자격증 필기 기출문제



정보처리산업기사 필기 기출문제(해설) 및 CBT 2018년04월28일(4420)

최강 자격증 기출문제 전자문제집 CBT : www.comcbt.com


전자문제집 CBT란?

종이 문제집이 아닌 인터넷으로 문제를 풀고 자동으로 채점하며 모의고사, 오답 노트, 해설까지 제공하는
무료 기출문제 학습 프로그램으로 실제 상설검정에서 사용하는 OMR 형식의 CBT를 제공합니다.


최신 정보처리산업기사 필기 기출문제 : [다운로드]

1과목 : 데이터 베이스


1. 데이터베이스 언어 중 데이터의 보안, 무결성, 데이터 복구와 관계되는 것은?
     가. 데이터 정의 언어
     나. 데이터 조작 언어
     다. 데이터 제어 언어
     라. 데이터 종속 언어

     정답 : []
     정답률 : 70%
     <문제 해설>
데이터 제어 언어(DCL) : 무결성, 보안 및 권한 제어를 하기 위한 언어입니다.
[해설작성자 : 수험생]

2. 다음 자료에 대하여 버블 정렬을 사용하여 오름차순으로 정렬하고자 할 경우 1회전 후의 결과로 옳은 것은?

   

     가. 3, 8, 4, 9, 7
     나. 3, 4, 9, 7, 8
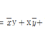
     다. 7, 9, 4, 3, 8
     라. 3, 4, 8, 7, 9

     정답 : []
     정답률 : 64%
     <문제 해설>
버블 정렬은 인접한 두 원소를 검사하여 정렬하는 방식이다. 8,3,4,9,7 을 1회 시킬때
8, 3, 4, 9, 7 -> 8,3 정렬
3, 8 ,4, 9, 7 -> 8,4 정렬
3, 4, 8, 9, 7 -> 8,9 정렬
3, 4, 8, 9, 7 -> 9,7 정렬
3, 4, 8, 7, 9    까지 1회전 이된다.
[해설작성자 : []]

3. 다음 설명에 해당하는 것은?

   

     가. DBMS
     나. Schema
     다. Key
     라. Data Ware House

     정답 : []
     정답률 : 79%
     <문제 해설>
[원문]
it is a collection of meta data describing the structure and constraint of database. it defines data entities, attribute, relations, and constraints of data manipulation
[해석]
이건 데이터베이스의 구조와 제약조건을 설명하는 메타데이터 모음이다.
이건 데이터 조작의 엔티티, 어트리뷰트, 릴레이션, 제약조건을 정의 합니다

[스키마]
데이터베이스의 구조와 제약조건에 관해 전반적인 명세를 기술한것
개체의 특성을 나타내는 속성과 속성들의 집합으로 이루어진것
DB내에 어떤 구조로 데이터에 저장되는가를 나타내는 데이터베이스 구조
[해설작성자 : []]

4. ABC 순서로 입력 시 스택을 이용해 만들 수 없는 문자열은?
     가. BAC
     나. CAB
     다. BCA
     라. CBA

     정답 : []
     정답률 : 73%
     <문제 해설>
물통을 그려서 생각하면 쉬운데 ABC 순서대로 들어갔다가 마지막에 들어간 것 부터 나오니까(LIFO)
1.CBA 2.BCA 3.BAC는 가능함.
이유는 2번같은경우는 A,B를 넣고 B를 먼저빼고 C를 넣으면 BCA가 나오고
3번의경우는 A,B를 넣고 B,A를빼고 C를 마지막에 넣으면 BAC
CAB가 나와야하는경우는 C가 나중에 들어가고 A가 나와야하는데 순서상 불가능함.
[해설작성자 : 미진]

Last In First Out
A, B, C순서와 역순인 C, B, A순으로 넣을 수 있다.

ABC로 입력할 경우 (C,B,A) -> C (B,A, ) ->C B (A, , )
1) B를 먼저 삽입할 경우 C (B,A, ) -> (C,B,A) 4번항목
2) C를 먼저 삽입할 경우 B (C,A, ) -> (B,C,A) 3번항목

CBA로 입렵할 경우 (A,B,C) -> A (B,C, ) -> A B (C, , )
3) A를 먼저 삽입할 경우 B (A,C, ) -> (B,A,C) 1번항목
4) B를 먼저 삽입할 경우 A (B,C, ) -> (A,B,C)
의 경우가 나올 수 있다.

경우의 수가 없는    2번이 정답
[해설작성자 : 51R MJMJ]

5. 다음 설명이 의미하는 것은?

   

     가. Foreign Key
     나. Alternative Key
     다. Primary Key
     라. Reference Key

     정답 : []
     정답률 : 80%
     <문제 해설>
[원문]
it is a single field or combination of fields that uniquely defines a database record.
it is also called a major key. it is mainly used when records are searched or sorted

[해석]
튜플(데이터베이스 레코드) 를 유일하게 정의하는 한개의 필드 또는 필드의 조합이다.
메이저 키라고도 부른다. 주로 레코드를 검색하거나 정렬할때 쓴다

[기본 키 (Primary Key)]
주 키 또는 프라이머리 키라고 하며 관계형 데이터베이스에서 레코드의 식별자로 이용하기에 가장 적합한 것을 데이블 마다 단 한 설계자에 의해 선택, 정의된 후보 키. 유일키는 0~1개 이상의 속성의 집합으로 볼 수 있다.

6. 순수 관계 연산자 중 Project 연산의 연산자 기호는?
     가. σ
     나. ∏(π)
     다. ÷
     라.

     정답 : []
     정답률 : 67%
     <문제 해설>
Select(σ)        >> 특정 조건 만족 튜플의 부분집합을 구함
Project(∏)     >> 속성 목록에서 특정 속성만을 추출하는 연산
Division(÷)    >> r에서 s의 속성들이 도메인값과 일치하는 r의 튜플들을 찾아내는 연산
Set Union(∪) >> 합집합 호환인 두 개의 Relation의 합이 추출됨(중복은 제거)
[해설작성자 : 목표는서울이다]

7. 하나 또는 둘 이상의 기본 테이블로부터 유도되어 만들어지는 가상 테이블은?
     가.
     나. 시스템 카탈로그
     다. 스키마
     라. 데이터 디렉토리

     정답 : []
     정답률 : 84%
     <문제 해설>
뷰(View) : 하나 or 둘 이상의 다른 테이블을 기반으로 만들어진 가상 테이블
[해설작성자 : 자격증 취득]

8. 데이터베이스 설계 과정 중 개념적 설계 단계에 대한 설명으로 옳지 않은 것은?
     가. 산출물로 개체 관계도(ER-D)가 만들어진다.
     나. DBMS에 독립적인 개념 스키마를 설계한다.
     다. 트랜잭션 인터페이스를 설계한다.
     라. 논리적 설계 단계의 전 단계에서 수행된다.

     정답 : []
     정답률 : 65%
     <문제 해설>
"3.    트랜잭션 인터페이스를 설계한다. "는 논리적 설계단계에서 일어난다
[해설작성자 : ㅇㅇㅇㅇㅇ]

9. 선형구조에 해당하지 않는 것은?
     가. 그래프(Graph)
     나. 큐(Queue)
     다. 스택(Stack)
     라. 배열(Array)

     정답 : []
     정답률 : 84%
     <문제 해설>
비선형 구조 -    트리(Tree), 그래프(Graph)
[해설작성자 : .]

10. 릴레이션에 대한 특성으로 틀린 것은?
     가. 한 릴레이션에 포함된 튜플 사이에는 순서가 없다.
     나. 한 릴레이션을 구성하는 애트리뷰트 사이에는 순서가 없다.
     다. 모든 애트리뷰트 값은 원자값이다.
     라. 한 릴레이션에 포함된 튜플들은 모두 동일하다.

     정답 : []
     정답률 : 69%
     <문제 해설>
릴레이션의 각 행에 해당하는 튜플 값은 모두 다르고 순서에 무관하며 시간에 따라 변한다.

11. SQL의 데이터 정의문(DDL)에 속하지 않는 것은?
     가. CREATE
     나. DROP
     다. ALTER
     라. INSERT

     정답 : []
     정답률 : 77%
     <문제 해설>
DDL(Data Definition Language) 데이터 정의어 : 데이터베이스 구조 관련 명령어
    CREATE,ALTER,DROP
DML(Data Manipulation Language) 데이터 조작어 : 데이터베이스 내 값 관련 명령어
    SELECT~FROM~WHERE,INSERT~INTO,DELETE~FROM,UPDATE~SET
DCL(Data Control Language) 데이터 제어어 : 데이터베이스의 보안, 무결성, 복구등 DBMS를 제어하기 위한 언어
    GRANT,REVOKE
[해설작성자 : 배줄뽕]

12. 관계 데이터 연산인 관계 대수 및 관계 해석에 대한 설명으로 틀린 것은?
     가. 관계 데이터 모델에 대한 연산의 표현 방법으로 관계 대수와 관계 해석은 모두 절차적인 특성을 갖는다.
     나. 관계 대수는 릴레이션 조작을 위한 연산의 집합으로 피연산자와 결과가 모두 릴레이션이라는 특성을 가지고 있다.
     다. 관계 해석은 원래 수학의 프레디킷 해석(predicate calculus)에 기반을 두고 있다.
     라. 관계 대수의 일반 집합 연산에는 합집합, 교집합, 차집합 등이 있다.

     정답 : []
     정답률 : 75%
     <문제 해설>
관계대수는 어떻게 질의를 수행할것인가를 명시하는 절차적 언어
관계해석은 원하는 정보가 무엇인지만 정의하는 비절차적 언어
[해설작성자 : 미진마진]

13. 시스템 카탈로그에 대한 설명으로 틀린 것은?
     가. 시스템 자신이 필요로 하는 스키마 및 여러 가지 객체에 관한 정보를 포함하고 있는 시스템 데이터베이스이다.
     나. 시스템 카탈로그에 저장되는 내용을 메타데이터라고 한다.
     다. 데이터 사전이라고도 한다.
     라. 일반 사용자는 시스템 테이블의 내용을 검색할 수 없다.

     정답 : []
     정답률 : 85%
     <문제 해설>
일반 사용자는 시스템 테이블의 내용을 검색은 할 수 있으나 수정은 할 수가 없습니다.
ex)모든 테이블들에 관한 정보를 확인하기
        select * from all_tables;
     가능합니다.

