자격증 필기 기출문제



폐기물처리산업기사 필기 기출문제(해설) 및 CBT 2005년05월29일(3501)

최강 자격증 기출문제 전자문제집 CBT : www.comcbt.com


전자문제집 CBT란?

종이 문제집이 아닌 인터넷으로 문제를 풀고 자동으로 채점하며 모의고사, 오답 노트, 해설까지 제공하는
무료 기출문제 학습 프로그램으로 실제 상설검정에서 사용하는 OMR 형식의 CBT를 제공합니다.


최신 폐기물처리산업기사 필기 기출문제 : [다운로드]

1과목 : 폐기물개론


1. 함수율이 각각 45%와 93%인 도시 쓰레기와 하수슬러지를 함께 매립하려 한다. 쓰레기와 슬러지를 중량비로 8 : 2로 혼합할 때 혼합체의 함수율은?
     1. 35.4%
     2. 54.6%
     3. 62.1%
     4. 72.1%

     정답 : []
     정답률 : 알수없음

2. 메탄의 고발열량 Hh가 9000kcal/Nm3 일 때 저위발열량은?
     1. 8040kcal/Nm3
     2. 7940kcal/Nm3
     3. 8135kcal/Nm3
     4. 8945kcal/Nm3

     정답 : []
     정답률 : 알수없음

3. 쓰레기 수거차 1대가 주당 수거해야할 콘테이너수가 20개이고, 콘테이너 1개를 수거하는데 2시간이 소요된다. 만약 하루 작업시간이 8시간이고, 작업시간 중 15%는 수거이외의 일에 소모한다면 주당 몇 일을 작업해야 하는가?
     1. 4일
     2. 5일
     3. 6일
     4. 7일

     정답 : []
     정답률 : 알수없음

4. 정해진 수거일에 맞추어 쓰레기 저장용기를 연석에 갖다놓으면 수거차량이 용기를 비우고 빈 용기는 주인이 찾아가는 쓰레기 수거형태는?
     1. set out set back
     2. curb
     3. set out
     4. alley

     정답 : []
     정답률 : 알수없음

5. 파쇄처리에 따른 비표면적의 증가효과와 가장 거리가 먼 것은?
     1. 소각처리시 연소 효율의 향상
     2. 수거시 비산먼지 발생방지 효율의 향상
     3. 열분해시 반응 효율의 향상
     4. 퇴비화시 발효 효율의 향상

     정답 : []
     정답률 : 알수없음

6. 폐기물의 성질을 조사하기 위해 시료를 채취하였다. 이 때 사용한 채취 방법으로 원추 4분법을 이용하여 4회 실시한 후 시료를 얻었다. 만일 초기에 조대형 쓰레기를 선별하여 무게를 측정한 결과 60㎏이라면 이 중 몇 ㎏이 시료에 포함되어야 하는가? (단, 조대형쓰레기의 비중은 동일하다고 가정한다.)
     1. 60㎏
     2. 15㎏
     3. 7.5㎏
     4. 3.75㎏

     정답 : []
     정답률 : 알수없음

7. 폐기물의 새로운 수송수단 중 Pipeline 수송에 대한 설명으로 가장 거리가 먼 것은?
     1. 유지관리, 수송능력 등의 문제를 고려할 때 초기투자비가 높은 방법이라 할 수 있다.
     2. 자동화 무공해화, 안전화 등의 장점이 있다.
     3. 조대쓰레기에 대한 파쇄, 압축 등의 전처리가 필요하다.
     4. 쓰레기 발생밀도가 낮은 곳에서 사용이 가능하다.

     정답 : []
     정답률 : 알수없음

8. 수분이 75%인 젖은 쓰레기를 풍건시켜서 수분이 60%로 되었다면 건조전 쓰레기에 비하여 중량은 얼마나 감소되었는가? (단, 쓰레기 비중은 1.0으로 가정한다)
     1. 7.5%
     2. 17.5%
     3. 27.5%
     4. 37.5%

     정답 : []
     정답률 : 알수없음

9. 공정시험법에 따른 폐기물시료의 건조 전·후의 무게차가 0.375kg/kg(시료)이고 회분함량이 23.7%(중량비)라고 하면 가연분 함량은?
     1. 37.5%
     2. 38.8%
     3. 61.2%
     4. 76.3%

     정답 : []
     정답률 : 알수없음

10. 쓰레기 관리체계에서 가장 비용이 많이 드는 과정은?
     1. 수거 및 운반
     2. 처리
     3. 저장
     4. 처분

     정답 : []
     정답률 : 알수없음

11. 어느 시료의 분석결과 수분 5%, 회분 45%, 고정탄소 30%, 휘발분 20%이고 원소분석결과 휘발분중 수소 20%, 황 10%, 산소 30%, 탄소 40% 일 때 저위발열량(kcal/kg)은? (단, 고위발열량 = 4,233 kcal/kg)
     1. 3649
     2. 3957
     3. 3987
     4. 4012

