자격증 필기 기출문제



교통기사 필기 기출문제(해설) 및 CBT 2007년05월13일(3586)

최강 자격증 기출문제 전자문제집 CBT : www.comcbt.com


전자문제집 CBT란?

종이 문제집이 아닌 인터넷으로 문제를 풀고 자동으로 채점하며 모의고사, 오답 노트, 해설까지 제공하는
무료 기출문제 학습 프로그램으로 실제 상설검정에서 사용하는 OMR 형식의 CBT를 제공합니다.


최신 교통기사 필기 기출문제 : [다운로드]

1과목 : 교통계획


1. 주차시설 현황을 조사할 때 조사시간 중에 주차구역 내 주차1면당 평균 주차차량수를 나타내는 지표는?
     1. 평균점유율
     2. 평균회전율
     3. 평균주차집적율
     4. 평균주차율

     정답 : []
     정답률 : 42%

2. 통행배분(Trip Assignment)모형의 유형 중 링크용량을 고려하는 모형에 속하는 것은?
     1. All-or-nothing 법
     2. 확률적 평행배분법
     3. 로짓 모형
     4. 다이알 모형

     정답 : []
     정답률 : 59%

3. 4단계 교통수요 추정방법 중 3단계에 해당하는 것은?
     1. 교통수단선택
     2. 통행배분
     3. 통행분포
     4. 통행발생.

     정답 : []
     정답률 : 알수없음

4. 개별행태모형(disaggregate behavioral model)에 대한 설명으로 옳지 않은 것은?
     1. 개인의 통행특성자료에 근거해서 교통수요를 추정한다.
     2. 효용이론에 근거해서 모델이 구축된다.
     3. 종속변수는 통행량이며 독립변수는 존의 사회-경제지표이다.
     4. 4단계 교통수요 추정모델과 비교해서 여러 가지 과정을 동시에 수행할 수 있는 모델 구축이 가능하다.

     정답 : []
     정답률 : 85%

5. 다음과 같은 조건을 가진 어느 도심지에서 주치요금이 25% 인상될 때 주차수요의 감소량은?

   

     1. 500대
     2. 1,0000
     3. 1,500대
     4. 2,000대

     정답 : []
     정답률 : 70%

6. 교통계획은 계획기간에 따라 단기 ㆍ 중기 ㆍ 장기계획으로 구분되는데, 다음 중 단기교통계획과 비교한 장기교통계획의 특성으로 적합한 것은?
     1. 다수의 대안
     2. 서비스 지향적
     3. 자본집약적
     4. 피드백 지향적

     정답 : []
     정답률 : 64%

7. 다음 중 TSM대책의 분석, 설계 및 평가에서 효과척도(MOE)로 볼 수 없는 요소는?
     1. 평균첨두속도
     2. 구간교통량
     3. 대중교통노선의 승차인원
     4. 자동차 보유율

     정답 : []
     정답률 : 55%

8. 다음의 교통수요 관리방안과 그 특징에 대한 설명 중 옳지 않은 것은?
     1. 10부제 운행 - 집행이 용이함
     2. 자가용 함께 타기 - 사회적 부담이 적음
     3. 버스 이용하기 - 정치적 수용성이 적음
     4. 공영주차장 요금인상 - 집행이 용이함

     정답 : []
     정답률 : 55%

9. 중력모형(gravity model)의 정산과정 및 예측에 투입되어야 할 자료로서 적합하지 않는 것은?
     1. 목표년도의 노선배정 통행량
     2. 목표년도의 존별 유입통행량과 유출통행량
     3. 기준년도의 기종점간 통행량
     4. 기준년도의 존간 통행시간

     정답 : []
     정답률 : 56%

10. 편도 15km의 왕복노선을 25km/시의 평균운행속도로 버스를 운행할 때 배차간격 5분을 유지하려면 필요한 차량대수는?
     1. 10대
     2. 13대
     3. 15대
     4. 16대

     정답 : []
     정답률 : 86%

11. 다음 중 4단계 추정법에서 통행분포(Trip Distribution)단계에 사용되는 모형에 속하지 않는 것은?
     1. 균일성장율법
     2. 중력모형
     3. 증감률법
     4. 간섭기회모형

     정답 : []
     정답률 : 50%

12. 택시요금의 변화에 따라 버스의 수요가 어떻게 변하는가를 보여주는 것은?
     1. 가격탄성력
     2. 교차탄성력
     3. 공급탄성력
     4. 소득탄성력

     정답 : []
     정답률 : 84%

13. 다음 중 통행의 기 ㆍ 종점이 모두 조사대상 지역의 바깥지점에 위치하는 교통은?
     1. 역내 교통
     2. 역외 교통
     3. 유입 교통
     4. 통과 교통

     정답 : []
     정답률 : 100%

14. 승객의 여행거리에 관계없이 동일한(고정된) 요금이 부과되는 요금구조는?
     1. 정기요금제
     2. 균일요금제
     3. 구간요금제
     4. 거리요금제

     정답 : []
     정답률 : 95%

15. 다음에서 가정기반통행(home-based trip)의 통행량은?

    

     1. 250 통행
     2. 320 통행
     3. 500 통행
     4. 580 통행

     정답 : []
     정답률 : 93%

16. O-D 조사에 사용하는 표본의 크기에 대한 설명 중 가장 올바른 것은?
     1. 표본의 크기가 증가하면 조사 자료의 정확도는 감소한다.
     2. 표본의 크기가 증가하면 조사 자료의 정확도의 증가율은 점차 감소한다.
     3. 통행량이 적은 경우 표본의 수를 증가시키면 통행량이 많을 때보다 오차의 범위가 커진다.
     4. 통행량이 많은 경우 표본율을 증가시키면 오차의 범위가 커진다.

     정답 : []
     정답률 : 79%

17. 2㎞ 남북 양방향 도로 구간의 교통량 조사를 위해 이동차량기법을 적용했다. 그 결과가 다음과 같을 때 북쪽으로 향하는 교통류의 교통량은?

    

     1. 1,020대/시
     2. 760대/시
     3. 1,440대/시
     4. 1,210대/시

     정답 : []
     정답률 : 알수없음

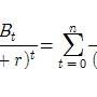
18. 다음의 IRR(내부수익률)은?

    

     1. 5.67%
     2. 4.67%
     3. 3.67%
     4. 2.67%

     정답 : []
     정답률 : 56%

19. 기종점 조사에서 폐쇄선(Cordon Line) 설정시 고려할 사항으로 부적절한 것은?
     1. 폐쇄선을 횡단하는 도로나 철도 등이 가급적 최대가 되게 한다.
     2. 폐쇄선을 가급적 행정구역 경계선과 일치시킨다.
     3. 도시 주변에 인접한 위성도시나 장래 도시화 지역을 가급적 폐쇄선 내에 포함시킨다.
     4. 주변에 동이 위치하면 폐쇄선 내에 포함하도록 한다.