14. 다음 트리를 전위 순서(Pre-order)로 운행한 결과는?

    

     가. A B C D E F G H
     나. D B G H E F C A
     다. A B D C E G H F
     라. B D G H E F A C

     정답 : []
     정답률 : 77%
     <문제 해설>
전위 는 root left right이므로

a가 가장 먼저와야한다 그럼 1번 아니면 3번인데
2레벨에서는 b가 d의 뿌리이므로 b가 먼저 그다음이 d이므로 3번이정답이다.
[해설작성자 : 산기공부중]

15. 정규화를 거치지 않으면 릴레이션 조작 시 데이터 중복에 따른 예기치 못한 곤란한 현상이 발생할 수 있다. 이러한 이상(Anomaly) 현상의 종류에 해당하지 않는 것은?
     가. 삭제 이상
     나. 삽입 이상
     다. 갱신 이상
     라. 조회 이상

     정답 : []
     정답률 : 66%
     <문제 해설>
-삭제이상(Deletion Anomaly): 하나의 자료만 삭제하고 싶지만, 그 자료가 포함된 튜플 전체가 삭제됨으로인해 원하지 않는 정보가 손실되는 문제점

-삽입이상(Insertion Anomaly): 원하지 않는 자료가 삽입된다든지, 삽입하는데 자료가부족해 삽입이 되지 않아 발생하는 문제점

-갱신이상(Update Anomaly):     정확하지 않거나 일부의 튜플만 갱신됨으로 인해 정보가 모호해지거나 일관성이 없어져 정확한 정보가 파악되지 않는 문제점

[해설작성자 : 목표는서울이다]

16. 다음 SQL 문에서 DISTINCT의 의미는?

    

     가. 검색결과에서 레코드의 중복 제거
     나. 모든 레코드 검색
     다. 검색결과를 순서대로 정렬
     라. DEPT 의 처음 레코드만 검색

     정답 : []
     정답률 : 85%
     <문제 해설>
DISTINCT = 중복제거

[추가 해설]

DISTINCT는 중복을 제거하기 위해 결과 집합을 자체와 비교해야한다.
모든 레코드 검색은 select * from student;
검색결과를 순서대로 정렬은 order by로 쓰인다.
DEPT의 처음 레코드만 검색은 부서의 처음 검색
[해설작성자 : 스마트소프트웨어과(권이슬)]

17. 스키마의 3계층에서 실제 데이터베이스가 기억장치 내에 저장되어 있으므로 저장 스키마(storage schema)라고도 하는 것은?
     가. 개념 스키마
     나. 외부 스키마
     다. 내부 스키마
     라. 관계 스키마

     정답 : []
     정답률 : 76%
     <문제 해설>
개념스키마는 데이터베이스의 전체적인 구조를 논리적으로 표현한 것으로 Entity간의 관계 및 제약조건, 무결성 규칙, 데이터베이스 접근권한 및 보안 등의 명세를 정의한 스키마이고, 2. 외부 스키마는 사용자나 개발자 입장에서 논리적으로 데이터베이스의 구조를 정의한 것으로 하나의 데이터베이스에 대해 여러개가 존재할 수 있습니다. 3. 내부 스키마란 데이터베이스의 물리적인 구조를 정의한 스키마로 데이터의 속성이나 저장 크기 등을 기술하고 있습니다. 내부 스키마는 물리적인 저장장치와 밀접한 계층으로 시스템 프로그래머나 설계자 관점에서의 스키마입니다. 따라서 정답은 3번이 되겠습니다.
[해설작성자 : IKSAN]

18. 아래의 그림에서 속성(Attribute)의 개수는?

    

     가. 2
     나. 3
     다. 4
     라. 5

     정답 : []
     정답률 : 81%
     <문제 해설>
학번 이름 학과 성별 학년이 속성
갯수가 5개
[해설작성자 : 우형이]

19. 색인 순차 파일에 대한 설명으로 옳지 않은 것은?
     가. 레코드를 추가 및 삽입하는 경우 파일 전체를 복사할 필요가 없다.
     나. 순차 처리와 랜덤처리가 가능하다.
     다. 레코드의 삽입, 삭제, 갱신이 용이하다.
     라. 인덱스를 저장하기 위한 공간과 오버플로우 처리를 위한 별도의 공간이 필요 없다.

     정답 : []
     정답률 : 55%
     <문제 해설>
색인 순차 파일은 색인 구역과 오버플로 구역을 구성하기 위한 추가 기억공간이 필요함
[해설작성자 : 인생1회차]

20. 후위 표기(postfix)식이 다음과 같을 때 식의 계산 결과는?

    

     가. 6
     나. 7
     다. 14
     라. -10

     정답 : []
     정답률 : 59%
     <문제 해설>
postfix 표기식으로 계산을 하면 식을
4(2(34*)+)-) 로 바꾼다 .
*는 3,4 사이에 , +는 2뒤에 , -는 4 뒤로 옮긴다.
4-(2+(3*4))가 된다 .
계산하면 -10
[해설작성자 : 안뇽]

2과목 : 전자 계산기 구조


21. 다음 중 논리 마이크로 동작을 표현한 것은? (단, R1, R2 는 레지스터를 의미한다.)
     가.
     나.
     다.
     라.

     정답 : []
     정답률 : 56%
     <문제 해설>
논리연산자 중 or가 있는데 논리마이크로 동작에서 v가 or를 의미합니다.
1번의 내용 중 입력신호 중 1개라도 1이면 0 출력 나머지는 1을 의미합니다.
[해설작성자 : ㅂㅇㅇ]

2번과 3번은 산술 연산에 해당하며 1번이 논리 연산에 해당한다
[해설작성자 : 스소과1인]

22. 고정 소수점 방식으로 가산이나 감산을 하려고 할 때 가장 처음 수행되는 것은? (단, 큰 수는 A, 작은 수는 B라 가정한다.)
     가. A * B를 수행한다.
     나. A – B를 수행한다.
     다. B – A를 수행한다.
     라. 두 수의 부호를 판단한다.

     정답 : []
     정답률 : 69%
     <문제 해설>
고정 소수점 방식에서 가산 혹은 감산을 하려고 할 때 가장 먼저 수행되는 것은 부호 판단이다.
[해설작성자 : 스소과1인]

23. 다음 논리회로에서 단자 A에 0000, 단자 B에 0101 이 입력된다고 할 때 그 출력은?

    

     가. 1111
     나. 0110
     다. 1001
     라. 0101

     정답 : []
     정답률 : 73%
     <문제 해설>
처음 회로는 and 회로 두번째는 or회로로 보입니다
0000 과 0101 의 and 회로는 0000 이죠
그다음 0000과 0101의 or 회로는 0101이 됩니다.
[해설작성자 : 까군]

24. 주기억장치에서 인출된 명령어가 저장되는 레지스터는?
     가. Program Counter
     나. Instruction Register
     다. General Register
     라. Status Register

     정답 : []
     정답률 : 55%
     <문제 해설>
Instruction Register(명령어 레지스터) : 현재 실행 중인 명령어를 기억하는 레지스터입니다.
[해설작성자 : 수험생]

25. 컴퓨터의 연산에 대한 설명 중 가장 옳지 않은 것은?
     가. 한 번에 3개 이상의 데이터를 단일 연산기로 동시에 처리할 수 있다.
     나. 연산에 사용되는 데이터의 수가 한 개뿐인 것을 단항(unary) 연산이라 한다.
     다. 중앙처리장치(CPU)에서 연산에 사용될 데이터를 기억시켜 두는 장소를 레지스터라 한다.
     라. 이동(move)과 회전(rotate)은 비수치적 연산에 속한다.

     정답 : []
     정답률 : 66%
     <문제 해설>
단일 연산기는 한번에 '최대' 2개의 데이터를 처리합니다.
[해설작성자 : 김제나루토]

26. 명령어의 연산코드(operation code)의 기능과 관계없는 것은?
     가. 입출력 기능
     나. 제어 기능
     다. 논리연산 기능
     라. 주소지정 기능

     정답 : []
     정답률 : 50%
     <문제 해설>
연산코드(Operation code) 의 기능에는
함수 연산기능, 자료 전달기능, 제어 기능, 입.출력 기능이 있다
4번의 주소지정 기능은 자료부(Operand부)에 해당하는 기능이다
[해설작성자 : 필기합격]

27. 캐시 메모리 시스템에서 주기억장치에 있는 블록을 캐시의 슬롯에 대응시키는 방법이 아닌 것은?
     가. segment mapping
     나. direct mapping
     다. associative mapping
     라. set-associative mapping

     정답 : []
     정답률 : 45%
     <문제 해설>
Direct mapping
가상 기억 장치에서 가져오는 블록을 페이지라하는데 그 페이지 번지 변환 기법의 종류의 하나이다.

직접 사상 : 직접 사상(direct mapping)페이지 번지 변환은 현재 수행 중인 프로세스가 가상 번지 를 참조하여 페이지 사상표 시작점 레지스터내의 시작번지를 페이지에 더해 페이지 사상표 내의 번지를 얻는다. 이어 가상 페이지에 접속하여 실 번지를 얻는것.