     정답 : []
     정답률 : 알수없음

12. 다음 중 쓰레기의 발생량 조사 방법이 아닌 것은?
     1. 경향법
     2. 적재차량 계수분석
     3. 직접 계근법
     4. 물질 수지법

     정답 : []
     정답률 : 알수없음

13. 폐기물의 관리에 있어서 가장 중점을 두어야 할 우선순위는?
     1. 재회수, 재이용 및 재활용
     2. 소각 및 처리
     3. 발생원에서의 감량화
     4. 최종 처분

     정답 : []
     정답률 : 알수없음

14. 다음 중 자력선별에서 사용하는 자력의 단위는?
     1. emf
     2. mV(미리 볼트)
     3. T(테슬라)
     4. F(파라데이)

     정답 : []
     정답률 : 알수없음

15. 폐기물의 강열감량은 다음 중 어떻게 산출되는가?
     1. 강열감량 = 수분함량 + 가연분함량 + 회분함량
     2. 강열감량 = 가연분함량 + 회분함량
     3. 강열감량 = 수분함량 + 회분함량
     4. 강열감량 = 수분함량 + 가연분함량

     정답 : []
     정답률 : 알수없음

16. 다음의 삼성분 조성을 가진 폐기물 중 저위발열량이 가장 클 것으로 추정되는 것은?
     1. 70% 수분 + 20% 가연분 + 10% 회분
     2. 60% 수분 + 15% 가연분 + 25% 회분
     3. 50% 수분 + 10% 가연분 + 40% 회분
     4. 40% 수분 + 5% 가연분 + 55% 회분

     정답 : []
     정답률 : 알수없음

17. 생활폐기물을 수거 운반하고자 할 때의 고려사항으로 가장 거리가 먼 것은?
     1. 수거빈도
     2. 수거거리
     3. 쓰레기통 모양
     4. 수거구역

     정답 : []
     정답률 : 알수없음

18. 폐기물의 발열량을 측정할 수 있는 방법이 아닌 것은?
     1. 고형물량 측정을 통한 계산
     2. 단열열량계 이용
     3. 쓰레기 조성에 의한 추정식 이용
     4. 원소분석값을 이용한 계산

     정답 : []
     정답률 : 알수없음

19. 적환장에 대한 설명으로 가장 옳은 것은?
     1. 주위 민원을 피하기 위해 적환방법은 반드시 직접투하식을 택한다.
     2. 쓰레기를 대용량 용기 및 대형차량으로 수거시 더욱 필요하다.
     3. 적환장의 위치는 쓰레기 발생량의 무게 중심에 둔다.
     4. 최종 처분지 근처에 두는 것이 유리하다.

     정답 : []
     정답률 : 알수없음

20. 다음 설명 중 옳지 않은 것은?
     1. man·hour/ton은 수거인부 1인이 1ton의 폐기물을 수거하는데 소요되는 시간을 말한다.
     2. service/day/truck은 수거트럭 1대당 1일 수거가옥수를 말한다.
     3. service/man/hour은 수거인부 1인이 1시간에 수거하는 폐기물량을 말한다.
     4. ton/day/truck은 수거트럭 1대당 1일 수거하는 폐기물량을 말한다.

     정답 : []
     정답률 : 알수없음

2과목 : 폐기물처리기술


21. 다음 중 같은 조건하에서 혐기성 처리를 할 때 슬러지 생산량이 가장 많은 것은?
     1. Carbohydrate(탄수화물)
     2. Protein(단백질)
     3. Lipid(지방)
     4. Amino acid(아미노산)

     정답 : []
     정답률 : 알수없음

22. 희석포기 방식의 분뇨처리에 있어서 1차 침전지에서 분뇨1000m3/day가 유입하고 희석수 1000m3/day를 사용하여 활성슬러지법으로 처리하여 최종 침전지에서 최고 50%까지 반송한다고 한다. 반송슬러지 펌프의 용량(최고치기준)은? (단, 안전율은 고려하지 않음)
     1. 0.3m3/분
     2. 0.5m3/분
     3. 0.7m3/분
     4. 1.0m3/분

     정답 : []
     정답률 : 알수없음

23. 분자량이 114인 옥탄이 완전연소되는 경우에 공기연료비(AFR,무게기준)은?
     1. 13kg 공기/kg 연료
     2. 15kg 공기/kg 연료
     3. 17kg 공기/kg 연료
     4. 19kg 공기/kg 연료

