자격증 필기 기출문제



정보기기운용기능사 필기 기출문제(해설) 및 CBT 2005년01월30일(1회)(4332)

최강 자격증 기출문제 전자문제집 CBT : www.comcbt.com


전자문제집 CBT란?

종이 문제집이 아닌 인터넷으로 문제를 풀고 자동으로 채점하며 모의고사, 오답 노트, 해설까지 제공하는
무료 기출문제 학습 프로그램으로 실제 상설검정에서 사용하는 OMR 형식의 CBT를 제공합니다.


최신 정보기기운용기능사 필기 기출문제 : [다운로드]

1과목 : 전산 기초 이론


1. 1101의 2의 보수는?
     가. 0110
     나. 0101
     다. 0011
     라. 1101

     정답 : []
     정답률 : 79%
     <문제 해설>
2의 보수는 먼저 2진수값의 1의 보수를 구해서 1을 더한값이다. 1101의 1의 보수값은 0010 이고, 여기에 1을 더하면 0011 이 되므로 다번이 정답입니다.

2. 다음 중 자료 처리를 가장 고속으로 할 수 있는 장치는?
     가. 자기 테이프
     나. 종이 테이프
     다. 자기 디스크
     라. 천공카드

     정답 : []
     정답률 : 71%
     <문제 해설>
디스크장치 ↔ 테이프장치
속도        빠름                    느림
용량        적음                    많음

3. 운영 체제에 속하지 않는 것은?
     가. LISP
     나. UNIX
     다. Window XP
     라. MVS

     정답 : []
     정답률 : 53%
     <문제 해설>
LISP : 인공지능 프로그래밍 등에 주로 사용되는 프로그래밍 언어 입니다.
[해설작성자 : 밀양금성컴퓨터학원 ☎055-354-3344]

4. 다음 순서도 기호의 설명 중 맞는 것은?

   

     가. 입·출력 표시
     나. 서류
     다. 종이카드
     라. 판단

     정답 : []
     정답률 : 87%
     <문제 해설>
판단(Decision)
사용용도:조건비교, 판단, 분기 등 결정
[해설작성자 : 안산공고]

5. 중앙처리장치의 기능으로 적당하지 못한 것은?
     가. 정보의 산술 및 논리연산
     나. 데이터의 기억
     다. 컴퓨터의 각 장치의 동작을 제어
     라. 조작원과의 대화

     정답 : []
     정답률 : 83%

6. 아날로그 계산기의 입력과 관계 없는 것은?
     가. 길이
     나. 전압
     다. 압력
     라. 펄스

     정답 : []
     정답률 : 61%

7. 서브루틴(Subroutine)에 대한 설명으로서 적합하지 않은 것은?
     가. 컴퓨터의 동작상태를 관찰하고 통제하며, 제어하는 목적으로 작성되는 프로그램이다.
     나. 자주 사용하는 일련의 프로그램이나 인터럽트 발생시의 처리프로그램은 서브루틴으로 구성한다.
     다. 서브프로그램(Subprogram)이라고도 하며, 일반적으로 I/O프로그램은 서브프로그램으로 구성한다.
     라. 주프로그램이 서브루틴을 호출하고, 서브루틴 수행시에는 주프로그램이 중단된다.

     정답 : []
     정답률 : 37%
     <문제 해설>
서브루틴?
루틴은 특정한 작업을 실행하기 위한 명령으로 프로그램을 일부 혹은 전부를 이르는 경우에 쓴다. 자주 수행되는 작업은 서브루틴으로 독립시킨 후 메인 루틴이나 다른 서브루틴에서 필요할 경우 요청한다.
[해설작성자 : 경원직업전문학교]

8. 전자계산기의 기능 중 프로그램을 해독하고 필요한 장치에 보내며, 검사, 통제 역할을 하는 기능은?
     가. 기억기능
     나. 제어기능
     다. 연산기능
     라. 출력기능

     정답 : []
     정답률 : 86%

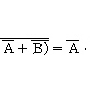
9. 다음 논리회로의 출력 Y의 표시식 중 맞는 것은?(단, A, B는 입력이고 Y는 출력이다)

   

     가. Y = AB + B
     나. Y = (A + B) × A
     다. Y = AB + A
     라. Y = (A + B) + B

     정답 : []
     정답률 : 69%
     <문제 해설>
왼쪽 회로는 AND(논리곱)회로이고, 오른쪽 회로는 OR(논리합)회로이므로, 가번이 정답입니다.

