자격증 필기 기출문제



정보처리기능사 필기 기출문제(해설) 및 CBT 2008년07월13일(4회)(4302)

최강 자격증 기출문제 전자문제집 CBT : www.comcbt.com


전자문제집 CBT란?

종이 문제집이 아닌 인터넷으로 문제를 풀고 자동으로 채점하며 모의고사, 오답 노트, 해설까지 제공하는
무료 기출문제 학습 프로그램으로 실제 상설검정에서 사용하는 OMR 형식의 CBT를 제공합니다.


최신 정보처리기능사 필기 기출문제 : [다운로드]

1과목 : 전자 계산기 일반


1. 일반적으로 digital type 의 양을 바르게 표현한 것은?
     가. 시간의 흐름
     나. 연필의 갯수
     다. 온도의 변화
     라. 식물의 성장

     정답 : []
     정답률 : 77%
     <문제 해설>
연필은 1.5개가 존재 하지 않으므로 디지털입니다.
[해설작성자 : 밀양금성컴퓨터학원 ☎055-354-3344]

2. 입력단자와 출력단자가 반대가 되는 즉 “0” 이면 “1”, “1” 이면 “0”이 되는 것은?
     가. AND
     나. NOT
     다. OR
     라. Flip-Flop

     정답 : []
     정답률 : 84%
     <문제 해설>
서로 반대가 된다고 하였으므로 NOT 게이트 이며 플리플롭이라면 T 플리플롭입니다.
[해설작성자 : 밀양금성컴퓨터학원 ☎055-354-3344]

3. 다른 모든 플립플롭의 기능을 대용할 수 있으며 응용범위가 넓고 집적회로화 되어, 가장 널리 사용되는 플립플롭은?
     가. RS 플립플롭
     나. JK 플립플롭
     다. D 플립플롭
     라. T 플립플롭

     정답 : []
     정답률 : 76%
     <문제 해설>
JK 플리플롭은 만능 플립플롭이라고 불리울 만큼 기능이 많으며 모든 플립플롭의 기능을 대체할수 있습니다.
[해설작성자 : 밀양금성컴퓨터학원 ☎055-354-3344]

4. 16진수 FF를 10진수로 나타내면?
     가. 254
     나. 255
     다. 256
     라. 257

     정답 : []
     정답률 : 69%
     <문제 해설>
우선 16진수를 4자리씩 확장하여 2진수로 변환한후 10진수로 읽어 주시면 빠르게 읽을수 있습니다.
[해설작성자 : 밀양금성컴퓨터학원 ☎055-354-3344]

5. 하나의 명령어가 2개의 오퍼랜드를 가지고 있으며, 처리할 데이터를 제 1, 제 2 오퍼랜드에 기억시키고 그 처리 결과를 제 1오퍼랜드에 기억시키므로 제 1오퍼랜드로 표시된 장소에 기억되어 있던 내용은 처리후에 지워지게 되는 명령의 형식은?
     가. 1 어드레스(Address) 방식
     나. 2 어드레스(Address) 방식
     다. 3 어드레스(Address) 방식
     라. 2 메모리(Memory) 방식

     정답 : []
     정답률 : 68%
     <문제 해설>
기억 기능이 없다고 하였으므로 2주소 방식 입니다.
0주소 : 스택(Stack)
1주소 : 누산기(ACC)
2주소 : 일반적,범용, 기억불능,자료보존 불능
3주소 : 특수, 기억가능, 자료보존 가능
[해설작성자 : 밀양금성컴퓨터학원 ☎055-354-3344]

6. 원판형의 자기디스크 장치에서 하나의 원으로 구성된 기억공간으로, 원판형을 따라 동심원으로 나눈 것은?
     가. 헤드(Head)
     나. 릴(Reel)
     다. 실린더(Cylinder)
     라. 트랙(Track)

     정답 : []
     정답률 : 75%
     <문제 해설>
원판을 따라 동심원으로 나눈것을 트랙이라고 합니다.
이러한 트랙들을 다시 나누면 그것을 섹터라고 부릅니다.
[해설작성자 : 밀양금성컴퓨터학원 ☎055-354-3344]

헤드(Head) : 자기디스크의 자료를 읽고, 쓰고, 지우는 장치입니다.
릴(Reel) :자기테이프에서 테이프를 감는 장치 입니다.
실린더(Cylinder) : 플래터가 여러장일때 서로 다른 면에 있는 동일 트랙의 모임
[해설작성자 : country-dog 티스토리]

7. 2진수 10110을 1의 보수(1'complement)로 표현한 것은?
     가. 11110
     나. 01000
     다. 00110
     라. 01001

     정답 : []
     정답률 : 87%
     <문제 해설>
1의보수는 0은 1로 1은 0으로 무조건 반대로 바꾸어 주면 됩니다.
[해설작성자 : 밀양금성컴퓨터학원 ☎055-354-3344]

8. 다음 진리표와 같이 연산이 행해지는 게이트는?

