자격증 필기 기출문제



초음파비파괴검사기사(구) 필기 기출문제(해설) 및 CBT 2005년08월07일(3194)

최강 자격증 기출문제 전자문제집 CBT : www.comcbt.com


전자문제집 CBT란?

종이 문제집이 아닌 인터넷으로 문제를 풀고 자동으로 채점하며 모의고사, 오답 노트, 해설까지 제공하는
무료 기출문제 학습 프로그램으로 실제 상설검정에서 사용하는 OMR 형식의 CBT를 제공합니다.


최신 초음파비파괴검사기사(구) 필기 기출문제 : [다운로드]

1과목 : 초음파탐상시험원리


1. 거리진폭특성곡선을 사용할 때 주의해야 할 사항이 아닌 것은?
     1. 에코 높이 구분선의 변경과 탐상감도의 관계를 알아둔다.
     2. 굴절각도의 구분없이 동일한 거리진폭 특성곡선을 이용해야 한다.
     3. 측정범위가 다른 거리진폭특성곡선을 사용하지 말아야 한다.
     4. 거리진폭특성곡선 작성에 사용된 탐촉자를 사용한다.

     정답 : []
     정답률 : 알수없음

2. 크기가 1/2×1인치인 장방형 크리스탈을 가진 탐촉자를 사용하여 알루미늄 시험체를 횡파로 탐상하고자 할 때 초음파의 분산 모양은 프라운호퍼(Fraunhofer)회절법칙을 이용하여 설명 될 수 있다. 이 때 크리스탈의 1/2 인치 편에서 초음파가 분산되는 각도는 얼마인가?(단, 사용한 탐촉자의 주파수는 5MHz 이며 알루미늄 시험체내의 횡파속도는 3.1×105㎝/s이다)
     1. 1.8°
     2. 3.4°
     3. 4.3°
     4. 5.2°

     정답 : []
     정답률 : 알수없음

3. 제품 제작 중 용접부의 비파괴검사는 어느 때 실시하는 것이 가장 이상적인가?
     1. 열처리하기 전
     2. 용접 최종 공정이 끝난 후
     3. 조립한 후
     4. 용접공정이 시작될 때

     정답 : []
     정답률 : 알수없음

4. 구부러진 관 내부를 육안 검사할 때 이용하기 편리한 광학기구는?
     1. microscope
     2. borescope
     3. Magnifier
     4. telescope

     정답 : []
     정답률 : 알수없음

5. 펄스 반사법에 의한 두꺼운 관의 두께측정시 관의 외경이 12″(300㎜)이고 탐촉자의 굴절각이 45°일 때 이 시험체의 최대 두께는 얼마인가?
     1. 35㎜
     2. 44㎜
     3. 50㎜
     4. 55㎜

     정답 : []
     정답률 : 알수없음

6. 다음 중 초음파 감쇠 원인이 아닌 것은 어느 것인가?
     1. 흡수
     2. 산란
     3. 빔확산
     4. 굴절

     정답 : []
     정답률 : 알수없음

7. 다음 중 초음파의 분해 등에 영향을 미치는 인자가 아닌 것은?
     1. 주파수
     2. 펄스의 길이
     3. 펄스 반복률
     4. 탐촉자 조작의 숙련도

     정답 : []
     정답률 : 알수없음

8. 다음 중 초음파 탐상시험시 표면파의 감쇠가 가장 심한 경우는 무엇에 기인하는가?
     1. 곡면
     2. 두꺼운 접촉매질
     3. 얇은 접촉 매질
     4. 표면 바로 아래

     정답 : []
     정답률 : 알수없음

9. 다음 중에서 탐촉자로부터 발생된 초음파의 음압이 가장 높은 지역은?
     1. 탐촉자의 앞면
     2. 근거리음장의 1/2 지역
     3. 근거리음장의 끝지역
     4. 근거리음장의 2배 먼 지역

     정답 : []
     정답률 : 알수없음

10. 초음파 두께 측정기로 구리를 측정하니 10㎜였다. 이 측정기로 다른 조건은 변경하지 않고 알루미늄을 측정하면 측정기의 지시치는 얼마로 나타나겠는가? ( 단, 알루미늄과 구리의 실제 두께는 모두 10㎜, 구리의 음속=4700m/sec, 알루미늄의 음속=6300m/sec )
     1. 7.5mm
     2. 10mm
     3. 13.4mm
     4. 15.0mm

     정답 : []
     정답률 : 알수없음

11. 수침법에서 근거리 음장(near zone)현상을 없애려면 어느 방법이 가장 좋은가?
     1. 주파수를 높인다.
     2. 물의 깊이를 조절한다
     3. 탐촉자의 직경이 큰 것을 사용한다.
     4. 초점을 갖는 탐촉자를 사용한다.