     정답 : []
     정답률 : 90%

20. 각종 대중교통수단에 대한 설명 중 옳지 않은 것은?
     1. 지하철은 대량성, 안정성 면에서 우수하다.
     2. 지하철은 버스와 연계에 따른 불편이 있을 수 있다.
     3. 버스는 건설비가 많이 소요되나 정시성이 우수하다.
     4. 버스는 수요에 대처하기 쉬운 반면, 교통혼잡을 일으키는 단점이 있다.

     정답 : []
     정답률 : 95%

2과목 : 교통공학


21. 교통량 반응식 신호등에 대한 설명으로 옳은 것은?
     1. 교통량의 변화와는 상관없이 규칙적인 신호 주기가 반복된다.
     2. 연동화하기 어려운 교차로에는 사용할 수 없다.
     3. 구조가 간단하고 설치비용이 저렴하다.
     4. 교통량의 시간별 변동이 클 경우 지체의 최소화가 가능하다.

     정답 : []
     정답률 : 87%

22. 어느 도로의 첨두시간 교통량을 15분 간격으로 측정한 결과 1500, 1800, 1400, 1600대 였다. 첨두시간계수(PHF)는?
     1. 0.755
     2. 0.875
     3. 0.925
     4. 1.143

     정답 : []
     정답률 : 86%

23. 다음 중 교차로의 포화교통량(Saturation Flow Rate)산정시 고려되지 않는 요소는?
     1. 유효녹색 시간비
     2. 차로폭
     3. 버스정류장의 위치
     4. 주차허용구간

     정답 : []
     정답률 : 20%

24. 차량운행 중 외부자극에 대한 인간의 신체적 반응 과정인 PIEV 과정에 속하지 않은 것은?
     1. 인지(Perception)
     2. 판단(Intellection)
     3. 회피(Evasion)
     4. 의지(Volition)

     정답 : []
     정답률 : 89%

25. 49대 차량에 대한 속도조사를 한 결과 평균 60km/h, 분산 36을 얻었다. 이 교통류 속도의 모평균을 추정함에 있어서 신뢰수준 95%에서 허용오차를 ± 0.5km/h로 하자면 필요한 표본수는?
     1. 97대
     2. 272대
     3. 386대
     4. 554대

     정답 : []
     정답률 : 55%

26. 움직이는 차량들의 차두간격(Headway)을 확률분포로 나타내는 확률분포함수는?
     1. 기하 분포
     2. Binomial 분포
     3. 음지수 분포
     4. 음이항 분포

     정답 : []
     정답률 : 71%

27. 주기가 같은 인접한 두 개의 교차로를 연동시키려고 한다. 두 교차로간 거리가 400m 이고 연동속도는 50km/h 일 때, 필요한 옵셋(Offset)은? (단, 두 교차로 모두 녹색신호 시작 때 대기차량이 없음)
     1. 10초
     2. 28.8초
     3. 72.2초
     4. 125초

     정답 : []
     정답률 : 87%

28. Greenshields의 속도-밀도 모형에서 자유속도(Uf)가 시속80km 이고 혼잡밀도(Kj)가 km 당 80대 일 경우 최대 교통류율은?
     1. 800 대/시
     2. 1,600 대/시
     3. 2,133 대/시
     4. 3,200 대/시

     정답 : []
     정답률 : 72%

29. 도시내 교차로의 차량당 평균지체도를 산정하기 위하여 10초 간격으로 교차로에 정지하는 차량을 조사한 결과 5분 동안에 통과한 150대 중 120대의 차량이 정지된 결과를 얻었다. 이 교차로를 통과한 차량들의 평균 지체도는?
     1. 6초
     2. 8초
     3. 12초
     4. 30초

     정답 : []
     정답률 : 60%

30. 다음의 교통량 조사에 대한 설명 중 옳지 않은 것은?
     1. 연평균일교통량(AADT)은 연간총교통량을 365로 나눈 값으로 교통계획의 기초자료로 사용된다.
     2. 평균일교통량(ADT)은 휴일을 제외한 평일의 평균교통량으로 교통계획의 보완자료로 이용된다.
     3. 교통량의 요일별 또는 계절별(또는 월별) 변동패턴을 파악하기 위해서는 상시조사나 보정조사 자료를 이용한다.
     4. 교통량 조사는 2~3시간 동안의 첨두 15분 교통류율을 구하는 경우가 많으므로, 대부분의 교통량 조사는 수동식으로 조사된다.

     정답 : []
     정답률 : 71%

31. 다음 중 도로상을 운행하는 차량의 구간속도 산출시 이용되는 조사방법이 아닌 것은?
     1. 번호판 판독법
     2. 시험차량 운행법
     3. 주행차량 이용법
     4. 노측면접법

     정답 : []
     정답률 : 80%

32. 정지한 상태에서 30 ㎞/h로 가속하는데 승용차는 2.3초가 걸리고, 레미콘 트럭은 7.1초가 걸렸다. 이때 레미콘 트럭이 가속기간 동안 주행한 거리는 승용차의 가속기간 동안 주행한 거리의 약 몇 배인가?
     1. 3배
     2. 6배
     3. 9배
     4. 12배

     정답 : []
     정답률 : 57%

33. 황색 신호 길이를 계산하기 위해 필요한 차량의 임계 감속도는 보통 얼마인가?
     1. 3 m/s2
     2. 4 m/s2
     3. 5 m/s2
     4. 6 m/s2

     정답 : []
     정답률 : 54%

34. 서비스수준별 교통류의 상태에 관한 설명으로 틀린 것은?
     1. A : 사용자 개개인들은 교통류 내의 다른 사용자의 출현에 실질적으로 영향을 받지 않는다.
     2. C : 교통류 내의 다른 차량과의 상호작용으로 인하여 통행에 상당한 영향을 받기 시작한다.
     3. E : 교통량이 조금 증가하거나 작은 혼란이 발생하여도 와해 상태가 발생한다.
     4. FFF : 과도한 교통수요로 혼잡이 심각한 상태이며 차량이 대상구간의 전방 신호교차로를 통과하는데 평균적으로 2~3주기 정도의 시간이 필요하다.

     정답 : []
     정답률 : 65%

35. 용량에 관한 다음 설명 중 틀린 것은?
     1. 용량을 분석하는 목적은 도로를 효율적으로 이용하고, 도로투자를 적절히 하도록 하는데 있다.
     2. 용량 분석의 대상이 되는 도로의 경우에는 접근기능이 이동기능보다 더 중요하다고 할 수 있다.
     3. 용량은 분석하는 데는 해당 도로의 통행 속도, 통행 시간, 통행 자유도, 안락감 등 서비스수준 개념을 이용한다.
     4. 용량 분석은 크게 두 가지 연속된 절차를 통해 수행하는데, 그 첫 번째 절차가 주어진 도로가 수용할 수 있는 최대 교통량을 추정하는 것이다.

