 현행 콘크리트구조설계기준에 따른 옹벽의 구조해석에 대한 내용으로 틀린 것은?
     1. 캔틸레버식 옹벽의 저판은 전면벽과의 접합부를 고정단으로 간주한 캔틸레버로 가정하여 단면을 설계할 수 있다.
     2. 부벽식 옹벽의 저판은 부벽 간의 거리를 경간으로 가정하여 2방향 슬래브로 설계할 수 있다.
     3. 앞부벽은 직사각형보로 설계하여야 한다.
     4. 뒷부벽은 T형보로 설계하여야 한다.

     정답 : []
     정답률 : 알수없음

71. 포스트텐션공법에서 그라우트(grout)를 행하는 가장 중요한 이유는?
     1. 강재의 부식 방지
     2. 강재의 정착과 부착
     3. 긴장력의 증진
     4. 부착력의 확보

     정답 : []
     정답률 : 알수없음

72. 대칭 T형 콘크리트 단면에서 유효폭 산정시 고려해야 할 사항으로 틀린 것은? (단, tf=플랜지의 두께, bw=플랜지가 있는 부재에서의 복부폭을 의미한다.)
     1. 16tf+bw
     2. 양쪽 슬래브의 중심간 거리
     3. 보의 경간의 1/4
     4. (인접 보와의 내측 거리의1/2) + bw

     정답 : []
     정답률 : 알수없음

73. 강도설계법에서 강도감소계수에 관한 규정 중 틀린 것은?
     1. 휨모멘트 - 0.85
     2. 축압축력(나선철근으로 보강된 철근콘크리트 부재)- 0.70
     3. 전단력 - 0.80
     4. 콘크리트의 지압력 - 0.70

     정답 : []
     정답률 : 알수없음

74. 그림과 같은 확대기초에서 위험단면에 대한 휨모멘트는?

    

     1. 980 kN· m
     2. 720 kNㆍm
     3. 700 kNㆍm
     4. 630 kNㆍm

     정답 : []
     정답률 : 알수없음

75. 다음 그림은 필렛(Fillet) 용접한 것이다. 목두께 a를 표시한 것중 옳은 것은?

    

     1. a = S2 × 0.707
     2. a = S1 × 0.707
     3. a = S2 × 0.606
     4. a = S1 × 0.606

     정답 : []
     정답률 : 알수없음

76. 콘크리트에 프리스트레스를 도입하면 콘크리트가 탄성재료로 전환된다는 생각은 다음 중 어느 개념인가?
     1. 강도개념(strength concept)
     2. 등가하중(equivalent transverse loading)의 개념
     3. 내력개념(internal force concept)
     4. 응력 개념(stress concept)

     정답 : []
     정답률 : 알수없음

77. 프리스트레스의 감소원인 중 포스트텐션공법에만 해당되는 것은 어느 것인가?
     1. 탄성변형에 의한 손실
     2. 마찰에 의한 손실
     3. 콘크리트의 크리프와 건조수축에 의한 손실
     4. PS강재의 릴랙세이션(relaxation)에 의한 손실

     정답 : []
     정답률 : 0%

78. 아래 그림에서 강판의 순폭은? (단, 볼트이음으로 볼트 구멍의 지름 25mm, 총폭 bg = 25cm)

    

     1. 15 cm
     2. 20.4 cm
     3. 17.5 cm
     4. 22.5 cm

     정답 : []
     정답률 : 알수없음

79. 단철근 직사각형 보에서 fck = 21MPa, fy = 400MPa일 때 균형철근비 ρb의 값은? (단, Es = 200000MPa이며, 1MPa=10kgf/cm2)
     1. 0.019
     2. 0.023
     3. 0.027
     4. 0.033

     정답 : []
     정답률 : 알수없음

80. 고정하중(D)과 활하중(L)이 작용하는 우리나라의 콘크리트 구조물 설계에 사용하는 하중계수와 하중조합으로 알맞는 것은 다음 어느 것인가?
     1. 1.4D + 1.7L
     2. 1.5D + 1.8L
     3. 1.3D + 1.7L
     4. 1.6D + 1.8L

     정답 : []
     정답률 : 알수없음

5과목 : 토질 및 기초


81. 다음 그림과 같이 필터를 설치하여 만든 제방 100m길이당 침투 수량을 구하면? (단,흙 댐의 투수계수는 0.085㎝/sec이다.)