   

     가. OR
     나. AND
     다. NAND
     라. XOR

     정답 : []
     정답률 : 83%
     <문제 해설>
AND : 둘다 1이어야 1
OR : 둘중 하나라도 1이면 1
[해설작성자 : 밀양금성컴퓨터학원 ☎055-354-3344]

9. 8bit 컴퓨터에서 부호화 절대치 방식으로 수치 자료를 표현했을 때, 기억된 값은 얼마인가?

   

     가. -11
     나. -12
     다. 11
     라. 12

     정답 : []
     정답률 : 71%
     <문제 해설>
부호화 절대치의 경우 맨 왼쪽의 숫자가 0이면 양수이고
1이면 음수 입니다. 나머지는 그냥 2진수 읽듯이 읽어 주시면 됩니다.
[해설작성자 : 밀양금성컴퓨터학원 ☎055-354-3344]

10. 불대수(Boolean algebra)의 정리 중 틀린 것은?
     가. A+A=A
     나. A·A'=0
     다. A+A'=1
     라. A+0=0

     정답 : []
     정답률 : 75%
     <문제 해설>
A+0=A 입니다.
[해설작성자 : 밀양금성컴퓨터학원 ☎055-354-3344]

11. 그림의 전기회로를 컴퓨터의 논리회로로 치환하면?

    

     가. AND
     나. OR
     다. NOT
     라. NAND

     정답 : []
     정답률 : 81%
     <문제 해설>
두 스위치중 아무것이나 연결되면 꼬마전구에 불이 들어 오므로 OR 입니다.
[해설작성자 : 밀양금성컴퓨터학원 ☎055-354-3344]

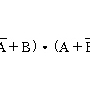
12. 다음의 논리회로에 맞는 불 대수식은?(A, B는 입력, Y는 출력)

    

     가. Y=A·B
     나. Y=A +B
     다. Y=A · (A B)
     라. Y=(A+B) · B

     정답 : []
     정답률 : 56%
     <문제 해설>
단순한 OR 게이트의 연결 입니다.
[해설작성자 : 밀양금성컴퓨터학원 ☎055-354-3344]

OR회로로만 이루어진 문제입니다.
A, B가 OR 회로를 지나 A+B가 됩니다.
이후 A+B가 B회로와 다시 OR회로를 지나며 (A+B)+B가 됩니다.
세 입력이 동일한 논리 연산을 수행시 입력의 순서가 바뀌어도 연산 결과가 동일합니다.
이러한 결합법칙으로 A+(B+B)로 변경할 수 있습니다.
B+B=B이므로 결과값은 A+B가 됩니다.
[해설작성자 : country-dog 티스토리]

13. 2진수로 부여된 주소값이 직접 기억장치의 피연산자가 위치한 곳을 지정하는 주소 지정 방법은?
     가. 즉시주소지정(Immediate Addressing)
     나. 직접주소지정(Direct Addressing)
     다. 간접주소지정(Indirect Addressing)
     라. 인덱스주소지정(Index Addressing)

     정답 : []
     정답률 : 70%
     <문제 해설>
문제에서 직접 기억장치의 피연산자가 된다고 하였습니다.
직접이라는 단어에 주목하시면 됩니다.
[해설작성자 : 밀양금성컴퓨터학원 ☎055-354-3344]

<직접 주소(Direct Address)>
명령어의 주소부 Operand에 있는 데이터의 값이 실제 주소를 나타내며 주소부가 실제 주소를 나타내므로 다시 기억장치를 참조 할 필요 없으므로 이것을 직접 주소라 합니다. 주소 길이에 제한을 받습니다.

<즉시 주소 지정(즉치 주소 지정)(Immediate Address)>
명령어 자체의 주소부(Operand)에 실제 데이터를 가지고 있는 방식으로 기억 장치를 접근(Access)하지 않으므로 속도가 빠릅니다.

<간접주소(Indirect Address)>
명령어의 주소부(Operand)의 값이 실제 데이터의 주소를 가진 번지 주소를 가지고 있는 방식으로 최소 2회 이상 기억 장치를 접근해야 목표 데이터를 접근할 수 있습니다. 속도는 느리지만 긴 주소를 표현할때 적합합니다.

<인덱스 주소 지정>
명령어 주소 + Index Register 를 계산하여 유효 주소를 계산
[해설작성자 :country-dog 티스토리]

14. 연산에 사용되는 데이터 및 연산의 중간 결과를 레지스터에 저장하는 주된 이유는?
     가. 비용 절약을 위하여
     나. 연산 속도의 향상을 위하여
     다. 기억 장소의 절약을 위하여
     라. 연산의 정확도를 높이기 위하여

     정답 : []
     정답률 : 72%
     <문제 해설>
누산기(ACC,Accumulator) : 연산결과 일시 저장(연산 속도 향상 목적)
[해설작성자 : 밀양금성컴퓨터학원 ☎055-354-3344]

15. 제어논리 장치(CLU)와 산술논리연산 장치(ALU)의 실행순서를 제어하기 위해 사용되는 레지스터는?
     가. 누산기(accumulator)
     나. 프로그램 상태 워드(Program Status Word)
     다. 명령 레지스터(instruction register)
     라. 플래그 레지스터(flag register)