     정답 : []
     정답률 : 알수없음

24. 40ton/hr 규모의 시설에서 평균크기가 30.5cm인 혼합된 도시폐기물을 최종크기 5.1cm로 파쇄하기 위한 동력요구량(KW)은? (단, 킥의 법칙 적용 : E= C·ln(ℓ1/ℓ2), 평균크기 15.2cm 에서 5.1cm로 파쇄하기 위하여 필요한 에너지소모율은 14.9KW·hr/ton )
     1. 785
     2. 894
     3. 973
     4. 1089

     정답 : []
     정답률 : 알수없음

25. 고화처리방법 중 열가소성 플라스틱법의 장점이 아닌 것은?
     1. 용출 손실률은 시멘트 기초법에 비해 상당히 낮다.
     2. 대부분의 매트릭스 물질은 수용액의 침투에 저항성이 매우 크다.
     3. 높은 온도에서 분해되는 물질에 주로 사용한다.
     4. 고화처리된 폐기물성분을 회수하여 재활용 할 수 있다.

     정답 : []
     정답률 : 알수없음

26. 중유 300kg/hr를 과잉공기계수 1.2로 연소시킬 때 연소실로 주입되는 공기 온도를 20℃에서 220℃로 올리기 위하여 요구되는 열량은? (단, 중유의 저위발열량 10000kcal/kg, 이론공기량은 10Sm3/kg, 공기의 평균 비열은 0.31kcal/Sm3·℃ )
     1. 203200kcal/hr
     2. 223200kcal/hr
     3. 253200kcal/hr
     4. 293200kcal/hr

     정답 : []
     정답률 : 알수없음

27. 스토커 소각로 내에서의 연소공정으로 가장 옳은 것은?
     1. 건조→휘발성생성→표면승온→착화→고정탄소의 표면연소→불꽃이동연소
     2. 건조→휘발성생성→표면승온→착화→불꽃이동연소→고정탄소의 표면연소
     3. 건조→표면승온→휘발성생성→착화→고정탄소의 표면연소→불꽃이동연소
     4. 건조→표면승온→휘발성생성→착화→불꽃이동연소→고정탄소의 표면연소

     정답 : []
     정답률 : 알수없음

28. 퇴비화 공정의 운영인자 중 C/N 비에 관한 설명으로 옳지 않은 것은?
     1. C는 퇴비화 미생물의 에너지원이며 N는 미생물을 구성하는 인자가 된다.
     2. C/N가 높을 때(80이상) 질소과잉 현상으로 퇴비화반응이 느려진다.
     3. 퇴비화 초기 C/N 비는 25~40 정도가 적당하다.
     4. C/N가 낮을 때(20이하) 유기질소가 암모니아화하여 악취가 발생될 가능성이 높다.

     정답 : []
     정답률 : 알수없음

29. 1일 10톤 폐기물을 소각처리하기 위한 노의 용적(m3)은? (단, 저위발열량이 700kcal/kg, 노내 열부하는 20,000kcal/m3·hr, 1일 가동시간 14시간 )
     1. 15
     2. 20
     3. 25
     4. 30

     정답 : []
     정답률 : 알수없음

30. 해안매립공법에 대한 설명으로 옳지 않은 것은?
     1. 순차투입방법은 호안측으로 부터 순차적으로 쓰레기를 투입하여 육지화하는 방법이다.
     2. 수심이 깊은 처분장에서는 건설비 과다로 내수를 완전히 배제하기가 곤란한 경우가 많아 순차투입방법을 택하는 경우가 많다.
     3. 처분장은 면적이 크고 1일 처분량이 많으며 처분장이 평면이다.
     4. 수중부에 쓰레기를 깔고 압축작업과 복토를 실시하므로 근본적으로 내륙매립과 같다.

     정답 : []
     정답률 : 알수없음

31. 3785m3/d 규모의 하수처리장에서 유입수 BOD와 SS의 농도는 각각 200mg/ℓ이고, 1차 침전지에 의하여 SS는 50% BOD는 30%가 제거된다고 할 때 1차 침전지에서의 슬러지양은?
     1. 205.6kg/d
     2. 255.6kg/d
     3. 317.2kg/d
     4. 378.5kg/d

     정답 : []
     정답률 : 알수없음

32. 표면차수막 공법이 아닌 것은?
     1. 지하연속벽
     2. 차수시트
     3. 포장방법
     4. 어스댐코아

     정답 : []
     정답률 : 알수없음

33. 지하수가 침출수로 오염되었을 경우 침출수의 이동속도를 구하기 위해 A, B 지점에서 시추를 한 결과, 두 지점간의 지하수위의 차이가 2m 이고 두 지점간의 거리가 200m 인경우 침출수의 이동속도는? (단, Darcy의 식을 이용하여 계산하시오. 토양의 투수계수는 10-3 m/day, Darcy′s eq : Q=KA(dh/dl))
     1. 10-2 m/day
     2. 10-4 m/day
     3. 10-5 m/day
     4. 10-7 m/day