    

     1. 783.36m3/day
     2. 78336m3/day
     3. 940.03m3/day
     4. 94003m3/day

     정답 : []
     정답률 : 알수없음

82. 연약지반 개량공법으로 압밀의 원리를 이용한 공법이 아닌 것은?
     1. 프리로딩 공법
     2. 바이브로 플로테이션 공법
     3. 대기압 공법
     4. 페이퍼 드레인 공법

     정답 : []
     정답률 : 알수없음

83. 여러종류의 흙을 같은 조건으로 다짐시험을 하였다. 일반적으로 최적 함수비가 가장 작은 흙은?
     1. GW
     2. ML
     3. SW
     4. CH

     정답 : []
     정답률 : 알수없음

84. 일반적인 기초의 필요조건으로 거리가 먼 것은?
     1. 동해를 받지 않는 최소한의 근입깊이를 가질 것
     2. 지지력에 대해 안정할 것
     3. 침하가 전혀 발생하지 않을 것
     4. 사용성, 경제성이 좋을 것

     정답 : []
     정답률 : 알수없음

85. 그림에서 수두차 h를 최소 얼마 이상으로 하면 모래시료에 분사현상이 발생하겠는가?

    

     1. 16.5cm
     2. 17.0㎝
     3. 17.4㎝
     4. 18.0㎝

     정답 : []
     정답률 : 알수없음

86. 어떤 흙의 간극비(e)가 0.52 이고, 흙속에 흐르는 물의 이론 침투속도(v)가 0.214 cm/sec 일 때 실제의 침투유속(Vs)은?
     1. 0.424 cm/sec
     2. 0.525 cm/sec
     3. 0.626 cm/sec
     4. 0.727 cm/sec

     정답 : []
     정답률 : 알수없음

87. 50t의 집중하중이 지표면에 작용할때 3m 떨어진 점의 지하 5m 위치에서의 연직응력은 얼마인가? (단, 영향계수는 0.2214라고 한다.)
     1. 0.392t/m2
     2. 0.443t/m2
     3. 0.526t/m2
     4. 0.610t/m2

     정답 : []
     정답률 : 알수없음

88. 어떤 흙의 전단실험결과 C=1.8kg/cm2, ø=35°, 토립자에 작용하는 수직응력 σ =3.6kg/cm2 일 때 전단강도는?
     1. 4.89kg/cm2
     2. 4.32kg/cm2
     3. 6.33kg/cm2
     4. 3.86kg/cm2

     정답 : []
     정답률 : 알수없음

89. 모래의 내부마찰각 ø와 N치와의 관계를 나타낸 Dunham의 식 ø= 12N +C에서 상수C의 값이 제일 큰 경우는?
     1. 토립자가 모나고 입도분포가 좋을 때
     2. 토립자가 모나고 균일한 입경일 때
     3. 토립자가 둥글고 입도분포가 좋을 때
     4. 토립자가 둥글고 균일한 입경일 때

     정답 : []
     정답률 : 알수없음

90. 말뚝의 지지력을 결정하기 위해 엔지니어링 뉴스 공식을 사용할 때 안전율은?
     1. 1
     2. 2
     3. 3
     4. 6

     정답 : []
     정답률 : 알수없음

91. 양면배수 조건으로 압밀도 100%에 도달하는데 1년이 걸렸다. 일면배수일 경우 몇 년 걸리겠는가?
     1. 0.25년
     2. 1년
     3. 2년
     4. 4년

     정답 : []
     정답률 : 20%

92. 다음 전단 시험법 가운데 간극수압을 측정하여 유효 응력으로 정리하면 압밀배수 시험(CD-test)과 거의 같은 전단상수를 얻을 수 있는 시험법은?
     1. 비압밀 비배수시험(UU-test)
     2. 직접전단시험
     3. 압밀 비배수시험(CU-test)
     4. 일축압축시험(qu-test)

     정답 : []
     정답률 : 알수없음

93. 어떤 점토시료를 일축압축 시험한 결과 수평면과 파괴면이 이루는 각이 48°였다. 점토시료의 내부마찰각은?
     1.
     2. 18°
     3. 30°
     4.