     정답 : []
     정답률 : 알수없음

12. 초음파 탐상검사에서 결함에코 높이에 영향을 미치는 인자가 아닌 것은?
     1. 결함의 크기와 형상
     2. 초음파의 전달손실로의 감쇠
     3. 결함의 방향성과 사용 탐촉자의 주파수
     4. 동축 케이블의 임피던스 배합과 진동자 치수

     정답 : []
     정답률 : 알수없음

13. 주조품의 결함 중에서 정지한 주금(鑄金)과 주형(鑄型)의 상호 작용으로 생기는 결함은?
     1. 개재물
     2. 기공
     3. 탕계
     4. 라미네이션

     정답 : []
     정답률 : 알수없음

14. 다음 중 파가 진행하는 매질에서의 입자의 진동과 같은 것을 무엇이라 하는가?
     1. 주파수
     2. 펄스 폭
     3. 진폭
     4. 파장

     정답 : []
     정답률 : 알수없음

15. 다음 초음파 탐촉자 중 수신효율이 가장 우수한 탐촉자는?
     1. 티탄산바륨
     2. 황산리튬
     3. 수정
     4. 니오븀산납

     정답 : []
     정답률 : 알수없음

16. 펄스 반사법에 의한 초음파 탐상시험의 적용한계를 설명한 것으로 틀린 내용은?
     1. 결함의 종류나 형상을 식별하기가 곤란하다.
     2. 결정입자의 크기에 영향을 받지 않는다.
     3. 탐상면이나 기하학적 형상에 영향을 받는다.
     4. 표면결함에 대해서 자분탐상검사에 비해 검출확률이 떨어진다.

     정답 : []
     정답률 : 알수없음

17. 공진법으로 두께를 측정하고 있다. 공전주파수가 590kHz이고 재질의 음속이 5900m/s라면 이 재료의 두께는?
     1. 10㎜
     2. 5㎜
     3. 2㎜
     4. 1㎜

     정답 : []
     정답률 : 알수없음

18. 동일한 시험체를 탐상함에 있어, 같은 재질의 진동자로 만든 탐촉자를 사용한다고 할 때, 표면 근방의 결함검출에 유리한 탐촉자는?
     1. 펄스 폭이 큰 탐촉자
     2. 댐핑이 큰 탐촉자
     3. 대역폭이 작은 탐촉자
     4. Q값이 큰 탐촉자

     정답 : []
     정답률 : 알수없음

19. 집속 탐촉자에 대한 설명 중 맞는 것은?
     1. 집속방법에는 평면 진동자와 음향렌즈를 조합한 것과 구면 진동자를 사용하는 것이 있다.
     2. 초점거리는 진동자의 직경에 따라 결정된다.
     3. 다른 조건이 동일하면 주파수가 낮을수록 강하게 집속한다.
     4. 다른 조건이 동일하면 초점 길이가 길수록 강하에 집속한다.

     정답 : []
     정답률 : 알수없음

20. 다음 중 초음파 공진법에 사용하는 탐촉자의 압전재료로 사용하지 못하는 것은?
     1. X-cut 수정
     2. Y-cut 수정
     3. lithium sulfate
     4. ceramic titanate

     정답 : []
     정답률 : 알수없음

2과목 : 초음파탐상검사


21. 다음 중 일반적으로 Lamb파를 이용하는 검사품은?
     1. 단조품
     2.
     3. 박판
     4. 주괴(ingot)

     정답 : []
     정답률 : 알수없음

22. 그림과 같이(a)에서 (b)로 에코 간의 사이를 넓어지게 하거나 좁아지게 하는 기능을 하는 것은 무엇인가?

    

     1. 측정범위(sweep length)
     2. 음속 조정(velocity controller) 조절기
     3. 소인지연(sweep delay) 조절기
     4. 게이트 폭(gate width) 조절기

     정답 : []
     정답률 : 알수없음

23. 방사선 투과검사와 초음파 탐상검사를 병행하는 용접부를 검사한 결과 동일 결함에 대하여 방사선 투과검사는 불합격판정되었고, 초음파 탐상검사는 합격 판정되었을 때, 처리방법은?
     1. 방사선 투과검사 판정기준에 따라 불합격처리
     2. 초음파 탐상검사 판정기준에 따라 합격처리
     3. 방사선 투과검사로서 재검사
     4. 초음파 탐상검사로서 재검사

     정답 : []
     정답률 : 알수없음

24. 초음파 탐상기의 특성을 점검하는 항목 중 가장 중요한 3가지는 무엇인가?
     1. 증폭의 직선성, 브라운관의 크기, 최대감도
     2. 증폭의 직선성, 분해능, 시간축의 직선성
     3. 증폭의 직선성, 분해능, 최대 감도
     4. 증폭의 직선성, 시간축의 직선성, 브라운관의 크기

     정답 : []
     정답률 : 알수없음

25. 초음파 탐상방법에 대한 설명 중 틀린 것은?
     1. CRT횡축상의 에코위치로부터 그 반사면의 위치를 추정하는 것이 기능하다.
     2. CRT상의 결함 에코 높이로부터 결함의 크기를 추정할 수 있다.
     3. 펄스를 사용하기 때문에 반사체의 형상을 잘 알 수 있다.
     4. 수직탐상에서는 라미네이션은 잘 검출되지만 블로홀은 잘 검출되지 않는다.

     정답 : []
     정답률 : 알수없음

26. 다음 설명 중 옳게 기술된 것은?
     1. 경사각 탐촉자의 입사점과 굴절각을 측정할 경우 에코의 높이는 25~45%정도로 함이 가장 좋다.
     2. 초음파 탐촉자의 가장 수신 효율이 좋은 재질은 티탄산바륨이다.
     3. 판재의 경사각 탐상시 빠뜨리기 쉬운 결함은 표면에 평행인 결함이다.
     4. 심하게 경사진 시험재를 초음파 탐상시험할 때는 신호의 진폭을 증가시켜야 한다.

