자격증 필기 기출문제



전산응용기계제도기능사 필기 기출문제(해설) 및 CBT 2007년04월01일(2회)(5114)

최강 자격증 기출문제 전자문제집 CBT : www.comcbt.com


전자문제집 CBT란?

종이 문제집이 아닌 인터넷으로 문제를 풀고 자동으로 채점하며 모의고사, 오답 노트, 해설까지 제공하는
무료 기출문제 학습 프로그램으로 실제 상설검정에서 사용하는 OMR 형식의 CBT를 제공합니다.


최신 전산응용기계제도기능사 필기 기출문제 : [다운로드]

1과목 : 기계재료 및 요소


1. 강철의 담금질 냉각제 중 정지상태에서 냉각속도가 가장 큰 것은?
     가. 소금물
     나. 비눗물
     다.
     라. 기름

     정답 : []
     정답률 : 72%
     <문제 해설>
'일본 원전사고때 소금물을 썼다' 생각하면 잘 외워집니다
[해설작성자 : 무명컴퓨터학원]

2. Al - Mn계 합금으로 Al에 1 ~ 2% Mn 이하의 것이 사용되며, 가공성, 용접성이 좋으므로 저장탱크, 기름탱크 등에 쓰이는 합금은?
     가. 라우탈
     나. 두랄루민
     다. 알민
     라. Y합금

     정답 : []
     정답률 : 42%

3. 벨트풀리 림(Rim)의 중앙부를 약간 높게 만드는 이유 중 가장 알맞은 것은?
     가. 제작이 용이하기 때문에
     나. 풀리의 강도증대와 마모를 고려하여
     다. 벨트가 벗겨지는 것을 방지하기 위하여
     라. 벨트 착·탈시 용이 하게 하기 위하여

     정답 : []
     정답률 : 61%

4. 탄소강에서 헤어 크랙(hair crack)의 발생에 가장 큰 영향을 주는 원소는?
     가. 산소
     나. 수소
     다. 질소
     라. 탄소

     정답 : []
     정답률 : 72%

5. 스테인리스강을 조직상으로 분류한 것이 아닌 것은?
     가. 마텐자이트계
     나. 오스테나이트계
     다. 시멘타이트계
     라. 페라이트계

     정답 : []
     정답률 : 46%
     <문제 해설>
스테인리스강의 종류 : 마텐자이트, 페라이트, 오스테나이트
간혹 이런 문제들에서 1번에 페라이트 2번에 펄라이트로 나오면서 혼란을 주는 문제가 있는데
스테인리스강은 마페오로 외우시면 편합니다.
[해설작성자 : 아니면 말고,,]

6. 구리(Cu)와 아연(Zn)의 합금으로 놋쇠라고 불리우는 금속은?
     가. 청동
     나. 황동
     다. 인청동
     라. 니켈 합금

     정답 : []
     정답률 : 77%
     <문제 해설>
황동 : 구리(Cu) + 아연(Zn)
청동 : 구리(Cu) + 주석(Sn)
[해설작성자 : 주노]

7. 주철에 대한 설명으로 틀린 것은?
     가. 주조성이 양호하다.
     나. 내마모성이 우수하다.
     다. 강보다 탄소함유량이 적다.
     라. 인장강도보다 압축 강도가 크다.

     정답 : []
     정답률 : 54%
     <문제 해설>
강은 약 0.02~2%의 탄소가 들어가지만 주철은 2~6.67%의 탄소가 들어가므로 강보다 탄소함유량이 많습니다.
[해설작성자 : 메뚜기]

8. 다음 Ni 합금 중 Ni - Cr 합금으로 열전대 재료로 사용되는 것은?
     가. 콘스탄탄
     나. 크롬멜
     다. 엘린바
     라. 플라티나이트

     정답 : []
     정답률 : 30%

9. 한 변의 길이 12㎜인 정사각형 단면 봉에 축선 방향으로 144kgf의 압축하중이 작용할 때 생기는 압축응력 값은?
     가. 4.75 kgf/㎟
     나. 1 kgf/㎟
     다. 0.75 kgf/㎟
     라. 12 kgf/㎟