     정답 : []
     정답률 : 알수없음

94. 다음중 직접 기초라고 할수없는 기초는?
     1. 독립기초
     2. 복합기초
     3. 전면기초
     4. 말뚝기초

     정답 : []
     정답률 : 알수없음

95. 지표가 수평인 곳에 높이 5m의 연직옹벽이 있다. 흙의 단위중량이 1.7t/m3, 내부마찰각 30° 이고 점착력이 없을 때 옹벽에 작용하는 주동토압은 얼마인가?
     1. 4.25 t/m
     2. 5.64 t/m
     3. 6.75 t/m
     4. 7.08 t/m

     정답 : []
     정답률 : 알수없음

96. 지름 30cm인 재하판으로 측정한 지지력계수 K30=6.6kg/cm3일 때 지름 75cm인 재하판의 지지력계수 K75은?
     1. 3.0kg/cm3
     2. 3.5kg/cm3
     3. 4.0kg/cm3
     4. 4.5kg/cm3

     정답 : []
     정답률 : 알수없음

97. 다음 중 동상(凍上)이 일어나기 쉬운 지반 조건인 것은?
     1. 지하수위 바로위에 불투수성 점성토지반이 존재한다.
     2. 모래질 지반으로 지하수위가 지표면에서 10m이상 멀다.
     3. 실트질 지반으로 지하수위가 지표면과 가깝다.
     4. 실트질 모래지반으로 지반의 지지력이 상당히 높다.

     정답 : []
     정답률 : 알수없음

98. 어떤 시료가 조밀한 상태에 있는가, 느슨한 상태에 있는 가를 나타내는데 쓰이며, 주로 모래와 같은 조립토에서 사용되는 것은?
     1. 상대밀도
     2. 건조밀도
     3. 포화밀도
     4. 수중밀도

     정답 : []
     정답률 : 알수없음

99. 흙의 다짐에서 다짐 에너지를 증가시키면 어떤 변화가 생기는가?
     1. 최적 함수비는 증가하고,최대 건조밀도는 감소한다.
     2. 최적 함수비와 최대 건조밀도는 증가한다.
     3. 최적 함수비는 감소하고,최대 건조밀도는 증가한다.
     4. 최적 함수비와 최대 건조밀도는 감소한다.

     정답 : []
     정답률 : 알수없음

100. 흙의 연경도(consistency)에 관한 다음 설명 중 옳지 않은 것은?
     1. 소성지수는 액성한계와 소성한계의 차로서 표시된다
     2. 유동지수는 유동곡선의 기울기이다
     3. 수축한계를 지나서도 수축이 계속되는 것이 보통이다
     4. 어떤 흙의 함수비가 소성한계보다 높으면 그 흙은 소성상태 또는 액성상태에 있다고 할 수 있다

     정답 : []
     정답률 : 알수없음

101. 수격현상의 발생을 경감 시킬 수 있는 방안이 아닌 것은?
     1. 펌프의 속도가 급격히 변화하는 것을 방지한다.
     2. 관내의 유속을 크게 한다.
     3. 밸브를 펌프 송출구 가까이 설치한다.
     4. 압력조정 수조를 설치한다.

     정답 : []
     정답률 : 알수없음

102. 지하수의 경제 양수량은 양수시험으로부터 구한 최대양수량의 몇 % 이하로 하는 것이 바람직한가?
     1. 60
     2. 70
     3. 80
     4. 90

     정답 : []
     정답률 : 알수없음

103. 다음의 소독방법 중 발암물질인 THM 발생 가능성이 가장 높은 것은?
     1. 염소소독
     2. 오존소독
     3. 이산화염소소독
     4. 자외선소독

     정답 : []
     정답률 : 알수없음

104. 다음의 활성슬러지 공법중에서 슬러지 발생량이 가장 적은 방식은?
     1. 계단식 폭기법
     2. 표준 폭기법
     3. 접촉 안정법
     4. 장기 폭기법

     정답 : []
     정답률 : 알수없음

105. 5%의 고형물을 함유하는 3,200ℓ 의 일차슬러지를 고형물의 농도가 8%되게 농축시키면 농축된 슬러지의 부피는? (단, 슬러지의 비중은 1.0으로 가정)
     1. 1,500ℓ
     2. 2,000ℓ
     3. 2,500ℓ
     4. 2,800ℓ

     정답 : []
     정답률 : 알수없음

106. 하수종말처리장 유입수의 평균 BOD=1,800㎎/ℓ , 평균유량=2,000m3/day, 폭기조 MLVSS =2,500㎎/ℓ ,폭기조의 부피=14,000m3 일 때 F/M비는?
     1. 0.08 ㎏-BOD/㎏-MLVSS.day
     2. 0.10 ㎏-BOD/㎏-MLVSS.day
     3. 0.18 ㎏-BOD/㎏-MLVSS.day
     4. 0.21 ㎏-BOD/㎏-MLVSS.day

     정답 : []
     정답률 : 알수없음

107. 급수인구 추정법에서 등비급수법에 해당되는 식은? (단, Pn=n년 후 추정 인구, Po=현재 인구, n=경과 년 수, a, b=상수, k=포화인구, r=년 평균증가율)
     1. Pn=Po+rna
     2. Pn=Po(1+r)n
     3. Pn=Po+nr
     4.

