자격증 필기 기출문제



전산응용기계제도기능사 필기 기출문제(해설) 및 CBT 2011년04월17일(2회)(5130)

최강 자격증 기출문제 전자문제집 CBT : www.comcbt.com


전자문제집 CBT란?

종이 문제집이 아닌 인터넷으로 문제를 풀고 자동으로 채점하며 모의고사, 오답 노트, 해설까지 제공하는
무료 기출문제 학습 프로그램으로 실제 상설검정에서 사용하는 OMR 형식의 CBT를 제공합니다.


최신 전산응용기계제도기능사 필기 기출문제 : [다운로드]

1과목 : 기계재료 및 요소


1. 에너지 흡수 능력이 크고, 스프링 작용 외에 구조용 부재기능을 겸하고 있으며, 재료가공이 용이하여 자동차 현가용으로 많이 사용하는 스프링은?
     가. 공기 스프링
     나. 겹판 스프링
     다. 코일 스프링
     라. 태엽 스프링

     정답 : []
     정답률 : 57%
     <문제 해설>
공기스프링 - 공기의 압축효과를 이용한 스프링효과,버스나 대형차량에 사용
태엽스프링 - 감긴에너를 축적하여 풀리려는 힘을 동역으로 사용, 시계나 완구에 사용
[해설작성자 : 부산미래작업전문학교 3D프린터 및 기계설계]

2. 자동차용 신소재인 파인세라믹스(fine ceramics)에 대한 설명 중 틀린 것은?
     가. 가볍다.
     나. 강도가 강하다.
     다. 내화학성이 우수하다.
     라. 내마모성 및 내열성이 우수하다.

     정답 : []
     정답률 : 38%
     <문제 해설>
파인세라믹스
뉴세라믹스(New Ceramics)라고도 한다. 원자간 결합력이 강하기 때문에 열팽창계수가 작고 급열, 급랭에 견딜 수 있으며 고온에도 강하다. 질소규소를 주체로 한 세라믹스는 고온에서도 뛰어난 기계적 특석을 지녀, 자동차 엔진이나 가스터빈 등으로 이용. 세라믹의 특성상 강도는 떨어진다.

3. 증기나 기름 등이 누출되는 것을 방지하는 부위 또는 외부로부터 먼지 등의 오염물 침입을 막는데 주로 사용하는 너트는?
     가. 캡 너트(cap nut)
     나. 와셔붙이 너트(washer based nut)
     다. 둥근 너트(circular nut)
     라. 육각 너트(hexagon nut)

     정답 : []
     정답률 : 75%

4. 에너지를 소멸하고 충격, 진동 등의 진폭을 경감시키기 위해 사용하는 장치는?
     가. 차음재
     나. 로프(rope)
     다. 댐퍼(damper)
     라. 스프링(spring)

     정답 : []
     정답률 : 45%
     <문제 해설>
댐퍼-진동흡수, 범퍼-충격완화
[해설작성자 : 수원아이티컴퓨터학원]

5. 나사의 피치가 일정할 때 리드(lead)가 가장 큰 것은?
     가. 4줄 나사
     나. 3줄 나사
     다. 2줄 나사
     라. 1줄 나사

     정답 : []
     정답률 : 82%
     <문제 해설>
리드는 나사가 1회전시 전진한 거리로 공식 L=np=줄수*피치
[해설작성자 : 수원아이티컴퓨터학원]

6. 베어링의 재료가 구비할 성질이 아닌 것은?
     가. 가공이 쉬울 것
     나. 부식에 강할 것
     다. 충격하중에 강할 것
     라. 피로강도가 작을 것

     정답 : []
     정답률 : 70%

7. 항온 열처리 방법에 포함되지 않는 것은?
     가. 오스템퍼
     나. 시안화법
     다. 마퀜칭
     라. 마템퍼

     정답 : []
     정답률 : 58%
     <문제 해설>
항온열처리-강가열후 냉각시 냉각도중 일정온도에서 열처리하는 방법
오스템퍼, 마템퍼, 마퀜칭등이 있다.
[해설작성자 : 수원아이티컴퓨터학원]