     정답 : []
     정답률 : 42%
     <문제 해설>
압축응력 = 하중 나누기 단면적(가로 곱 세로) = 144 /12*12 = 1

10. 베어링 호칭 번호가 6208로 표시되어 있을 때 내경 치수로 옳은 것은?
     가. 40㎜
     나. 62㎜
     다. 8㎜
     라. 80㎜

     정답 : []
     정답률 : 86%
     <문제 해설>
베어링번호중 뒤에2개를 보고 10미만일때는 *5를 해준다
6208 》08*5=40
[해설작성자 : dnwls0852]

2과목 : 기계가공법 및 안전관리


11. 모터를 사용하여 기계 축을 회전 시키려 하는데 두 축의 중심이 약간 어긋났다. 무엇을 사용하여 축을 연결하면 회전력을 가장 잘 전달할 수 있는가?
     가. 유연성 커플링
     나. 브레이크
     다. 나사
     라. 베어링

     정답 : []
     정답률 : 62%

12. 고정 원판측 코일에 전류를 통하면 전자력에 의하여 회전원판이 잡아 당겨져 제동이 되는 작동원리로 공작 기계, 승강기 등에 사용되는 브레이크는?
     가. 블록 브레이크
     나. 전자 브레이크
     다. 디스크 브레이크
     라. 밴드 브레이크

     정답 : []
     정답률 : 70%

13. 애크미나사라고도하며 나사산의 각도가 인치계에서는 29°이고, 미터계에서는 30°인 나사는?
     가. 사다리꼴나사
     나. 미터나사
     다. 유니파이나사
     라. 너클나사

     정답 : []
     정답률 : 66%
     <문제 해설>
미터계 사다리꼴 나사(TM) = 30도
인치계 사다리꼴 나사(TW) = 29도
[해설작성자 : 아니면 말고,,]

14. 핀의 용도 중 틀린 것은?
     가. 2개 이상의 부품을 결합하는데 사용
     나. 나사 및 너트의 이완 방지
     다. 분해 조립할 부품의 위치 결정
     라. 분해가 필요 없는 곳의 영구 결합

     정답 : []
     정답률 : 61%
     <문제 해설>
분해가 필요없다면 보통 리벳, 용접 등의 가공을 하는 것이 일반 적입니다.
[해설작성자 : 로터리엔진]

15. 에너지의 축적용으로 사용되는 스프링은?
     가. 시계의 태엽 스프링
     나. 저울 스프링
     다. 자동차의 현가장치
     라. 방진 스프링

     정답 : []
     정답률 : 37%

16. 밀링머신에서 직접 분할법을 사용할 때 다음 중 분할이 가능한 등분은?
     가. 12, 8, 6, 3등분
     나. 28, 16, 8, 6등분
     다. 24, 15, 8 ,3등분
     라. 24, 14, 12, 6등분

     정답 : []
     정답률 : 47%
     <문제 해설>
분할대는 24개로 나눠져있기 때문에
24의 약수만 분할이 가능하다.
2,3,4,6,8,12,24.
[해설작성자 : hhh_]

17. 드릴가공의 종류에서 나사머리가 접시모양일 때 테이퍼 원통형으로 절삭하는 가공은?
     가. 카운터 싱킹(counter sinking)
     나. 스폿페이싱(spot facing)
     다. 리밍(reaming)
     라. 카운터 보링(counter boring)

     정답 : []
     정답률 : 52%

18. 줄 작업 또는 기계 가공된 평면, 원통면을 더욱 정밀하게 다듬질하는 공구는?
     가.
     나.
     다. 스크레이퍼
     라. 다이스

     정답 : []
     정답률 : 52%

19. 센터리스 연삭기에서 통과 이송법으로 연삭하려고 한다. 조정 숫돌바퀴의 바깥지름이 400mm, 회전수가 30rpm, 경사각이 4°일 때, 1분 동안의 이송속도(m/min)는?
     가. 약 540.44
     나. 약 317.70
     다. 약 37.61
     라. 약 2.63

     정답 : []
     정답률 : 17%
     <문제 해설>
이동속도=([파이*조정숫돌의 지름{mm}*회전수]*sin각도)/1000

[추가 해설]
윗분이 식을 잘 설명해주셨으나
이동속도 = 파이*조정숫돌의 지름*회전수*tan각도/1000으로 해야 2.63이 나옵니다.
sin으로 계산했을 시 1.9가 나오니 참고바랍니다.
[해설작성자 : 아니면 말고,,]

아래와 같은 오류 신고가 있었습니다.
여러분들의 많은 의견 부탁 드립니다.
추후 여러분들의 의견을 반영하여 정답을 수정하도록 하겠습니다.
참고로 정답 변경은 오류 신고 5회 이상일 경우 수정합니다.