     정답 : []
     정답률 : 75%

108. 배수관망의 설계에 있어서 최대 동수압은 가능한 한 얼마이내로 하는 것이 타당한가?
     1. 4.0kg/cm2
     2. 5.0kg/cm2
     3. 6.0kg/cm2
     4. 7.0kg/cm2

     정답 : []
     정답률 : 0%

109. 수질검사에서 대장균을 검사하는 이유는?
     1. 대장균이 병원체이므로
     2. 대장균을 이용하여 병원체의 존재를 추정하기 위하여
     3. 수질오염을 가져오는 대표적인 세균이므로
     4. 물을 부패시키는 세균이므로

     정답 : []
     정답률 : 알수없음

110. 우수조정지를 설치하여야 하는 곳과 가장 거리가 먼 것은?
     1. 하류관거의 유하능력이 부족한 곳에 설치한다.
     2. 하수처리장이 설치되지 않은 곳에 설치한다.
     3. 하류지역의 펌프장 능력이 부족한 곳에 설치한다.
     4. 방류수로의 유하능력이 부족한 곳에 설치한다.

     정답 : []
     정답률 : 10%

111. 유달시간을 바르게 표현한 것은? (단, t1: 유입시간, L:하수관거의 길이, V:관내유속)
     1.
     2.
     3.
     4.

     정답 : []
     정답률 : 알수없음

112. 우수량을 산정하는 합리식의 공식이 다음과 같을 때 각 각의 단위로 틀린 것은?
     1. Q : [m3/sec]
     2. C : [단위없음]
     3. I : [㎜/hr]
     4. A : [km2]

     정답 : []
     정답률 : 알수없음

113. 직경 300mm, 길이 100m인 주철관을 사용하여 0.15m3/sec의 물을 20m 높이에 양수하기 위한 펌프의 소요동력은? (단,마찰손실계수 f=0.0268, 펌프의 효율은 70% 이고, 마찰손실 고려)
     1. 약 57HP(마력)
     2. 약 62HP(마력)
     3. 약 72HP(마력)
     4. 약 81HP(마력)

     정답 : []
     정답률 : 10%

114. 인구 1인당 생활오수의 BOD오염부하 원단위를 50g/인· 일이라 할 때 인구 10만 도시의 하수처리장에 유입되는 BOD 부하는?
     1. 5,000㎏/일
     2. 500㎏/일
     3. 50㎏/일
     4. 50ton/일

     정답 : []
     정답률 : 54%

115. 상수도시설의 계획년도에 있어서 큰댐 및 대구경관로의 경우, 계획설계기간의 범위로 가장 알맞는 것은?
     1. 25∼50년
     2. 20∼25년
     3. 10∼15년
     4. 5∼10년

     정답 : []
     정답률 : 30%

116. pH 및 수온이 어떠할 때 염소살균 효과가 높아지는가?
     1. pH가 낮고 수온이 높을 때
     2. pH가 낮고 수온이 낮을 때
     3. pH가 높고 수온이 낮을 때
     4. pH가 높고 수온이 높을 때

     정답 : []
     정답률 : 알수없음

117. 지역내 강우량과 실제 우수유출량과의 비율을 나타낸 것은?
     1. 확률강우
     2. 재현시간
     3. 강우강도
     4. 유출계수

     정답 : []
     정답률 : 알수없음

118. 폭 2m인 직사각형 개수로에 수심 1m 물이 흐르고 있다. Manning의 조도계수는 0.015이고 관로의 경사가 1/1000일 때 도수로에 흐르는 유량은?
     1. 1.33m3/sec
     2. 2.66m3/sec
     3. 5.32m3/sec
     4. 6.22m3/sec

     정답 : []
     정답률 : 알수없음

119. 펌프의 유입구 유량이 0.2m3/sec이고, 유속이 3m/sec인 경우 흡입구경은?
     1. 150mm
     2. 228mm
     3. 292mm
     4. 367mm