시안화법 - 침전습식 제련법
[해설작성자 : 부산미래직업전문학교 - 3D프린터 기계설계]

8. 주조시 주형에 냉금을 삽입하여 주물 표면을 급냉시킴으로 백선화하고 경도를 증가시킨 내마모성 주철은?
     가. 보통주철
     나. 고급주철
     다. 합금주철
     라. 칠드주철

     정답 : []
     정답률 : 65%
     <문제 해설>
보통주철 - 일반적인 회주철을 말한다.가공성이 좋고 값이 싸다.
고급주철 - 기계적 강도가 높은 주철, 조직을 개선하는 방법과 흑연 상태를 개선하는 방법이 있다
합금주철 - Ni,Cr,Mo,Al,Ti,V 등을 어느정도 주철에 첨가하여 내마멸성,내식성,내열성을 향상시킨 주철이다.
[해설작성자 : 부산미래직업전문학교 - 3D프린터 기계설계]

9. 가스 질화법으로 강의 표면을 경화하고자 할 때 질화효과를 크게 하는 원소는?
     가. 코발트
     나. 니켈
     다. 마그네슘
     라. 알루미늄

     정답 : []
     정답률 : 25%
     <문제 해설>
암모니아(NH3)가스 사용
질량효과 크게하는 원소는 AI(알루미늄),Cr(크롬),Mo(몰리브덴)
[해설작성자 : 공돌공돌이]

10. 묻힘키(sunk key)에 관한 설명으로 틀린 것은?
     가. 기울기가 없는 평행 성크 키도 있다.
     나. 머리 달린 경사 키도 성크 키의 일종이다.
     다. 축과 보스의 양쪽에 모두 키 홈을 파서 토크를 전달시킨다.
     라. 대개 윗면에 1/5정도의 기울기를 가지고 있는 수가 많다.

     정답 : []
     정답률 : 52%
     <문제 해설>
키의 테이퍼 값은 1/100입니다. 참고로 '테이퍼 핀'의 테이퍼값은 1/50 입니다. 구분해서 외워둡시다.
[해설작성자 : cgh]

2과목 : 기계가공법 및 안전관리


11. 단면적이 20㎟인 어떤 봉에 100kgf의 인장하중이 작용할 때 발생하는 응력은?
     가. 2kgf/㎟
     나. 5kgf/㎟
     다. 20kgf/㎟
     라. 50kgf/㎟

     정답 : []
     정답률 : 71%
     <문제 해설>
인장하중 = 하중/단면적 = 100/20 = 5
[해설작성자 : 수원아이티컴퓨터학원]

12. 접촉면의 압력을 p, 속도를 v, 마찰계수가 μ일 때 브레이크 용량(brake capacity)을 표시하는 것은?
     가.
     나.
     다.
     라.

     정답 : []
     정답률 : 44%
     <문제 해설>
블록브레이크의 용량 = 마찰계수 * 접촉면압력 * 속도 = 마찰계수pv
[해설작성자 : 수원아이티컴퓨터학원]

13. 내열강에서 내열성, 내마모성, 내식성 등을 증가시키기 위해 첨가되는 대표적인 원소는?
     가. 크롬(Cr)
     나. 니켈(Ni)
     다. 티탄(Ti)
     라. 망간(Mn)

     정답 : []
     정답률 : 48%
     <문제 해설>
내열강(Si-Cr) : 고온에서 기계적,화학적으로 안정하여 내연기관의 밸브에 사용. Cr은 경도, 인장강도, 내열성, 내식성, 내마멸성을 증가시킨다.
[해설작성자 : cgh]

14. 나사산과 골이 같은 반지름의 원호로 이은 모양이 둥글게 되어 있는 나사는?
     가. 볼나사
     나. 톱니나사
     다. 너클나사
     라. 사다리꼴나사

     정답 : []
     정답률 : 34%
     <문제 해설>
너클나사(둥근나사, round screw) : 나사산과 골이 다같이 둥글기 때문에 먼지, 모래가 끼기 쉬운 전구, 호스 연결부 등에 쓰인다.