     정답 : []
     정답률 : 55%
     <문제 해설>
연산의 상태는 PSW에서 나타냅니다. 여기서는 답은 플래그 레지스터 입니다.
[해설작성자 : 밀양금성컴퓨터학원 ☎055-354-3344]

16. 전송속도는 느리지만 동시에 많은 채널이 동작 되도록 하며 하나의 입·출력 채널을 이용하여 시분할 방식으로 다수의 장치에서 데이터의 전송을 동시에 수행하도록 하는 채널은?
     가. 셀렉터 채널
     나. 멀티플렉서 채널
     다. 입력 채널
     라. 출력 채널

     정답 : []
     정답률 : 86%
     <문제 해설>
동시에 많은이라는 힌트가 주어 졌습니다. 멀티입니다.
[해설작성자 : 밀양금성컴퓨터학원 ☎055-354-3344]

아래와 같은 오류 신고가 있었습니다.
여러분들의 많은 의견 부탁 드립니다.
추후 여러분들의 의견을 반영하여 정답을 수정하도록 하겠습니다.
참고로 정답 변경은 오류 신고 5회 이상일 경우 수정합니다.

[오류 신고 내용]
멀티플렉서는 출력은 1이지만 입력은 1개가 아닌 여러개로 구성되는데 문제에 문제가 있는듯합니다
[해설작성자 : 하하하]

17. 일반적으로 컴퓨터의 CPU에서 하나의 명령어를 실행하기 위하여 이루어지는 동작 단계를 바르게 나열한 것은?
     가. fetch cycle → instruction decoding cycle → write-back 작업 → 명령어 실행단계
     나. fetch cycle → instruction decoding cycle → 명령어 실행단계 → write-back 작업
     다. fetch cycle → write-back 작업 → 명령어 실행단계 → instruction decoding cycle
     라. instruction decoding cycle → fetch cycle → 명령어 실행단계 → write-back 작업

     정답 : []
     정답률 : 66%
     <문제 해설>
폐-인-명-박
이라 외우면 쉽죠잉
[해설작성자 : kei]

18. 다음 그림에서 ALU 로 2개의 값이 입력되었을 때 AND 연산 후의 값으로 맞는 것은?

    

     가. 010100
     나. 001011
     다. 101011
     라. 111111

     정답 : []
     정답률 : 83%
     <문제 해설>
101011과 101011을 비교 했을 때 AND는 하나라도 0이면 무조건 0이여야 하기때문에 답은 101011이 된다.

19. 레지스터 중 PC(Program Counter)를 바르게 설명한 것은?
     가. 현재 실행 중인 명령어의 내용을 기억한다.
     나. 다음에 수행할 명령어의 번지를 기억한다.
     다. 기억 장소의 내용을 기억한다.
     라. 연산의 결과를 일시적으로 보관한다.

     정답 : []
     정답률 : 76%
     <문제 해설>
Program Counter(PC,프로그램카운터) : 다음 수행 명령번지 기억
[해설작성자 : 밀양금성컴퓨터학원 ☎055-354-3344]

20. 기억장소인 스택(Stack)에 데이터를 저장하기 위해 사용되는 것은?
     가. pull
     나. pop
     다. push
     라. move

     정답 : []
     정답률 : 64%
     <문제 해설>
push : 스택에 데이터 저장
pop : 스택에서 데이터 가져오기
[해설작성자 : 밀양금성컴퓨터학원 ☎055-354-3344]

2과목 : 패키지 활용


21. 다음 SQL 검색문의 의미로 가장 적절한 것은?

    

     가. 학생 테이블의 학과명을 모두 검색하라.
     나. 학생 테이블의 학과명을 중복되지 않게 모두 검색하라.
     다. 학생 테이블의 학과명 중에서 중복된 학과명은 모두 검색하라.
     라. 학생 테이블을 학과명 구별하지 말고 모두 검색하라.

     정답 : []
     정답률 : 76%
     <문제 해설>
DISTINCT : 검색 결과중 중복 제거
CASCADE : 연관관계까지 함께 삭제(참조 중인것도 삭제)
RESTRICT : 참조중이면 삭제 하지 않음
[해설작성자 : 밀양금성컴퓨터학원 ☎055-354-3344]

22. 데이터베이스 개체(Entity)의 속성 중 하나의 속성이 가질 수 있는 모든 값의 집합을 무엇이라고 하는가?
     가. 객체(Object)
     나. 속성(Attribute)
     다. 도메인(Domain)
     라. 카디널리티(Cardinality)

     정답 : []
     정답률 : 81%
     <문제 해설>
도메인(Domain) :    하나의 속성이 취할수 있는 속성 값들의 집합
[해설작성자 : 밀양금성컴퓨터학원 ☎055-354-3344]

23. SQL의 데이터 조작문(DML)에 해당하지 않는 것은?
     가. UPDATE
     나. DROP
     다. INSERT
     라. SELECT

     정답 : []
     정답률 : 70%
     <문제 해설>
DML(데이터 조작 언어)
SELECT - FROM - WHERE : 검색
INSERT - INTO - VALUES : 삽입
UPDATE - SET WHERE : 갱신(업데이트)
DELETE - FROM - WHERE(삭제)
(테이블내의 레코드 조작 언어)
[해설작성자 : 밀양금성컴퓨터학원 ☎055-354-3344]