[오류 신고 내용]
sin(a) 맞습니다만.
[해설작성자 : 취준생]

[관리자 입니다.
다른 문제집 확인 가능한분 계시면 확인 부탁 드립니다.
신고시 출판사명까지 기제 부탁 드립니다.]

20. 직립 셰이퍼라고도 하며 공구는 상하 직선운동을 하고, 테이블은 수평면에서 직선운동과 회전운동을 하여 키 홈, 스플라인, 세레이션 등의 내경 가공을 주로 하는 공작기계는?
     가. 호빙머신
     나. 슬로터
     다. 보링머신
     라. 플레이너

     정답 : []
     정답률 : 43%
     <문제 해설>
키 홈, 스플라인, 세레이션의 내경가공을 하는 공작기계는 슬로터입니다.
[해설작성자 : 아니면 말고,,]

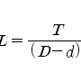
21. 선반에서 테이퍼의 큰 지름 D = 40mm, 작은지름 d = 30mm, 테이퍼의 길이 ℓ =100mm, 일감 전체의 길이 L = 300mm 일 때 심압대의 편위량은 몇mm인가?
     가. 6
     나. 8
     다. 15
     라. 22

     정답 : []
     정답률 : 49%
     <문제 해설>
심압대의 편위량
전체가 테이퍼일경우 D-d/2
전체의 길이와 테이퍼의 길이가 따로 주어졌을경우 L(D-d)/2l
L=전체의 길이 / l=테이퍼의 길이
[해설작성자 : 에이취]

22. 다음 공작기계 중 급속귀환 운동을 하지 않는 기계는?
     가. 셰이퍼
     나. 플레이너
     다. 연삭기
     라. 슬로터

     정답 : []
     정답률 : 45%
     <문제 해설>
급속귀환 : 절삭률을 높이기 위해 절삭할 때 보다 귀환시 빠른 속도로 귀환하는 방식
급속귀환 기계 : 셰이퍼, 플레이너, 슬로터
[해설작성자 : 나나쨩]

23. 화재를 연소 물질에 따라 분류할 때 D급 화재에 속하는 것은?
     가. 일반 화재
     나. 금속 화재
     다. 전기 화재
     라. 유류 화재

     정답 : []
     정답률 : 61%
     <문제 해설>
A.일반화재
B.유류화재
C.전기화재
D.금속화재
[해설작성자 : 정신비움]

24. 혼(hone)이라고 하는 각봉상의 세립자로 만든 공구를 공작물에 스프링 또는 유압으로 접촉시키고 회전운동과 동시에 왕복운동을 주어 매끈하고 정밀하게 가공하는 기계는?
     가. 평면 연삭기
     나. 래핑 머신
     다. 호닝 머신
     라. 배럴 머신

     정답 : []
     정답률 : 60%
     <문제 해설>
혼(hone)에서 힌트를 얻으실 수 있습니다.
회전운동과 왕복운동을 동시에 하여 정밀가공을 하는 기계는 호닝머신입니다.
[해설작성자 : 아니면 말고,,]

25. 절삭 공구 재료 중 경도가 가장 높고, 내마모성이 크며, 절삭속도가 빠르고 절삭가공이 능률적인 공구재료는?
     가. 다이아몬드
     나. 탄소 공구강
     다. 주조경질합금
     라. 합금 공구강

     정답 : []
     정답률 : 64%
     <문제 해설>
문제의 보면 경도가 가장높다고했습니다
경도=단단한정도    다이아몬드가 단단하다는건 다들 알고 계시죠!!!!
[해설작성자 : 익명Hsm]

26. 다음 중 기하공차의 기호 설명으로 잘못 된 것은?
     가. 원통도 : ○
     나. 평행도 : //
     다. 경사도 : ∠
     라. 평면도 :

     정답 : []
     정답률 : 81%
     <문제 해설>
1번원 원통도가 아니라 진원도입니다.
[해설작성자 : ㅎㅎ]

27. 다음 그림과 같은 단면도는?