     정답 : []
     정답률 : 100%

36. 다음 중 차로수를 결정하는 공식을 올바르게 나타낸 것은?
     1. N = 첨두설계시간교통량 / 설계서비스교통량
     2. N = 설계서비스교통량 / 첨두설계시간교통량
     3. N = 피크시간교통량 / 첨두설계시간교통량
     4. N = 첨두설계시간교통량 / 피크시간교통량

     정답 : []
     정답률 : 85%

37. 교통류 모형 중 수학적으로는 가장 단순하고 사용하기 편리하지만, 현실적인 혼잡밀도의 값을 나타내기가 어려운 모형은?
     1. Greenberg 모형
     2. Greenshields 모형
     3. Underwood 모형
     4. Drake 모형

     정답 : []
     정답률 : 93%

38. 지역의 구분에 따른 설계시간 계수(K)를 바르게 제시한 것은?
     1. 도시 0.15, 지방 0.09
     2. 도시 0.09, 지방 0.15
     3. 도시 0.05, 지방 0.08
     4. 도시 0.08, 지방 0.05

     정답 : []
     정답률 : 64%

39. 운전자가 실제로 느끼는 속도이며 속도규제, 신호기설치 위치선정, 신호시간계산, 사고분석시 등에 이용되는 속도는?
     1. 주행속도
     2. 자유속도
     3. 구간속도
     4. 지점속도

     정답 : []
     정답률 : 38%

40. 주기당 총 손실시간이 10초, 임계이동류의 교통량비 V/S를 합한 값이 0.6 일 때, Webster식을 이용한 최적주기는?
     1. 30초
     2. 40초
     3. 50초
     4. 60초

     정답 : []
     정답률 : 85%

3과목 : 교통시설


41. 다음 중 설계속도와 가장 관계가 먼 것은?
     1. 시거
     2. 편경사
     3. 곡선반경
     4. 횡단구배

     정답 : []
     정답률 : 50%

42. 다음의 정지시거에 대한 설명 중 ( )안에 들어갈 말로 알맞은 것은?

    

     1. ① 1.0m, ② 15cm
     2. ① 1.2m, ② 15cm
     3. ① 1.0m, ② 10cm
     4. ① 1.2m, ② 10cm

     정답 : []
     정답률 : 80%

43. 평면교차로에서의 도류화설계를 위한 기본원칙으로 옳지 않은 것은?
     1. 운전자가 한 번에 한 가지 이상의 의사결정을 하지 않도록 해야 한다.
     2. 운전자에게 90˚이상 회전하거나 갑작스럽고 급격한 배향곡선 등의 부자연스런 경로를 주어서는 안된다.
     3. 운전자가 적절한 인지성을 갖도록 교통섬 내에 시인성을 떨어뜨리는 식수 등을 하여야 한다.
     4. 필요 이상의 교통섬을 설치하는 것은 피해야 하며, 원칙적으로 도류화가 필요하다 하더라도 좁은 면적에서는 이를 피해야 한다.

     정답 : []
     정답률 : 93%

44. 지방지역에서의 인터체인지 배치에 관한 설명 중 옳지 않은 것은?
     1. 본선과 인터체인지에 대한 총비용 편익비가 극대가 되도록 배치
     2. 인터체인지의 출입교통량이 30,000대/일 이하가 되도록 배치
     3. 인터체인지 간격이 최소 1.5km, 최대 20km 이하가 되도록 배치
     4. 인구 30,000명 이상의 도시 부근 또는 인터체인지 세력권 인구가 50,000~100,000명 정도가 되도록 배치

     정답 : []
     정답률 : 47%

45. 지방지역의 4차로 고속도로에 설치되는 중앙분리대의 최속폭은?
     1. 1.0m
     2. 1.5m
     3. 2.0m
     4. 3.0m

     정답 : []
     정답률 : 63%

46. 자동차전용도로(고속도로)의 경우 버스승강장(Flat form)의 폭은 얼마를 표준으로 하는가?
     1. 1.5m
     2. 2.0m
     3. 2.5m
     4. 3.0m

     정답 : []
     정답률 : 43%

47. 네 갈래 교차 인터체인지의 대표적 형식인 다이아몬드형 인터체인지에 대한 설명으로 옳지 않은 것은?
     1. 교통의 우회거리가 짧다.
     2. 유료도로의 경우 요금소가 4개로 분산되어 관리비가 증대된다.
     3. 불완전 클로버형에 비해 용지 면적이 많이 소요되므로 건설비가 높다.
     4. 연결로의 선형이 직선형이어서 유출입 연결로의 길이나 경사계획시 충분히 여유 있는 설계를 하지 않으면 사고발생의 원인이 되기 쉽다.

     정답 : []
     정답률 : 69%

48. 다음 중 비상주차대의 유효길이 산정과 가장 관계가 깊은 것은?
     1. 설계기준 자동차 길이
     2. 접속길이
     3. 도로의 설계속도
     4. 진입속도

     정답 : []
     정답률 : 64%

49. 도로의 포장에 대한 설명 중 옳지 않은 것은?
     1. 차도의 포장 표면은 미끄럽지 않으며 내구성이 커야한다.
     2. 측대와 길어깨의 포장은 차도와 동일한 구조로 하여야 한다.
     3. 적설지방에서는 타이어체인으로 인하여 포장 표면에 손상을 받는 일이 많으므로 마모에 대한 저항이 커야한다.
     4. 포장된 도로와 포장되지 않은 도로가 교차하는 경우에 포장되지 않은 도로는 접속부로부터 일정 구간을 포장 하도록 한다.

     정답 : []
     정답률 : 77%

50. 설계속도가 60km/h인 도로에서 최소 평면곡선반경은? (단, 최대 편경사 i = 8%, 횡방향 마찰계수 f = 0.14)
     1. 104m
     2. 114m
     3. 129m
     4. 139m

     정답 : []
     정답률 : 75%

51. 다음의 체인탈착장의 설계시 유의사항에 대한 설명 중 옳지 않은 것은?
     1. 체인탈착장에는 조명설비를 설치한다.
     2. 체인탈착장으로 사용되는 부분은 포장을 하고, 교통섬을 설치하는 것이 원칙이다.
     3. 주차면은 보통의 주차면 보다 50cm 정도 넓게 하는 것이 바람직하다.
     4. 체인탈착장의 경사는 주차 자동차의 종방향으로 2%, 횡방향으로 3% 이하로 하고 배수에 충분한 주의를 기울여야 한다.