     정답 : []
     정답률 : 알수없음

27. 용접부의 경사각탐상시 X 개선면의 루트(root)부위 결함인 용입부족을 쉽게 검출할 수 있는 주사방법은?
     1. V 반사법
     2. K 크리프법
     3. 탬덤 주사법
     4. 투과법

     정답 : []
     정답률 : 알수없음

28. 경사각탐상시 용접 덧붙임을 제거한 상태에서 용접부의 가로 터짐(횡균열)등의 결함을 검출하기 위하여 탐촉자를 용접부 및 열영향부 위에 놓고 초음파 빔을 용접선 방향으로 돌려 용접선 방향으로 이동시키는 주사법은?
     1. 용접선상 주사
     2. 탠덤 주사
     3. 진자 주사
     4. 목돌림 주사

     정답 : []
     정답률 : 알수없음

29. 초음파 탐상시험 방법 가운데 결함의 유무는 알 수 있으나 위치는 알아내기 곤란한 방법은?
     1. 펄스 반사법
     2. 투과법
     3. 경사각법
     4. 표면파 탐상법

     정답 : []
     정답률 : 알수없음

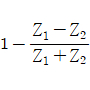
30. 직접접촉 수직탐촉자를 이용하여 판재의 두께측정을 할 경우 시간측 교정시 사용한 대비시험편이 재질이 판재의 재질과 다를 때 판재의 두께를 나타낸 식은?
     1.
     2.
     3.
     4.

     정답 : []
     정답률 : 알수없음

31. 초음파 탐상시험은 시험결과의 신뢰성을 확보하기 위해 많은 노력이 요구된다. 자동화를 위한 적합한 방안이라 생각되는 것은?
     1. 정량적인 결함평가 기술개발과 검사기술자의 자격 인정 및 훈련
     2. 수동화 등에 의한 기록성 향상
     3. 결함평가 기술에 따른 재현성을 위해 수동검사를 적극 활용
     4. 검사기술자의 자격 인정과 수동화를 통한 검사장비의 시스템화 구축

     정답 : []
     정답률 : 알수없음

32. 용접부를 경사각탐상할 경우 측정범위를 정확하게 조정하여 야만 되는 이유는?
     1. 결함의 패턴을 추정하기 위해서
     2. 결함의 위치를 추정하기 위해서
     3. 결함의 크기를 추정하기 위해서
     4. 결함의 길이를 추정하기 위해서

     정답 : []
     정답률 : 알수없음

33. TOFD(time of flight diffraction)기법이 이용하는 초음파의 특성은 무엇인가?
     1. 반사
     2. 굴절
     3. 산란
     4. 회절

     정답 : []
     정답률 : 알수없음

34. 다음 탐촉자 중 불감대 문제를 해결하여, 두께 측정에 우선적으로 이용할 수 있는 탐촉자는?
     1. 수직 탐촉자
     2. 경사각 탐촉자
     3. 지연-팁(delay-tip) 탐촉자
     4. 페인트-브러쉬 탐촉자

     정답 : []
     정답률 : 알수없음

35. 수직탐상에서 탐촉자의 진동자 치수보다 불연속의 길이가 큰 경우 불연속의 길이 측정에 널리 사용되는 방법은?
     1. 결함 끝단 에코법(tip echo technique)
     2. 경과 회절시간법(TOFD technique)
     3. 랜덤법(random technique)
     4. 6dB 내림법(6 dB technique)

     정답 : []
     정답률 : 알수없음

36. 같은 크기의 결함이 있을 때 초음파탐상시험으로 가장 발견하기 쉬운 결함은?
     1. 구형의 공동
     2. 초음파 진행방향과 수직인 균열
     3. 초음파 진행방향과 평행인 균열
     4. 이물질의 개재

     정답 : []
     정답률 : 알수없음

37. 초음파가 결함과의 각도가 얼마일 때 최대 에코를 얻을 수 있는가?
     1. 30°
     2. 45°
     3. 60°
     4. 90°

     정답 : []
     정답률 : 알수없음

38. 펄스 에코(pule echo)방식 초음파 탐상기의 펄서(pulser)에서 나오는 출력전압의 범위를 나타낸 것 중 가장 알맞은 것은 어느 것인가?
     1. 1∼10V
     2. 10∼100V
     3. 100∼1000V
     4. 1000∼10000V

     정답 : []
     정답률 : 알수없음

39. 다음은 초음파 탐상시 일반적인 사항이다. 올바르게 설명된 것은?
     1. 검사시기는 거친 마무리 후, 복잡한 절삭가공 후에 시험한다.
     2. 탐상방법은 제품 또는 재료의 치수나 표면 상태를 고려하며, 제품의 모양과는 무관하다.
     3. 공칭 주파수는 근거리 분해능은 고려 하나 원거리 분해능은 고려하지 않아도 된다,
     4. 사각 탐촉자의 굴절각은 판두께, 관의 살두께의 바깥지름의 비를 고려해야 한다.