     정답 : []
     정답률 : 알수없음

34. 일일복토에 사용하는데 가장 적합한 토양은?
     1. 통기성이 나쁜 점성토계의 토양
     2. 투수성, 통기성이 좋은 사질토계의 토양
     3. 부식물질을 적절히 함유한 양토계 토양
     4. 적당한 규격에 맞춘 slag

     정답 : []
     정답률 : 알수없음

35. 고형분 20%의 주방 찌꺼기 12톤이 있다. 소각을 위하여 함수율이 40%되게 건조시켰다면 이 때의 무게는? (단, 비중은 1.0, 건조시 고형분의 손실은 없다.)
     1. 3톤
     2. 4톤
     3. 5.4톤
     4. 6톤

     정답 : []
     정답률 : 알수없음

36. 폐기물 매립지에서 생성되는 가스에 관한 설명으로 옳지 않은 것은?
     1. 생성가스는 토양입자 사이로 이동한다.
     2. 토양입자가 수분으로 포화되면 메탄가스의 이동이 곤란하다.
     3. 생성가스 내의 탄산가스는 물에 용해되어 이동할 수 있다.
     4. 생성가스 내의 메탄가스는 무색무취이지만 공기 내의 함량이 1∼5%이면 폭발할 수 있다.

     정답 : []
     정답률 : 알수없음

37. 하수처리 슬러지의 퇴비화법과 관계가 없는 것은?
     1. Dano process
     2. Vertical silo digestion
     3. Naturalizer
     4. Dazulyette process

     정답 : []
     정답률 : 알수없음

38. 일반적으로 탈수에 이용되지 않는 방법은?
     1. 부상분리
     2. 진공여과
     3. 원심분리
     4. 가압여과

     정답 : []
     정답률 : 알수없음

39. 프로판(C3H8) 1Sm3의 연소에 필요한 이론공기량은?
     1. 5Sm3
     2. 7Sm3
     3. 23.8Sm3
     4. 33.3Sm3

     정답 : []
     정답률 : 알수없음

40. 다음은 퇴비화 과정 중에 출현하는 미생물 및 분해작용에 대한 설명이다. 옳지 않은 것은?
     1. 퇴비화는 중온균과 고온균이 주된 역할을 한다.
     2. 고온영역에서는 세균과 방사선균이 분해에 주된 역할을 한다.
     3. 중온영역에서는 사상균(곰팡이)이 분해에 주된 역할을 한다.
     4. 초기에는 중온성진균과 세균이 주로 분해에 주된 역할을 한다.

     정답 : []
     정답률 : 알수없음

3과목 : 폐기물 공정시험 기준(방법)


41. 대상폐기물의 양이 400톤일 때 실험을 위한 시료는 최소한 몇 개가 필요하겠는가?
     1. 15
     2. 20
     3. 25
     4. 30

     정답 : []
     정답률 : 알수없음

42. 원자흡광광도법에서 검량선 작성과 정량법에 대한 설명 중 옳지 않은 것은?
     1. 정량을 행하는 경우 직선성이 좋은 농도의 영역을 사용하여야 한다.
     2. 검량선은 적어도 3종류 이상의 농도의 표준시료 용액에 대하여 흡광도를 측정한다.
     3. 흡광도는 가로대, 표준물질의 농도는 세로대에 취하여 그래프를 그려 작성한다.
     4. 검량선은 일반적으로 저농도 영역에서는 직선성을, 고농도 영역에서는 휘어진다.

     정답 : []
     정답률 : 알수없음

43. 시안을 피리딘-피라졸론법으로 정량 시 황화합물이 함유된 시료는 무엇을 넣어 제거하는가?
     1. 과산화수소수용액
     2. 염산용액
     3. 초산아연용액
     4. 에틸알콜용액

     정답 : []
     정답률 : 알수없음

44. 1N-수산화나트륨 용액 500mL를 조제하는데 필요한 20% W/V 수산화나트륨 용액 양(mL)은? (단, NaOH 분자량 = 40)
     1. 150
     2. 100
     3. 50
     4. 25

     정답 : []
     정답률 : 알수없음

45. 잔류염소가 함유된 시안측정 시료는 잔류염소를 제거하기 위해 무엇을 넣는가?
     1. 초산아연용액(10W/V %)
     2. L-아스코르빈산용액(10W/V %)
     3. 10% 황산제일철 암모늄 용액
     4. 5% 피로인산나트륨 용액

     정답 : []
     정답률 : 알수없음

46. 카드뮴을 원자흡광광도법으로 분석할 때 간섭이 가장 큰 물질은?
     1. 염화나트륨
     2. 구리이온
     3. 염산
     4. 과염소산

     정답 : []
     정답률 : 알수없음

47. 다음 시료채취 시 무색경질의 유리병 만을 사용해야 하는 시료가 아닌 것은?
     1. 노말헥산 추출물질
     2. 유기인
     3. 폴리크로리네이티드비페닐
     4. 시안화물

     정답 : []
     정답률 : 알수없음

48. 다음은 흡광광도법에 의한 납의 측정원리를 설명한 것이다. ( ) 안의 알맞는 시약은?