     정답 : []
     정답률 : 알수없음

120. 하수관거가 관정부식(crown corrosion)이 되는 주요 원인 물질은?
     1. 황화합물
     2. 질소화합물
     3. 칼슘화합물
     4. 염소화합물

     정답 : []
     정답률 : 알수없음


정 답 지

1

2

3

4

5

6

7

8

9

10

11

12

13

14

15

16

17

18

19

20

21

22

23

24

25

26

27

28

29

30

31

32

33

34

35

36

37

38

39

40

41

42

43

44

45

46

47

48

49

50

51

52

53

54

55

56

57

58

59

60

61

62

63

64

65

66

67

68

69

70

71

72

73

74

75

76

77

78

79

80

81

82

83

84

85

86

87

88

89

90

91

92

93

94

95

96

97

98

99

100

101

102

103

104

105

106

107

108

109

110

111

112

113

114

115

116

117

118

119

120

토목산업기사 필기 기출문제(해설) 및 CBT 2004년05월23일을 이용해 주셔서 감사합니다.
, 필기, 기출문제, 전자문제집, CBT, 온라인, 모의테스트, 모의고사



List of Articles
번호 제목 글쓴이 날짜 조회 수
1201 토목산업기사 필기 기출문제(해설) 및 CBT 2014년05월25일(2674) 좋은아빠되기 2025.10.07 25
1200 토목산업기사 필기 기출문제(해설) 및 CBT 2011년03월20일(2671) 좋은아빠되기 2025.10.07 36
1199 토목산업기사 필기 기출문제(해설) 및 CBT 2007년05월13일(2666) 좋은아빠되기 2025.10.07 20
1198 토목산업기사 필기 기출문제(해설) 및 CBT 2006년09월10일(2664) 좋은아빠되기 2025.10.07 17
1197 토목산업기사 필기 기출문제(해설) 및 CBT 2005년09월04일(2663) 좋은아빠되기 2025.10.07 32
1196 토목산업기사 필기 기출문제(해설) 및 CBT 2005년03월06일(2661) 좋은아빠되기 2025.10.07 28
» 토목산업기사 필기 기출문제(해설) 및 CBT 2004년05월23일(2659) 좋은아빠되기 2025.10.07 35
1194 토목산업기사 필기 기출문제(해설) 및 CBT 2002년03월10일(2652) 좋은아빠되기 2025.10.07 22
1193 제선기능사 필기 기출문제(해설) 및 CBT 2002년04월07일(2회)(2649) 좋은아빠되기 2025.10.07 26
1192 제선기능사 필기 기출문제(해설) 및 CBT 2001년04월29일(2회)(2648) 좋은아빠되기 2025.10.07 22
1191 콘크리트기사 필기 기출문제(해설) 및 CBT 2018년03월04일(2646) 좋은아빠되기 2025.10.07 32
1190 콘크리트기사 필기 기출문제(해설) 및 CBT 2014년08월17일(2636) 좋은아빠되기 2025.10.07 20
1189 콘크리트기사 필기 기출문제(해설) 및 CBT 2013년03월10일(2634) 좋은아빠되기 2025.10.07 18
1188 콘크리트기사 필기 기출문제(해설) 및 CBT 2011년03월20일(2631) 좋은아빠되기 2025.10.07 30
1187 산업위생관리산업기사 필기 기출문제(해설) 및 CBT 2017년08월26일(2621) 좋은아빠되기 2025.10.07 29
1186 산업위생관리산업기사 필기 기출문제(해설) 및 CBT 2016년03월06일(2616) 좋은아빠되기 2025.10.07 29
1185 산업위생관리산업기사 필기 기출문제(해설) 및 CBT 2014년03월02일(2610) 좋은아빠되기 2025.10.07 39
1184 산업위생관리산업기사 필기 기출문제(해설) 및 CBT 2013년08월18일(2609) 좋은아빠되기 2025.10.07 29
1183 산업위생관리산업기사 필기 기출문제(해설) 및 CBT 2008년03월02일(2598) 좋은아빠되기 2025.10.07 30
1182 산업위생관리산업기사 필기 기출문제(해설) 및 CBT 2007년03월04일(2596) 좋은아빠되기 2025.10.07 35
Board Pagination Prev 1 ... 114 115 116 117 118 119 120 121 122 123 ... 179 Next
/ 179