     정답 : []
     정답률 : 알수없음

40. 종파 5900m/sec, 횡파 3236m/sec인 두께 1인치 시험체를 5MHz 수직탐촉자를 사용하여 적절히 물거리를 조절한 후 수침법으로 탐상하였다. 초음파 탐상기의 CRT 시간축 스크린을 5인치로 조절하였다면 제1저면 에코(B1)는 영점으로부터 다음 중 어디에 나타나겠는가? (단, 물에서의 속도 : 1500m/sec)
     1. 1/4인치
     2. 1/2인치
     3. 3/4인치
     4. 1인치

     정답 : []
     정답률 : 알수없음

3과목 : 초음파탐상관련규격및컴퓨터활용


41. ASEM 규격에서 수동 주사방법으로 탐상시 주사 속도는 어떻게 해야 하는가?
     1. 초당 4인치(100㎜)를 초과해서는 안된다.
     2. 초당 5인치(127㎜)를 초과해서는 안된다.
     3. 초당 6인치(152㎜)를 초과해서는 안된다.
     4. 초당 10인치(254㎜)를 초과해서는 안된다.

     정답 : []
     정답률 : 알수없음

42. 알루미늄 용접부의 초음파 경사각탐상시험에서 시험결과의 분류 중 1류는 홈의 길이가 어느 정도인가? (단, KS B 0897에 규정된 B종 홈이며 모재의 두께는 60㎜)
     1. 45㎜ 이하
     2. 35㎜ 이하
     3. 20㎜ 이하
     4. 15㎜ 이하

     정답 : []
     정답률 : 알수없음

43. ASEM sec. Ⅷ, Div.1에 따라 초음파 탐상 결과를 판정하고자 할 때 결함의 길이에 관계없이 불합격 처리되는 결함은 어느 것인가?
     1. 균열
     2. 기공
     3. 슬래그
     4. 블로홀

     정답 : []
     정답률 : 알수없음

44. KS B 0896의 규정에 의한 원둘레 이음 용접부의 경사를 위한 대비시험편은?
     1. RB-A4
     2. RB-A5
     3. RB-A6
     4. RB-A9

     정답 : []
     정답률 : 알수없음

45. 초음파 탐상시험에 관한 KS B 0817 내용으로 옳은 것은?
     1. 표준시험편의 종류는 5가지이다.
     2. 탐상도형 표시기호는 B,W,T 등이 있다.
     3. 판재의 결함은 3등급으로 나눈다.
     4. 일반적으로 채택되어 사용되는 경사각 탐촉자의 각은 35°,50°,60°,70°등이 있다.

     정답 : []
     정답률 : 알수없음

46. KS B 0535에서 경사각 탐촉자의 불감대 측정시 사용되는 구멍은?
     1. STB-A1의 ø1.5㎜ 관통구멍
     2. STB-A2의 ø4×4㎜ 구멍
     3. STB-A2의 ø1.5㎜ 관통구멍
     4. STB-A1의 ø2×2㎜ 구멍

     정답 : []
     정답률 : 알수없음

47. KS B 0896에서 경사각 탐상사 평가의 대상으로 하는 결함(홈)은? (단, 정밀탐상시)
     1. M 검출 레벨의 경우 최대 에코 높이가 30%를 초과하는 결함(홈)
     2. M 검출 레벨의 경우 최대 에코 높이가 M선을 초과하는 결함(홈)
     3. K 검출 레벨의 경우 최대 에코 높이가 M선을 초과하는 경우(홈)
     4. 최대 에코 높이가 40%를 초과하는 경우

     정답 : []
     정답률 : 알수없음

48. 시험장치의 기능이 적절한지 점검하기 위한 교정을 ASME sec.V Art.5에 따라 실시할 경우 그 시기가 적절치 못한 것은?
     1. 각 시험의 전, 후 실시
     2. 검사자가 교체되었을 경우 실시
     3. 탐상기의 기능 불량의 의심이 있을 때
     4. 매 3시간 간격으로 실시

     정답 : []
     정답률 : 알수없음

49. KS B 0831에 규정된 표준시험편 STB-A3는 용접부시험에 사용된다. 이 시험편의 주요 사용목적과 거리가 먼 것은?
     1. 경사각 탐촉자의 입사점 및 굴절각의 교정
     2. 측정범위 조정
     3. 탐상감도 조정
     4. 탐상기의 원거리 분해 등 측정

     정답 : []
     정답률 : 알수없음

50. KS B 0535에서 규정하고 있는 수직 탐촉자의 표시방법 중 첫 번째 기호나 나타내는 것은?
     1. 주파수 대역폭
     2. 공칭주파수
     3. 진동자의 공칭치수
     4. 형식

     정답 : []
     정답률 : 알수없음

51. ASEM sec.V Art.4에 따라 초음파탐상검사시 시험편의 곡률반지름이 100㎜일 때, 사용되어질 수 있는 보정블록의 곡률 반지름으로 맞는 것은?
     1. 80㎜
     2. 120㎜
     3. 200㎜
     4. 250㎜

     정답 : []
     정답률 : 알수없음

52. AWS D1.1에 의한 초음파 탐상시 튜브와 튜브, T-, K-, Y- 연결부를 제외한 시험체에서 적용범위는?
     1. 9㎜ 초과 25㎜ 이하
     2. 8㎜ 초과 200㎜ 이하
     3. 6㎜ 초과 250㎜ 이하
     4. 9㎜ 초과 200㎜ 이하

     정답 : []
     정답률 : 알수없음

53. ASME sec.V Art.5에서 주조품 검사시에 재료두께가 1인치일 때 경사각 탐상용 감도설정 시험편 구멍의 지름은?
     1. 1/4 인치
     2. 1/2 인치
     3. 3/8 인치
     4. 5/8인치