[추가 해설]

참고로 '너클'은 주먹을 쥐었을 때 손등에서 불룩하게 솟는 부분을 말힙니다. 실제로 주먹 쥐어보면 너클 나사 모양과 흡사하죠.
[해설작성자 : cgh]

15. 탄소강 중 함유되어 헤어크랙(hair crack)이나 백점을 발생하게 하는 원소는?
     가. 규소(Si)
     나. 망간(Mn)
     다. 인(P)
     라. 수소(H)

     정답 : []
     정답률 : 68%
     <문제 해설>
Hair니까 H이겠죠
[해설작성자 : 수원아이티컴퓨터학원]

16. 일감에 회전 절삭운동을 주어 가공하는 공작기계는?
     가. 선반
     나. 드릴링 머신
     다. 밀링 머신
     라. 보링 머신

     정답 : []
     정답률 : 63%
     <문제 해설>
드릴링, 밀링, 보링머신은 공구가 회전하여 가공하며
선반은 주축에 척을 이용하여 일감을 고정하고 회전시켜 가공
[해설작성자 : 수원아이티컴퓨터학원]

17. 다음 윤활제 중 비산 및 유출되지 않고, 급유횟수가 적고 경제적이며, 사용온도 범위가 넓고, 장시간 사용에 적합한 것은?
     가. 극압 유
     나. 그리스
     다. 기계 유
     라. 스핀들 유

     정답 : []
     정답률 : 52%
     <문제 해설>
그리스 윤활
비산이나 유출이 되지 않아 급유횟수가 적고 경제적이며, 사용 온도범위가 넓고 장시간 사용에 적합하고 양호한 윤활효과가 있다
[해설작성자 : 꺄아ㅇ]

18. 선반가공에서 테이퍼 절삭 시 복식 공구대의 선회값은 얼마인가?

    

     가. 3
     나. 2
     다. 0.5
     라. 0.2

     정답 : []
     정답률 : 25%
     <문제 해설>
복식공구대 선회각도 = (큰지름-작은지름)/2*거리 = |(50-30) / 2* 50 = 0.2
[해설작성자 : 수원아이티컴퓨터학원]

선회각도의 tan값이 10/50이므로(그림의 기울어진 선의 세로/가로가 tan값) 선회값이 0.2라고 보셔도 좋습니다.
[해설작성자 : cgh]

그림은 일부테이퍼 공식=L9(D-d)/2x테이퍼길이 공식을 사용해야할것 같지만......
문제를 다시 살펴보니 복식공구대 선회각도 값을 구하는 값이라 (D-d)x2테이퍼길이 =0.2가 맞네요
[해설작성자 : 처음처럼 열정있게]

19. 길이가 짧은 가공물을 절삭하기 편리하며, 베드의 길이가 짧고, 심압대가 없는 경우가 많은 선반은?
     가. 터릿선반
     나. 릴리빙선반
     다. 정면선반
     라. 보통선반

     정답 : []
     정답률 : 37%
     <문제 해설>
터릿선반=소형제품의 대량생산을 주목적으로 터릿이라는 선회공구대가 있다.
릴리빙선반=밀링커터나 호브등의 여유각을 적살할 때 사용
정면선반=지름이 크고 길이가 짧은 공작물 가공
[해설작성자 : 미래]

20. 선반에서 절삭속도가 20m/min로 지름 30mm의 연강을 가공할 때, 스핀들의 회전수는 몇 rpm 정도인가?
     가. 132
     나. 477
     다. 212
     라. 666

     정답 : []
     정답률 : 54%
     <문제 해설>
절삭속도 = 파이*D*N / 1000 에서 회전수 N =1000V/파이*D = 1000*20/3.14*30 = 212
[해설작성자 : 수원아이티컴퓨터학원]

21. 버니어 캘리퍼스(vernier callipers)에서 어미자의 한 눈금이 1㎜이고, 아들자의 눈금 19㎜를 20등분 한 경우 최소 측정치는 몇 ㎜ 인가?
     가. 0.01㎜
     나. 0.02㎜
     다. 0.05㎜
     라. 0.1㎜

     정답 : []
     정답률 : 43%
     <문제 해설>
버니어캘리퍼스 최소눈금 = 어미자눈금 / 등분수 = S/N = 1/20 = 0.05
[해설작성자 : 수원아이티컴퓨터학원]

22. 그림에서 더브테일 ø10 핀을 이용하여 측정할 때 M의 길이는 약 얼마인가?