10. OR회로에서는 다음 중 어느 경우에 출력이 논리 “0”이 되는가?
     가. 어느 한 개 입력이 논리 0일때
     나. 모든 입력이 논리 1일때
     다. 모든 입력이 논리 0일때
     라. 어느 2개 입력이 논리 1일때

     정답 : []
     정답률 : 74%
     <문제 해설>
OR 회로는 입력 논리값이 둘중 하나만 1이어도 1이 출력됩니다.

    입력                출력
0         0                0
0         1                1
1         0                1
1         1                1

[해설작성자 : 귀요미슬기]

2과목 : 정보 기기 운용


11. 정보기기의 운용, 보전관리를 위한 작업 계획시 고려사항으로 옳지 않은 것은?
     가. 회선이나 시설의 불량 상태
     나. 운용, 보전 서비스의 기준치 목표 달성
     다. 현재의 가동되는 시설 수
     라. 근무자의 경제 상황

     정답 : []
     정답률 : 86%
     <문제 해설>
근무자의 경제 상황은 고려되지 않습니다.
[해설작성자 : 경원직업전문학교]

12. 다음 시스템 고장진단 중 기억장치 고장에 해당되는 것은?
     가. DRIVE 점멸등 점등여부 확인
     나. 시스템화일을 재장착하고 시스템 재시동
     다. 단말기의 주파수 설정확인
     라. RAM 확장보드가 느슨하지 접촉여부확인

     정답 : []
     정답률 : 64%
     <문제 해설>
기억장치와 관련한 고장이라고 하였으므로 RAM 관련 입니다.

13. 팩시밀리의 원리 중 송신기측에서 보내려는 화상을 일정한 순서에 따라 화소(해상도를 결정하는 요소)로 분해하는 것은?
     가. 주사
     나. 전송
     다. 동보
     라. 광선

     정답 : []
     정답률 : 75%

14. 어떤 전열기에 100[V]의 전압이 가해져 있는데 그 전류는 5[A]라고 한다. 이때 전열기에 흐르는 소비전력은 얼마인가?
     가. 5[kw]
     나. 500[w]
     다. 2[kw]
     라. 200[w]

     정답 : []
     정답률 : 72%
     <문제 해설>
P=VI , 100V * 5A = 500W
[해설작성자 : com10204]

15. 다음 중 음성에너지를 전기에너지로 변환하는 장치는?
     가. 수화기
     나. 송화기
     다. 정류기
     라. 모뎀기

     정답 : []
     정답률 : 61%
     <문제 해설>
음성에너지를 전기에너지로 변환하는 장치는 송화기이고, 전기에너지를 음성에너지로 복원하는 장치는 수화기입니다.

16. 전기가 단위시간인 1초 동안에 하는 일의 양을 무엇이라고 하는가?
     가. 전류
     나. 저항
     다. 전력
     라. 전압

     정답 : []
     정답률 : 64%

17. 일정전압을 유지공급하며, 순간 정전에 대비하여 밧데리 장치를 갖추어 정전이 되어도 일정 시간동안 전압을 공급해주는 사무정보 보조장치는?
     가. UPS
     나. EMI
     다. AVR
     라. CAR

     정답 : []
     정답률 : 77%
     <문제 해설>
무정전 장치(UPS: Uninterruptible Power Supply)
순간 정전에 대비하여 일정한 전압을 유지시켜 정전이 되어도 일정시간 동안 전압을 보내주는 장치.
[해설작성자 : 경원직업전문학교]

18. 다음 중 컴퓨터의 입·출력 장치들만 모은 것은?
     가. 카드리더, 테이프, 마우스, 라인프린터
     나. 카드리더, 라인프린터, 레지스터, 콘솔
     다. 광학문자판독기, 디스크, 케이블, 다이오드
     라. 모뎀, 인터페이스 카드, 다중화기, 롬

     정답 : []
     정답률 : 77%

19. 옴[Ohm]의 법칙에서 전류의 크기는 다음 중 어느 것에 비례하는가?
     가. 저항
     나. 자장의 세기
     다. 기자력
     라. 전압

     정답 : []
     정답률 : 64%
     <문제 해설>
전류(I), 전압(V), 저항(R) 이라고 할때,
I=V/R : 도체에 흐르는 전류는 도체에 가한 전압에 비례하고, 도체의 저항에 반비례
V=IR    : 도체에 가한 전압은 도체에 흐르는 전류와 도체의 저항에 비례
R=V/I : 도체의 저항은 도체에 가한 전압에 비례하고, 도체에 흐르는 전류에 반비례

20. 다음 표는 팩시밀리(Facsimile)의 화상통신 계통도이다. 각 번호에 들어갈 내용을 번호 순으로 올바르게 나열한 것은?