    

     가. 온 단면도
     나. 부분 단면도
     다. 한쪽 단면도
     라. 회전도시 단면도

     정답 : []
     정답률 : 49%
     <문제 해설>
좌우대칭인 물체를 반을 자르고(1/2)
그 반에서 또 반만(1/2) 단면도로 표현(해칭)했기 때문에
총 1/4 이므로 한쪽단면도
[해설작성자 : ㅇㅅㅇ]

28. 다음은 제 3각법으로 그린 투상도이다. 평면도로 알맞은 것은?

    

     가.
     나.
     다.
     라.

     정답 : []
     정답률 : 40%

29. 구멍이 이고, 축이 인 끼워 맞춤에서 최대죔새를 계산 한 것은?
     가. 0.008
     나. 0.017
     다. 0.025
     라. 0.033

     정답 : []
     정답률 : 67%
     <문제 해설>
죔새=축지름이 구멍지름보다 크다
최대:축의 가장큰 수 -구멍의 가장 작은수를 뺸값
0.033-0=0.033
[해설작성자 : 익명Hsm]

30. 기준치수가 30, 최대 허용치수가 29.98, 최소 허용치수가 29.95 일 때 아래 치수 허용차는 얼마인가?
     가. +0.03
     나. +0.05
     다. -0.02
     라. -0.05

     정답 : []
     정답률 : 56%
     <문제 해설>
30-0.02=29.98
30-0.05=29.95

아래치수 허용차:0.05
[해설작성자 : 익명]

31. 구의 반지름을 나타내는 치수 보조 기호는?
     가. ø
     나.
     다. SR
     라. C

     정답 : []
     정답률 : 83%
     <문제 해설>
1번 : 원의 지름
2번 : 구의 지름
3번 : 구의 반지름
4번 : 45도 모따기
[해설작성자 : 아니면 말고,,]

32. 제 3각법에 대한 설명으로 틀린 것은?
     가. 투상원리는 눈→투상면→물체의 관계이다.
     나. 투상면 앞쪽에 물체를 놓는다.
     다. 배면도는 우측면도의 오른쪽에 놓는다.
     라. 좌측면도는 정면도의 좌측에 놓는다.

     정답 : []
     정답률 : 62%
     <문제 해설>
2번에서
투상면 앞쪽에 물체를 놓으면
물체 -> 투상면이 되어 1각법이 됩니다.
[해설작성자 : 아니면 말고,,]

33. 도면에서 가는 실선을 사용하지 않는 것은?
     가. 지시선
     나. 치수선
     다. 해칭선
     라. 피치선

     정답 : []
     정답률 : 74%
     <문제 해설>
피치선은 가는 1점 쇄선으로 표시합니다.
[해설작성자 : 아니면 말고,,]

34. IT 기본공차는 몇 등급으로 분류하는가?
     가. 12등급
     나. 15등급
     다. 18등급
     라. 20등급

     정답 : []
     정답률 : 75%
     <문제 해설>
IT기본공차 등급은
IT01,IT0,IT1~IT18로 20등급으로 분류됩니다.
[해설작성자 : 아니면 말고,,]

35. 다음 중 부품란에 기입할 사항이 아닌 것은?
     가. 품번
     나. 품명
     다. 재질
     라. 투상법

     정답 : []
     정답률 : 61%
     <문제 해설>
투상법은 표제란에 들어가야합니다.
[해설작성자 : 아니면 말고,,]

36. 그림에서 사용한 투상도를 무엇이라고 하는가?

    

     가. 부분 투상도
     나. 부분 확대도
     다. 국부 투상도
     라. 회전 투상도

     정답 : []
     정답률 : 70%
     <문제 해설>
아래와 같은 오류 신고가 있었습니다.
여러분들의 많은 의견 부탁 드립니다.
추후 여러분들의 의견을 반영하여 정답을 수정하도록 하겠습니다.
참고로 정답 변경은 오류 신고 5회 이상일 경우 수정합니다.