(DROP)은 DDL 입니다

24. 데이터베이스 구성 요소들의 상호 관계를 논리적으로 정의한 것으로, 데이터의 구조와 제약 조건에 대해 기술한 것은?
     가. 차수
     나. 트랜잭션
     다. 스키마
     라. 튜플

     정답 : []
     정답률 : 70%
     <문제 해설>
스키마 : 제약 조건에 관한 정의의 총칭
[해설작성자 : 밀양금성컴퓨터학원 ☎055-354-3344]

25. DBMS의 필수기능으로 가장 적절한 것은?
     가. 정의기능, 조작기능, 제어기능
     나. 예비기능, 회복기능, 조작기능
     다. 참조기능, 보안기능, 저장기능
     라. 보안기능, 병행제어기능, 검증기능

     정답 : []
     정답률 : 86%
     <문제 해설>
DBMS 필수기능 : DDL(정의어), DML(조작어), DCL(제어어)
[해설작성자 : 밀양금성컴퓨터학원 ☎055-354-3344]

DDL(Data Definition Language): 데이터 정의 언어
DML(Data Manipulation Language): 데이터 조작 언어
DCL(Data Control Language): 데이터 제어 언어
[해설작성자 : 네잎클로버효]

26. 하나 이상의 기본 테이블로부터 유도되어 만들어지는 가상 테이블을 무엇이라 하는가?
     가. 뷰(VIEW)
     나. 유리창(WINDOW)
     다. 테이블(TABLE)
     라. 도메인(DOMAIN)

     정답 : []
     정답률 : 77%
     <문제 해설>
뷰(VIEW) : 가상의 테이블
[해설작성자 : 밀양금성컴퓨터학원 ☎055-354-3344]

27. 스프레드시트의 기능 중 조건에 맞는 내용만 선별하여 추출하는 기능은?
     가. 정렬
     나. 필터
     다. 슬라이드 쇼
     라. 매크로

     정답 : []
     정답률 : 86%
     <문제 해설>
필터 : 조건에 맞는 데이터만 걸러 내는 기능입니다.
[해설작성자 : 밀양금성컴퓨터학원 ☎055-354-3344]

정렬 = 특정 기준에 따라 재배열 합니다. (오름차순, 내림차순, 사용자 지정 정렬)
매크로 = 반복적이고 복잡한 작업을 기록해 두었다가 필요시 호출하여 사용
슬라이드 쇼 = 슬라이드 전환, 애니메이션, 사운드, 동영상, 등 다양한 효과와 함께 결과물을 보여주는 기능
[해설작성자 : country-dog 티스토리]

28. 프레젠테이션에서 사용하는 하나의 화면을 무엇이라 하는가?
     가. 슬라이드
     나. 매크로
     다. 개체
     라.

     정답 : []
     정답률 : 88%
     <문제 해설>
프리젠테이션 기본단위 : 슬라이더(슬라이더 개개의 구성요소 : 개체)
스프레드시트 기본단위 : 셀
[해설작성자 : 밀양금성컴퓨터학원 ☎055-354-3344]

29. 다음 SQL 명령문의 의미로 가장 적절한 것은?

    

     가. 성적 테이블과 이 테이블을 참조하는 다른 테이블도 함께 제거하시오.
     나. 성적 테이블이 다른 테이블에 의해 참조 중이면 제거하지 마시오.
     다. 성적 테이블만 제거 하시오.
     라. 성적 테이블의 인덱스만 제거하시오.

     정답 : []
     정답률 : 64%
     <문제 해설>
DISTINCT : 검색 결과중 중복 제거
CASCADE : 연관관계까지 함께 삭제(참조 중인것도 삭제)
RESTRICT : 참조중이면 삭제 하지 않음
[해설작성자 : 밀양금성컴퓨터학원 ☎055-354-3344]

30. 스프레드시트 작업에서 반복적으로 실행하는 경우에 한 번의 명령으로 자동화시켜 처리하는 기능은?
     가. 필터
     나. 정렬
     다. 매크로
     라. 테이블

     정답 : []
     정답률 : 86%
     <문제 해설>
매크로 : 단순한 작업을 반복적으로 수행하도록 만드는것
[해설작성자 : 밀양금성컴퓨터학원 ☎055-354-3344]

3과목 : PC 운영 체제


31. 시스템 프로그램을 디스크로부터 주기억장치로 읽어 내어 컴퓨터를 이용할수 있는 상태로 만들어 주는 과정은?
     가. 부팅(booting)
     나. 스케줄링(schdeuling)
     다. 업데이트(update)
     라. 데드락(deadlock)

     정답 : []
     정답률 : 75%
     <문제 해설>
부팅이란 컴퓨터를 사용자가 사용 가능한 상태로 만들어 주는 과정을 부팅이라고 합니다.
[해설작성자 : 밀양금성컴퓨터학원 ☎055-354-3344]

32. 도스(MS-DOS)명령어에 관한 설명 중 옳지 않은 것은?
     가. CLS : 화면을 깨끗이 지운다.
     나. MD : 새로운 디렉토리를 만든다.
     다. CD : 현재의 디렉토리를 변경한다.
     라. FC : 모든 열려 있는 파일을 닫는다.