    

     가. 송신원화, 광전변환, 전광변환, 수신원화
     나. 수신원화, 광전변환, 전광변환, 송신원화
     다. 광전변환, 수신원화, 전광변환, 송신원화
     라. 전광변환, 송신원화, 광전변환, 수신원화

     정답 : []
     정답률 : 83%
     <문제 해설>
송광전수 로 외우시면 되겟습니다
[해설작성자 : 인평자동차고 김태욱]

21. 다음 MFC 방식 중 “7”에 해당하는 주파수는?
     가. 저군 697, 고군 1477
     나. 저군 770, 고군 1366
     다. 저군 852, 고군 1209
     라. 저군 852, 고군 1633

     정답 : []
     정답률 : 50%
     <문제 해설>
hz 1209 1336 1477 1633
697 1        2        3        A
770 4        5        6        B
852 7        8        9        C
941 *        0        #        D

7에 해당하는 주파누는 저군 852, 고군은 1209
[해설작성자 : comcbt.com 이용자]

22. 컴퓨터 키보드의 구성를 크게 3가지 요소로 나누었을 때 해당 하지 않는 것은?
     가. 기능키
     나. 숫자키
     다. 문자키
     라. 제어키

     정답 : []
     정답률 : 73%

23. 5[A]의 전류를 2분간 흘렸을 때의 발열량은 몇 Cal인가?(단, 이때의 저항은 10[Ω ]임.)
     가. 250 Cal
     나. 500 Cal
     다. 7200 Cal
     라. 30000 Cal

     정답 : []
     정답률 : 70%
     <문제 해설>
H = 0.24 *I^2 * R * t
0.24 * 5^2 * 10 * 120 = 7200
[해설작성자 : 등교거부]

24. 전자 우편(E-Mail) 시스템에서 편지의 작성과 수정 및 편집과 가장 밀접한 기술은?
     가. 워드프로세싱 기술
     나. DBMS 기술
     다. 네트웍크 기술
     라. O/S 및 인터페이스 기술

     정답 : []
     정답률 : 67%
     <문제 해설>
작성과 수정 및 편집에 관련된 기술이기 때문에 워드프로세싱 기술입니다.
[해설작성자 : 경원직업전문학교]

25. 바코드(Barcode)시스템을 가장 많이 사용하는 것은?
     가. MIS
     나. POS
     다. SIS
     라. DSS

     정답 : []
     정답률 : 83%
     <문제 해설>
바코드는 POS시스템에서 판매, 매출, 제고 관리에 사용된다.

26. 디지털 전송로에 사용되는 신호변환장치는?
     가. DSU
     나. MODEM
     다. ISDN
     라. CPU

     정답 : []
     정답률 : 57%

27. 워드프로세서(Word Processor)의 구성으로 볼 수 없는 것은?
     가. 단말장치
     나. 인쇄장치
     다. 메인 프로세서
     라. 문서 보존 및 관리장치

     정답 : []
     정답률 : 52%
     <문제 해설>
워드프로세서의 구성은 입력장치, 기억장치, 표시장치, 출력장치가 있다. 단말장치는 네트워크 통신망에서 필요한 장치이다.

28. 1.5[V] 건전지 3개를 병렬로 연결하면 합성 전압은 얼마인가?
     가. 1.5[V]
     나. 3[V]
     다. 4.5[V]
     라. 6[V]

     정답 : []
     정답률 : 72%
     <문제 해설>
1.5v 병렬 연결 전압은 수천개를 연결시켜도 1.5v입니다.
[해설작성자 : 아똥]

29. 바이러스 증식을 막는 방법이 아닌 것은?
     가. 감염된 파일의 바이러스를 제거시킨다.
     나. 실행파일의 확장자를 비실행 확장자로 바꾼다.
     다. 디스크상의 파일을 검사한다.
     라. 프로그램을 실행시킬 때 Checksum을 비교한다.