    

     1. ① 디티존, ② 사염화탄소
     2. ① 디티존, ② 클로로포름
     3. ① DDTC-MIBK, ② 사염화탄소
     4. ① DDTC-MIBK, ② 초산부틸

     정답 : []
     정답률 : 알수없음

49. 가스크로마토그래피법에 의한 유기인 분석에 대한 설명 중 옳지 않은 것은?
     1. 시료의 추출을 위하여 크로마토그래피용 노말헥산을 사용한다.
     2. 검출기는 열전도도 검출기(TCD)를 사용한다.
     3. 농축장치로 구데르나다니쉬형농축기 또는 회전증발농축기를 사용한다.
     4. 운반가스는 질소 또는 헬륨을 사용하여 유기인 화합물이 3∼30분간에 유출될 수 있도록 유량을 조절한다.

     정답 : []
     정답률 : 알수없음

50. Lambert - Beer법칙에서 강도의 단색광이 정색액을 통과할 때 그 빛의 90%가 흡수된다면 흡광도는?
     1. 1.0
     2. 0.8
     3. 0.6
     4. 0.4

     정답 : []
     정답률 : 알수없음

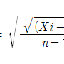
51. 실험실에서 폐기물의 수분을 측정하기 위해 다음과 같은 결과를 얻었다 폐기물의 수분함량은?

    

     1. 25.3%
     2. 35.5%
     3. 43.5%
     4. 50.6%

     정답 : []
     정답률 : 알수없음

52. 이온전극법으로 Na+, K+, NH4+ 이온을 측정하는데 가장 적당한 전극은?
     1. 고체막 전극
     2. 격막형 전극
     3. 유리막 전극
     4. 활성막 전극

     정답 : []
     정답률 : 알수없음

53. 기름성분을 분석하기 위한 노말헥산 추출시험법에서 노말헥산을 증발시키기 위한 적용온도는?
     1. 60℃
     2. 80℃
     3. 90℃
     4. 100℃

     정답 : []
     정답률 : 알수없음

54. 시료의 전처리 방법 중 마이크로파에 의한 유기물 분해에 대한 설명으로 옳지 않은 것은?
     1. 마이크로파 영역에서 극성분자나 이온이 쌍극자 모멘트와 이온전도를 일으켜 온도가 상승하는 원리를 이용한 방법이다.
     2. 마이크로파를 발생 시키려면 마그네트론을 주로 쓰며 전송에는 입체회로를 주로 쓴다.
     3. 사용되는 Oven 내부는 내산성을 위해 플루오로카본 등으로 코팅되어 있어야 하고 실험자의 보호를 위하여 내부공기를 2.8m3/min 이상으로 환기를 시켜야한다.
     4. 밀폐형 용기는 마이크로파를 흡수하지 않는 재질로 200m3의 고온과 120~200psi의 압력에서 견딜 수 있어야하며 주로 PE(Poly ethylene)를 사용한다.

     정답 : []
     정답률 : 알수없음

55. 비소의 폐기물공정시헙방법상 측정방법에 대한 설명 중 옳지 않은 것은?
     1. 염화제일주석으로 시료중의 비소를 3가 비소로 환원시킨다.
     2. 원자흡광광도법으로 비소를 측정할 때 아세틸렌-아산화질소 불꽃을 사용한다.
     3. 환원된 3가 비소에 아연분말을 넣어서 비화수소를 발생시킨다.
     4. 흡광광도법에서는 발생된 비화수소를 디에틸디티오카르바민산은의 피리딘 용액에 흡수시킨다.

     정답 : []
     정답률 : 알수없음

56. 가스크로마토그래프법에 관한 사항이다. 다음 검출기 중 유기인화합물의 분석에 가장 적당한 것은?
     1. 열전도도 검출기
     2. 전자포획 검출기
     3. 불꽃광도 검출기
     4. 불꽃열이온 검출기

     정답 : []
     정답률 : 알수없음
     <문제 해설>
FID 불꽃열이온검출기: 모든 유기화합물에 감도 좋지만 원소 선택성은 없음 즉 인만 콕 집어내진 못함
FPD 불꽃광도검출기: 황,인 같은 특정원소에서만 나오는 특정파장의 빛을 검출. 유기인화합물에 가장 적합
[해설작성자 : 간둥]

57. 수분측정에 관한 사항 중 옳지 않은 것은?
     1. 시료를 105~110℃의 건조기에서 건조시킨다.
     2. 시료를 증발접시에 넣어 건조기에서 건조시킨다.
     3. 방냉은 황산데시케이터안에서 실시한다.
     4. 시료를 넣은 용기는 하부면적이 좁은 것을 사용한다.