     정답 : []
     정답률 : 알수없음

54. ASME sec.V Art.4에 따라 압력용기를 초음파 탐상시험하는 경우에 기록해야 하는 것은?
     1. 초기 대비감응값의 20% 이상 신호
     2. 초기 대비감응값의 40% 이상 신호
     3. 초기 대비감응값의 50% 이상 신호
     4. 초기 대비감응값의 60% 이상 신호

     정답 : []
     정답률 : 알수없음

55. ASME sec.V SB-548에 의해 압력용기용 알루미늄 합금판에 대한 초음파 탐상시험을 실시하는 경우 최대 주사속도는?
     1. 6인치/초
     2. 8인치/초
     3. 10인치/초
     4. 12인치/초

     정답 : []
     정답률 : 알수없음

56. 다음 중 통신에서 데이터 신호 속도를 나타내는 단위는?
     1. mps
     2. bit
     3. bps
     4. word

     정답 : []
     정답률 : 알수없음

57. 프로그램을 실행파일로 만들기 위하여 에러를 검출하고 그 위치를 알아내어 고치는 것을 의미하는 것은?
     1. 목적 모듈(object module)
     2. 번역(translating)
     3. 디버깅(debugging)
     4. 문서화(documentation)

     정답 : []
     정답률 : 알수없음

58. 인터넷에서 어떤 사이트를 연결하면 연결한 사이트에 대한 데이터를 하드디스크에 저장하게된다. 인터넷 익스플로러의 경우 이런 데이터를 저장하는 폴더의 이름은?
     1. work
     2. my documents
     3. temp
     4. temporat, internet files

     정답 : []
     정답률 : 알수없음

59. 인터넷에 대한 설명으로 거리가 먼 것은?
     1. 전 세계의 컴퓨터를 하나의 거미줄과 같이 만들어 놓은 컴퓨터 네트워크 통신망이다.
     2. 인터넷에 연결되어 있는 컴퓨터의 수는 InterNIC에서 매일 정확히 집계된다.
     3. TCP/P라는 통신 규약을 이용해 전세계의 컴퓨터를 연결하고 있다.
     4. 인터넷을 “정보의 바다”라고도 표현한다.

     정답 : []
     정답률 : 알수없음

60. 다음 중 ( ) 안에 적절한 용어로 짝지어지 것은?

    

     1. a 클라이언트, b 서버, c 프로토콜
     2. a 서버, b 클라이언트, c 프로토콜
     3. a 프로토콜, b 서버, c 클라이언트
     4. a 클라이언트 b 프로토콜 c 서버

     정답 : []
     정답률 : 알수없음

4과목 : 금속재료학


61. 절삭성을 높이기 위한 쾌삭황동(hard brass)은 황동에 1.0~3.5%의 어떤 원소를 합금시킨 것이다.
     1. P
     2. Si
     3. Sb
     4. Pb

     정답 : []
     정답률 : 알수없음

62. 금속초미립자의 특성이 아닌 것은?
     1. 표면적이 커서 촉매로 이용된다.
     2. Cr계 합금 초미립자는 빛을 잘 흡수하므로 적외선 흡수 재료로 이용된다.
     3. Fe계 합금 초미립자는 금속덩어리보다 자성이 강하므로 자성재료로 이용된다.
     4. 저온에서 열저항이 매우 커서 열의 부도체이다.

     정답 : []
     정답률 : 알수없음

63. 0.2% 탐소강의 723℃ 선상에서의 초석 α와 오스테나이트(austenite)의 양은 약 얼마인가?
     1. 초석 α 80%, 오스테나이트 20%
     2. 초석 α 50%, 오스테나이트 50%
     3. 초석 α 20%, 오스테나이트 80%
     4. 초석 α 30%, 오스테나이트 70%

     정답 : []
     정답률 : 알수없음

64. 납과 주석 합금은 주로 베어링과 활자용으로 많이 사용되고 있다. 베어링합금과 관련이 없는 것은?
     1. white metal
     2. lead babbit
     3. tin babbit
     4. delta metal

     정답 : []
     정답률 : 알수없음

65. 0.4%C 강이 하부임계 냉각속도는 204℃/sec이며 상부임계 냉각속도는 600℃/sec이다. 만약 450℃/sec로 냉각시키면 그 조직은 어떻게 되겠는가?
     1. balder+martensite
     2. bainite+troostite
     3. troostite+martensite
     4. troostite+peallite

     정답 : []
     정답률 : 알수없음

66. 강의 담금질시 Ms점 및 Mf점의 온도에 영향을 가장 크게 미치는 것은?
     1. 오스테나이트의 양
     2. 소입온도
     3. 강의 화학조성
     4. 냉각속도

     정답 : []
     정답률 : 알수없음

67. 레데뷰라이트 조직에 대하여 설명한 것 중 잘못된 것은?
     1. 보통 백주철 조직에서 잘 나타난다.
     2. α와 Fe3C의 기계적 혼합물이다.
     3. 준 안정계에서 [L]c⇄[γ]E+[Fe3C]F의 반응이다.
     4. 보통 약 1145℃에서 행한다.

     정답 : []
     정답률 : 알수없음

68. 서브 제로(sub-zero)에 대한 설명 중 맞지 않는 것은?
     1. 0℃이하의 온도에서 냉각시키는 조작이다.
     2. 마텐자이트 변태를 중지시키기 위한 것이다.
     3. 마텐자이트 변태를 진행시키기 위한 것이다.
     4. 심랭처리라고도 한다.