    

     가. 45.36㎜
     나. 60.65㎜
     다. 73.46㎜
     라. 94.56㎜

     정답 : []
     정답률 : 71%
     <문제 해설>
cot60을 이용한 더브테일 공식이 있긴 하지만, 이런 문제는 눈대중으로 60+5+5와 제일 가까운 값으로 고르셔도 됩니다.
[해설작성자 : cgh]

23. 절삭가공을 위하여 기계를 운전하기 전에 점검하여야 할 사항으로 틀린 것은?
     가. 기계 작동면의 급유 상태
     나. 백래시와 공작 정밀도 검사
     다. 볼트, 너트 등의 풀림 상태
     라. 안전장치와 동력 전달 장치의 작동 상태

     정답 : []
     정답률 : 63%
     <문제 해설>
백레시와 공작 정밀도검사는 절삭가공 후에 한다.
백래시=기어와 기어 또는 나사와 나사 같이 작업중에 뒤로 밀리는 현상
[해설작성자 : 미래]

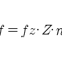
24. 밀링 절삭조건 중 테이블의 이송속도를 구하는 식은? (단, f는 테이블의 이송속도, fz는 커터의 절삭날 1개마다의 이송, z는 커터의 날수, n은 회전수이다.)
     가.
     나.
     다.
     라.

     정답 : []
     정답률 : 59%
     <문제 해설>
밀링테이블의 이송속도 = 커터의 절삭날1개마다의 이송 * 커터의 날수 * 회전수
f=fz * z * n
[해설작성자 : 수원아이티컴퓨터학원]

25. 래핑(lapping)의 장점에 해당되지 않는 것은?
     가. 정밀도고 높은 제품을 가공할 수 있다.
     나. 가공면은 윤활성 및 내마모성이 좋다.
     다. 작업이 용이하고 먼지가 적다.
     라. 가공면이 매끈한 거울면을 얻을 수 있다.

     정답 : []
     정답률 : 60%
     <문제 해설>
래핑 : 정밀입자가공 중의 하나로 랩과 일감 사이에 랩제를 넣어 서로 누르고 비비면서 다듬는 방법이다.

특징 : 정밀도가 향상되고 다듬질면은 내식성, 내마멸성이 높다.

[추가 해설]

랩(lap)으로 연마하면 먼지는 많이 납니다.
[해설작성자 : cgh]

26. 아래와 같은 구멍과 축의 끼워 맞춤에서 최대 틈새는?

    

     가. 0.018
     나. 0.023
     다. 0.050
     라. 0.027

     정답 : []
     정답률 : 71%
     <문제 해설>
최대틈새는 구멍이 가장크고 축이 가장 작을 때이므로
최대틈새 = 구멍최대허용치수-축최소허용치수 = 40.025-40.002 = 0.023
[해설작성자 : 수원아이티컴퓨터학원]

27. 다음 투상방법 설명 중 틀린 것은?
     가. 경사면부가 있는 대상물에서 그 경사면의 실형을 표시할 때에는 보조투상도로 나타낸다.
     나. 그림의 일부를 도시하는 것으로 충분한 경우에는 부분투상도로서 나타낸다.
     다. 대상물의 구멍, 홈 등 한 부분만의 모양을 도시하는 것으로 충분한 경우에는 그 필요한 부분만을 회전 투상도로서 나타낸다.
     라. 특정 부분의 도형이 작은 이유로 그 부분의 상세한 도시나 치수기입을 할 수 없을 때에는 부분 확대도로 나타낸다.

     정답 : []
     정답률 : 67%
     <문제 해설>
3번은 국부투상도에 대한 설명이다.
[해설작성자 : 기능사합격]

28. 다음 중 끼워 맞춤에서 치수기입 방법으로 틀린 것은?
     가.
     나.
     다.
     라.