[추가 해설]

segment 기법은 캐시 메모리가 아닌 가상 메모리(Virtual Memory)에서 관리 기법이다.
[해설작성자 : 김도롱]

28. 연산 장치의 주 기능이 아닌 것은?
     가. 논리연산
     나. 산술연산
     다. 시프트(Shift)연산
     라. 전체 프로그램 저장

     정답 : []
     정답률 : 77%
     <문제 해설>
연산장치는 제어장치의 명령에 따라 실제로 연산을 수행하는 장치.
연산장치가 수행하는 연산에는 산술 연산, 논리 연산, 관계 연산, 이동(Shift) 등 존재한다.
[해설작성자 : 피유피유]

29. 주변장치와 기억장치 사이에서 중앙처리장치의 지시를 받아 정보를 이송하는 기능을 가진 것은?
     가. 기록장치
     나. 채널
     다. 연산장치
     라. 보조기억장치

     정답 : []
     정답률 : 75%
     <문제 해설>
채널 : 입출력장치와 주기억장치를 연결하는 중개 역할을 합니다.
[해설작성자 : 수험생]

30. 프로그램을 실행하는 도중 갑작스런 정전으로 발생하는 인터럽트는?
     가. 입ㆍ출력 인터럽트
     나. 프로그램 인터럽트
     다. 제어 프로그램 호출 인터럽트
     라. 기계 오류 인터럽트

     정답 : []
     정답률 : 75%
     <문제 해설>
입출력 인터럽트 - 입출력의 종료나 입출력의 오류에 의해 CPU의 기능이 요청되는 경우
프로그램검사 인터럽트 - 프로그램 실행 중 보호된 기억공간 내에 접근하거나 불법적인
외부 인터럽트 - 오퍼레이터나 타이머에 의해 의도적으로 프로그램이 중단된 경우
기계오류 인터럽트 - 프로그램을 실행하는 도중 갑작스런 정전이나 컴퓨터 자체 내에서 기계적인 문제가 발생한 경우

31. 십진수 –1을 2의 보수로 표현하면?
     가. 0000 0001
     나. 1000 0001
     다. 1000 0010
     라. 1111 1111

     정답 : []
     정답률 : 55%
     <문제 해설>
2의 보수 변환법은 1의 보수 변환 +1이다.
십진법 1을 2진법으로 변환시키면 0000 0001이 되고 1의 보수 변환시 1111 1110이 된다.
여기에 +1을 하게되면 1111 1111
[해설작성자 : 같이 공부하자]

-1을 이진수로 나타내면 1000 0001 입니다 여기서 제일 앞의 1은 -를 나타냅니다(0이면 +)
여기서 보수를 취하면 0111 1110 이며 2의 보수이기에 +1를 해주면 0111 1111이 됩니다.
여기서 주의 할점은 - 부호를 챙겨줘야하기에 다시 제일 앞에 1을 써주면 1111 1111이 됩니다.
제일 앞자리는 부호를 나타내는 수입니다!
[해설작성자 : 난 틀렸으니 먼저들 가세요....ㅠ]

32. 인터럽트가 발생 되는 원인으로 가장 옳지 않은 것은?
     가. 정전이나 기계적인 문제 발생
     나. SVC(Supervisor Call) 명령 수행
     다. 불법적인 명령 수행
     라. 부프로그램 호출

     정답 : []
     정답률 : 60%
     <문제 해설>
인터럽트의 발생 원인

- 입출력 인터럽트 : 자료의 연산이 종료된 후에 발생한다.
- 프로그램 오류 인터럽트 : 프로그램의 실행도중에 연산 오류나 번지 착오 등의 오류가 있을 때 발생한다.
- SVC 인터럽트 : 프로그램에서 의도적으로 SVC(Supervisor call) 명령을 사용하는 경우에 발생한다.
- 외부 인터럽트 : 할당된 시간을 초과하거나, 콘솔(console)을 이용하여 오퍼레이터가 중단 키를 누를 때, 또는 CPU간에
통신할 때 등에 발생한다.

부프로그램 호출은 포함되지 않는다.
[해설작성자 : 5승민]

33. 일반적인 x86계열 CPU를 이용하는 퍼스널컴퓨터(PC)에서 사용하는 보조기억장치에 해당되지 않는 것은?
     가. DDR RAM
     나. Flash Memory
     다. Hard Disk
     라. SSD

     정답 : []
     정답률 : 50%
     <문제 해설>
일반적으로 주기억장치 또는 메모리라고 하면 RAM 램을 의미한다.
[해설작성자 : 필기합격]

34. 다음 중 인터럽트가 사용되는 것은?
     가. CPU의 동작상태
     나. 메모리 용량 체크
     다. CPU와 I/O 간의 정보전달
     라. CPU의 속도 개선

     정답 : []
     정답률 : 57%
     <문제 해설>
입출력현황을 계속 cpu가 체크할 수 없어 입출력오류 발생시 인터럽트로 오류를 알린다
[해설작성자 : ㅇㅇ]

입출력 현황을 계속 확인하기에는 CPU 자원낭비가 심하여, 계속 CPU가 현황을 체크할 수가 없기에
입출력이 완료되거나, 입출력에서 오류가 발생하면 I/O 장치가 CPU에게 인터럽트 요청을 합니다.
[해설작성자 : 모두 합격하세요!]

35. 컴퓨터에서 사용되는 보조기억장치의 특징이 아닌 것은?
     가. 대용량 기억장치이다.
     나. 주기억장치보다 액세스 속도가 빠르다.
     다. 대형 프로그램을 기억시킬 수 있다.
     라. 주기억장치보다 비트당 가격이 싸다.

     정답 : []
     정답률 : 66%
     <문제 해설>
일반적으로 용량이 작을수록 동작속도가 빠르며, 용량이 클수록 동작속도가 느리다.
[해설작성자 : 김건우]

36. 다음 중 범용 레지스터를 사용하여 기억할 수 없는 것은?
     가. 연산할 데이터
     나. 연산된 결과
     다. 실행될 명령어
     라. 주기억장치에서 보내온 데이터

     정답 : []
     정답률 : 46%
     <문제 해설>
프로그램 카운터는 실행될 명령어가 아니라, 실행될 명령어의 번지를 기억하는 레지스터이다.
[해설작성자 : 우용]

1.2.4번은 범용레지스터에 기억되고
3번 실행될 명령어는 명령 레지스터에 기억됩니다.
[해설작성자 : 야옹]

37. 마이크로 오퍼레이션(micro operation)에 관한 설명 중 옳지 않은 것은?
     가. 명령(instruction) 수행은 일련의 마이크로 오퍼레이션 수행으로 이루어진다.
     나. 가장 기본단위의 프로그램 수행으로 원자(atomic) 연산이라고도 한다.
     다. 마이크로 오퍼레이션 수행은 중앙처리장치를 순서 논리회로로 볼 때 일종의 상태 변환이다.
     라. 컴퓨터의 구조가 변하여도 마이크로 오퍼레이션의 종류는 일정하다.

     정답 : []
     정답률 : 67%
     <문제 해설>
Instruction 을 수행하기 위해 CPU 내의 레지스터와 플래그가 의미 있는 상태 변환을 하도록 하는 동작
CPU의 하나의 Clock Pulse동안 실행되는 레지스터에 저장된 데이터에 의한 기본 동작
제어장치에서 발생하는 제어신호에 의해 Micro Operation의 순서가 결정
여러 단계의 Micro Operation을 통해 하나의 Instruction(마이크로 명령) 을 수행
[해설작성자 : IKSAN]

마이크로 오퍼레이션은 하드웨어에 종속적이기에
컴퓨터 구조가 변하면 마이크로 오퍼레이션의 종류도 변한다.
[해설작성자 : 피유피유]

38. 그림은 어떤 데이터 형식을 나타낸 것인가?

    

     가. Unpack 형 10진수
     나. 고정데이터 10진수
     다. Pack 형 10진수
     라. 가변논리 데이터

     정답 : []
     정답률 : 56%
     <문제 해설>
unpack 10진수는
ex ) 5 4 8
        ffff 0101 ffff 0100 (양수는 C, 음수는 D, 부호없음은 F) 1000
[해설작성자 : 우용]

39. DMA제어기가 한 번에 한 데이터 워드를 전송하고 버스의 제어를 CPU에게 반환하는 방법은?
     가. DMA 대량 전송
     나. 데이지체인
     다. 핸드셰이킹
     라. 사이클 스틸링

     정답 : []
     정답률 : 43%
     <문제 해설>
사이클 스틸링 : 데이터 채널과 CPU가 주기억장치를 통해 액세스 할 때 우선순위를 데이터 채널에게 주는 방식
(버스의 제어를 CPU에게 돌려줍니다.)
[해설작성자 : 수험생]

40. Fetch cycle에서 수행하는 기능에 대한 설명으로 가장 옳지 않은 것은?
     가. 지정된 산술ㆍ논리 연산이 수행된다.
     나. PC의 내용을 MAR로 전송한다.
     다. MAR이 지정하는 명령어를 MBR로 옮긴다.
     라. MBR에 있는 명령어 코드를 IR로 옮긴다.

     정답 : []
     정답률 : 51%
     <문제 해설>
PC → MAR 전송
MAR이 지정하는 위치의 값을 MBR에 전송
MBR에 있는 명령어 코드를 명령 레지스터(IR)로 전송
[해설작성자 : 수험생]

지정된 산술논리 연산을 수행하는 단계는 Execute Cycle(실행 단계)이다.
Fetch Cycle(인출 단계)는
1. 명령어를 주기억장치에서 중앙처리장치의 명령레지스터로 가져와 해독하는 단계이다.
2. 읽어와 해석된 명령어가 1 Cycle 명령이면 이를 수행한 후 다시 Fetch Cycle로 변천한다.
[해설작성자 : 피유피유]

3과목 : 시스템분석설계


41. 시스템에서 한번 고장이 발생하여 다음 고장이 발생할 때까지의 평균시간을 나타내는 것은?
     가. COUNT
     나. CTTF
     다. MTBF
     라. MTTR

     정답 : []
     정답률 : 55%
     <문제 해설>
MTBF(Mean Time Between Failure) : 평균 고장 시간 간격
MTTR(Mean Time To Repair) : 평균 수리 시간
MTTF(Mean Time to Failure) : 평균 고장시간
[해설작성자 : 목표는서울이다]

42. 시스템 개발의 각 단계(분석, 설계, 구현, 테스트 등)에서 이루어지는 문서화의 장점으로 가장 거리가 먼 것은?
     가. 새로운 담당자가 기존 작업에 대한 내용을 쉽게 파악할 수 있다.
     나. 시스템 사용 도중에 변경이나 유지보수가 용이하다.
     다. 시스템 개발 관계자와의 의사소통이 원활하게 이루어질 수 있다.
     라. 표준 개발 아키텍처 또는 개발 방법이 없어도 문서화를 통해 쉽게 시스템 간 호환성을 갖춘 대규모 시스템 개발이 가능하다.