     정답 : []
     정답률 : 알수없음

69. 동(Cu)의 결정구조는 FCC이다. 결정 격자가 3.61Å이라면 동의 밀도는? (단, 동의 원자량은 63.57g임)
     1. 약 89.7g/cm3
     2. 약 8.97g/cm3
     3. 약 4.49g/cm3
     4. 약 44.9g/cm3

     정답 : []
     정답률 : 알수없음

70. 순철의 자기변태와 동소변태를 설명한 것 중 맞는 것은?
     1. 동소 변태란 결정 격자가 변하지 않는 변태를 말한다.
     2. 자기변태는 결정 격자가 변하는 변태이다.
     3. 동소변태점은 A3점과 A4점이고 자기변태점은 768℃이다.
     4. 동소변태점은 A1점이고 자기변태 점은 923℃이다.

     정답 : []
     정답률 : 알수없음

71. 자심재료인 전기강판이나 변압기의 철심으로 적합한 것은?
     1. Rimmed 강
     2. Si 강
     3. Jominy 강
     4. Emmel 강

     정답 : []
     정답률 : 알수없음

72. 황동의 자연균열(season cracking)을 방지하기 위한 방법 중 틀린 것은?
     1. 도료나 아연도금을 한다.
     2. 응력제거 풀림을 한다.
     3. Sn 이나 Si를 첨가한다.
     4. Hg 및 그 화합물을 첨가한다.

     정답 : []
     정답률 : 알수없음

73. 재료의 내ㆍ외부의 열처리 효과에 차이가 생기는 현상은?
     1. 연화풀림
     2. 소성변형
     3. 질량효과
     4. 가공경화

     정답 : []
     정답률 : 알수없음

74. 침탄경화 처리 순서로 올바른 것은?
     1. 침탄처리→저온풀림→1ㆍ2차 담금질→뜨임 처리
     2. 1ㆍ2차 담금질→뜨임 처리→저온처리→침탄처리
     3. 저온처리→침탄처리→1ㆍ2차 담금질→뜨임 처리
     4. 뜨임 처리→저온처리→침탄처리→1ㆍ2차 담금질

     정답 : []
     정답률 : 알수없음

75. 티탄(Ti)의 특징으로 틀린 것은?
     1. 초음속 항공기의 보디(body), 송풍기 날개에 쓰인다.
     2. 바닷물에 강하고 용융점이 높다.
     3. 비중은 약 4.54 이다.
     4. 인장강도와 피로강도가 아주 작다

     정답 : []
     정답률 : 알수없음

76. 열전대선으로 사용되는 합금 중 최고사용온도가 가장 높은 재료는?
     1. chromel-alumel
     2. Fe-constantan
     3. Cu-constantan
     4. Pt-Pt.Rh

     정답 : []
     정답률 : 알수없음

77. 냉간 가공하면 금속결정 내부에 전위나 공격지점 같은 결함이 증가함으로써 변화하는 물리적ㆍ기계적 성질이 아닌 것은?
     1. 가공하면 전위의 집적(集積)에 의하여 경화한다.
     2. 가공으로 금속 내에 공격자 점이 증가하면 전기저항이 증가한다
     3. 가공으로 공격자점의 증가로 밀도가 감소한다.
     4. 가공경화에 의해 변태강도는 감소하나, 연신은 증가한다.

     정답 : []
     정답률 : 알수없음

78. Al 청동의 성질을 설명한 것으로 맞는 것은?
     1. 인장강도는 Al이 약 11%에서 최대치를 갖는다.
     2. 가공으로 금속 내에 공격자점이 증가하면 전기저항이 증가한다.
     3. 가공하면 공격자 점의 증가로 밀도가 감소한다.
     4. 가공경화에 의해 변태강도는 감소하나, 연신은 증가한다.

     정답 : []
     정답률 : 알수없음

79. 아연이 대기 중에서 산화되어 얇은 막을 형성하는 내용의 설명 중 틀린 것은?
     1. 막은 금속과 대기를 차단한다.
     2. 막은 공기 중의 습기를 차단한다.
     3. 막은 내부 부식을 방지한다
     4. 막을 통해 점점 부식되어진다

     정답 : []
     정답률 : 알수없음

80. 구상흑연 주철의 설명으로 맞는 것은 어느 것인가?
     1. 저탄소, 저규소의 주철이다
     2. 주방상태에서 흑연이 구상으로 정출한다
     3. 흑연의 구상화는 구리, 철을 첨가한다
     4. 인장강도는 20kgf/mm2이하이다.

     정답 : []
     정답률 : 알수없음

81. 산소-아세틸렌가스 절단에서 표준드래그의 길이는 보통 판 두께의 얼마 정도가 가장 적합한가?
     1. 1/2
     2. 1/3
     3. 1/4
     4. 1/5

     정답 : []
     정답률 : 알수없음

82. 다음 중 가스용접에서 용제(flox)를 사용하지 않고서는 용접을 가장 양호하게 할 수 있는 금속인 것은?
     1. 연강
     2. 구리 합금
     3. 주철
     4. 알루미늄

     정답 : []
     정답률 : 알수없음

83. 맞대기 용접을 할 때 모재의 영향을 방지하기 위하여 홈 표면에 다른 종류의 금속을 표면 피복 용접하는 것을 의미하는 용접 용어는?
     1. 버터링(buttering)
     2. 심용접(seam welding)
     3. 앤드 탭(end tap)
     4. 덧살(flash)