     정답 : []
     정답률 : 알수없음

58. 폐기물공정시험법에서 제반시험 조작은 따로 규정이 없는 한 판정기준으로 규정한 온도는?
     1. 상온
     2. 실온
     3. 표준온도
     4. 수욕상 또는 수욕중

     정답 : []
     정답률 : 알수없음

59. 반고상 또는 고상폐기물의 pH 측정시 시료 10g에 증류수 몇 ml를 넣어 잘 교반하여야 하는가?
     1. 10ml
     2. 25ml
     3. 50ml
     4. 100ml

     정답 : []
     정답률 : 알수없음

60. 원자흡광광도법에서 분석의 감도를 높여주기 위한 광학계의 조건으로 옳은 것은?
     1. 빛이 투과하는 불꽃 중에서의 유효길이를 되도록 짧게한다.
     2. 불꽃으로부터 빛(光束)이 벗어나지 않도록 한다.
     3. 가늘고 짧은 세극을 갖는 슬롯 버너를 사용할 경우 불꽃 길이를 20cm까지 길게 할 수 있다.
     4. 빛을 불꽃 중에 반복하여 투과시키는 모노패스방식을 사용한다.

     정답 : []
     정답률 : 알수없음

61. 폐기물 처리업을 하기 위하여 사업계획서를 제출하여 사업계획 적정통보를 받았다. 허가 신청은 언제까지 하면 되는가? (단, 폐기물 수집, 운반업의 경우)
     1. 사업계획 적정통보 받은 날부터 6월 이내
     2. 사업계획 적정통보 받은 날부터 1년 이내
     3. 사업계획 적정통보 받은 날부터 2년 이내
     4. 사업계획 적정통보 받은 날부터 3년 이내

     정답 : []
     정답률 : 알수없음

62. 지정폐기물 중 감염성폐기물 수집,운반에 관한 설명으로 틀린 것은?
     1. 감염성폐기물의 운반차량은 섭씨 4도이하의 냉장시설설비가 설치,가동되어야 한다.
     2. 감염성폐기물의 수집, 운반차량의 차체는 백색으로 도색하여야 한다.
     3. 감염성폐기물의 수집, 운반차량의 적재함의 양쪽옆면에는 감염성폐기물의 도형, 업소명 및 전화번호를 부착 또는 표기한다.
     4. 감염성폐기물의 수집, 운반차량의 적재함의 부착 또는 표기하는 글씨의 색깔은 녹색으로 하여야 한다.

     정답 : []
     정답률 : 알수없음

63. 지정폐기물중 폐유독물의 처리방법이 아닌 것은?
     1. 중화·가수분해·산화·환원
     2. 고온소각처리
     3. 고온열분해처리
     4. 고온용융처리

     정답 : []
     정답률 : 알수없음

64. 폐기물처리업자 또는 폐기물 재활용 신고자가 휴업 및 폐업 할 경우, 휴업 및 폐업 한 날 부터 며칠 이내에 신고서를 시·도지사 또는 지방환경관서의 장에게 제출하여야 하는가?
     1. 3일
     2. 5일
     3. 10일
     4. 20일

     정답 : []
     정답률 : 알수없음

65. 시간당 처리능력이 25킬로그램 이상 200킬로그램 미만인 소각시설에서 배출되는 다이옥신 측정주기 기준으로 적절한 것은?
     1. 2월 1회 이상
     2. 6월에 1회 이상
     3. 12월에 1회 이상
     4. 24월에 1회 이상

     정답 : []
     정답률 : 알수없음

66. 폐기물처리시설 중 소각시설을 설치, 운영하는 자는 시설에서 배출되는 오염물질의 측정결과를 얼마동안 보존하여야 하는가?
     1. 6월
     2. 1년
     3. 3년
     4. 5년

     정답 : []
     정답률 : 알수없음

67. 환경관리공단에서 교육을 받아야 하는 자로 알맞는 것은?
     1. 폐기물재활용신고자가 고용한 기술담당자
     2. 폐기물재활용신고자
     3. 폐기물수집, 운반업자
     4. 폐기물처리시설의 기술관리인

     정답 : []
     정답률 : 알수없음

68. 관리형 매립시설 침출수 배출허용기준중 중크롬산칼륨법에 의한 화학적산소요구량(mg/L)허용기준에 관한 내용으로 알맞는 것은? (단, 나지역 기준, ( )안에 수치는 처리효율임)
     1. 300(95%) 이하
     2. 400(90%) 이하
     3. 600(85%) 이하
     4. 800(80%) 이하