     정답 : []
     정답률 : 49%
     <문제 해설>
구멍과 축이 조립된 상태에서 함께 치수기입시 구멍치수를 앞에 기입, 위에 기입
[해설작성자 : 수원아이티컴퓨터학원]

29. 다음 중 스케치도를 작성하는 방법이 아닌 것은?
     가. 프리핸드법
     나. 방사선법
     다. 본뜨기법
     라. 프린트법

     정답 : []
     정답률 : 76%
     <문제 해설>
스케치도-프리핸드법, 본뜨기법(모양뜨기법), 프린트법, 사진법등
[해설작성자 : 수원아이티컴퓨터학원]

30. 가공에 사용하는 공구나 지그 등의 위치를 참고로 도시할 경우에 사용되는 선은?
     가. 굵은 파선
     나. 가는 2점 쇄선
     다. 가는 파선
     라. 굵은 1점 쇄선

     정답 : []
     정답률 : 59%
     <문제 해설>
가상선은 가는2점쇄선을 이용 인접하는 부분 또는 공구, 지그등을 참고로 표시하는 선
[해설작성자 : 수원아이티컴퓨터학원]

31. 다음과 같이 원뿔을 경사지게 자른 경우의 전개 형태로 올바른 것은?

    

     가.
     나.
     다.
     라.

     정답 : []
     정답률 : 48%
     <문제 해설>
원뿔을 경사지게 자른 면을 방사선법으로 펼쳐그리면 3번과 같이 나타남
[해설작성자 : 수원아이티컴퓨터학원]

32. 치수기입 원칙 중 맞지 않는 것은?
     가. 치수는 되도록 주투상도에 집중한다.
     나. 치수는 가능한 중복 기입을 한다.
     다. 관련되는 치수는 되도록 한 곳에 모아서 기입한다.
     라. 치수와 함께 특별한 제작 요구사항을 기입할 수 있다.

     정답 : []
     정답률 : 85%
     <문제 해설>
치수는 중복기입하면 안된다.
[해설작성자 : 기능사합격]

33. 한국 산업 표준 중 기계부문에 대한 분류 기호는?
     가. KS A
     나. KS B
     다. KS C
     라. KS D

     정답 : []
     정답률 : 86%
     <문제 해설>
KS A : 기본, KS B : 기계, KS C : 전기, KS D : 금속

34. 줄무늬 방향의 기호에서 가공에 의한 커터의 줄무늬가 여러 방향으로 교차될 때 나타내는 기호는?
     가. R
     나. C
     다. F
     라. M

     정답 : []
     정답률 : 74%
     <문제 해설>
R-래디얼, C-동심원, M-여러방향교차/무방향
[해설작성자 : 수원아이티컴퓨터학원]

교차기호는 x입니다

35. 길이가 50㎜인 축을 도면에 5:1 척도로 그릴 때 기입되는 치수로 옳은 것은?
     가. 10
     나. 250
     다. 50
     라. 100

     정답 : []
     정답률 : 54%
     <문제 해설>
배척에서 척도와 관계없이 치수는 실제치수를 기재하니까 원길이가 맞음
[해설작성자 : 수원아이티컴퓨터학원]

36. 리브(rib), 암(arm) 등의 회전도시 단면을 도형 내의 절단한 곳에 겹쳐서 나타낼 때 사용하는 선은?
     가. 굵은 실선
     나. 굵은 1점쇄선
     다. 가는 파선
     라. 가는 실선

     정답 : []
     정답률 : 38%
     <문제 해설>
화전도시 단면을 나타낼때 절단한 곳에 겹쳐서 나타낼때는 가는실선, 파단하여 따로 나타낼때는 굵은실선을 사용한다.
[해설작성자 : 부산미래직업전문학교-3D프린터와기계설계제작]

37. 축의 끼워맞춤에 사용되는 IT공차의 급수에 해당하는 것은?
     가. IT 01 ~ IT 4
     나. IT 01 ~ IT 5
     다. IT 5 ~ IT 9
     라. IT 9 ~ IT 10

     정답 : []
     정답률 : 61%
     <문제 해설>
축은 IT5급~IT9급, 구멍은 IT6급~IT10급
[해설작성자 : 수원아이티컴퓨터학원]

38. 다음 치수 보조기호 표시 중 의미가 잘못 표시된 것은?
     가. Sø : 구의 지름
     나. SR : 구의 반지름
     다. C : 45° 모따기
     라. (20) : 완성치수 20

     정답 : []
     정답률 : 85%
     <문제 해설>
4번 문항 틀린이유가 (20)은 완성치수가아닌 참고치수 20입니다
[해설작성자 : 기출문제전문가 캐드선생]

39. 주로 금형으로 생산되는 플라스틱 눈금자와 같은 제품 등에 제거 가공 여부를 묻지 않을 때 사용되는 기호는?
     가.
     나.
     다.
     라.