     정답 : []
     정답률 : 67%
     <문제 해설>
FC : 파일을 서로 비교 하는것
[해설작성자 : 밀양금성컴퓨터학원 ☎055-354-3344]

33. “윈도 98”에서 도스창을 열어 작업한 후, 다시 윈도로 복귀하고자 할 때 도스창을 종료하는 방법은?
     가. “ESC"를 누른다.
     나. “ALT"+"F4"
     다. “CTRL"+"ENTER"를 누른다.
     라. “EXIT" 명령어를 입력하고 ”ENTER"를 누른다.

     정답 : []
     정답률 : 61%
     <문제 해설>
도스창(명령프롬프트)에서 작업후 윈도로 복귀는 : EXIT

34. 주기억장치의 용량을 실제보다 크게 활용할 수 있도록 하기 위하여 실제 자료를 보조기억장치에 두고 주기억장치에 있는 것과 같이 처리 시킬 수 있는 기억장치는?
     가. 가상 기억장치
     나. 확장 기억장치
     다. 캐시 기억장치
     라. 기본 기억장치

     정답 : []
     정답률 : 61%
     <문제 해설>
가상메모리 : 실제 기억장치보다 더 큰 기억장치가 있다고 속이는 기술의 일종입니다.
[해설작성자 : 밀양금성컴퓨터학원 ☎055-354-3344]

35. UNIX 시스템이 제공하는 편집기 만으로 묶어진 것은?
     가. ed, vi
     나. cat, get
     다. cp, shell
     라. pe2, edit

     정답 : []
     정답률 : 75%
     <문제 해설>
ed(파일편집기), vi 파일명 :(vi editor 적용할) 파일생성

Cat(텍스트파일내용보기), cp(파일복사)
[해설작성자 : 다음카페 한방합격 정익종]

36. A 드라이브의 디스켓을 빠른 포맷하고 시스템 파일을 복사하기 위한 DOS 명령은?
     가. format a: /f
     나. format a: /s
     다. format a: /q
     라. format a: /q /s

     정답 : []
     정답률 : 51%
     <문제 해설>
q : 퀵(빠르게)의 약자 입니다.
s : 시스템 파일의 약자 입니다.
[해설작성자 : 밀양금성컴퓨터학원 ☎055-354-3344]

37. “윈도 98의 시스템 도구 중 디스크의 손상된 부분을 점검하여 복구해 주는 것은?
     가. 디스크 검사
     나. 디스크 조각 모음
     다. 디스크 공간 늘림
     라. 디스크 압축

     정답 : []
     정답률 : 59%
     <문제 해설>
손상을 검사해서 복구해주는 기능이므로 검사 기능입니다.
[해설작성자 : 밀양금성컴퓨터학원 ☎055-354-3344]

<디스크 검사(드라이브 오류 검사)>
디스크의 논리적이나 물리적으로 손상된 부분을 점검하여 발견된 오류를 수정(복구)하는 것으로 디스크의 물리적으로 손상이 있다면 검사후 복구 가능한 에러는 복구해 주는 기능입니다.
배드섹터(HDD의 물리적이나 논리적으로 손상을 입어 판독할 수 없는 현상 또는 섹터)를 표시합니다.
오류검사는 손상된 부분을 복구할 때 교차 연결된 파일이 발견되면 제거하거나 백업(예비저장)해 줍니다.
네트워크 드라이브나 ODD(CD, DVD)는 오류 검사를 할 수 없습니다.
[해설작성자 : country-dog 티스토리]

38. UNIX에서 프롬프트가 % 라면 사용자가 사용하고 있는 쉘의 종류는?
     가. c shell
     나. korn shell
     다. system shell
     라. com shell

     정답 : []
     정답률 : 62%
     <문제 해설>
C Shell : %
Bourn Shell, Korn Shell : $ 프롬프트 사용
[해설작성자 : 밀양금성컴퓨터학원 ☎055-354-3344]

39. “윈도 98” 의 시작버튼 위에서 마우스의 오른쪽 버튼을 눌렀을때 나타나는 메뉴가 아닌 것은?
     가. 열기
     나. 탐색
     다. 설정
     라. 찾기

     정답 : []
     정답률 : 55%
     <문제 해설>
시작버튼을 마우스 오른쪽을 눌렀을때 열기, 찾기, 탐색(열찾탐)으로 암기
[해설작성자 : 다음카페 한방합격 정익종]

40. “윈도 98”에서 지워진 파일이 임시로 보관되는 곳은?
     가. 휴지통
     나. 내 문서
     다. 내 컴퓨터
     라. 내 서류가방

     정답 : []
     정답률 : 87%
     <문제 해설>
휴지통 : 지워진 파일을 임시로 보관하여 필요할 경우 되살리는 기능을 제공 합니다.
[해설작성자 : 밀양금성컴퓨터학원 ☎055-354-3344]