     정답 : []
     정답률 : 70%

52. 다음 중 도로에 보도를 설치하여야 하는 경우, 각종 도로에 따른 보도의 최소 폭의 연결이 옳지 않은 것은?
     1. 도시지역의 간선도로 : 3.00 m
     2. 도시지역의 집산도로 : 2.25 m
     3. 도시지역의 국지도로 : 1.50 m
     4. 지방지역의 도로 : 2.00 m

     정답 : []
     정답률 : 39%

53. 어느 주차장의 평균 주차 시간은 2시간이다. 한 대의 차량이 도착했을 때, 이 차량의 주차시간이 1시간을 초과할 확률은?
     1. 약 30%
     2. 약 40%
     3. 약 50%
     4. 약 60%

     정답 : []
     정답률 : 38%

54. 도시지역 일반도로의 설계속도가 60km/h 이상, 70km/h 미만일 경우 차로의 최소폭은?
     1. 2.75m
     2. 3.00m
     3. 3.25m
     4. 3.50m

     정답 : []
     정답률 : 69%

55. 주차장의 설계기준 자동차를 결정할 때 고려해야 할 사항과 가장 거리가 먼 것은?
     1. 주차장이 피크로 될 때에 가장 영향을 주는 차종을 설계기준 자동차로 한다.
     2. 설계기준자동차는장래의 차량 치수변화를 고려하여 결정한다.
     3. 주차장의 공간을 효과적으로 이용하면서 질서 있는 주차를 기대할 수 있는 차량이어야 한다.
     4. 과대한 차량은 설계차량으로 사용하지 않는다.

     정답 : []
     정답률 : 65%

56. 설계속도가 100km/h인 도로의 평면곡선부에 설치하는 완화곡선의 최소 길이는?
     1. 50 m
     2. 60 m
     3. 65 m
     4. 70 m

     정답 : []
     정답률 : 75%

57. 다음의 용어에 대한 설명 중 옳지 않은 것은?
     1. 편경사라 함은 도로 진행방향 중심선의 길이에 대한 높이의 변화 비율을 말한다.
     2. 길어깨라 함은 도로를 보호하고 비상시에 이용하기 위하여 차도에 접속하여 설치하는 도로의 부분을 말한다.
     3. 회전차로라 함은 자동차가 우회전, 좌회전 또는 유턴을 할 수 있도록 직진하는 차로와 분리하여 설치하는 차로를 말한다.
     4. 연결로라 함은 입체도로에서 서로 교차하는 도로를 연결하거나 서로 높이 차이가 있는 도로를 연결해 주는 도로를 말한다.

     정답 : []
     정답률 : 알수없음

58. 도로와 철도가 부득이 평면교차를 할 경우, 그 도로의 구조에 관한 설명 중 옳지 않은 것은?
     1. 건널목 양쪽에서 각각 30m 이내의 구간 (건널목 부분을 포함)은 직선으로 한다.
     2. 건널목 양쪽에서 각각 30m 이내의 구간의 도로의 종단 경사는 3% 이하로 한다.
     3. 도로와 철도와의 교차각은 35도 이상으로 한다.
     4. 건널목에서 철도차량의 최고속도 50㎞/h 미만에서 가시구간의 최소길이는 110m 이다.

     정답 : []
     정답률 : 63%

59. 도시지역 도로의 구분 중 주간선도로에 대한 설명으로 옳은 것은?
     1. 도시지역에 존재하는 자동차 전용도로로서 설계속도가 100~80km/h, 배치간격은 3~6km 정도이다.
     2. 보통 주구의 경계를 이루고 도시 내 주요교통 유발시설 간을 연결하며 평균 주행거리는 500m~1km, 설계속도는 50~40km/h 정도이다.
     3. 이동성이 가장 낮고 접근성이 가장 높은 도로이며 통과교통을 배제하는 방향으로 설계 및 운영된다.
     4. 지역 간 간선도로의 도시 내 통과역할을 담당하므로써 간선도로의 연속성이 지방지역과 도시지역에서 단절되지 않도록 하는 기능을 갖는다.

     정답 : []
     정답률 : 50%

60. 버스의 최대운행속도가 60km/h, 정류장당 승객수가 2명, 탑승소요시간이 승객 1명당 2초 일 경우, 적정 버스장의 간격은 약 얼마인가? (단, 차량가속도는 2m/sec2, 차량감속도는 0.5m/sec2, 최적 재차인원에 의한 방법 적용)
     1. 240m
     2. 668m
     3. 746m
     4. 868m

     정답 : []
     정답률 : 70%
     <문제 해설>
아래와 같은 오류 신고가 있었습니다.
여러분들의 많은 의견 부탁 드립니다.
추후 여러분들의 의견을 반영하여 정답을 수정하도록 하겠습니다.
참고로 정답 변경은 오류 신고 5회 이상일 경우 수정합니다.

[오류 신고 내용]
답이 3번이 되려면 가속도가 2.0이 아닌 2.5가 되어야 할 것 같습니다.
[2014년도 3월 교통기사 59번 참고]
[해설작성자 : comcbt.com 이용자]

4과목 : 도시계획개론


61. 다음 중 가장 관련이 깊은 도시구성형태는?

    

     1. 격자형
     2. 방사환상형
     3. 격자방사형
     4. 대상형

     정답 : []
     정답률 : 59%

62. 다음 중 도시 관리계획에 포함되는 내용이 아닌 것은?
     1. 용도지역 ㆍ 용도지구의 지정 또는 변경에 관한 계획
     2. 도시개발사업 또는 정비 사업에 관한 계획
     3. 도시기본계획의 지정 또는 변경에 관한 계획
     4. 지구단위계획의 지정 또는 변경에 관한 계획

     정답 : []
     정답률 : 61%

63. 르네상스시대의 도시계획의 특징과 가장 관계가 먼 것은?
     1. 비대칭성
     2. 정형성
     3. 축성(axiality)
     4. 개방성

     정답 : []
     정답률 : 82%

64. 도시계획시설 중 보행자전용도로의 구조 및 설치기준에 대한 설명으로 틀린 것은?
     1. 보행자전용도로와 주간선도로가 교차하는 곳에서 입체교차시설을 설치하고 보행자우선구조로 한다.
     2. 필요시에는 보행자전용도로와 자전거도로를 함께 설치하여 보행과 자전거통행을 병행할 수 있도록 한다.
     3. 공공청사 ㆍ 문화시설 등이 보행자전용도로와 연접된 경우에는 이들 공간과 분리시켜 독립된 보행공간이 조성되도록 한다.
     4. 차도와 접하거나 해변 ㆍ 절벽 등 위험성이 있는 지역에 위치하는 경우에는 안전보호시설을 설치한다.

     정답 : []
     정답률 : 78%

65. 다음 중 상업용지에서의 용도별 획지 형태로서 획지 깊이보다 획지 폭이 짧은(세장비가 1.0 이상) 경우에 가장 알맞은 시설은?