     정답 : []
     정답률 : 77%
     <문제 해설>
확장자를 바꿔도 바이러스의 증식은 막아지지 않습니다.
[해설작성자 : 경원직업전문학교]

30. 다음 중 컴퓨터 바이러스의 특징으로 적당치 않은 것은?
     가. 다른 소프트웨어의 구조를 변경시킨다.
     나. 한 번 수정한 프로그램은 다시 수정하지 않는다.
     다. 바이러스는 자기 자신을 감염시키지 않는다.
     라. 바이러스에 의해 수정된 파일은 대부분 찾을 수 있다.

     정답 : []
     정답률 : 53%
     <문제 해설>
바이러스에 걸린 파일은 보통 날짜가 변경되는 것이 특징이기 때문에 쉽게 찾을수 있는것이 특징이다
바이러스에 걸린 파일은 다른 바이러스에 걸릴수 있기 때문에 1개의 파일이 감염되어도 여러개의 바이러스에 걸릴수 있다
[해설작성자 : 서울오남컴퓨터학원]

3과목 : 정보 통신 일반


31. 통신제어장치의 기능과 가장 관계가 없는 것은?
     가. 회선의 감시
     나. 전기적 결합
     다. 오류 검출, 제어
     라. 데이터 처리

     정답 : []
     정답률 : 39%
     <문제 해설>
통신제어장치는 데이터를 처리하지 않습니다.
[해설작성자 : 경원직업전문학교]

32. 일괄처리(Batch Process)에서 주로 사용되는 방식은?
     가. 온라인 시스템
     나. 리얼타임 시스템
     다. 디레이드타임 시스템
     라. 오프라인 시스템

     정답 : []
     정답률 : 52%
     <문제 해설>
리얼타임은 실시간처리

33. 다음 중 모뎀과 데이터단말기 사이의 전송신호 형태는?
     가. 정현파형
     나. 삼각파형
     다. 회절파형
     라. 펄스파형

     정답 : []
     정답률 : 69%

34. 짝수 패리티검사 방법에서 에러의 발생을 검색할 수 없는 경우는 몇 개의 에러가 동시에 발생한 상태인가?
     가. 1개
     나. 2개
     다. 3개
     라. 5개

     정답 : []
     정답률 : 72%
     <문제 해설>
짝수 패리티검사는 전송 데이터가 패리티 비트를 포함한 1의 개수가 짝수가 되게 하는 방식입니다.
오류비트가 하나만 생긴다면 총 패리티 개수 합이 홀수라서 오류난 걸 알지만 두 개가 생긴다고 가정했을 때 패리티가 짝수가 되버립니다. 그러면 오류가 없다고 판단해서 알 수가 없습니다.
[해설작성자 : 경원직업전문학교]

35. 데이터통신 용량에 영향을 미치지 않는 것은?
     가. 감쇄
     나. 신호대 잡음(S/N)
     다. 주파수 대역
     라. 코딩 레벨(Coding Level)

     정답 : []
     정답률 : 49%

36. 다음 중 패킷교환방식의 특징과 관계가 먼 것은?
     가. 속도 및 프로토콜이 상이한 기기간에도 통신이가능하다.
     나. 패킷의 전송지연이 발생할 수 있다.
     다. 통신내용을 일시 저장할 수 있다.
     라. 통화중인 상태가 발생하면 통화중 신호를 보내준다.

     정답 : []
     정답률 : 42%

37. 정보의 배치(Batch)처리방식에 대하여 가장 적합하게 설명한 것은?
     가. 처리 요구나 데이터가 발생 즉시 하나씩 처리하는 방식
     나. 몇 개의 일(데이터)을 모아 전자계산기에 입력하고 제어 프로그램에 의해 연속처리하는 방식
     다. 다수의 이용자가 동일 전자계산기를 이용하여 동시에 처리하는 방식
     라. 처리 요구 또는 데이터가 발생하는 곳에서 바로 통신회선에 접속하여 입·출력 처리하는 방식

     정답 : []
     정답률 : 61%

38. 텔레비젼을 정보매체로 이용하는 비디오텍스(Videotex)와 텔레텍스트(Teletext)에 대한 설명 중 맞는 것은?
     가. 비디오텍스와 텔레텍스트 모두 전화선을 이용하여 정보를 전송한다.
     나. 비디오텍스는 전화선을 이용하고, 텔레텍스트는 방송형태로 정보를 전송한다.
     다. 비디오텍스와 텔레텍스트 모두 방송형태로 정보를 전송한다.
     라. 비디오텍스는 방송형태로 전송하고, 텔레텍스트는 전화선을 이용한다.