41. UNIX에서 명령어 mv 의 기능으로 옳은 것은?
     가. 파일의 이름을 바꾼다.
     나. 파일을 복구한다.
     다. 파일목록을 열거한다.
     라. 파일을 화면에 출력한다.

     정답 : []
     정답률 : 52%
     <문제 해설>
mv : move의 약자로 이동이라는 뜻을 가지며 이동중 파일 이름을 변경할수 있습니다.
[해설작성자 : 밀양금성컴퓨터학원 ☎055-354-3344]

42. “윈도 98”에 대한 설명으로 옳지 않은 것은?
     가. 데이터를 한 번에 16비트 단위로 처리한다.
     나. Plug and Play 기능을 지원한다.
     다. 네트워크와 인터넷을 지원한다.
     라. 멀티태스킹(Multi-tasking)을 지원한다.

     정답 : []
     정답률 : 76%
     <문제 해설>
32비트 단위로 데이터를 처리 합니다.
[해설작성자 : 밀양금성컴퓨터학원 ☎055-354-3344]

43. 다음 문장의 ( )안에 알맞은 내용은?

    

     가. Cycle
     나. Spooler
     다. Buffer
     라. Scheduler

     정답 : []
     정답률 : 53%
     <문제 해설>
cpu와 관련된 스캐쥴러에 관한 이야기 입니다.
[해설작성자 : 밀양금성컴퓨터학원 ☎055-354-3344]

44. CPU 스케줄링 알고리즘에서 규정시간 또는 시간조각(slice)을 미리 정의하여 CPU 스케줄러가 준비상태 큐에서 정의된 시간만큼 각 프로세스에 CPU를 제공하는 시분할 시스템에 적절한 스케줄링 알고리즘은?
     가. RR(round-robin)
     나. FCFS(first-come-first-served)
     다. SJF(shortest job first)
     라. SRT(shortest remaining time)

     정답 : []
     정답률 : 53%
     <문제 해설>
RR(round-robin) : 시분할 시스템에 많이 사용합니다.
[해설작성자 : 밀양금성컴퓨터학원 ☎055-354-3344]

<RR (Round Robin)>
각 프로세스에게 차례대로 시간 할당량(Time Slice) 동안 처리기를 차지하도록 하는 기법으로 시분할 시스템에서 주로 사용됩니다.
FCFS(First Come First Service) 방식과 같이 준비상태 큐(Queue)에 먼저 들어온 프로세스가 먼저 CPU를 할당받지만 할당된 시간 안에 완료가 되지 않으면 다음 프로세스에게 CPU를 넘겨주고 준비 상태 큐의 가장 뒤로 배치됩니다.
할당시간이 긴 경우 FCFS와 같고 너무 짧으면 문맥교환 및 오버헤드가 발생할 수 있습니다.
[해설작성자 : country-dog tistory]

45. 다음 괄호 안에 가장 알맞은 단어는?

    

     가. operating system
     나. GUI
     다. interpreter
     라. file system

     정답 : []
     정답률 : 74%
     <문제 해설>
user, hardware 사이에 존재 한다고하였으므로 운영체제 입니다.
[해설작성자 : 밀양금성컴퓨터학원 ☎055-354-3344]

46. 시스템의 날짜를 변경하거나, 확인할 수 있는 DOS 명령어는?
     가. CD
     나. DATE
     다. CLS
     라. COPY

     정답 : []
     정답률 : 80%
     <문제 해설>
date : 날짜 관련 명령어 입니다.
[해설작성자 : 밀양금성컴퓨터학원 ☎055-354-3344]

47. "윈도 98“에서 클립보드에 관한 설명 중 옳지 않은 것은?
     가. 다른 프로그램의 정보도 가져오거나 보낼 수 있다.
     나. 한 번에 한 가지의 정보만 저장할 수 있다.
     다. 제일 마지막에 들어온 정보를 기억하고 있다.
     라. 선정된 대상을 클립보드에 복사하는 기능키는 Shift+X이다.

     정답 : []
     정답률 : 71%
     <문제 해설>
선정된 대상을 클립보드에 복사하는 기능키는 Ctrl+C 이다.
[해설작성자 : 밀양금성컴퓨터학원 ☎055-354-3344]

48. “윈도 98” [탐색기]의 [보기] 메뉴에서 아이콘 표시 방식으로 적당하지 않는 것은?
     가. 자세히
     나. 큰 아이콘
     다. 그룹 정렬
     라. 간단히

     정답 : []
     정답률 : 56%
     <문제 해설>
자세히, 간단히, 큰아이콘, 작은 아이콘
[해설작성자 : 나주공고 구동현]

49. UNIX 시스템이 이식성이 높은 가장 큰 이유는?
     가. C 언어로 구성되어 있기 때문에
     나. Cobol 언어로 구성되어 있기 때문에
     다. Basic 언어로 구성되어 있기 때문에
     라. Fortran 언어로 구성되어 있기 때문에