[오류 신고 내용]
이거 부분토상도인데요
[해설작성자 : 응 ]

[추가 오류 신고]
부분 투상도입니다.
부분 투상도: 물체의 홈, 구멍 등 투상도의 일부를 나타낸 투상도
출판사는:책과 상상
[해설작성자 : 나 바보 아닌데?]

[오류신고 반론]
부분투상도는 절단면이 있어야하고
물체의 홈, 구멍 등의 특수부분(국부)만 나타내는 투상도는 국부투상도 입니다.
4번 맞습니다.


[해설작성자 : kwon]

37. 해칭(hatching)에 대한 설명으로 틀린 것은?
     가. 대개 기본 중심선에 대하여 45°로 가는실선을 등간격으로 도시한다.
     나. 해칭의 간격은 단면도 절단자리의 크기에 따라 선택 한다.
     다. 해칭할 부분 속에 문자, 기호 등을 기입할 때에도 해칭을 중단해서는 안된다.
     라. 인접한 각기 다른 절단 자리의 해칭은 선의 방향 또는 각도를 바꾸거나 간격을 바꿔서 구별한다.

     정답 : []
     정답률 : 65%
     <문제 해설>
해칭시 문자 및 기호 등이 해칭과 겹칠 때는 해칭을 중단합니다.
[해설작성자 : 아니면 말고,,]

38. 도면에서 2종류 이상의 선이 같은 장소에 겹치게 될 경우 선의 우선순위로 맞는 것은?
     가. 외형선, 숨은선, 절단선, 중심선, 무게중심선
     나. 외형선, 중심선, 절단선, 숨은선, 무게중심선
     다. 외형선, 중심선, 숨은선, 무게중심선, 절단선
     라. 외형선, 절단선, 숨은선, 무게중심선, 중심선

     정답 : []
     정답률 : 78%
     <문제 해설>
외숨절중무치
외형선 - 숨은선 - 절단선 - 중심선 - 무게중심선 - 치수보조선
[해설작성자 : 아니면 말고,,]

39. 다음은 어떤 물체를 제 3각법으로 투상한 것이다. 이 물체의 등각 투상도로 맞는 것은?

    

     가.
     나.
     다.
     라.

     정답 : []
     정답률 : 69%

40. 치수 기입 방법에 대한 설명으로 틀린 것은?
     가. 치수의 자릿수가 많을 경우에는 세 자리 숫자마다 콤마를 붙인다.
     나. 길이 치수는 원칙적으로 밀리미터(mm)의 단위로 기입하고, 단위 기호는 붙이지 않는다.
     다. 각도 치수를 라디안의 단위로 기입하는 경우에는 단위 기호 rad를 기입한다.
     라. 각도 치수는 일반적으로 도의 단위를 기입하고, 필요한 경우에는 분 및 초를 갈아 사용할 수 있다.

     정답 : []
     정답률 : 43%
     <문제 해설>
치수의 자릿수에는 콤마를 붙히지 않습니다.
[해설작성자 : 아니면 말고,,]

41. 제거가공 또는 다른 방법으로 얻어진 가공전의 상태를 그대로 남겨두는 것만을 지시하기 위한 기호는?
     가.
     나.
     다.
     라.

     정답 : []
     정답률 : 57%
     <문제 해설>
1.제거가공 허락 안함
2.제거가공 묻지않음
3.제거가공 해야함
4.없음
[해설작성자 : 인천 엽]

42. 다음 재료 기호 중 탄소 공구 강재는?
     가. SM
     나. SPS
     다. STC
     라. SKH

     정답 : []
     정답률 : 73%
     <문제 해설>
1 : 기계구조용
2 : 스프링강
3 : 탄소강
4 : 고속도강
[해설작성자 : 아니면 말고,,]

43. KS의 부문별 기호 연결이 틀린 것은?
     가. KS A : 기본
     나. KS B : 기계
     다. KS C : 전기
     라. KS D : 광산

     정답 : []
     정답률 : 80%
     <문제 해설>
KS A:기본
KS B:기계
KS C:전기
KS D:금속
[해설작성자 : 지나가던공돌이]

44. 다음과 같이 도면에 기입된 기하 공차에서 0.011 이 뜻하는 것은?