     정답 : []
     정답률 : 67%
     <문제 해설>
문서화의 목적 및 효과
- 인수인계가 용이하다
- 개발 후 시스템의 유지 보수가 용이하다
- 의사 소통이 잘돼 개발팀을 원활히 운용할 수 있다
- 개발 중 추가 변경 또는 개발 후의 변경에 따른 혼란을 방지 할 수 있다
- 개발 방법과 순서를 표준화할 수 있어 효율적인 작업과 관리가 가능하다.
- 타 업무 개발에 참고 할 수 있다.
- 정보를 축적, 생산성을 향상시킬 수 있다.
[해설작성자 : 지나가던 용용이]

43. 코드의 오류 형태 중 입력 시 좌우 자리를 바꾸어 발생하는 오류(error)는?
     가. transposition error
     나. transcription error
     다. random error
     라. omission error

     정답 : []
     정답률 : 75%
     <문제 해설>
1. transposition error 전위 오류 : 입력 시 좌우 자리가 바꾸어 기록한 경우 발생
2. transcription error 필사 오류 : 입력 시 임의의 한 자리를 잘못 기록한 경우 발생
3. random error    임의 오류 오류가 2가지 이상 결합하여 발생한 경우
4. omission error    생략 오류 : 입력 시 한 자리를 빼놓고 기록한 경우 발생

이외에도 이중 오류(Double transposition error) 이는 전위 오류가 2개 이상 발생한 경우에 발생,
추가 오류(Addition error) 입력 시 한 자리를 더 추가하여 기록한 경우 발생이 있다.
[해설작성자 : 너도나도공부]

44. 모듈화에 대한 설명으로 가장 거리가 먼 것은?
     가. 프로그램의 복잡도가 절감된다.
     나. 시스템 개발 시 소프트웨어의 품질을 증대시킬 수 있다.
     다. 시스템 개발 시 시간과 노력을 절감할 수 있다.
     라. 시스템의 디버깅과 수정이 어렵다.

     정답 : []
     정답률 : 71%
     <문제 해설>
시스템의 디버깅과 수정이 용이합니다.
[해설작성자 : 수험생]

45. 다음 중 입력 설계 시 가장 먼저 설계하는 항목은?
     가. 입력 정보의 내용에 관한 설계
     나. 입력 정보의 매체화에 관한 설계
     다. 입력 정보의 투입에 관한 설계
     라. 입력 정보의 발생에 관한 설계

     정답 : []
     정답률 : 65%
     <문제 해설>
단계  >> 설계항목

발생  >> 입력정보의 명칭, 작성목적, 발생지와 발생장소, 발생방법 및 형태 등
수집  >> 수집자 및 수집장소, 수집경로, 수집주기 및 시기, 수집정보의 에러체크방법
매체화 >> 입력정보를 입력 가능한 매체로 변환, 구격결정 등
투입  >> 입력장치, 투입주기 및 시기, 투입정보의 에러 체크 방법
내용  >> 항목명, 항목의 배열, 항목의 자리숫, 항목의 문자 등

[해설작성자 : 목표는서울이다]

46. 소프트웨어 생명주기에 대한 각 단계의 설명으로 가장 옳은 것은?
     가. 유지보수단계 : 사용자의 문제를 구체적으로 이해하고 소프트웨어가 담당해야 하는 영역을 정의하는 단계
     나. 운용단계 : 사용자의 문제를 정의하고 전체 시스템이 갖추어야 할 기본 기능과 성능을 파악하는 단계
     다. 설계단계 : 소프트웨어의 구조와 그 성분을 명확히 밝혀 구현을 준비하는 단계
     라. 계획단계 : 개발된 시스템이 요구사항을 정확히 반영하였는가를 테스트하는 단계

     정답 : []
     정답률 : 57%
     <문제 해설>
1번은 분석 단계, 2번은 조사 단계, 4번은 테스트 단계에 대한 설명입니다.
[해설작성자 : 수험생]

47. 출력 시스템과 입력 시스템이 일치된 것으로 일단 출력된 정보가 이용자의 손을 거쳐 다시 입력되는 시스템의 형태는?
     가. Display 출력 시스템
     나. Turn Around 시스템
     다. File 출력 시스템
     라. COM(Computer Output Microfilm) 시스템

     정답 : []
     정답률 : 76%
     <문제 해설>
턴 어라운드 시스템 : 입력된 자료가 처리되어 일단 출력된 후 이용자를 거쳐 다시 입력되는 방식입니다.
[해설작성자 : 수험생]

48. 코드의 기능으로 가장 옳지 않은 것은?
     가. 자료를 정정할 수 있도록 해준다.
     나. 자료의 구별을 용이하게 한다.
     다. 표현방법을 단순화시킨다.
     라. 정렬, 분류, 갱신 등의 작업을 용이하게 한다.

     정답 : []
     정답률 : 48%
     <문제 해설>
코드 3대 기능 식별, 분류, 배열
그외에 간소화, 표준화, 암호화, 단순화, 연상(표의성), 오류검출, 구별, 추출
이 있음
[해설작성자 : 필기합격]

49. 객체지향기법에 대한 설명으로 가장 옳지 않은 것은?
     가. 복잡한 구조를 단계적, 계층적으로 표현할 수 있다.
     나. 대형 프로그램의 작성이 용이하다.
     다. 상속을 통한 재사용과 시스템 확장이 구조적기법에 비해 어렵다.
     라. 소프트웨어 개발 및 유지보수가 용이하다.

     정답 : []
     정답률 : 66%
     <문제 해설>
객체지향기법은 재사용에 용이하고, 구조적기법에 비해 시스템 확장이 쉽습니다.
[해설작성자 : 임갱]

50. 폭포수 모델(Waterfall Model)에서 개발할 소프트웨어에 대한 전체적인 하드웨어 및 소프트웨어 구조, 자료구조, 제어구조의 개략적인 설계를 작성하는 단계로 가장 옳은 것은?
     가. 구현 단계
     나. 기본 설계 단계
     다. 요구 분석 단계
     라. 통합 시험 단계

     정답 : []
     정답률 : 70%
     <문제 해설>
1. 구현 : 설계 단계에서 만들어진 설계 사양서를 바탕으로 프로그램을 작성하는 단계, 코딩, 디버깅, 단위 테스팅 수행
2. 기본 설계 : 개발될 소프트웨어에 대한 전체적인 하드웨어 및 소프트웨어 구조, 제어 구조, 자료구조의 설계를 작성
3. 요구 분석 : 소프트웨어에 요구되는 기능, 성능 그리고 인터페이스 등 사용자의 요구사항을 구체적으로 이해하는 단계
4. 통합 시험 : 단위 프로그램별로 구현된 것을 통합시키며 시헙하는 단계

폭포수 모델의 개발 순서 : 타당성 조사 -> 계획 -> 요구사항 분석 -> 기본 설계(개략 설계0 -> 상세 설계 -> 구현 -> 통합 시험 -> 시스템 실행 -> 유지 보수

[해설작성자 : 너도나도공부]

51. 그림과 같이 관련되는 데이터 레코드들이 물리적으로는 떨어져 있으나 데이터 레코드에 포함되어 있는 포인터가 순차적으로 데이터 레코드가 저장되어 있는 주소를 지시함으로써 데이터 구조 관계를 유지하는 파일 편성방법은?

    

     가. 순차 편성방법
     나. 색인순차 편성방법
     다. 랜덤 편성방법
     라. 리스트 편성방법

     정답 : []
     정답률 : 45%
     <문제 해설>
리스트 편성방법
:관련되는 데이터 레코드들이 물리적으로는 떨어져 있으나 데이터 레코드에 포함되어 있는 포인터가 순차적으로 데이터 레코드가 저장되어 있는 주소를 지시함으로써 데이터 구조 관계를 유지하는 파일 편성법
장점:앞 뒤의 포인터 값만 변경하는 레코드 수정 용이, 불연속 기억 공간에 활용하기 좋음
단점:파일구조가 복잡함,처리 효율이 낮음
[해설작성자 : ㅇㅅㅇ]

52. 자료 사전에서 사용되는 기호 중 주석을 의미하는 것은?
     가. { }
     나. * *
     다. =
     라. +

     정답 : []
     정답률 : 76%
     <문제 해설>
1. {} : 자료의 반복을 의미
3. =    : 자료의 정의 (~로 구성되어 있다.)
4. +    : 자료의 연결 (그리고,and)
[해설작성자 : 공부]

53. 중량, 용량, 거리, 크기, 면적 등의 물리적 수치를 직접 코드에 적용시키는 코드 방식은?
     가. Significant Digit Code
     나. Sequence Code
     다. Block Code
     라. Decimal Code

     정답 : []
     정답률 : 62%
     <문제 해설>
코드 종류중 유효숫자식 코드(표의 숫자 코드) 에 해당
코드화 대상항목의 크기, 중량, 거리 등을 그대로 사용
예) 폭450mm, 길이700mm, 두께45mm 철판 ——> 450700045

[추가 해설]

1)Significant : 표의 숫자 코드
물리적 수치 그대로 코드에 적용
2)Sequence : 순서코드
일정 기준에 따라 차례로 일련번호 부여
3)Block : 구분 코드
공통성이 있는 것끼리 블록으로 구분하고 블록 내에서 일련변호 부여
4)Decimal : 10진 코드
대상 항목을 0-9까지 10진 분할. 그 각각에 대해 또 10진 분할. 필요한 만큼 반복
[해설작성자 : 피유피유]

54. 코드 설계 순서로 가장 타당한 것은?

    

     가. ㉠ → ㉡ → ㉢ → ㉣
     나. ㉡ → ㉣ → ㉠ → ㉢
     다. ㉣ → ㉠ → ㉡ → ㉢
     라. ㉣ → ㉡ → ㉠ → ㉢

     정답 : []
     정답률 : 58%
     <문제 해설>
코드 설계 순서
코드화 대상 선정 > 코드화 목적의 명확화 > 코드 부여 대상 수 확인 > 사용 범위 결정 >
사용 기간 결정 > 코드화 대상의 특성 분석 > 코드 부여 방식의 결정 > 코드의 문서화
[해설작성자 : ㅇㅅㅇ]

55. 입력 매체인 종이테이프 또는 펀치 카트 상의 데이터를 자기 디스크에 수록하는 처리는 프로세스의 표준 패턴 중 어디에 해당하는가?
     가. 변환(conversion)
     나. 분류(sorting)
     다. 병합(merge)
     라. 대조(matching)

     정답 : []
     정답률 : 55%
     <문제 해설>
변환(Conversion)     -- 매체변환 (ex.테이프파일 --> 자기디스크에 수록)
병합(Merge)                -- 동일한 파일 형식을 가진 두 개 이상의 파일을 하나로 정리
갱신(Update)             -- 마스터 파일 안의 정보 변동에 의해 새로운 내용의 마스터 파일 작성
분배(Distribution) -- 어떤 특정한 조건을 부여하는 조건을 만족시키는 정보와 만족시키지 못하는 정보로 분리
[해설작성자 : 목표는서울이다]

분류 (Sorting) : 레코드를 처리할 순서에 맞게 오름차순 혹은 내림차순으로 재배치
대조 (Matching) : 2개의 파일을 대조하여 그 기록 순서 혹은 기록 내용 검사하는 기능
[해설작성자 : 피유피유]

56. 십진 분류 코드에 대한 설명으로 가장 옳지 않은 것은?
     가. 대량의 자료에 대한 삽입 및 추가가 용이하다.
     나. 코드의 범위를 무한대로 확장 가능하다.
     다. 배열이나 집계가 용이하다.
     라. 기계 처리가 용이하다.