     정답 : []
     정답률 : 83%
     <문제 해설>
UNIX의 커널과 쉘
커널(Kernel) : 시스템의 핵심부분으로 90% 이상이 C 언어로 작성되어 있다(이식성 향상), 나머지 10%는 어셈블리어로 작성되어 있다(고속성) 도스의 IO.SYS, MSDOS.SYS와 같은 기능
[해설작성자 : 밀양금성컴퓨터학원 ☎055-354-3344]

50. 도스(MS-DOS)의 필터(Filter)명령어 중 하나 또는 여러 개의 파일에서 특정한 문자열을 검색하는 명령어는?
     가. FIND
     나. MORE
     다. SORT
     라. SEARCH

     정답 : []
     정답률 : 63%
     <문제 해설>
FIND : 문자열 검색
[해설작성자 : 밀양금성컴퓨터학원 ☎055-354-3344]

51. 다음 중 모뎀을 단말기에 접속할 때 사용하는 방식은?
     가. TTL 접속방식
     나. 와이어 접속방식
     다. 선로스위칭방식
     라. RS-232C 접속방식

     정답 : []
     정답률 : 62%
     <문제 해설>
모뎀을 단말기에 접속할 때 사용하는 RS-232는 PC와 음향 커플러, 모뎀 등을 접속하는 직렬 방식의 인터페이스 또는 포트라고도 하여 일반적으로 직렬 포트라고 불리기도 한다.
[해설작성자 : 다음카페 한방합격 정익종]

52. PCM 통신에서 송신측 변조과정이 아닌 것은?
     가. 양자화
     나. 부호화
     다. 표본화
     라. 복호화

     정답 : []
     정답률 : 62%
     <문제 해설>
PCM 변조 과정 : 표본화-양자화-부호화-복호화-여과
송신측 : 표본화, 양자화, 부호화
수신측 : 복호화, 여과
[해설작성자 : 밀양금성컴퓨터학원 ☎055-354-3344]

53. 신호의 변조속도가 1600[Baud]이고, 트리비트(tribit)인 경우 전송속도[bps]는?
     가. 2400 Bps
     나. 9200 Bps
     다. 4800 Bps
     라. 3200 Bps

     정답 : []
     정답률 : 73%
     <문제 해설>
BPS와 Baud 관계
1비트 : One bit(원) : 2위상
2비트 : Dibit(디) : 4위상
3비트 : Tribit(트리) : 8위상
4비트 : Quadbit(쿼드) : 16위상
위 비트에 해당하는 숫자를 곱하면 됩니다.
현재 1600이며 트리비트 이므로 1600*3 = 4800 입니다.
[해설작성자 : 밀양금성컴퓨터학원 ☎055-354-3344]

54. 다음 중 공중데이터 통신망을 통하여 순간적으로 대량의 패킷 데이터를 전송하는데 가장 적합한 것은?
     가. 메시지교환
     나. 회선교환
     다. 시분할교환
     라. 패킷교환

     정답 : []
     정답률 : 62%
     <문제 해설>
문제에서 패킷이라는 단어가 주어 졌습니다.
[해설작성자 : 밀양금성컴퓨터학원 ☎055-354-3344]

55. 다음 중 각 통화로에 여러 반송주파수를 할당하여 동시에 많은 통화로를 구성하는 방식은?
     가. 시분할 방식
     나. 공간분할 방식
     다. 온라인 방식
     라. 주파수분할 방식

     정답 : []
     정답률 : 64%
     <문제 해설>
반송주파수 라는 단어를 통하여 주파수 분할방식입을 알수 있습니다.
[해설작성자 : 밀양금성컴퓨터학원 ☎055-354-3344]

56. 다음 중 LAN의 네트워크 형태와 가장 관계가 먼 것은?
     가. 스타(star)형
     나. 링(ring)형
     다. 버스(bus)형
     라. 그물(mesh)형

     정답 : []
     정답률 : 52%
     <문제 해설>
LAN은 근거리통신망으로 스타형, 링형, 버스형은 모두 근거리통신망이지만 그물형(망형)은 원거리 통신망에 해당함.
[해설작성자 : 다음카페 한방합격 정익종]

57. 두 지점간을 직통 회선으로 연결한 회선방식으로 트래픽이 많은 경우에 가장 적합한 방식은?
     가. 분기회선방식
     나. 전용회선방식
     다. 루프회선방식
     라. 교환회선방식

     정답 : []
     정답률 : 48%
     <문제 해설>
트래픽이 많으므로 전용선을 이용하는 것이 좋습니다.
[해설작성자 : 밀양금성컴퓨터학원 ☎055-354-3344]

직통 회선(두 지점 사이에 장애나 중계 없이 바로 통하는 회선)으로 연결 한 방식을 말하고 있습니다.
이를 통하여 두 지점에서 다수의 사용자 없이 독점하여 사용해야 하므로 '전용회선방식이'이라는 것을 알 수 있습니다.
[해설작성자 : country-dog tistory.com]