     정답 : []
     정답률 : 알수없음

84. 미그(MIG)용접에 가장 적합한 용적이행 방식은?
     1. 단락이행
     2. 스프레이 이행
     3. 입상이행
     4. 글로뷸러 이행

     정답 : []
     정답률 : 알수없음

85. 용접기의 정격 사용률이 40%이고, 정격 2차 전류가 400A일 때 실제 용접전류가 300A를 사용한 경우 허용사용률은 약몇 %인가?
     1. 53.3%
     2. 60%
     3. 71.1%
     4. 75%

     정답 : []
     정답률 : 알수없음

86. 용접봉 용제(flox)의 종류에 따라서 용접금속의 충격치가 다르다. 다음 중 그 값이 가장 우수하게 나오는 계(系)는 어느것인가?
     1. 일미나이트계(ilmeite계)
     2. 산화철계
     3. 티타니아계(titania계)
     4. 저수소계

     정답 : []
     정답률 : 알수없음

87. 용접부분의 뒷면을 따내든지 U형,H형의 용접 흠을 가공하기 위하여 깊은 홈을 파내는 가공에 가장 적합한 것은?
     1. 가스 가우징
     2. 스카핑
     3. 분말절단
     4. 플라스마 절단

     정답 : []
     정답률 : 알수없음

88. 용접시 발생하는 잔류응력 발생방지 및 발생한 잔류응력을 완화나 제거하기 위한 설명으로 잘못된 것은?
     1. 잔류응력의 억제를 위하여 자기 등을 활용한 구속용접을 한다
     2. 용접시 발생한 잔류응력을 완화하기 위하여 풀림 처리를 한다
     3. 잔류응력의 발생을 억제하기 위한 수단으로 스킵법을 사용한다
     4. 잔류응력의 제거방법에는 노내플림, 국부풀림, 피닝, 저온능력 완화법 등이 있다

     정답 : []
     정답률 : 알수없음

89. 내용적이 40L인 산소용기의 압력계에 90기압이 나타났다면 프랑스식 팁 300번으로 이론적으로 몇 시간 용접할 수 있는 가? (단, 산소와 아세틸렌의 혼합비는 1:1이다.)
     1. 3시간
     2. 6시간
     3. 12시간
     4. 24시간

     정답 : []
     정답률 : 알수없음

90. 피복 아크 용접법에 대한 설명 중 틀린 것은?
     1. 용접 장비가 간단하다
     2. 전자세 용접이 가능하다
     3. 옥외 용접이 가능하다
     4. 보호가스가 필요하다

     정답 : []
     정답률 : 알수없음

91. 용접시 변형과 잔류응력을 용접시공조건에 의해서 감소시키는 방법으로 틀린 것은?
     1. 용접 후 용접금속부위 변형을 교정하는 가우징법
     2. 용접 전에 변형방지대책을 강구하는 억제법, 역변형법
     3. 용접시공에 의한 대칭법, 후진법, 스킵법
     4. 용접 중 모재의 입열을 막아 변형을 방지하는 도열법

     정답 : []
     정답률 : 알수없음

92. 점 용접(spet welding)의 특징이 아닌 것은?
     1. 표면이 평평하다
     2. 재료가 절약된다
     3. 산화 및 변질부분이 적다
     4. 전기를 사용하지 않는다

     정답 : []
     정답률 : 알수없음

93. 아크용접(arc welding)에서 피복용접봉을 사용하는 이유로 가장 적합한 것은 어느 것인가?
     1. 용접 전압을 떨어뜨린다
     2. 용착 금속의 성질을 양호하게 한다
     3. 소비 전력을 적게 한다
     4. 용접기의 수명을 길게 한다

     정답 : []
     정답률 : 알수없음

94. 불활성가스 금속 아크용접(MIG)에서 사용되는 용접전원 특성으로 가장 적합한 것은?
     1. 수하특성 또는 상승특성
     2. 정전압특성 또는 상승특성
     3. 정전류특성 또는 상승특성
     4. 아크 부특성 또는 상승특성

     정답 : []
     정답률 : 알수없음

95. 가스용접시 역화의 원인이 될 수 없는 것은?
     1. 용접 팁의 조임 불량시
     2. 용접 토치가 냉각되었을 경우
     3. 토치의 팁 끝에 이물질이 부착시
     4. 아세틸렌가스의 압력이 낮을 때

     정답 : []
     정답률 : 알수없음

96. 다음 중 용접물의 일반적인 변형 교정방법이 아닌 것은?
     1. 얇은 판에 대한 점수축법
     2. 절단에 의한 성형과 재용접하는 방법
     3. 가열 후 해머질하는 법
     4. 형재에 대한 곡선냉각법

     정답 : []
     정답률 : 알수없음

97. 신규 충전된 용해 아세틸렌 용기 전체 무게가 45kgf이고 사용 후의 공병의 무게가 40kgf이였다면 1kgf/cm2에서 사용한 가스량은 약 몇 L 정도인가?
     1. 1800
     2. 3600
     3. 4525
     4. 7000

     정답 : []
     정답률 : 알수없음

98. 불활성 가스 아크용접에서 청정작용의 효과를 가장 많이 얻을 수 있는 용접조건인 것은?
     1. 헬륨 가스+직류정극성
     2. 헬륨 가스+직류역극성
     3. 아르곤 가스+직류성극성
     4. 아르곤 가스+직류역극성