     정답 : []
     정답률 : 55%
     <문제 해설>
코드화 대상물을 일정한 소속으로 구분하여 십진수 한자리씩 구분하여 대분류하고, 같은 방법으로 중.소분류한 코드

장점 >> 추가가 용이하며 무한 대로 확장됨
단점 >> 자릿수가 길어지며 코드의 크기를 추정하기 어려워 처리가 불편함.
[해설작성자 : 목표는서울이다]

57. 다음과 같이 코드를 부여할 대상의 이름이나 약호를 코드의 일부분으로 사용하는 코드화 방법은?

    

     가. 순서 코드(Sequence Code)
     나. 그룹 분류 코드(Group Classification Code)
     다. 블록 코드(Block Code)
     라. 연상 코드(Mnemonic Code)

     정답 : []
     정답률 : 64%
     <문제 해설>
순서코드    >> 자료의 발생순, 크기순, 가나다순 등 일정한 순서대로 코드 부여
그룹 분류 코드 >> 구분 코드를 세분화한 형태로 대분류, 중분류, 소분류 등 각 분류별로 자릿수를 구성
블록 코드   >> 코드화 대상을 미리 파악하여 블록으로 구분한 후 그 안에서 순서대로 코드를 부여
연상 코드   >> 코드를 부여할 대상의 이름이나 약호를 코드의 일부분으로 사용하는 코드화 방법
[해설작성자 : 목표는서울이다]

58. 레코드를 처리할 순서에 맞게 오름차순 또는 내림차순으로 재배치하는 기능은?
     가. Conversion
     나. Matching
     다. Merge
     라. Sort

     정답 : []
     정답률 : 66%
     <문제 해설>
정렬(Sort)은 비순서적으로 되어 있는 파일의 레코드를 어떠한 분류키에 따라 오름차순 또는 내림차순으로 재배치 하는 것을 의미한다.
[해설작성자 : 다음주시험]

59. 주로 편의점, 백화점 등 유통업체의 계산대에서 사용하는 장치로서 고객이 물품을 구입하게 되면 단말기에서 직접 입력하여 중앙 컴퓨터에 전달되어 현장 상황이 즉시 반영되는 것은?
     가. MICR
     나. Plotter
     다. POS
     라. SCADA

     정답 : []
     정답률 : 75%
     <문제 해설>
편의점 백화점에서 계산할때 사용하는 단말기를 POS기라함
[해설작성자 : 내일시험]

60. 시스템 분석가(SA: System Analyst)와 설계자가 갖추어야 할 조건에 대한 설명으로 가장 옳은 것은?
     가. 분석가는 모방성이 있어야 한다.
     나. 업계의 동향과 관련법규를 배제하고 독창적인 시스템을 개발해야 한다.
     다. 컴퓨터기술과 관리기법을 알아야 한다.
     라. 현장분석 경험은 중요하지 않다.

     정답 : []
     정답률 : 68%
     <문제 해설>
시스템 분석가의 기본 조건
1. 분석가는 창조력, 응용력이 있어야한다.
2. 업계의 동향 및 관계 법규 등을 파악할 수 있어야 한다.
4. 현장 분석 경험이 있어야 한다.
[해설작성자 : 숭평원18]

4과목 : 운영체제


61. Round-Robin 스케줄링(Scheduling) 방식에 대한 설명으로 옳지 않은 것은?
     가. 할당된 시간(Time Slice) 내에 작업이 끝나지 않으면 대기 큐의 맨 뒤로 그 작업을 배치한다.
     나. 시간 할당량이 작아질수록 문맥교환 과부하는 상대적으로 낮아진다.
     다. 시간 할당량이 충분히 크면 FIFO 방식과 비슷하다.
     라. 적절한 응답시간이 보장되므로 시분할 시스템에 유용하다.

     정답 : []
     정답률 : 61%
     <문제 해설>
Round-Robin은 대화식 시분할 시스템을 위해 고안된 방식으로, FIFO 방식으로 선점형 기법이다.
할당되는 시간이 클 경우 FCFS 기법과 같아지고, 할당되는 시간이 작을 경우 문맥교환 및 오버헤드가
자주 발생된다.

FCFS(First-Come First-Service) = FIFO 준비상태에서 도착한 순서에 따라 CPU 할당
[해설작성자 : 너도나도공부]

FIFO 방식은 비선점형 방식 입니다.
[해설작성자 : blessyou]

62. SJF(Shortest Job First) 스케줄링에서 작업 도착 시간과 CPU 사용시간은 다음 표와 같다. 모든 작업들의 평균 대기시간은 얼마인가?

    

     가. 15
     나. 17
     다. 24
     라. 25

     정답 : []
     정답률 : 49%
     <문제 해설>
작업1 : 대기시간없음
작업3 : 1의 사용시간(23) - 3의 도착시간 (8) = 15초대기
작업2 : 1의 사용시간(23) + 3의 사용시간 (10) - 2의 도착시간(3) = 30
result = (0+15+30)/3
※대기시간 계산 시 그 전 대기시간은 신경안써도됨.
[해설작성자 : 공부중]

63. 실행되어야 할 작업의 크기가 커서 사용자 기억 공간에 수용될 수 없을 때 작업의 모든 부분들이 동시에 주기억 장소에 상주해 있을 필요가 없다. 이때 작업을 분할하여 필요한 부분만 교체하는 방법을 무엇이라 하는가?
     가. 구역성(locality)
     나. 압축(compaction)
     다. 재배치(relocation)
     라. 오버레이(overlay)

     정답 : []
     정답률 : 40%
     <문제 해설>
1. 구역성(locality) 프로세스가 실행되는 동안 일부 페이지만 집중적으로 참조하는 성질
2. 압축(compaction) 집약 기법 주기억장치 내에 분산되어 있는 단편화된 빈 공간을 결합하여 하나의 큰 가용 공간을 만드는 작업
3. 재배치(relocation) 보조기억장치에 저장된 프로그램이 사용하는 각 주소들을 변경해서 할당된 기억장소의 실제
주소로 배치
4. 오버레이(overlay)
[해설작성자 : 너도나도공부]

64. 디렉토리 구조 중 중앙에 마스터 파일 디렉토리가 있고 그 아래에 사용자별로 서로 다른 파일 디렉토리가 있는 계층 구조는?
     가. 1단계 디렉토리 구조
     나. 2단계 디렉토리 구조
     다. 트리 디렉토리 구조
     라. 비순환 그래프 디렉토리 구조

     정답 : []
     정답률 : 51%
     <문제 해설>
1. 1.단계 디렉토리 구조 : 가장 간단하고, 모든 파일이 하나의 디렉토리 내에 위치하여 관리되는 구조
2. 2.단계 디렉토리 구조 : 중앙에 마스터 파일 디렉토리가 있고, 그아래 사용자별로 서로 다른 파일
디렉토리가 있는 2계층 구조
3. 트리 디렉토리 구조 : 하나의 루트 디렉토리와 여러 개의 종석(서브) 디렉토리로 구성된 구조. DOS, Windows, UNIX 등의 운영체제에서 사용되는 디렉토리 구조
4. 비순환 그래프 디렉토리 구조 : 하위 파일이나 하위 디렉토리를 공동으로 사용할 수 있는 것으로, 사이클이 허용
되지 않는 구조.
[해설작성자 : 너도나도공부]

65. 가상기억장치에 대한 설명으로 가장 옳지 않은 것은?
     가. 컴퓨터시스템의 주기억장치 용량보다 더 큰 저장용량을 주소로 지정할 수 있도록 해준다.
     나. 페이징과 세그먼테이션 기법을 이용하여 가상기억장치를 구현할 수 있다.
     다. 다중 프로그래밍의 효율을 높일 수 있다.
     라. 프로세스가 갖는 가상주소 공간상의 연속적인 주소가 실제 기억장치에서도 연속적이어야 한다.

     정답 : []
     정답률 : 64%
     <문제 해설>
인위적 연속성(artificial continuity)이란 가상기억장치의 개념에서 가상공간의 연속적 주소가 실제 물리적인 공간상에서 연속일 필요가 없다는 것을 뜻하는 말이다. 사상 표를 통해서 가상기억장치의 주소로부터 실기억장치의 주소를 알 수 있다.
[해설작성자 : 이선재]

66. 임계 구역(Critical Section)에 대한 설명으로 가장 옳지 않은 것은?
     가. 프로세스가 일정 시간 동안 자주 참조하는 페이지의 집합을 임계 구역이라고 한다.
     나. 임계 구역에서 프로세스 수행은 가능한 빨리 끝내야 한다.
     다. 임계 구역에서는 프로세스가 무한 루프에 빠지지 않도록 해야 한다.
     라. 임계 구역에서는 프로세스들이 하나씩 순차적으로 처리되어야 한다.

     정답 : []
     정답률 : 55%
     <문제 해설>
1번은 Working Set을 의미하는 것입니다
[해설작성자 : 목표는서울이다]

67. CPU 스케줄링에서 선점(Preemptive)과 비선점(Non-preemptive) 스케줄링에 대한 설명으로 가장 옳은 것은?
     가. 선점 스케줄링은 CPU가 어떤 프로세스 실행을 시작하여 그 프로세스가 종료될 때까지 다른 프로세스를 실행할 수 없도록 한 스케줄링이다.
     나. 비선점 스케줄링은 CPU가 어떤 프로세스 실행 중에 다른 프로세스가 CPU를 요구하면 실행중인 프로세스를 중단하고 요구한 프로세스가 실행될 수 있도록 설계한 스케줄링이다.
     다. 비선점 스케줄링은 온라인 응용과 일괄처리 응용 모두에 적합한 스케줄링이다.
     라. 선점 스케줄링은 온라인 응용에 적합한 스케줄링이다.