     정답 : []
     정답률 : 57%
     <문제 해설>
1번 - 제거가공여부 묻지않음
2번 - 제거가공하면 안됨
3번 - 제거가공필요
[해설작성자 : 수원아이티컴퓨터학원]

40. 다음은 어떤 물체를 제3각법으로 투상하여 정면도와 우측면도를 나타낸 것이다. 평면도로 옳은 것은?

    

     가.
     나.
     다.
     라.

     정답 : []
     정답률 : 79%

41. 기하 공차의 기호 연결이 옳은 것은?
     가. 진원도 :
     나. 원통도 :
     다. 위치도 :
     라. 진직도 :

     정답 : []
     정답률 : 74%
     <문제 해설>
1 동심도, 2 진원도, 3 위치도 4 직각도
[해설작성자 : 수원아이티컴퓨터학원]

42. 다음은 제3각법으로 투상한 투상도이다. 입체도로 알맞은 것은? (단, 화살표 방향이 정면도이다.)

    

     가.
     나.
     다.
     라.

     정답 : []
     정답률 : 74%

43. 한국산업표준에서 정한 도면에 사용하는 선 굵기의 기준이 아닌 것은?
     가. 0.18㎜
     나. 0.35㎜
     다. 0.75㎜
     라. 1㎜

     정답 : []
     정답률 : 43%
     <문제 해설>
산업표준 선굵기 - 0.18, 0.25, 0.35, 0.5, 0.7, 1mm로 한다
[해설작성자 : 수원아이티컴퓨터학원]

44. 다음 등각 투상도에서 화살표 방향을 정면도로 할 경우 평면도로 올바른 것은?

    

     가.
     나.
     다.
     라.

     정답 : []
     정답률 : 74%
     <문제 해설>
평면도로 봤을 때 가장 적절한 것은 2번입니다.
[해설작성자 : blog naver robotics_expert]

45. 다음 공차 기입의 표시방법 중 복수의 데이텀(datum)을 표시하는 방법으로 올바른 것은?
     가.
     나.
     다.
     라.

     정답 : []
     정답률 : 72%
     <문제 해설>
복수데이텀 쓸경우에는 데이텀을 나란히 쓴다
[해설작성자 : 수원아이티컴퓨터학원]

46. 기어의 도시방법에 대한 설명으로 틀린 것은?
     가. 기어의 도면에는 주로 기어소재를 제작하는 데 필요한 치수만을 기입한다.
     나. 피치원 지름을 기입할 때에는 치수 앞에 PCR(Pitch Circle Radius)이라 기입한다.
     다. 요목표의 위치는 도시된 기어와 가까운 곳에 정한다.
     라. 요목표에는 치형, 모듈, 압력각 등 이의 가공에 필요한 사항을 기입한다.

     정답 : []
     정답률 : 56%
     <문제 해설>
피치원기입시 치수앞에 PCD라고 기입한다
[해설작성자 : 수원아이티컴퓨터학원]

47. 리벳 이음의 제도에 관한 설명으로 바른 것은?
     가. 리벳은 길이방향으로 절단하여 표시하지 않는다.
     나. 얇은 판, 형강 등 얇은 것의 단면은 가는 실선으로 그린다.
     다. 형판 또는 형강의 치수는 “호칭 지름×길이×재료”로 표시한다.
     라. 리벳의 위치만을 표시할 때에는 원 모두를 굵게 그린다.