     정답 : []
     정답률 : 49%
     <문제 해설>
비디오텍스는 전화선을 이용하며 양방향으로 전송하고, 텔레텍스트는 방송형태이며 방송은 한 방향으로만 전달되므로 한방향으로 전송한다고 생각하면 됩니다.

39. 음성 및 비음성 통신서비스를 통합한 종합정보통신망은?
     가. PSTN
     나. ISDN
     다. ISTN
     라. VAN

     정답 : []
     정답률 : 72%

40. 다음 전송선로 중 전송속도와 통신용량 면에서 장점이 가장 큰 것은?
     가. 광섬유 케이블
     나. UTP
     다. 동축 케이블
     라. 폼스킨 케이블

     정답 : []
     정답률 : 79%

41. 데이터 전송에 있어서 패리티비트(Parity Bit)를 첨부하는 주 목적은?
     가. 오류(Error)의 정정
     나. 오류의 검출(Checking)
     다. 효율(전송율)향상
     라. 비용(Cost)감소

     정답 : []
     정답률 : 72%

42. 데이터 통신의 전형적 응용분야 중 기계도구의 수치제어및 원격계수 수치판독은 어떤 것에 의해 이루어지는가?
     가. 프로세서간 데이터 교환
     나. 대화형 시차배분
     다. 즉시처리 데이터 획득과 공정제어
     라. 정보검색

     정답 : []
     정답률 : 52%

43. 통신에서 송신측과 수신측을 회선으로 연결하는 작업을 무엇이라고 하는가?
     가. 버퍼(Buffer)
     나. 국선(Trunk)
     다. 채널(Channel)
     라. 링크(Link)

     정답 : []
     정답률 : 59%

44. Z-MODEM 프로토콜의 특징으로 틀린 것은?
     가. 빠른 오류 검출 및 교정 기능이 있다.
     나. 인쇄 가능한 ASCII 문자만을 전송한다.
     다. 전용회선용으로 속도가 매우 빠르다.
     라. 파일크기 및 날짜 등의 정보를 함께 송신할 수 있다.

     정답 : []
     정답률 : 62%
     <문제 해설>
Z-MODEM은 PC통신할때 쓰이는 시리얼 통신 프로토콜입니다. 전송 패킷 크기를 조정할 수 있어서 전송효율이 높고 전송속도가 빠르며, 이어받기 기능이 있습니다.
[해설작성자 : 경원직업전문학교]

45. 광통신시스템의 기본 구성요소로 볼 수 없는 것은?
     가. 광검출기
     나. 광원
     다. 광섬유
     라. 모뎀

     정답 : []
     정답률 : 75%

46. 전화기에서 측음이 커지면 수화기에서 발생하는 현상은?
     가. 발진음이 일어난다.
     나. 수화감도가 높아진다.
     다. 소리가 나지않는다.
     라. 아무 변화가 없다.

     정답 : []
     정답률 : 63%
     <문제 해설>
측음(Sidetone)이 커지면, 말한 소리가 과도하게 증폭되어 다시 수화기로 들어가게 되고, 이 소리가 다시 마이크에 들어가는 루프를 반복하게 됩니다. 이 현상은 음향 피드백(Feedback)을 유발하며, 결국 "발진음(Oscillation, 하울링)"이 발생합니다.

즉, 마이크 → 앰프 → 스피커 → 다시 마이크 로 이어지는 순환 루프에서 점점 음이 커지며 특정 주파수가 자기 증폭되어 "삐이이익" 하는 고주파 발진음이 나는 것이죠.
[해설작성자 : 포항흥해공업고등학교 김현서]

47. 데이터통신 방법 중 서로 다른 방향에서 동시에 송·수신을 행할 수 있는 통신시스템은?
     가. 이중시스템(Dual System)
     나. 반이중시스템(Half Duplex Sytem)
     다. 전이중시스템(Full Duplex System)
     라. 단향시스템(Simplex System)

     정답 : []
     정답률 : 74%

48. OSI 7계층 참조 모델 중 논리적 회로 또는 논리적 링크라고 불리우는 가상회로와 가장 관계가 깊은 것은?
     가. 데이터링크계층
     나. 네트워크계층
     다. 트랜스포트계층
     라. 세션계층

     정답 : []
     정답률 : 51%
     <문제 해설>
논리적 링크 가상회로 나오면 네트워크 계층
[해설작성자 : 몽키.D.루피]

49. 변복조기의 역할과 관계 없는 사항은?
     가. 통신신호의 변환기라고 볼 수 있다.
     나. 디지털신호를 아날로그신호로 변환한다.
     다. 공중전화통신망에 적합한 통신신호로 변환한다.
     라. 컴퓨터신호를 광케이블에 적합한 광신호로 변환한다.