    

     가. 기준 길이에 대한 공차값
     나. 전체 길이에 대한 공차값
     다. 전체 길이 공차값에서 기준 길이 공차값을 뺀 값
     라. 치수 공차값

     정답 : []
     정답률 : 56%
     <문제 해설>
// - 공차기호 - 평행도
0.011 - 전체길이에 대한 공차값
0.05 - 허용차
200 - 지정길이
A - 데이텀 기호
[해설작성자 : 아니면 말고,,]

45. 가공에 의한 커터의 줄무늬가 여러 방향으로 교차 또는 무방향을 나타낸 기호는?
     가. C
     나. ×
     다. M
     라. =

     정답 : []
     정답률 : 70%
     <문제 해설>
C = 줄무늬 방향이 거의 동심원
X = 줄무늬 방향이 두 방향으로 교차
M = 줄무늬 방향이 무방향 또는 여러 방향으로 교차
R = 줄무늬 방향이 거의 레이디얼 (방사형)
[해설작성자 : 아니면 말고,,]

46. 미터 사다리꼴나사의 호칭지름 40㎜, 피치 7, 수나사 등급이 7e인 경우 옳게 표시한 방법은?
     가. TM40 × 7 - 7e
     나. TW40 × 7 - 7e
     다. Tr40 × 7 - 7e
     라. TS40 × 7 - 7e

     정답 : []
     정답률 : 63%
     <문제 해설>
미터 사다리꼴 나사는 Tr로 표기합니다.
[해설작성자 : 뚜민]

47. 나사 제도시 수나사와 암나사의 골지름을 표시하는 선은?
     가. 굵은 실선
     나. 가는 1점쇄선
     다. 가는 실선
     라. 가는 2점쇄선

     정답 : []
     정답률 : 61%
     <문제 해설>
골지름은 무조권 가는실선
[해설작성자 : 익명Hsm]

48. 다음 리벳 이용의 도시방법으로 올바른 것은?
     가.
     나.
     다.
     라.

     정답 : []
     정답률 : 50%

49. 축의 도시방법에 대한 설명으로 옳은 것은?
     가. 축은 길이 방향으로 단면 도시를 할 수 있다.
     나. 축 끝의 모따기는 폭의 치수만 기입한다.
     다. 긴 축은 중간을 파단하여 짧게 그릴 수 없다.
     라. 널링 도시시 빗줄인 경우 축선에 대하여 30°로 엇갈리게 그린다.

     정답 : []
     정답률 : 54%
     <문제 해설>
1 : 축은 길이 방향으로 단면 도시 하지 않습니다.
2 : 축 끝 모따기는 폭의 치수 옆에 모따기기호를 붙힙니다.
3 : 긴 축은 중간을 파단하여 짧게 그리고 치수는 실제길이를 기입합니다.
[해설작성자 : 아니면 말고,,]

50. 맞물리는 한 쌍의 평기어에서 모듈이 2이고 잇수가 각각 20, 30일 때 두 기어의 중심거리는?
     가. 30㎜
     나. 40㎜
     다. 50㎜
     라. 60㎜

     정답 : []
     정답률 : 75%
     <문제 해설>
20*2=40 , 30*2=60 중심거리 이기 때문에 (40+60)/2 = 50 입니다.
[해설작성자 : 롤리팝]

51. 볼 베어링의 호칭 번호가 62/22 이면 안지름은?
     가. 22㎜
     나. 110㎜
     다. 55㎜
     라. 100㎜

     정답 : []
     정답률 : 53%
     <문제 해설>
04부터는 곱하기5mm 지만 , 64/22같은번호는 22mm 그대로 쓴다.
[해설작성자 : 경북기공강따봉]

/ 있는거는 안지름입니다 그래서 곱하지 않고 그대로 쓰는거입니다
[해설작성자 : 앙]

52. 스퍼 기어의 도시방법에 대한 설명 중 틀린 것은?
     가. 축에 직각인 방향으로 본 투상도를 주투상도로 할 수 있다.
     나. 이끝원은 굵은 실선으로 그린다.
     다. 피치원은 가는 실선으로 그린다.
     라. 축 방향으로 본 투상도에서 이뿌리원은 가는 실선으로 그린다.