    

     1. 여관
     2. 우체국
     3. 주유소
     4. 백화점

     정답 : []
     정답률 : 54%

66. 다음 중 주 구내의 주거단위에 직접 접근되는 도로로서 이동성이 가장 낮고 접근성이 가장 높은 도로는?
     1. 주간선도로
     2. 보조간선도로
     3. 집산도로
     4. 국지도로

     정답 : []
     정답률 : 79%

67. 다음 중 교통광장에 속하지 않는 것은?
     1. 중심대광장
     2. 교차점광장
     3. 역전광장
     4. 주요시설광장

     정답 : []
     정답률 : 62%

68. 다음 중 르 꼬르뷔지에가 주장한 도시계획의 원칙과 가장 거리가 먼 것은?
     1. 도시 중심지구의 과밀을 완화하여 혼잡을 구제할 것
     2. 거주밀도를 낮출 것
     3. 교통기관을 도시에 집중시켜 교통수단을 늘릴 것
     4. 수목면적을 넓혀 충분한 공지와 공원을 확보할 것

     정답 : []
     정답률 : 60%

69. 도시 관리계획의 입안에 관하여 주민의 의견을 청취하고가 하는 때에는 도시 관리계획안을 최소 몇 일 이상 일반이 열람할 수 있도록 하여야 하는가?
     1. 7일
     2. 14일
     3. 20일
     4. 30일

     정답 : []
     정답률 : 58%

70. 도시계획의 기본이자 백미라고 할 수 있으며, 현재의 토지이용상황을 조사 ㆍ 분석하여 장래의 토지공간수요를 추정하고, 이를 한정된 토지 위에 합리적으로 배치 또는 유도 하는 계획은?
     1. 택지개발계획
     2. 도시시설정비계획
     3. 주요시설물입지계획
     4. 토지이용계획

     정답 : []
     정답률 : 87%

71. 다음 중 광역도시계획의 수립권자가 될 수 없는 자는?
     1. 군수
     2. 특별시장
     3. 건설교통부장관
     4. 도지사

     정답 : []
     정답률 : 62%

72. 격자형 가로망의 특성에 대한 설명으로 틀린 것은?
     1. 지형이 평탄한 도시에 적합하다.
     2. 도로기능의 다양성이 결여되기 쉽다.
     3. 고대 및 중세 봉건도시에서 흔히 볼 수 있다.
     4. 중심지를 기점으로 간선도로를 따라 도시개발축이 형성된다.

     정답 : []
     정답률 : 60%

73. 다음 중 개발행위허가를 받아야 하는 행위의 기준에 속하지 않는 것은?
     1. 관계 법령에 의한 허가 ㆍ 인가를 받지 아니하고 행하는 너비 5미터 이하로의 토지의 분할
     2. 녹지지역 안에서 건축물의 울타리 안에 위치하지 아니한 토지에 물건을 10일 이상 쌓아놓는 행위
     3. 흙 ㆍ 모래 ㆍ 자갈 ㆍ 바위 등의 토석을 채취하는 행위(토지의 형질변경을 목적으로 하는 것은 제외)
     4. 절토 ㆍ 성토 ㆍ 정지 ㆍ 포장 등의 방법으로 토지의 형상을 변경하는 행위와 공유수면의 매립(경작을 위한 토지의 형질변경은 제외)

     정답 : []
     정답률 : 55%

74. 다음 중 과밀도시의 대표적인 도시문제와 가장 관계가 먼 것은?
     1. 교통혼잡과 그로 인한 도시공해의 문제
     2. 직장과 주거가 지속적으로 혼재됨으로써 주거환경의 악화문제
     3. 기반시설과 공공시설 등 생활환경시설의 부족문제
     4. 소득격차와 도시빈민 등의 사회적 문제

     정답 : []
     정답률 : 16%

75. 상업지역의 종류가 아닌 것은?
     1. 준상업지역
     2. 중심상업지역
     3. 유통상업지역
     4. 근린상업지역

     정답 : []
     정답률 : 79%

76. 지구단위계획의 성공적인 실현을 위해 필요한 조건에 해당되지 않는 것은?
     1. 공공의 재정적 지원
     2. 주민참여제도의 활성화
     3. 건축규제의 예외성 인정
     4. 개발계획중심의 계획 수립

     정답 : []
     정답률 : 60%

77. 다음은 일반적인 계획과정의 행위 목록이다. 계획과정을 계획 단계별로 올바르게 열거한 것은?

    

     1. ㉠-㉡-㉢-㉣
     2. ㉠-㉢-㉡-㉣
     3. ㉢-㉠-㉡-㉣
     4. ㉢-㉡-㉠-㉣

     정답 : []
     정답률 : 47%

78. 도시계획시설의 결정 ㆍ 구조 및 설치기준에 관한 규칙에 따른 도로의 규모별 구분에서 대로의 기준은?
     1. 폭 40m 이상 70m 미만인 도로
     2. 폭 25m 이상 40m 미만인 도로
     3. 폭 20m 이상 35m 미만인 도로
     4. 폭 30m 이상 45m 미만인 도로

     정답 : []
     정답률 : 65%

79. 단지계획을 수립하기 위한 일반적인 원칙으로서 올바르지 않은 것은?
     1. 단지의 물리적, 사회경제적, 지리적, 문화적 특성을 반영하고, 수용 능력의 한계와 잠재력을 분석하여 안정하고 편리한 단지를 계획한다.
     2. 장래에 요구되는 개발 수요와 활동을 정확하게 예측하여 개별 건축물에 대하여 상세하게 계획해야 한다.
     3. 단지 내에서 발생하는 각종 활동을 원활하게 연결하여 안전성과 편리성을 도모한다.
     4. 환경오염의 발생을 방지하고, 적절한 일조, 채광, 통풍을 확보하여 건강하고 쾌적한 환경을 확보한다.

     정답 : []
     정답률 : 77%

80. 현재 인구 150만의 도시가 있다. 연평균 증가율 r=4%, 등차급수에 의해 증가한다면 5년 후의 추정인구는 얼마인가?
     1. 108만명
     2. 140만명
     3. 180만명
     4. 206만명

     정답 : []
     정답률 : 알수없음

5과목 : 교통관계법규


81. 다음 중 국도에 대한 도로의 관리청은
     1. 도지사
     2. 건설교통부장관
     3. 군수
     4. 경찰청장

     정답 : []
     정답률 : 83%

82. 차량의 통행 우선순위에 대한 설명 중 맞는 것은?
     1. 관용차가 민간차보다 우선함이 원칙이다.
     2. 차량의 중량, 형식 및 가격 등을 고려하여 통행 우선순위를 정한다.
     3. 법상의 규정은 없고 운전자가 교통상황에 따라 정한다.
     4. 긴급용무 및 최고속도에 따라 운선순위를 규정하고 있다.