     정답 : []
     정답률 : 55%

50. 네트워크 형태 중 성형에 관한 설명으로 틀리는 것은?
     가. 별모양의 네트워크이다.
     나. 중앙에 호스트 컴퓨터가 있고 이를 중심으로 단말기들이 1:1로 연결되어 있는 형태이다.
     다. 통신선로가 별도로 필요하게 되므로 비교적 통신의 경로가 길어진다.
     라. 모든 제어는 단말기에 의해 이루어지는 분산제어방식이다.

     정답 : []
     정답률 : 48%

51. 정보화추진위원회에 관한 설명으로 틀린 것은?
     가. 정보화추진위원회는 국무총리 소속하에 둔다.
     나. 정보화추진위원회는 정보화 촉진 등에 관한 사항의 심의기관이다.
     다. 정보화추진위원회의 위원장은 정보통신부장관이 된다.
     라. 정보화추진위원회는 정보화를 효율적으로 추진하기 위하여 분야별로 정보화추진분과위원회를 설치.운영 할 수 있다.

     정답 : []
     정답률 : 59%

52. 다음 중 정보통신회선에서 기본적인 블록오율의 측정을 위한 표준신호의 블록크기에 해당하는 것은?
     가. 300 비트
     나. 511 비트
     다. 1200 비트
     라. 2400 비트

     정답 : []
     정답률 : 67%

53. 컴퓨터나 정보처리 능력을 가진 장치 등에 의하여 작성, 송·수신 또는 저장된 문서형식의 자료로서 표준화된 것은?
     가. E-Mail
     나. 개인정보
     다. 프로그램
     라. 전자문서

     정답 : []
     정답률 : 74%

54. 우리나라의 전기통신에 관한 사항은 일반적으로 다른 법률에 특별히 규정한 것을 제외하고는 누가 관장하는가?
     가. 대통령
     나. 정보통신부장관
     다. 국무총리
     라. 한국통신사장

     정답 : []
     정답률 : 72%

55. 별정통신사업을 경영하려면 어떤 절차를 받아야 하는가?
     가. 정보통신부장관에게 신고만 하면 된다.
     나. 정보통신부장관에게 등록을 하여야 한다.
     다. 기간통신사업자의 승인을 받아야 한다.
     라. 어떤 절차가 없이 임의대로 경영할 수 있다.

     정답 : []
     정답률 : 68%

56. 정보통신부장관이 정보통신업무의 이용을 제한하거나 정지할 수 있는 최우선적인 경우는?
     가. 통화폭주의 경우
     나. 국가비상사태의 경우
     다. 재해구호의 경우
     라. 통신설비장해의 경우

     정답 : []
     정답률 : 77%

57. 전기통신을 하기 위한 기계, 기구, 선로 기타의 전기적 설비를 무엇이라고 하는가?
     가. 전기통신망
     나. 전기통신재료
     다. 전기통신설비
     라. 전기통신신호

     정답 : []
     정답률 : 73%
     <문제 해설>
문제에 전기통신 설비 정답
[해설작성자 : 올라운더요]

58. 정보화촉진 기본계획은 누가 관계 중앙행정기관별 부문계획을 종합하여 수립하는가?
     가. 국무총리
     나. 정보통신부장관
     다. 한국전산원장
     라. 정보화추진위원회위원장

     정답 : []
     정답률 : 57%

59. 건전한 정보통신 질서의 확립과 정보의 안전한 유통을 위하여 정보 보호 시책을 효율적으로 추진하기 위하여 정부가 설립한 기구는?
     가. 한국전산원
     나. 한국정보문화센터
     다. 한국정보보호센터
     라. 정보화추진위원회