     정답 : []
     정답률 : 43%
     <문제 해설>
1번은 비선점 스케줄링의 설명이고,
2번은 하나의 프로세스가 CPU를 할당받아 실행하고 있을 때 우선순위가 높은 다른 프로세스가 CPU를 강제로 빼앗아 사용할 수 있는 스케줄링 기법을 말하므로 선점 스케줄링이다.
3번의 비선점 스케줄링은 일과 처리 방식에 적합한 스케줄링이다.
선점 스케줄링은 우선순위가 높은 프로세스를 빠르게 처리할 수 있고, 주로 빠른 응답 시간을 요구하는 대화식 시분할
시스템, 온라인 응용 등에 사용
[해설작성자 : 너도나도공부]

68. SCAN 디스크 스케줄링 기법의 특징으로 가장 옳지 않은 것은?
     가. SSTF(SHORTEST SEEK TIME FIRST)의 개선 기법이다.
     나. 도착 순서에 따라 실행 순서가 고정된다는 점에서 공평하다.
     다. 진행방향상의 가장 짧은 거리에 있는 요청을 먼저 수행한다.
     라. 실린더 지향 전략이다.

     정답 : []
     정답률 : 51%
     <문제 해설>
SCAN은 현재 헤드의 위치에서 진행 방향이 결정되면 탐색거리가 짧은 순서에 따라 그 방향의 모든 요청을 서비스합니다

도착순서에 따라 실행 순서가 고정되는 것은 FCFS(First Come First Service)입니다
FCFS는 더 높은 우선순위의 요청이 입력되어도 순서가 바뀌지 않아 공평성이 보장됩니다
[해설작성자 : 목표는서울이다]

69. 다음 접근제어 리스트에서 “파일1” 이 처리될 수 없는 것은? (단, R=읽기, W=쓰기, P=인쇄, L=공유)

    

     가. 읽기
     나. 쓰기
     다. 인쇄
     라. 공유

     정답 : []
     정답률 : 77%
     <문제 해설>
'파일 1' 에 대한 접근 제어 리스트가 'RWP'이므로 읽기, 쓰기, 인쇄가 가능하며, 공유는 불가능합니다.
'파일 2' 에 대한 접근 제어 리스트가 'RWL'이므로 읽기, 쓰기, 공유가 가능하며, 인쇄는 불가능합니다.
[해설작성자 : 너도나도공부]

70. CPU 스케줄링 알고리즘의 성능을 평가하는 기준으로 가장 거리가 먼 것은?
     가. 대기시간(waiting time)
     나. CPU 사용률
     다. 처리율(throughout)
     라. 교체(swapping) 시간

     정답 : []
     정답률 : 57%
     <문제 해설>
CPU 스케줄링 알고리즘의 성능 평가 기준에는 CPU 이용률, 처리율, 반환 시간, 대기 시간, 응답 시간 등 존재한다.
[해설작성자 : 피유피유]

71. 페이지 교체 기법 중 시간 오버헤드를 줄이는 기법으로서 참조 비트(referenced bit)와 변형 비트(modified bit)를 필요로 하는 방법은?
     가. FIFO
     나. NRU
     다. LFU
     라. NUR

     정답 : []
     정답률 : 50%
     <문제 해설>
NUR(Not Used Recently) >> 최근에 사용하지 않은 페이지는 향후에도 사용되지 않을 가능성이 높다는 것을 전제로 시간적인 오버헤드를 줄일 수 있는 기법입니다
[해설작성자 : 목표는서울이다]

72. 운영체제의 운용 기법 중 시분할 체제에 대한 설명으로 가장 옳지 않은 것은?
     가. 일괄 처리 형태에서의 사용자 대기 시간을 줄이기 위한 대화식 처리 형태이다.
     나. 여러 사용자가 CPU를 공유하고 있지만 마치 자신만이 독점하여 사용하고 있는 것처럼 느끼게 된다.
     다. 좋은 응답 시간을 제공하기 위해 각 사용자들에게 일정 CPU 시간만큼을 차례로 할당하는 SJF 스케줄링을 사용한다.
     라. 단위 작업 시간을 Time Slice 라고 한다.

     정답 : []
     정답률 : 51%
     <문제 해설>
시분할 체제가 되기 위해서는 선점형으로 프로세스 스케줄링을 운영해야합니다.
RR,SRT등은 선점형이지만 FIFO, SJF, HRN은 시분할이 불가능한 비선점형프로세스입니다.
[해설작성자 : 목표는서울이다]

73. 다중 처리기(Multi-Processor) 운영체제 구조 중 주종(Master/Slave) 처리기에 대한 설명으로 가장 옳지 않은 것은?
     가. 하나의 프로세스를 주(Master)프로세서로 지정하고, 나머지들은 종(Slave)프로세서로 지정한다.
     나. 운영체제의 수행은 주(Master)프로세서가 담당한다.
     다. 주(Master)프로세서와 종(Slave)프로세서가 동시에 입출력을 수행하므로 대칭 구조를 갖는다.
     라. 주(Master)프로세서가 고장나면 전체 시스템이 다운된다.

     정답 : []
     정답률 : 70%
     <문제 해설>
종(slave)는 연산만 수행.
[해설작성자 : slsi.god]

74. 운영체제의 설계 목표가 아닌 것은?
     가. 빠른 응답시간
     나. 처리량 향상
     다. 경과 시간 증가
     라. 폭 넓은 이식성

     정답 : []
     정답률 : 75%
     <문제 해설>
경과 시간 증가는 더 느려지는겁니다 운영체제 설계 목표는 보다 빠른 처리죠
[해설작성자 : KINGSILVA]

75. 스풀링(Spooling)에 대한 설명으로 가장 옳지 않은 것은?
     가. CPU와 입ㆍ출력장치를 아주 높은 효율로 작업할 수 있도록 하는 다중 프로그래밍의 운영 방식이라고 볼 수 있다.
     나. 많은 작업의 입ㆍ출력과 계산을 중복하여 수행할 수 있다.
     다. 용량이 크고 빠른 디스크를 이용하여 각 사용자의 입ㆍ출력을 효과적으로 처리하는 기법이다.
     라. 입ㆍ출력이 일어나는 동안 그 데이터를 주기억장치에 저장하여 처리한다.

     정답 : []
     정답률 : 44%
     <문제 해설>
버퍼링 --> 주기억 장치
스풀링 --> 보조기억장치

76. 라운드로빈(Round-Robin) 방식으로 스케줄링 할 경우, 입력된 작업이 다음과 같고 각 작업의 CPU 할당 시간이 3시간일 때, CPU의 사용 순서가 가장 옳게 나열된 것은?

    

     가. A A A A B B C C C C C
     나. A A A A C C C C C B B
     다. A B C A B C A C A C C
     라. A B B C A A A C C C C

     정답 : []
     정답률 : 61%
     <문제 해설>
A    B    C    A    B    C    A    C    A    C    C
7    2    12 4    x    9    1    6    x    3    x
[해설작성자 : 아닙니다 아니고요 아니네요 또 해봐도 아니네요]

cpu 할당시간이 3시간이므로 한 작업당 3시간씩 수행을 할 수 있습니다.
A같은 경우 3시간을 수행하면 7시간이 모자르지만 할당시간이 끝났으므로 다음 작업으로 넘어갑니다.
B역시 3시간으로 2시간이 부족하지만 할당시간이 끝났으므로 다음 작업으로 넘어갑니다.
C역시 3시간을 사용하면 다시 A부터 3시간씩 재할당 하여 모든 작업이 끝날 때 까지 반복합니다.
A     B     C     A     B(B는 여기서 작업 끝)     C     A     C     A(작업끝)        C     C(작업끝)
[해설작성자 : 난 틀렸으니 먼저들 가세요....ㅠ]

77. UNIX에서 명령어 해석기로 명령어를 읽어서 실행하는 것은?
     가. kernel
     나. i-node
     다. shell
     라. PCB

     정답 : []
     정답률 : 62%
     <문제 해설>
Shell    -- 사용자의 명령어를 인식하여 프로그램을 호출하고, 명령을 수행하는 명령어 해석기입니다
kernel -- 하드웨어를 보호하고, 프로그램들과 하드웨어 간의 인터페이스 역할 담당

i-node -- 각 파일이나 디렉토리에 대한 모든 정보를 저장하고 있는 블록
PCB        -- 운영체제가 프로세스데 대한 중요한 정보를 저장해 놓는 곳
[해설작성자 : 목표는서울이다]

아래와 같은 오류 신고가 있었습니다.
여러분들의 많은 의견 부탁 드립니다.
추후 여러분들의 의견을 반영하여 정답을 수정하도록 하겠습니다.
참고로 정답 변경은 오류 신고 5회 이상일 경우 수정합니다.

[오류 신고 내용]
자원 관리는 커널이고
명령어 해석기로, 명령어를 읽어서 실행하고, 사용자 인터페이스는 쉘 입니다.

인터페이스 = 쉘(커널 아님)
[해설작성자 : 중앙 송만섭]

[추가 오류 신고]
프로그램 하드웨어 간의 인터페이스 역할담당 = 커널
시스템과 사용자 간의 인터페이스 = 쉘
[해설작성자 : 지나가는 행인]

78. 3 페이지가 들어갈 수 있는 기억장치에서 다음과 같은 순서로 페이지가 참조될 때 FIFO 기법을 사용하면 페이지 부재(page fault)는 몇 번 일어나는가? (단, 현재 기억장치는 모두 비어 있다고 가정한다.)

    

     가. 4
     나. 5
     다. 6
     라. 8

     정답 : []
     정답률 : 53%
     <문제 해설>
1    0    0        <<부재
1    2    0        <<부재
1    2    3        <<부재
4    2    3        <<부재
4    1    3        <<부재
4    1    3<
3    1< 3
[해설작성자 : 차량 5부제]

79. 교착상태(Deadlock)의 필요조건에 해당하지 않는 것은?
     가. mutual exclusion
     나. circular wait
     다. preemption
     라. hold and wait

     정답 : []
     정답률 : 62%
     <문제 해설>
교착상대의 조건
상호배제(Mutual exclusion) : 프로세스들이 필요로 하는 자원에 대해 배타적인 통제권을 요구한다.
점유대기(Hold and wait) : 프로세스가 할당된 자원을 가진 상태에서 다른 자원을 기다린다.
순환대기(Circular wait) : 각 프로세스는 순환적으로 다음 프로세스가 요구하는 자원을 가지고 있다.
비선점(No preemption) : 프로세스가 어떤 자원의 사용을 끝낼 때까지 그 자원을 뺏을 수 없다.
[해설작성자 : 목표는서울이다]

80. 페이징 시스템의 페이지 관리 전략 중 “근래에 쓰이지 않은 페이지들은 가까운 미래에도 쓰이지 않을 가능성이 높다.” 라는 이론에 근거한 교체 전략은?
     가. LFU(Least Frequently Used) 페이지 교체
     나. FIFO 페이지 교체
     다. NUR(Not Used Recently) 페이지 교체
     라. 무작위(random) 페이지 교체

     정답 : []
     정답률 : 64%
     <문제 해설>
Not Used Recently 쓰이지 않으면 교체한다
[해설작성자 : Google Alphago]

81. 회선교환(Circuit Switching)방식의 특징에 해당하는 것은?
     가. 고정된 대역폭 전송방식이다.
     나. 축적 후 전송방식에 해당한다.
     다. 패킷을 이용한 전송방식이다.
     라. 전송에 실패한 패킷에 대해서 재전송 요구가 가능하다.