     정답 : []
     정답률 : 알수없음

69. 다음 중 폐기물관리법령에서 규정하고 있는 화학적 처리시설에 해당하는 것은?
     1. 열분해시설
     2. 정제시설
     3. 고형화시설
     4. 소멸화시설

     정답 : []
     정답률 : 알수없음

70. 폐기물관리종합계획에 포함되어야 할 사항이 아닌 것은?
     1. 폐기물 발생 및 처리현황
     2. 종합계획의 기조
     3. 재원조달 계획
     4. 종전의 종합계획에 대한 평가

     정답 : []
     정답률 : 알수없음

71. 다음 중 소각시설의 검사기관과 가장 거리가 먼 곳은?
     1. 환경관리공단
     2. 한국기계연구원
     3. 산업기술시험원
     4. 한국건설기술연구원

     정답 : []
     정답률 : 알수없음

72. 사업장폐기물의 발생억제를 위한 폐기물발생억제지침 준수의무대상 배출자의 업종이 아닌 것은? (단, 최근 3년간의 연평균 배출량을 기준으로 지정폐기물을 200톤 이상 배출한 자 기준)
     1. 섬유제품제조업
     2. 전기가스업
     3. 기계조립 금속제품제조업
     4. 전자부품, 영상, 음향 및 통신장비제조업

     정답 : []
     정답률 : 알수없음

73. 다음 중 감염성 폐기물을 대상으로 폐기물처리시설이 갖추어야 하는 기술관리인의 자격기준이 아닌 것은?
     1. 수질환경산업기사
     2. 폐기물처리산업기사
     3. 임상병리사
     4. 위생사

     정답 : []
     정답률 : 알수없음

74. 공동관리구역내인 아파트 단지에서 주민이 생활폐기물을 무단투기 하거나 규격봉투를 사용하지 않고 배출하였을 경우 받게되는 행정조치는?
     1. 50만원 이하의 과태료
     2. 100만원 이하의 과태료
     3. 300만원 이하의 과태료
     4. 1000만원 이하의 과태료

     정답 : []
     정답률 : 알수없음

75. 폐기물로부터 에너지를 회수하는 기준에 대하여 설명한 것이다. 올바른 것은?
     1. 다른 물질과 혼합된 폐기물의 저위발열량이 킬로그램당 3천킬로칼로리 이상일 것
     2. 에너지의 회수효율이 85 퍼센트 이상일 것
     3. 회수열의 50% 이상을 열원으로 이용하거나 다른 사람에게 공급할 것
     4. 환경부장관이 정하여 고시하는 경우에는 폐기물의 30퍼센트 이상을 원료 또는 재료로 재활용하고 그 나머지 중에서 에너지의 회수에 이용할 것

     정답 : []
     정답률 : 알수없음

76. 폐기물재활용신고자가 시·도지사로부터 태반을 보관하는 시설을 승인함에 있어 기준에 해당되지 않는 것은?
     1. 폐기물재활용신고자는 지정폐기물처리 허가를 받은 자일 것
     2. 태반의 배출장소와 그 태반재활용시설이 있는 사업장과의 거리가 100킬로미터 이상일 것
     3. 보관시설에서의 태반보관허용량은 5톤 미만일 것
     4. 보관시설에서의 태반보관기간은 태반이 보관시설에 도착한 날부터 5일 이내로 하도록 할 것

     정답 : []
     정답률 : 알수없음

77. 폐기물처리업의 업종구분과 영업내용을 연결한 것으로 알맞지 않는 것은?
     1. 폐기물수집·운반업 - 폐기물을 수집하여 처리장소로 운반하는 영업
     2. 폐기물중간처리업 - 폐기물중간처리시설을 갖추고 폐기물을 소각·중화·파쇄·고형화 등의 방법에 의하여 처리하는 영업
     3. 폐기물최종처리업 - 폐기물최종처리시설을 갖추고 폐기물을 매립 등의 방법에 의하여 처리하는 영업
     4. 폐기물종합처리업 - 폐기물수집·운반, 중간처리 및 최종처리를 함께 하는 영업

     정답 : []
     정답률 : 알수없음

78. 사업장 일반폐기물인 유기성 오니란 고형물중 유기성물질의 함량이 몇 % 이상인 것을 말하는가?
     1. 30
     2. 40
     3. 50
     4. 60