     정답 : []
     정답률 : 알수없음

99. 피복 아크 용접에서 용접봉의 용융속도를 가장 적합하게 나타낸 것은?
     1. 단위 시간당 소비되는 용접봉의 길이 또는 무게
     2. 단위 시간당 용착되는 용착금속의 총중량
     3. 1시간당 소비되는 용접봉의 무게
     4. 1일에 소비되는 용접봉의 총 중량

     정답 : []
     정답률 : 알수없음

100. 서브머지드 아크 용접법에 대한 다음 설명 중 틀린 것은?
     1. 용접 와이어에는 피복이 되어 있지 않으며, 용제에 의한 야금작용으로 용접금속의 품질을 양호하게 할 수 있다
     2. 피복 금속 아크 용접법보다 능률적이나 루트 간격이 너무 크면 떨어질 위험이 있다.
     3. 피복 금속 아크 용접법보다 용입이 얕으나, 전자세 용접에 적용되므로 능률적이다.
     4. 아크는 입상 플럭스에 잠겨 있으니 와이어에 대전류를 흘려줄 수 있고 열에너지의 손실도 적다.

     정답 : []
     정답률 : 알수없음


정 답 지

1

2

3

4

5

6

7

8

9

10

11

12

13

14

15

16

17

18

19

20

21

22

23

24

25

26

27

28

29

30

31

32

33

34

35

36

37

38

39

40

41

42

43

44

45

46

47

48

49

50

51

52

53

54

55

56

57

58

59

60

61

62

63

64

65

66

67

68

69

70

71

72

73

74

75

76

77

78

79

80

81

82

83

84

85

86

87

88

89

90

91

92

93

94

95

96

97

98

99

100

초음파비파괴검사기사(구) 필기 기출문제(해설) 및 CBT 2005년08월07일을 이용해 주셔서 감사합니다.
, 필기, 기출문제, 전자문제집, CBT, 온라인, 모의테스트, 모의고사



List of Articles
번호 제목 글쓴이 날짜 조회 수
3620 초음파비파괴검사기사(구) 필기 기출문제(해설) 및 CBT 2003년05월25일(3188) new 좋은아빠되기 2025.10.07 0
3619 초음파비파괴검사기사(구) 필기 기출문제(해설) 및 CBT 2003년08월31일(3189) new 좋은아빠되기 2025.10.07 1
3618 초음파비파괴검사기사(구) 필기 기출문제(해설) 및 CBT 2004년03월07일(3190) new 좋은아빠되기 2025.10.07 0
3617 초음파비파괴검사기사(구) 필기 기출문제(해설) 및 CBT 2004년09월05일(3191) new 좋은아빠되기 2025.10.07 1
3616 초음파비파괴검사기사(구) 필기 기출문제(해설) 및 CBT 2005년03월06일(3192) new 좋은아빠되기 2025.10.07 0
3615 초음파비파괴검사기사(구) 필기 기출문제(해설) 및 CBT 2005년03월20일(3193) new 좋은아빠되기 2025.10.07 1
» 초음파비파괴검사기사(구) 필기 기출문제(해설) 및 CBT 2005년08월07일(3194) new 좋은아빠되기 2025.10.07 0
3613 초음파비파괴검사기사(구) 필기 기출문제(해설) 및 CBT 2006년08월06일(3195) new 좋은아빠되기 2025.10.07 1
3612 초음파비파괴검사기사(구) 필기 기출문제(해설) 및 CBT 2007년08월05일(3196) new 좋은아빠되기 2025.10.07 0
3611 초음파비파괴검사기사(구) 필기 기출문제(해설) 및 CBT 2008년07월27일(3197) new 좋은아빠되기 2025.10.07 1
3610 초음파비파괴검사기사(구) 필기 기출문제(해설) 및 CBT 2009년03월01일(3198) new 좋은아빠되기 2025.10.07 0
3609 초음파비파괴검사기사(구) 필기 기출문제(해설) 및 CBT 2009년07월26일(3199) new 좋은아빠되기 2025.10.07 1
3608 초음파비파괴검사기사(구) 필기 기출문제(해설) 및 CBT 2010년03월07일(3200) new 좋은아빠되기 2025.10.07 0
3607 초음파비파괴검사기사(구) 필기 기출문제(해설) 및 CBT 2010년07월25일(3201) new 좋은아빠되기 2025.10.07 1
3606 초음파비파괴검사기사(구) 필기 기출문제(해설) 및 CBT 2011년03월20일(3202) new 좋은아빠되기 2025.10.07 0
3605 초음파비파괴검사기사(구) 필기 기출문제(해설) 및 CBT 2011년08월21일(3203) new 좋은아빠되기 2025.10.07 1
3604 초음파비파괴검사기사(구) 필기 기출문제(해설) 및 CBT 2012년03월04일(3204) new 좋은아빠되기 2025.10.07 0
3603 초음파비파괴검사기사(구) 필기 기출문제(해설) 및 CBT 2012년08월26일(3205) new 좋은아빠되기 2025.10.07 1
3602 초음파비파괴검사기사(구) 필기 기출문제(해설) 및 CBT 2013년03월10일(3206) new 좋은아빠되기 2025.10.07 0
3601 초음파비파괴검사기사(구) 필기 기출문제(해설) 및 CBT 2013년08월18일(3207) new 좋은아빠되기 2025.10.07 1
Board Pagination Prev 1 ... 142 143 144 145 146 147 148 149 150 151 ... 327 Next
/ 327