     정답 : []
     정답률 : 65%
     <문제 해설>
피치원은 가는 1점쇄선임
[해설작성자 : 잉기모뤼~~]

53. 평벨트 풀리의 제도방법을 설명한 것 중 틀린 것은?
     가. 암은 길이 방향으로 절단하여 단면도를 도시한다.
     나. 모양이 대칭형인 벨트 풀리는 그 일부분만 도시한다.
     다. 암의 테이퍼 부분 치수를 기입할 때 치수 보조선은 경사선으로 긋는다.
     라. 암의 단면 모양은 도형의 안이나 밖에 회전 단면을 도시한다.

     정답 : []
     정답률 : 57%
     <문제 해설>
암은 길이방향으로 절단하여 단면하지 않습니다.
[해설작성자 : 아니면 말고,,]

54. 다음 중 코일스프링의 도시방법으로 틀린 것은?
     가. 스프링은 원칙적으로 무하중인 상태로 그린다.
     나. 하중이 걸린 상태에서 그릴 때에는 그때의 치수와 하중을 기입한다.
     다. 오른쪽 감기로 도시할 때에는 “감긴 방향 오른쪽”이라고 표시한다.
     라. 그림 안에 기입하기 힘든 사항은 일괄하여 요목표에 표시한다.

     정답 : []
     정답률 : 67%
     <문제 해설>
감긴 방향이 오른쪽일때는 표시를 안한다.
[해설작성자 : 이라고 손찬우]

55. 다음 그림은 어떤 밸브에 대한 도시 기호인가?

    

     가. 글로브 밸브
     나. 앵글 밸브
     다. 체크 밸브
     라. 게이트 밸브

     정답 : []
     정답률 : 69%

56. 용접부의 기본 기호 중에서 필릿 용접을 나타내는 것은?(문제 오류로 정답은 1번입니다. 추후 문제 다시 보원하여 두겠습니다.)
     가.
     나.
     다.
     라.

     정답 : []
     정답률 : 74%
     <문제 해설>
아래와 같은 오류 신고가 있었습니다.
여러분들의 많은 의견 부탁 드립니다.
추후 여러분들의 의견을 반영하여 정답을 수정하도록 하겠습니다.

[오류 신고 내용 : 2회]
보기잘못된거같아요 필릿용접기호가 없어요.

[추가 오류 신고]
필릿 용접기호가 없습니다.
[해설작성자 : ㅁㅁㅁ]

[관리자 입니다.
다른 문제집 확인 가능한분 계시면 확인 부탁 드립니다.
신고시 출판사명까지 기제 부탁 드립니다.]

57. 다음 중 CAD시스템의 입력장치가 아닌 것은?
     가. 라이트 펜(light pen)
     나. 마우스(mouse)
     다. 트랙 볼(track ball)
     라. 그래픽 디스플레이(graphic display)

     정답 : []
     정답률 : 79%
     <문제 해설>
그래픽 디스플레이는 출력장치입니다.
[해설작성자 : 아니면 말고,,]

58. 컴퓨터의 기억용량을 나타내는 단위 중에서 Gigabyte는 몇 bit를 말하는가?(문제 오류로 실제 시험장에서는 모두 정답 처리 되었습니다. 여기서는 다번을 정답 처리 합니다. 정확한 문제 내용은 몇 byte 인가라고 물어야 합니다.)
     가. 210
     나. 220
     다. 230
     라. 240

     정답 : []
     정답률 : 49%
     <문제 해설>
2^30 = 기가바이트
2^20 = 메가바이트
2^10 = 키로바이트
[해설작성자 : 아니면 말고,,]

59. CAD시스템에서 사용되는 형상 모델링 방식이 아닌 것은?
     가. 와이어프레임모델링(wireframe modeling)
     나. 디지털 모델링(digital modeling)
     다. 서피스 모델링(surface modeling)
     라. 솔리드 모델링(solid modeling)

     정답 : []
     정답률 : 73%
     <문제 해설>
형상 모델링 방식의 종류에는
와이어프레임, 서피스, 솔리드
세가지가 있습니다.
[해설작성자 : 아니면 말고,,]