     정답 : []
     정답률 : 58%

83. 다음 중 주차금지 장소의 기준으로 옳지 않은 것은?
     1. 소화전으로부터 5미터 이내의 곳
     2. 다리 위
     3. 터널 안
     4. 화재경보기로부터 5미터 이내의 곳

     정답 : []
     정답률 : 73%

84. 도로법상 도로의 관리청은 도로의 구조에 대한 손궤, 미관의 보존 또는 교통에 대한 위험을 방지하기 위하여 도로의 경계선으로 부터 몇 m를 초과하지 아니하는 범위 안에서 접도구역으로 지정할 수 있는가?
     1. 20m
     2. 30m
     3. 40m
     4. 50m

     정답 : []
     정답률 : 78%

85. 도시교통정비기본계획 수립을 위하여 실시하는 기초조사 내용이 아닌 것은?
     1. 인구 등 사회 ㆍ 경제지표 현황 및 전망
     2. 자동차보유 현황 및 증가추세
     3. 주간도로 및 교차로에서의 교통량의 현황 및 그 변화추이
     4. 주차장 현황 및 확충계획

     정답 : []
     정답률 : 65%

86. 관할도지사가 그 노선을 인정하는 것이 아닌 것은?
     1. 도청 소재지로부터 군청 소재지에 이르는 도로
     2. 군청 소재지 상호간을 연결하는 도로
     3. 군청 소재지로부터 읍사무소 소재지에 이르는 도로
     4. 도내의 비행장에서 이와 밀접한 관계가 있는 고속국도를 연결하는 도로

     정답 : []
     정답률 : 85%

87. 다음 중 교통안전관리자가 될 수 없는 자에 속하지 않는 사람은?
     1. 교통안전관리자 자격의 취소처분을 받은 날부터 2년 6개월이 경과한 자
     2. 금고 이상의 실형을 선고받고 그 집행이 종료된 날부터 1년이 경과한 자
     3. 금고 이상의 형의 집행유예 선고를 받고 그 유예기간 중에 있는 자
     4. 한정치산자

     정답 : []
     정답률 : 82%

88. 다음 중 부설주차장의 설치대상시설물 종류에 따른 설치기준이 틀린 것은?
     1. 의료시설(정신병원ㆍ요양원 및 격리병원 제외) : 시설면적 150m2당 1대
     2. 숙박시설 : 시설면적 150m2당 1대
     3. 판매 및 영업시설 : 시설면적 150m2당 1대
     4. 방송국 : 시설면적 150m2당 1대

     정답 : []
     정답률 : 53%

89. 시장 ㆍ 군수 또는 구청장이 노외주차장 관리자에게 감독상 필요한 명령을 하고자 할 때에는 서면으로 하는 것이 원칙이다. 다음 중 기재할 사항이 아닌 것은?
     1. 노외주차장의 위치 및 명칭
     2. 명령을 발하는 이유
     3. 노외주차장의 크기
     4. 명령불이행에 대한 조치내용

     정답 : []
     정답률 : 알수없음

90. 전방에 횡단보도가 있음을 알리는 횡단보도예고표시의 설치위치로 가장 알맞은 것은?
     1. 횡단보도 전 30미터 노상
     2. 횡단보도 전 50미터 내지 60미터 노상
     3. 횡단보도 전 150미터 노상
     4. 횡단보도 전 90미터 내지 100미터 노상

     정답 : []
     정답률 : 64%

91. 다음의 신호의 시기에 관한 기준 내용 중 ( )안에 들어갈 말로 가장 알맞은 것은?

    

     1. 10 미터
     2. 30 미터
     3. 50 미터
     4. 100 미터

     정답 : []
     정답률 : 40%

92. 지주식주차장으로서 지하식 또는 건축물식에 의한 노외주차장의 차로 기준에 대한 설명 중 옳은 것은?
     1. 높이는 주차바닥면으로부터 2.0m 이상이어야 한다.
     2. 굴곡부는 자동차가 최소 3m이상의 내변반경으로 회전이 가능하도록 하여야 한다.
     3. 경사로의 종단구배는 직선부분에서는 17%, 곡선부분에서는 14%를 초과하여서는 아니된다.
     4. 주차대수규모가 50대 이상인 경우의 경사로는 너비 5m이상인 2차선의 차로를 확보하거나 진 ㆍ 출입차로를 통합하여야 한다.

     정답 : []
     정답률 : 70%

93. 고속도로에서 야간에 차량고장시 고장차량표지 외에 사방 몇 미터 지점에서 식별할 수 있는 적색의 섬광신호ㆍ전기제등 또는 불꽃신호를 추가로 설치하여야 하는가?
     1. 200m
     2. 300m
     3. 400m
     4. 500m

     정답 : []
     정답률 : 71%

94. 도로교통법상의 용어 정의로 옳지 않은 것은?
     1. 길가장자리구역이란 보도와 차도가 구분된 도로에서 차량운전자의 안전을 보호하기 위하여 안전표지등으로 그 경계를 표시한 부분을 말한다.
     2. 안전표지란 교통의 안전에 필요한 주의 ㆍ 규제 ㆍ 지시 등을 표시하는 표지판 또는 도로의 바닥에 표시하는 기호 ㆍ 또는 선을 말한다.
     3. 정차란 운전자가 5분을 초과하지 아니하고 차를 정지시키는 것으로서 주차외의 정지상태를 말한다.
     4. 안전지대란 도로를 횡단하는 보행자나 통행하는 차마의 안전을 위하여 안전표지나 그와 비슷한 공작물로서 표시한 도로의 부분을 말한다.

     정답 : []
     정답률 : 64%

95. 다음 중 상업지역의 세분에 속하지 않은 것은?
     1. 중심상업지역
     2. 일반상업지역
     3. 준상업지역
     4. 유통상업지역

     정답 : []
     정답률 : 75%

96. 다음의 도로에 대한 설명 중 옳지 않은 것은?
     1. 도로는 고속도로와 일반도로로 구분한다.
     2. 고속도로 중 도시지역에 소재하는 고속도로는 도시고속도로로 한다.
     3. 지방지역에 소재하는 일반도로 중 주간선도로는 국도이다.
     4. 군도는 국지도로의 기능만을 수행한다.