58. OSI 7계층 참조모델 중 논리적 링크라고 불리는 가상회로와 관련 있는 것은?
     가. 데이터링크계층
     나. 네트워크계층
     다. 응용계층
     라. 세션계층

     정답 : []
     정답률 : 35%
     <문제 해설>
논리적 링크라고 불리는 가상회로는 네트워크계층에 해당
또 네트워크 계층은 IP 및 라우터와도 관련 된 계층임

59. 다음 중 정지위성의 위치는 지구 적도 상공 약 몇 [km]인가?
     가. 25000
     나. 36000
     다. 45000
     라. 56000

     정답 : []
     정답률 : 70%
     <문제 해설>
적도상공 약 36000킬로미터
[해설작성자 : 밀양금성컴퓨터학원 ☎055-354-3344]

60. 다음 중 데이터 통신의 에러제어 방식에 속하지 않는 것은?
     가. 반향검사
     나. 검출후 재전송
     다. 전진에러수정
     라. 자동송출제어

     정답 : []
     정답률 : 41%
     <문제 해설>
반향(ECHO)검사, 검출후 재전송(ARQ, 자동 반복 요청), 전진에러수정(FEC), 해밍(Hamming)코드, CRC방식 등이 있습니다.
[해설작성자 : 다음카페 한방합격 정익종]


정 답 지

1

2

3

4

5

6

7

8

9

10

11

12

13

14

15

16

17

18

19

20

21

22

23

24

25

26

27

28

29

30

31

32

33

34

35

36

37

38

39

40

41

42

43

44

45

46

47

48

49

50

51

52

53

54

55

56

57

58

59

60

정보처리기능사 필기 기출문제(해설) 및 CBT 2008년07월13일(4회)을 이용해 주셔서 감사합니다.
정보처리기능사, 기출문제, 정보처리, 기능사, 필기, 기출문제, 전자문제집, CBT, 온라인, 모의테스트, 모의고사



List of Articles
번호 제목 글쓴이 날짜 조회 수
8607 정보처리기능사 필기 기출문제(해설) 및 CBT 2005년04월03일(2회)(4289) 좋은아빠되기 2025.10.07 0
8606 정보처리기능사 필기 기출문제(해설) 및 CBT 2005년07월17일(4회)(4290) 좋은아빠되기 2025.10.07 1
8605 정보처리기능사 필기 기출문제(해설) 및 CBT 2005년10월02일(5회)(4291) 좋은아빠되기 2025.10.07 0
8604 정보처리기능사 필기 기출문제(해설) 및 CBT 2006년01월22일(1회)(4292) 좋은아빠되기 2025.10.07 2
8603 정보처리기능사 필기 기출문제(해설) 및 CBT 2006년04월02일(2회)(4293) 좋은아빠되기 2025.10.07 0
8602 정보처리기능사 필기 기출문제(해설) 및 CBT 2006년07월16일(4회)(4294) 좋은아빠되기 2025.10.07 2
8601 정보처리기능사 필기 기출문제(해설) 및 CBT 2006년10월01일(5회)(4295) 좋은아빠되기 2025.10.07 0
8600 정보처리기능사 필기 기출문제(해설) 및 CBT 2007년01월28일(1회)(4296) 좋은아빠되기 2025.10.07 1
8599 정보처리기능사 필기 기출문제(해설) 및 CBT 2007년04월01일(2회)(4297) 좋은아빠되기 2025.10.07 0
8598 정보처리기능사 필기 기출문제(해설) 및 CBT 2007년07월15일(4회)(4298) 좋은아빠되기 2025.10.07 1
8597 정보처리기능사 필기 기출문제(해설) 및 CBT 2007년09월16일(5회)(4299) 좋은아빠되기 2025.10.07 0
8596 정보처리기능사 필기 기출문제(해설) 및 CBT 2008년02월03일(1회)(4300) 좋은아빠되기 2025.10.07 1
8595 정보처리기능사 필기 기출문제(해설) 및 CBT 2008년03월30일(2회)(4301) 좋은아빠되기 2025.10.07 0
» 정보처리기능사 필기 기출문제(해설) 및 CBT 2008년07월13일(4회)(4302) 좋은아빠되기 2025.10.07 1
8593 정보처리기능사 필기 기출문제(해설) 및 CBT 2008년10월05일(5회)(4303) 좋은아빠되기 2025.10.07 0
8592 정보처리기능사 필기 기출문제(해설) 및 CBT 2009년01월18일(1회)(4304) 좋은아빠되기 2025.10.07 1
8591 정보처리기능사 필기 기출문제(해설) 및 CBT 2009년03월29일(2회)(4305) 좋은아빠되기 2025.10.07 0
8590 정보처리기능사 필기 기출문제(해설) 및 CBT 2009년07월12일(4회)(4306) 좋은아빠되기 2025.10.07 1
8589 정보처리기능사 필기 기출문제(해설) 및 CBT 2009년09월27일(5회)(4307) 좋은아빠되기 2025.10.07 0
8588 정보처리기능사 필기 기출문제(해설) 및 CBT 2010년01월31일(1회)(4308) 좋은아빠되기 2025.10.07 2
Board Pagination Prev 1 ... 196 197 198 199 200 201 202 203 204 205 ... 631 Next
/ 631