60. CAD시스템에서 점을 정의하기 위해 사용하는 좌표계가 아닌 것은?
     가. 직교 좌표계
     나. 타원 좌표계
     다. 극 좌표계
     라. 구면 좌표계

     정답 : []
     정답률 : 55%


정 답 지

1

2

3

4

5

6

7

8

9

10

11

12

13

14

15

16

17

18

19

20

21

22

23

24

25

26

27

28

29

30

31

32

33

34

35

36

37

38

39

40

41

42

43

44

45

46

47

48

49

50

51

52

53

54

55

56

57

58

59

60

전산응용기계제도기능사 필기 기출문제(해설) 및 CBT 2007년04월01일(2회)을 이용해 주셔서 감사합니다.
전산응용기계제도기능사, 기능사, 필기, 기출문제, 전자문제집, CBT, 온라인, 모의테스트, 모의고사



List of Articles
번호 제목 글쓴이 날짜 조회 수
4836 전산응용기계제도기능사 필기 기출문제(해설) 및 CBT 2010년07월11일(4회)(5127) 좋은아빠되기 2025.10.07 0
4835 전산응용기계제도기능사 필기 기출문제(해설) 및 CBT 2010년03월28일(2회)(5126) 좋은아빠되기 2025.10.07 0
4834 전산응용기계제도기능사 필기 기출문제(해설) 및 CBT 2010년01월31일(1회)(5125) 좋은아빠되기 2025.10.07 0
4833 전산응용기계제도기능사 필기 기출문제(해설) 및 CBT 2009년09월27일(5회)(5124) 좋은아빠되기 2025.10.07 0
4832 전산응용기계제도기능사 필기 기출문제(해설) 및 CBT 2009년07월12일(4회)(5123) 좋은아빠되기 2025.10.07 0
4831 전산응용기계제도기능사 필기 기출문제(해설) 및 CBT 2009년03월29일(2회)(5122) 좋은아빠되기 2025.10.07 0
4830 전산응용기계제도기능사 필기 기출문제(해설) 및 CBT 2009년01월18일(1회)(5121) 좋은아빠되기 2025.10.07 0
4829 전산응용기계제도기능사 필기 기출문제(해설) 및 CBT 2008년10월05일(5회)(5120) 좋은아빠되기 2025.10.07 0
4828 전산응용기계제도기능사 필기 기출문제(해설) 및 CBT 2008년07월13일(4회)(5119) 좋은아빠되기 2025.10.07 0
4827 전산응용기계제도기능사 필기 기출문제(해설) 및 CBT 2008년03월30일(2회)(5118) 좋은아빠되기 2025.10.07 0
4826 전산응용기계제도기능사 필기 기출문제(해설) 및 CBT 2008년02월03일(1회)(5117) 좋은아빠되기 2025.10.07 0
4825 전산응용기계제도기능사 필기 기출문제(해설) 및 CBT 2007년09월16일(5회)(5116) 좋은아빠되기 2025.10.07 0
4824 전산응용기계제도기능사 필기 기출문제(해설) 및 CBT 2007년07월15일(4회)(5115) 좋은아빠되기 2025.10.07 0
» 전산응용기계제도기능사 필기 기출문제(해설) 및 CBT 2007년04월01일(2회)(5114) 좋은아빠되기 2025.10.07 0
4822 전산응용기계제도기능사 필기 기출문제(해설) 및 CBT 2007년01월28일(1회)(5113) 좋은아빠되기 2025.10.07 0
4821 전산응용기계제도기능사 필기 기출문제(해설) 및 CBT 2006년10월01일(5회)(5112) 좋은아빠되기 2025.10.07 0
4820 전산응용기계제도기능사 필기 기출문제(해설) 및 CBT 2006년07월16일(4회)(5111) 좋은아빠되기 2025.10.07 0
4819 전산응용기계제도기능사 필기 기출문제(해설) 및 CBT 2006년04월02일(2회)(5110) 좋은아빠되기 2025.10.07 0
4818 전산응용기계제도기능사 필기 기출문제(해설) 및 CBT 2006년01월22일(1회)(5109) 좋은아빠되기 2025.10.07 0
4817 전산응용기계제도기능사 필기 기출문제(해설) 및 CBT 2005년10월02일(5회)(5108) 좋은아빠되기 2025.10.07 0
Board Pagination Prev 1 ... 296 297 298 299 300 301 302 303 304 305 ... 542 Next
/ 542