     정답 : []
     정답률 : 알수없음

79. 다음은 멸균분쇄시설의 최초 정기검사와 이후의 정기검사에 관련하여 기술한 것이다. 올바른 것은?
     1. 최초 정기검사는 사용개시일부터 3월, 2회 이후의 정기검사는 최종 검사일부터 3월
     2. 최초 정기검사는 사용개시일부터 3월, 2회 이후의 정기검사는 최종 검사일부터 6월
     3. 최초 정기검사는 사용개시일부터 1년, 2회 이후의 정기검사는 최종 검사일부터 1년
     4. 최초 정기검사는 사용개시일부터 1년, 2회 이후의 정기검사는 최종 검사일부터 2년

     정답 : []
     정답률 : 알수없음

80. 매립시설의 침출수를 측정할 수 있는 기관으로 틀린 것은?
     1. 환경관리공단
     2. 환경기술개발및지원에 관한 법률 규정에 의하여 수질오염물질 측정대행업의 등록을 한 자
     3. 수도권매립지관리공사
     4. 기타 환경부장관이 정하여 고시하는 기관

     정답 : []
     정답률 : 알수없음


정 답 지

1

2

3

4

5

6

7

8

9

10

11

12

13

14

15

16

17

18

19

20

21

22

23

24

25

26

27

28

29

30

31

32

33

34

35

36

37

38

39

40

41

42

43

44

45

46

47

48

49

50

51

52

53

54

55

56

57

58

59

60

61

62

63

64

65

66

67

68

69

70

71

72

73

74

75

76

77

78

79

80

폐기물처리산업기사 필기 기출문제(해설) 및 CBT 2005년05월29일을 이용해 주셔서 감사합니다.
, 필기, 기출문제, 전자문제집, CBT, 온라인, 모의테스트, 모의고사



List of Articles
번호 제목 글쓴이 날짜 조회 수
» 폐기물처리산업기사 필기 기출문제(해설) 및 CBT 2005년05월29일(3501) 좋은아빠되기 2025.10.07 0
3231 폐기물처리산업기사 필기 기출문제(해설) 및 CBT 2005년03월20일(3500) 좋은아빠되기 2025.10.07 1
3230 폐기물처리산업기사 필기 기출문제(해설) 및 CBT 2005년03월06일(3499) 좋은아빠되기 2025.10.07 0
3229 폐기물처리산업기사 필기 기출문제(해설) 및 CBT 2004년09월05일(3498) 좋은아빠되기 2025.10.07 1
3228 폐기물처리산업기사 필기 기출문제(해설) 및 CBT 2004년05월23일(3497) 좋은아빠되기 2025.10.07 0
3227 폐기물처리산업기사 필기 기출문제(해설) 및 CBT 2004년03월07일(3496) 좋은아빠되기 2025.10.07 1
3226 폐기물처리산업기사 필기 기출문제(해설) 및 CBT 2003년08월31일(3495) 좋은아빠되기 2025.10.07 0
3225 폐기물처리산업기사 필기 기출문제(해설) 및 CBT 2003년05월25일(3494) 좋은아빠되기 2025.10.07 2
3224 폐기물처리산업기사 필기 기출문제(해설) 및 CBT 2003년03월16일(3493) 좋은아빠되기 2025.10.07 0
3223 폐기물처리산업기사 필기 기출문제(해설) 및 CBT 2002년09월08일(3492) 좋은아빠되기 2025.10.07 1
3222 폐기물처리산업기사 필기 기출문제(해설) 및 CBT 2002년05월26일(3491) 좋은아빠되기 2025.10.07 0
3221 폐기물처리산업기사 필기 기출문제(해설) 및 CBT 2002년03월10일(3490) 좋은아빠되기 2025.10.07 2
3220 시각디자인산업기사 필기 기출문제(해설) 및 CBT 2018년09월15일(3489) 좋은아빠되기 2025.10.07 0
3219 시각디자인산업기사 필기 기출문제(해설) 및 CBT 2018년04월28일(3488) 좋은아빠되기 2025.10.07 1
3218 시각디자인산업기사 필기 기출문제(해설) 및 CBT 2018년03월04일(3487) 좋은아빠되기 2025.10.07 0
3217 시각디자인산업기사 필기 기출문제(해설) 및 CBT 2017년09월23일(3486) 좋은아빠되기 2025.10.07 1
3216 시각디자인산업기사 필기 기출문제(해설) 및 CBT 2017년05월07일(3485) 좋은아빠되기 2025.10.07 0
3215 시각디자인산업기사 필기 기출문제(해설) 및 CBT 2017년03월05일(3484) 좋은아빠되기 2025.10.07 1
3214 시각디자인산업기사 필기 기출문제(해설) 및 CBT 2016년10월01일(3483) 좋은아빠되기 2025.10.07 0
3213 시각디자인산업기사 필기 기출문제(해설) 및 CBT 2016년05월08일(3482) 좋은아빠되기 2025.10.07 1
Board Pagination Prev 1 ... 461 462 463 464 465 466 467 468 469 470 ... 627 Next
/ 627