     정답 : []
     정답률 : 85%

97. 광역도시계획의 승인을 얻고자 할 때 광역도시계획안에 첨부할 서류로 부적합한 것은?
     1. 기초조사 결과
     2. 공청회개최 결과
     3. 관계 시도의 의회와 관계 시장 또는 군수의 의견청취 결과
     4. 광역교통위원회의 자문을 거친 결과

     정답 : []
     정답률 : 알수없음

98. 보행자의 통행 방법에 대한 설명으로 옳지 않은 것은?
     1. 보행자는 보도와 차도가 구분된 도로에서 도로공사 등으로 보도의 통행이 금지된 경우나 그 박의 부득이한 경우를 제외하고 언제나 보도로 통행하여야 한다.
     2. 보행자는 보도와 차도가 구분되지 아니한 도로에서는 도로의 우측으로 통행하여야 한다.
     3. 보행자는 모든 차의 바로 앞이나 뒤로 횡단하여서는 아니되지만, 횡단보도를 횡단하거나 신호기 또는 경찰공무원등의 신호 또는 지시에 따라 도로를 횡단하는 경우에는 그러하지 아니하다.
     4. 보행자는 안전표지 등에 의하여 횡단이 금지되어 있는 도로의 부분에서 그 도로를 횡단하여서는 아니된다.

     정답 : []
     정답률 : 74%

99. 환경 ㆍ 교통 ㆍ 재해 등에 관한 영향평가법 및 시행령에서 정하고 있는 재협의 사유에 해당하지 않는 것은?
     1. 협의내용을 통보받은 후 대통령령이 정하는 기간인 5년 이내에 사업을 착공하지 아니한 경우
     2. 변경되는 사업, 시설 규모의 증가가 통보된 협의내용에 포함된 규모보다 100분의 30 이상 증가하는 경우
     3. 토지의 이용을 변경하거나 시설의 배치를 변경하여 협의내용에 포함된 교통개선대책의 실효성이 현저히 감소된 경우와 사업지 외부교통개선대책의 이행이 불가능한 경우
     4. 교통개선대책의 이행허용오차의 범위 내에서 교통개선대책을 변경하는 경우

     정답 : []
     정답률 : 79%

100. 건설교통부장관이 도시교통의 원활한 소통과 교통편의의 증진을 위하여 도시교통정비지역으로 지정 ㆍ 고시할 수 있는 도시의 상주인구기준은?
     1. 상주인구 8만 이상
     2. 상주인구 10만 이상
     3. 상주인구 15만 이상
     4. 상주인구 20만 이상

     정답 : []
     정답률 : 82%

101. 교통사고 조사에서 최초 접촉 지점(FCP)은 어느 차량이 중앙선을 침범했는지의 판정 등 사고해석이 매우 중요하다. 다음 중 최초 접촉 지점을 판정하는데 필요한 시항과 가장 관계가 먼 것은?
     1. 스키드마크가 변형된 위치
     2. Yaw마크의 길이
     3. 차체의 파손위치
     4. Spatter의 위치

     정답 : []
     정답률 : 10%

102. 교통사고 유발요인을 인적요인, 차량원인, 환경요인으로 구분하였을 때, 다음 중 인적요인에 속하지 않는 것은?
     1. 운전자의 취업환경
     2. 운전자의 적성
     3. 운전자의 운전습관
     4. 운전자의 질병

     정답 : []
     정답률 : 100%

103. 사고지점도에 대한 설명으로 틀린 것은?
     1. 사고지점도는 통상 월단위로 관리된다.
     2. 사고지점도는 사고가 집중적으로 발생하는 지점의 신속한 시각적 색인을 제공한다.
     3. 지방부에서는 축적 1:50,000의 지도가 일반적으로 사용된다.
     4. 다수의 희생자(사망 또는 부상)를 포함하는 대형사고에 의한 왜곡을 피하기 위하여 희생자수 대신 사고건수를 나타내는 것이 일반적이다.

     정답 : []
     정답률 : 100%

104. 자동차 운전시에 발생하는 사각(死角)의 요소에 해당 하지 않는 것은?
     1. 자동차의 구조상에서 생기는 사각
     2. 소음으로 인하여 생기는 사각
     3. 다른 장애물로 인하여 생기는 사각
     4. 눈의 기능으로 인하여 생기는 사각

     정답 : []
     정답률 : 89%

105. 사고 경험에 기초한 위험지점 선정을 위한 기법으로 모든 규모의 체계와 모든 범위의 교통량에 적용될 수 있으며 사고 발생은 포아송분포를 따른다는 가정에 기초한 기법은?
     1. 사고건수법
     2. 사고건수-율법
     3. 율-품질관리법
     4. 사고율법

     정답 : []
     정답률 : 73%

106. 긴 직선구간 후에 나타나는 급 곡선구간은 사고다발지점인 경우가 많다. 이러한 지점에 대한 개선대책과 가장 관계가 먼 것은?
     1. 도로의 선형개량
     2. 방호책 설치
     3. 시선유도표지 설치
     4. 도로반사경 설치

     정답 : []
     정답률 : 50%

107. 연평균 5건의 교통사고가 발생하는 한 교차로에 1년 동안 3건 이상의 교통사고가 발생할 확률은? (단, 일정기간 동안의 교통사고가 발생할 확률은 포아송분포를 따르는 것으로 가정한다.)
     1. 0.655
     2. 0.765
     3. 0.875
     4. 0.985

     정답 : []
     정답률 : 59%

108. 어느 지점의 연간 교통사고 건수는 20건, 일교통량은 1,000대이다. 이 지점에 교통안전시설을 설치하는 경우 예상되는 사고감소율은 20%, 장래의 일교통량은 1,500대로 예상되는 경우, 예측되는 사고감소 건수는?
     1. 5건
     2. 6건
     3. 7건
     4. 8건

     정답 : []
     정답률 : 86%

109. 체중 75kg인 운전자에 대하여 사고발생 2시간 후에 혈중알코올농도를 측정하였더니 0.06%가 나왔다. 사고 당시의 혈중 알콜농도는 얼마로 추정되는가? (단, 체중 75kg인 사람의 시간당 혈중 알콜농도감소량 = 0.021%)
     1. 0.018%
     2. 0.182%
     3. 0.150%
     4. 0.102%

     정답 : []
     정답률 : 39%

110. 어느 차량이 주행 중 도로를 벗어나 9m 아래의 계곡으로 떨어져 도로 끝에서 수평거리 20m 인 지점에 추락하였다. 이 차량이 벗어날 때의 주행속도는 얼마인가?

    

     1. 약 15 km/h
     2. 약 27 km/h
     3. 약 53 km/h
     4. 약 75 km/h

     정답 : []
     정답률 : 59%

111. 교통안전의 효과를 측정하기 위한 분석적 틀 중, 사업시행전의 자료를 구할 수 없을 경우에 적용되는 기법은?
     1. 통제지점에 의한 사전 ㆍ 사후분석
     2. 사전 ㆍ 사후분석
     3. 비교평행분석
     4. 사고비용분석

     정답 : []
     정답률 : 알수없음

112. 다음 안전대책 중 안전성과 이동성이 상충되지 않는 것은?
     1. 속도제한
     2. 과속방지턱
     3. 에어 백
     4. 교통신호에서의 신호현시

     정답 : []
     정답률 : 91%

113. 다음 중 일방통행을 실시하여 감소시킬 수 있는 사고 유형과 가장 거리가 먼 것은?
     1. 측면추돌사고
     2. 정면충돌사고
     3. 추돌사고
     4. 단독사고

     정답 : []
     정답률 : 34%

114. 미국 ITE(교통공학회)의 교통공학 조사편람에서 제시한 개선 대안 제안을 위한 위험지점 분석의 4단계에 대한 바른 순서는?