     정답 : []
     정답률 : 47%
     <문제 해설>
2번은 축적교환 방식에 해당된다.
3번은 패킷교환 방식에 해당된다.
4번은 패킷교환 방식에 특징이다.
[해설작성자 : ㅂㅇㅇ]

82. 4진 PSK 변조 방식에서 변조속도가 4800[Baud] 일 때 데이터의 전송속도[bps]는?
     가. 2400
     나. 4800
     다. 9600
     라. 12800

     정답 : []
     정답률 : 60%
     <문제 해설>
4진PSK로 변조한다는 것은 한 번에 4개의 서로 다른 데이터를 보낸다는 의미이며 4개의 데이터는 2Bit입니다 따라서 변조 시 상태 변화 수는 2Bit입니다. 변소속도[Baud]=전송 속도(bps)/변조 시 상태 변화수= 4800=전송속도/2 이므로 전송속도는 4800*2인 9600입니다.

83. LAN(Local Area Network)에서 CSMA/CD 방식에 대한 설명 중 틀린 것은?
     가. IEEE 802.3의 표준규약이다.
     나. 버스형에 일반적으로 이용된다.
     다. 트래픽양이 증가할수록 채널 이용 효율이 상승한다.
     라. 다중충돌접근기법이라고도 한다.

     정답 : []
     정답률 : 60%
     <문제 해설>
트랙픽양이 증가하면 효율은 오히려 줄어든다. 좁은 입구에 사람들이 몰리면 어떻게 되는가 연휴기간의 고속도로와 같다

84. HDLC 프레임의 헤더에서 프레임을 송ㆍ수신하는 스테이션을 구별하기 위해 사용되는 스테이션 식별자 필드는?
     가. 주소 필드
     나. 프레임 검사 순서
     다. 정보 필드
     라. 플래그

     정답 : []
     정답률 : 47%
     <문제 해설>
HDLC 프레임 구조는

플래그 | 주소 필드 | 제어 필드 | 정보 필드 | FCS | 플래그 |

- 플래그는 프레임의 시작과 끝을 나타내는 고유한 비트 패턴으로(01111110), 프레임과 시작과 끝을 구분, 동기 유지, 비트 투과성을 이용한 기본적인 오류 검출 등의 기능을 수행함.
- 주소 필드는 송/수신을 식별하기 위해 사용
- 제어 필드는 프레임의 종류를 식별하기 위해 사용.
- 정보 필드는 실제 정보 메시지가 들어 있는 부분
- FCS(프레임 검사 순서 필드) : 프레임 내용에 대한 오류를 검출하기 위해 사용되는 부분, 일반적으로 CRC코드가 사용됨.
[해설작성자 : 너도나도공부]

85. 물리적 하드웨어 주소인 이더넷 주소를 IP 주소로 변환하는 프로토콜은?
     가. ARP
     나. RARP
     다. HDLC
     라. PPP

     정답 : []
     정답률 : 40%
     <문제 해설>
1. ARP : 주소 결정 프로토콜(Address Resolution Protocol)은 네트워크 상에서 IP 주소를 물리적 네트워크 주소로 대응(bind)시키기 위해 사용되는 프로토콜이다.
2. RARP : 역순 주소 결정 프로토콜(Reverse Address Resolution Protocol)은 IP호스트가 자신의 물리 네트워크 주소(MAC)는 알지만 IP주소를 모르는 경우, 서버로부터 IP주소를 요청하기 위해 사용한다.
3. HDLC : High-level Data Link Control
4. PPP : 점대점 프로토콜(Point-to-Point Protocol)
[해설작성자 : 이선재]

86. LAN의 네트워크 형태(Topology)에 따른 분류에 속하지 않는 것은?
     가. 스타형
     나. 버스형
     다. 링형
     라. 교환형

     정답 : []
     정답률 : 74%
     <문제 해설>
성(Star)형, 버스(Bus)형, 망(Mesh)형, 트리(Tree)형, 링(Ring)형
교환형이라는 건 없습니다.
[해설작성자 : 수험생]

87. LAN의 한 종류인 100Base-T 네트워크에서 사용되는 전송매체는?
     가. Coaxial cable
     나. Optical cable
     다. UTP cable
     라. Microwave cable

     정답 : []
     정답률 : 55%
     <문제 해설>
전송속도가 10Mbps인 경우 전송 매체를 의미하는 T는 꼬임선(Twisted Pair) 케이블을 의미하며
전송속도가 100Mbps인 경우 전송 매체를 의미하는 T는 UTP(Unshielded Twisted Pair)를 의미
[해설작성자 : 피유피유]

88. HDLC(High-level Data Link Control) 동작모드에 해당하지 않는 것은?
     가. 정규 응답 모드(NRM)
     나. 비동기 응답 모드(ARM)
     다. 비동기 균형 모드(ABM)
     라. 동기 균형 모드(SBM)

     정답 : []
     정답률 : 55%
     <문제 해설>
HDLC의 데이터 전송 모드로는 표준(정규) 응답 모드(NRM), 비동기 응답 모드(ARM), 비동기 균형(평형)모드(ABM)가 있다.
[해설작성자 : 너도나도공부]

89. TCP 프로토콜의 기능으로 틀린 것은?
     가. 어플리케이션 제어
     나. 연결 수립, 종료
     다. 데이터 전송
     라. 흐름 제어

     정답 : []
     정답률 : 56%
     <문제 해설>
TCP 기능 : 데이터 전송이 잘 되기 위해서 흐름 제어 역할을 해줍니다.
[해설작성자 : 수험생]

어플리케이션 제어는 응용계층의 기능
TCP 프로토콜은 전송계층의 기능을 수행
[해설작성자 : 피유피유]

90. 4[KHz]의 음성신호를 재생시키기 위한 표본화 주파수의 주기는?
     가. 125[µs]
     나. 165[µs]
     다. 200[µs]
     라. 250[µs]

     정답 : []
     정답률 : 43%
     <문제 해설>
아래와 같은 오류 신고가 있었습니다.
여러분들의 많은 의견 부탁 드립니다.
추후 여러분들의 의견을 반영하여 정답을 수정하도록 하겠습니다.
참고로 정답 변경은 오류 신고 5회 이상일 경우 수정합니다.

[오류 신고 내용]

정답이 1번이라는데
1000/4 면 250이 되기 때문에 250이 아닌가요?
1번이 되기 위해선 8KHz....?
[해설작성자 : 궁금증유발]

[오류신고 반론]
표본화에 있어서 가장 중요한 점은 원 신호를 손상시키지 않고도 표본점들을 최소화하여 디지털 신호로 변환할 수 있어야 합니다. 그래서 표본화를 하는 것인데 표본화 정리에 의하면 fm[Hz]로 주파수 대역이 제한되어 있는 아날로그 신호 x(t)는 Ts가 1/2fm보다 작거나 같을때에 표본화간격으로 표본화를 할 경우 이들 표본값들을 가지고 원 신호를 손상시키지 않고 복원할 수 있습니다. 이를 fs로 표현하면 fs는 2fm보다 같거나 커야합니다 따라서 Ts : 표본화 간격 fs=1/Ts : 표본화율 인데 이때 fs=2fm : 나이퀴스트 율 최대 주파수의 두배이상으로 표본화율을 선택해야 하기 때문에 1000/4 가 아닌 1000/4*2 가 되어서 125가 되어야 한다고 생각합니다

[추가 해설]
4000Hz
표본화 횟수 = 2 * 최고 주파수 = 2 * 4,000 = 8,000 = 8k

표본화 간격 = 1 / 표본화 횟수 = 1 / 8000 = 125
[해설작성자 : 낼점심뭐묵지?]

91. 데이터 프레임을 연속적으로 전송 중 NAK를 수신하면 오류가 발생한 프레임 이후에 전송된 모든 데이터 프레임을 재전송하는 오류제어 방식은?
     가. Go-back-N ARQ
     나. Selective-Repeat ARQ
     다. Stop-and-Wait ARQ
     라. Forward Error Connection

     정답 : []
     정답률 : 69%
     <문제 해설>
Go-back-N ARQ : 문제(오류)가 발생한 시점부터 마지막까지 재전송을 합니다.
[해설작성자 : 수험생]

92. OSI 7계층에서 암호화, 코드변환, 텍스트 압축 등을 수행하는 계층은?
     가. 응용 계층
     나. 표현 계층
     다. 물리 계층
     라. 데이터링크 계층

     정답 : []
     정답률 : 54%
     <문제 해설>
1. 응용 계층 : 사용자(응용 프로그램)가 OSI 환경에 접근할 수 있도록 서비스를 제공함.
2. 표현 계층 : 응용 계층으로부터 받은 데이터를 세션 계층에 맞게, 세션 계층에서 받은 데이터는 응용계층에 맞게 변환하는 기능, 코드 변환, 데이터 암호화, 데이터 압축, 구문 검색, 정보 형식(포맷)변환, 문맥 관리 가능.
3. 물리 계층 : 전송에 필요한 두 장치 간의 실제 접속과 절단 등 기계적, 전기적, 기능적, 절차적 특성 정의.
4. 데이터링크 계층 : 두 개의 인접한 개방 시스템들 간에 신뢰성 있고 효율적인 정보 전송을 할 수 있도록함.
흐름제어, 프레임 동기화, 오류 제어, 순서제어.