     정답 : []
     정답률 : 45%

60. 다음 중 정보통신기기의 통신기능에 장애를 줄 수 있는 불요 전자파대에 해당하는 것은?
     가. 300[Hz] ~ 3400[Hz]의 음성 주파수대역
     나. 8[KHz] ~ 16[KHz]의 비음성 주파수대역
     다. 4[KHz] ~ 3[GHz]의 유선주파수대역
     라. 10[KHz] ~ 3[GHz]의 무선주파수대역

     정답 : []
     정답률 : 35%


정 답 지

1

2

3

4

5

6

7

8

9

10

11

12

13

14

15

16

17

18

19

20

21

22

23

24

25

26

27

28

29

30

31

32

33

34

35

36

37

38

39

40

41

42

43

44

45

46

47

48

49

50

51

52

53

54

55

56

57

58

59

60

정보기기운용기능사 필기 기출문제(해설) 및 CBT 2005년01월30일(1회)을 이용해 주셔서 감사합니다.
정보기기운용기능사, 기출문제, 정보기기, 기능사, 필기, 기출문제, 전자문제집, CBT, 온라인, 모의테스트, 모의고사



List of Articles
번호 제목 글쓴이 날짜 조회 수
4046 정보기기운용기능사 필기 기출문제(해설) 및 CBT 2005년07월17일(4회)(4334) 좋은아빠되기 2025.10.07 1
4045 정보기기운용기능사 필기 기출문제(해설) 및 CBT 2005년04월03일(2회)(4333) 좋은아빠되기 2025.10.07 2
» 정보기기운용기능사 필기 기출문제(해설) 및 CBT 2005년01월30일(1회)(4332) 좋은아빠되기 2025.10.07 2
4043 정보기기운용기능사 필기 기출문제(해설) 및 CBT 2004년10월10일(5회)(4331) 좋은아빠되기 2025.10.07 1
4042 정보기기운용기능사 필기 기출문제(해설) 및 CBT 2004년07월18일(4회)(4330) 좋은아빠되기 2025.10.07 3
4041 정보기기운용기능사 필기 기출문제(해설) 및 CBT 2004년04월04일(2회)(4329) 좋은아빠되기 2025.10.07 1
4040 정보기기운용기능사 필기 기출문제(해설) 및 CBT 2004년02월01일(1회)(4328) 좋은아빠되기 2025.10.07 2
4039 정보기기운용기능사 필기 기출문제(해설) 및 CBT 2003년10월05일(5회)(4327) 좋은아빠되기 2025.10.07 0
4038 정보기기운용기능사 필기 기출문제(해설) 및 CBT 2003년07월20일(4회)(4326) 좋은아빠되기 2025.10.07 1
4037 정보기기운용기능사 필기 기출문제(해설) 및 CBT 2003년03월30일(2회)(4325) 좋은아빠되기 2025.10.07 0
4036 정보기기운용기능사 필기 기출문제(해설) 및 CBT 2003년01월26일(1회)(4324) 좋은아빠되기 2025.10.07 1
4035 정보기기운용기능사 필기 기출문제(해설) 및 CBT 2002년10월06일(5회)(4323) 좋은아빠되기 2025.10.07 0
4034 정보기기운용기능사 필기 기출문제(해설) 및 CBT 2002년07월21일(4회)(4322) 좋은아빠되기 2025.10.07 1
4033 정보기기운용기능사 필기 기출문제(해설) 및 CBT 2002년04월07일(2회)(4321) 좋은아빠되기 2025.10.07 0
4032 정보기기운용기능사 필기 기출문제(해설) 및 CBT 2002년01월27일(1회)(4320) 좋은아빠되기 2025.10.07 1
4031 정보기기운용기능사 필기 기출문제(해설) 및 CBT 2001년10월14일(5회)(4319) 좋은아빠되기 2025.10.07 0
4030 정보기기운용기능사 필기 기출문제(해설) 및 CBT 2001년07월22일(4회)(4318) 좋은아빠되기 2025.10.07 1
4029 정보기기운용기능사 필기 기출문제(해설) 및 CBT 2001년04월29일(2회)(4317) 좋은아빠되기 2025.10.07 1
4028 정보기기운용기능사 필기 기출문제(해설) 및 CBT 2001년01월21일(1회)(4316) 좋은아빠되기 2025.10.07 1
4027 정보처리기능사 필기 기출문제(해설) 및 CBT 2011년10월09일(5회)(4315) 좋은아빠되기 2025.10.07 0
Board Pagination Prev 1 ... 480 481 482 483 484 485 486 487 488 489 ... 687 Next
/ 687