    

     1. ②-①-④-③
     2. ①-④-②-③
     3. ①-②-④-③
     4. ①-②-③-④

     정답 : []
     정답률 : 40%

115. 다음 중 도로에 대한 충돌전 안전대책과 가장 관계가 먼 것은?
     1. 유도표시 시설
     2. 도로기하 개선
     3. 시야 확보
     4. 충격완화시설 설치

     정답 : []
     정답률 : 88%

116. 우리나라 교통사고 중에서 치사율이 가장 높은 사고는?
     1. 자동차 대 열차
     2. 자동차 대 자동차
     3. 자동차 대 경운기
     4. 자동차 대 이륜차

     정답 : []
     정답률 : 62%

117. 어느 도로를 주행하다 급정거한 차량의 활주흔을 조사한 결과 30m가 나타난 다음 5m를 지나서 다시 20m가 계속되었다. 마찰계수를 0.5라 할 때 이 차량의 제동 전 초기속도는?
     1. 78.1 km/h
     2. 79.7 km/h
     3. 82.4 km/h
     4. 83.0 km/h

     정답 : []
     정답률 : 67%

118. 어떤 장소에서 짧은 시간 동안 수시로 충돌에 근접하는 교통현상을 관측하여 그 장소의 교통사고위험성을 평가하는 방법은?
     1. 회귀분석모형법
     2. Rate9Quality Control
     3. 사고율법
     4. 교통상충 조사방법

     정답 : []
     정답률 : 84%

119. 교통사고방지대책을 실시할 때 유의해야 할 사항과 가장 관계가 먼 것은?
     1. 도로이용자와 도로 인근주민의 의견, 관련 행정기관의 의견을 수렴하도록 한다.
     2. 다른 도로계획과 어긋나지 않도록 한다.
     3. 교통섬을 설치할 때는 사전에 페인트나 교통콘 또는 모래주머니 등을 이용하며 실험적으로 실시해 본 다음 그 결과를 재검토한 후에 본격적으로 구조물을 설치하는 것이 바람직하다.
     4. 여러 가지 대책을 혼용해서 적용하여서는 안된다.

     정답 : []
     정답률 : 65%

120. 2,000kg 무게의 차량이 5% 경사의 오르막길을 오르고 있을 때 경사저항은?
     1. 50kg
     2. 75kg
     3. 100kg
     4. 150kg

     정답 : []
     정답률 : 67%


정 답 지

1

2

3

4

5

6

7

8

9

10

11

12

13

14

15

16

17

18

19

20

21

22

23

24

25

26

27

28

29

30

31

32

33

34

35

36

37

38

39

40

41

42

43

44

45

46

47

48

49

50

51

52

53

54

55

56

57

58

59

60

61

62

63

64

65

66

67

68

69

70

71

72

73

74

75

76

77

78

79

80

81

82

83

84

85

86

87

88

89

90

91

92

93

94

95

96

97

98

99

100

101

102

103

104

105

106

107

108

109

110

111

112

113

114

115

116

117

118

119

120

교통기사 필기 기출문제(해설) 및 CBT 2007년05월13일을 이용해 주셔서 감사합니다.
, 필기, 기출문제, 전자문제집, CBT, 온라인, 모의테스트, 모의고사



List of Articles
번호 제목 글쓴이 날짜 조회 수
11183 건축설비산업기사 필기 기출문제(해설) 및 CBT 2018년04월28일(3570) 좋은아빠되기 2025.10.07 1
11182 건축설비산업기사 필기 기출문제(해설) 및 CBT 2018년09월15일(3571) 좋은아빠되기 2025.10.07 0
11181 교통기사 필기 기출문제(해설) 및 CBT 2003년03월16일(3572) 좋은아빠되기 2025.10.07 1
11180 교통기사 필기 기출문제(해설) 및 CBT 2003년05월25일(3573) 좋은아빠되기 2025.10.07 0
11179 교통기사 필기 기출문제(해설) 및 CBT 2003년08월31일(3574) 좋은아빠되기 2025.10.07 1
11178 교통기사 필기 기출문제(해설) 및 CBT 2004년03월07일(3575) 좋은아빠되기 2025.10.07 0
11177 교통기사 필기 기출문제(해설) 및 CBT 2004년05월23일(3576) 좋은아빠되기 2025.10.07 2
11176 교통기사 필기 기출문제(해설) 및 CBT 2004년09월05일(3577) 좋은아빠되기 2025.10.07 0
11175 교통기사 필기 기출문제(해설) 및 CBT 2005년03월06일(3578) 좋은아빠되기 2025.10.07 1
11174 교통기사 필기 기출문제(해설) 및 CBT 2005년03월20일(3579) 좋은아빠되기 2025.10.07 0
11173 교통기사 필기 기출문제(해설) 및 CBT 2005년05월29일(3580) 좋은아빠되기 2025.10.07 1
11172 교통기사 필기 기출문제(해설) 및 CBT 2005년09월04일(3581) 좋은아빠되기 2025.10.07 0
11171 교통기사 필기 기출문제(해설) 및 CBT 2006년03월05일(3582) 좋은아빠되기 2025.10.07 1
11170 교통기사 필기 기출문제(해설) 및 CBT 2006년05월14일(3583) 좋은아빠되기 2025.10.07 0
11169 교통기사 필기 기출문제(해설) 및 CBT 2006년09월10일(3584) 좋은아빠되기 2025.10.07 1
11168 교통기사 필기 기출문제(해설) 및 CBT 2007년03월04일(3585) 좋은아빠되기 2025.10.07 0
» 교통기사 필기 기출문제(해설) 및 CBT 2007년05월13일(3586) 좋은아빠되기 2025.10.07 1
11166 교통기사 필기 기출문제(해설) 및 CBT 2007년09월02일(3587) 좋은아빠되기 2025.10.07 0
11165 교통기사 필기 기출문제(해설) 및 CBT 2008년03월02일(3588) 좋은아빠되기 2025.10.07 1
11164 교통기사 필기 기출문제(해설) 및 CBT 2008년05월11일(3589) 좋은아빠되기 2025.10.07 0
Board Pagination Prev 1 ... 161 162 163 164 165 166 167 168 169 170 ... 725 Next
/ 725