OSI 7계층 순서 : 물리(Physical) -> 데이티링크(Data Link) -> 네트워크(Network) -> 전송(Transport) -> 세션(Session) -> 표현(Presentation) -> 응용(Application)
쉽게 외우는 법 : 피디가엠티에스파하러감 -> P D N T S P A
[해설작성자 : 너도나도공부]

93. 통신 프로토콜의 기본 구성요소가 아닌 것은?
     가. 구문
     나. 문법
     다. 의미
     라. 타이밍

     정답 : []
     정답률 : 48%
     <문제 해설>
통신 프로토콜의 기본 구성요소
구문(Syntax)
의미(Semantic)
순서(Timing)
[해설작성자 : 그듬]

94. 데이터 링크(data-link) 계층 프로토콜이 아닌 것은?
     가. HDLC
     나. BSC
     다. LAP-B
     라. FTP

     정답 : []
     정답률 : 48%
     <문제 해설>
FTP는 TCP/IP 프로토콜 테이블의 응용 계층에 속하는 파일 전송 프로토콜입니다.

95. 반송파의 위상과 진폭을 동시에 변조하는 방식은?
     가. ASK
     나. PSK
     다. FSK
     라. QAM

     정답 : []
     정답률 : 64%
     <문제 해설>
1. 진폭 편이 변조(ASK) 2진수 0과 1을 서로 다른 진폭의 신호로 변조(신호 변동과 잡음에 약하여 데이터 전송용으로 사용X)
2. 주파수 편이 변조(FSK) 2진수 0과 1을 서로 다른 주파수로 변조(1,200Bps 이하의 저속도 비동기식 모뎀에서 사용)
3. 위상 편이 변조(PSK) 2진수 0과 1을 서로 다른 위상을 갖는 신호로 변조(중/고속 동기식 모뎀에 많이 사용)
4. 직교 진폭 변조(QAM) 반송파의 진폭과 위상을 상호 변환하여 신호를 얻는 변조 방식(고속 전송 가능, 9,600Bps 모뎀의
표준 방식으로 권고됨)
[해설작성자 : 너도나도공부]

96. HDLC 프레임 중 링크의 설정과 해제, 오류 회복을 위해 주로 사용되는 것은?
     가. 정보 프레임(Information Frame)
     나. 무번호 프레임(Unnumbered Frame)
     다. 감독 프레임(Supervisory Frame)
     라. 복구 프레임(Recovery Frame)

     정답 : []
     정답률 : 38%
     <문제 해설>
1. 정보 프레임 : 사용자 데이터 전송 및 수신 확인을 위해 사용 (Piggybacking 기법을 사용)
2. 무번호 프레임 : 주로 링크의 동작 모드 설정과 관리, 오류 회복 수행
3. 감독 프레임 : 오류 제어, 흐름 제어

[추가 해설]

감독 프레임은 오류제어이고
무번호 프레임이 오류회복입니다
[해설작성자 : 화이팅!!]

97. 주파수분할다중화(FDM) 방식에서 보호대역이 필요한 이유는?
     가. 신호의 세기를 크게 하기 위하여
     나. 주파수 대역폭을 넓히기 위하여
     다. 채널의 신호를 혼합하기 위하여
     라. 채널간의 간섭을 막기 위하여

     정답 : []
     정답률 : 68%
     <문제 해설>
주파수 분할 다중화(Frequency-division multiplexing, FDM)는 통신 매체에서 이용 가능한 총 대역폭을 겹치지 않는 일련의 주파수 하부 대역으로 분리시킨 뒤, 분리된 대역을 각각 개별 신호를 전달하는데 사용하도록 하는 기술을 가리킨다.
특징
FDM은 MODEM이 필요 없는 간단한 구조이므로 비용이 저렴하다. FDM은 FSK(Frequency Shift Keying)모뎀에 의해 표현되며, 이 주파수 분할 다중화기가 FSK MODEM의 기능을 수행하기 때문이다.
각 사용자의 단말기에서 사용하는 코드와는 무관하게 다중화가 가능하다.
채널간의 상호 간섭을 막기 위하여 보호대역이 필요하고, 이 보호대역으로 인하여, 채널의 이용률을 낮춘다.

98. 아날로그 신호를 디지털 신호로 변환하는 PCM 부호화 단계로 옳은 것은?
     가. 양자화 → 부호화 → 표본화
     나. 표본화 → 양자화 → 부호화
     다. 양자화 → 표본화 → 부호화
     라. 표본화 → 부호화 → 양자화

     정답 : []
     정답률 : 71%
     <문제 해설>
펄스 부호 변조 PCM(Pulse Code Modulation)
아날로그 신호의 디지털 표현으로, 신호 등급을 균일한 주기로 표본화한 다음 디지털(이진)코드로 양자화 처리된다. 일반적으로는 아날로그 신호를 클럭 주기만큼만 추출하여 표본화한 후, 양자화하여 수치로 나타내고, 그 값에 대응되는 2진 비트열로 부호화한다.

신호처리에서 표본화 또는 sampling은 연속 신호(유동적인 신호)를 이산 신호(수치화된 신호)로 감소시키는 것을 말한다.

수학과 디지털 신호 처리에서 양자화는 유한 집합에 대량의 입력값을 매핑하는 과정을 말한다.

부호화(符號化) 또는 인코딩(encoding)은 정보의 형태나 형식을 표준화, 보안, 처리 속도 향상, 저장 공간 절약 등을 위해서 다른 형태나 형식으로 변환하는 처리 혹은 그 처리 방식을 말한다.

99. 나이퀴스트 채널용량 산출 공식(C)으로 옳은 것은? (단, 잡음이 없는 채널로 가정, S/N : 신호대잡음비, M : 진수, B : 대역폭)
     가. C=Blog2(S/N)(bps)
     나. C=Blog2(M+1)(bps)
     다. C=2Blog2(10+S/N)(bps)
     라. C=2Blog2M(bps)

     정답 : []
     정답률 : 40%
     <문제 해설>
나이퀴스트(Nyquist) 공식
잡음이 없는 채널을 가정하고, 지연 왜곡에 의한 ISI에 근거하여 최대 용량을 산출한 공식 (단위 bps)
C=2Blog2M(bps)

100. 통신속도가 50[Baud]일 때 최단부호펄스의 시간[sec]은?
     가. 2
     나. 1
     다. 0.5
     라. 0.02

     정답 : []
     정답률 : 58%
     <문제 해설>
변조속도(Baud)
변조 과정에서 초당 상태 변화, 신호 변화의 횟수이다.
변조속도 t=1/B (단, t=변조된 순간의 지속시간 또는 단위 펄스의 시간길이)


정 답 지

1

2

3

4

5

6

7

8

9

10

11

12

13

14

15

16

17

18

19

20

21

22

23

24

25

26

27

28

29

30

31

32

33

34

35

36

37

38

39

40

41

42

43

44

45

46

47

48

49

50

51

52

53

54

55

56

57

58

59

60

61

62

63

64

65

66

67

68

69

70

71

72

73

74

75

76

77

78

79

80

81

82

83

84

85

86

87

88

89

90

91

92

93

94

95

96

97

98

99

100

정보처리산업기사 필기 기출문제(해설) 및 CBT 2018년04월28일을 이용해 주셔서 감사합니다.
정보처리산업기사, 기출문제, 정보처리, 산업기사, 필기, 기출문제, 전자문제집, CBT, 온라인, 모의테스트, 모의고사



List of Articles
번호 제목 글쓴이 날짜 조회 수
8425 정보처리산업기사 필기 기출문제(해설) 및 CBT 2015년03월08일(4410) 좋은아빠되기 2025.10.07 0
8424 정보처리산업기사 필기 기출문제(해설) 및 CBT 2015년05월31일(4411) 좋은아빠되기 2025.10.07 1
8423 정보처리산업기사 필기 기출문제(해설) 및 CBT 2015년08월16일(4412) 좋은아빠되기 2025.10.07 0
8422 정보처리산업기사 필기 기출문제(해설) 및 CBT 2016년03월06일(4413) 좋은아빠되기 2025.10.07 1
8421 정보처리산업기사 필기 기출문제(해설) 및 CBT 2016년05월08일(4414) 좋은아빠되기 2025.10.07 1
8420 정보처리산업기사 필기 기출문제(해설) 및 CBT 2016년08월21일(4415) 좋은아빠되기 2025.10.07 1
8419 정보처리산업기사 필기 기출문제(해설) 및 CBT 2017년03월05일(4416) 좋은아빠되기 2025.10.07 0
8418 정보처리산업기사 필기 기출문제(해설) 및 CBT 2017년05월07일(4417) 좋은아빠되기 2025.10.07 2
8417 정보처리산업기사 필기 기출문제(해설) 및 CBT 2017년08월26일(4418) 좋은아빠되기 2025.10.07 0
8416 정보처리산업기사 필기 기출문제(해설) 및 CBT 2018년03월04일(4419) 좋은아빠되기 2025.10.07 1
» 정보처리산업기사 필기 기출문제(해설) 및 CBT 2018년04월28일(4420) 좋은아빠되기 2025.10.07 1
8414 정보처리산업기사 필기 기출문제(해설) 및 CBT 2018년08월19일(4421) 좋은아빠되기 2025.10.07 1
8413 정보처리기사(구) 필기 기출문제(해설) 및 CBT 2001년03월04일(4422) 좋은아빠되기 2025.10.07 0
8412 정보처리기사(구) 필기 기출문제(해설) 및 CBT 2001년06월03일(4423) 좋은아빠되기 2025.10.07 2
8411 정보처리기사(구) 필기 기출문제(해설) 및 CBT 2001년09월23일(4424) 좋은아빠되기 2025.10.07 0
8410 정보처리기사(구) 필기 기출문제(해설) 및 CBT 2002년03월10일(4425) 좋은아빠되기 2025.10.07 1
8409 정보처리기사(구) 필기 기출문제(해설) 및 CBT 2002년05월26일(4426) 좋은아빠되기 2025.10.07 0
8408 정보처리기사(구) 필기 기출문제(해설) 및 CBT 2002년09월08일(4427) 좋은아빠되기 2025.10.07 1
8407 정보처리기사(구) 필기 기출문제(해설) 및 CBT 2003년03월16일(4428) 좋은아빠되기 2025.10.07 0
8406 정보처리기사(구) 필기 기출문제(해설) 및 CBT 2003년05월25일(4429) 좋은아빠되기 2025.10.07 1
Board Pagination Prev 1 ... 202 203 204 205 206 207 208 209 210 211 ... 628 Next
/ 628