     정답 : []
     정답률 : 47%
     <문제 해설>
얇은 것의 단면은 굵은실선도시, 형강은 높이*넓이*두께-길이로 표시,
리벳위치만표시-중심선만으로 나타냄
[해설작성자 : 수원아이티컴퓨터학원]

48. 유체를 한 방향으로만 흐르게 하여 역류를 방지하는 구조의 밸브는?
     가. 안전 밸브
     나. 스톱 밸브
     다. 슬루스 밸브
     라. 체크 밸브

     정답 : []
     정답률 : 63%
     <문제 해설>
유체를 한방향으로만 흐르게하여 역류를 방지하는 구조는 체크밸브임
[해설작성자 : 수원아이티컴퓨터학원]

49. 다음 중 벨트 풀리의 도시방법으로 틀린 것은?
     가. 벨트 풀리는 축 직각방향의 투상을 주투상도로 할 수 있다.
     나. 벨트 풀리는 대칭형이므로 그 일부분만을 나타낼 수 있다.
     다. 암은 길이 방향으로 절단하여 도시하지 않는다.
     라. 암의 단면형은 도형의 안이나 밖에 부분단면으로 나타낸다.

     정답 : []
     정답률 : 40%
     <문제 해설>
암의 단면형은 도형의 안이나 밖에 회전도시 단면도로 도시하고
도형의 안에 도시할 경우에는 가는 실선으로 나타낸다.
[해설작성자 : 이완]

50. 나사의 도시 방법에서 가는 실선으로 그려야 하는 것은?
     가. 완전 나사부와 불완전 나사부의 경계선
     나. 수나사 및 암나사의 골
     다. 암나사의 안지름
     라. 수나사의 바깥지름

     정답 : []
     정답률 : 58%
     <문제 해설>
1, 3, 4번은 모두 굵은 실선으로 나타낸다.

아래와 같은 오류 신고가 있었습니다.
여러분들의 많은 의견 부탁 드립니다.
추후 여러분들의 의견을 반영하여 정답을 수정하도록 하겠습니다.
참고로 정답 변경은 오류 신고 5회 이상일 경우 수정합니다.

[오류 신고 내용]

완전나사부와 불완전 나사부는 가는실선 아니가요?
[해설작성자 : 조니뎁]

[오류신고 반론]
완전 나사부와 불완전 나사부의 경계선은 굵은실선이 맞습니다
[해설작성자 : 12123212]

51. 축의 도시방법 중 바르게 설명한 것은?
     가. 긴 축은 중간을 파단하여 짧게 그릴 수 있으며 치수는 실제의 길이를 기입한다.
     나. 축 끝의 모따기는 각도와 폭을 기입하되 60°모따기인 경우에 한하여 치수 앞에 “C"를 기입한다.
     다. 둥근 축이나 구멍 등의 일부 면이 평면임을 나타낼 경우에는 굵은실선의 대각선을 그어 표시한다.
     라. 축에 있는 널링(knurling)의 도시는 빗줄인 경우 축선에 대하여 45°로 엇갈리게 그린다.

     정답 : []
     정답률 : 62%
     <문제 해설>
45도 모따기인 경우에만 'C'사용, 평면표시가느실선의 대각선이용, 널링은 축선기준30도
[해설작성자 : 수원아이티컴퓨터학원]

52. 다음 스프링에 관한 제도 설명 중 틀린 것은?
     가. 코일 스프링에서 코일 부분의 중간 부분을 생략하는 경우에는 생략하는 부분의 선 지름의 중심선을 가는 1점 쇄선으로 나타낸다.
     나. 하중 또는 처짐 등을 표시할 필요가 있을 때에는 선도 또는 항목표로 나타낸다.
     다. 도면에서 특별한 지시가 없는 한 모두 오른쪽 감기로 도시한다.
     라. 벌류트 스프링은 원칙적으로 하중이 가해진 상태에서 그리는 것을 원칙으로 한다.

     정답 : []
     정답률 : 63%
     <문제 해설>
스프링은 무하중상태에서 도시하되 겹판스프링인 경우에 하중이 가해진 상태도시
[해설작성자 : 수원아이티컴퓨터학원]

아래와 같은 오류 신고가 있었습니다.
여러분들의 많은 의견 부탁 드립니다.
추후 여러분들의 의견을 반영하여 정답을 수정하도록 하겠습니다.
참고로 정답 변경은 오류 신고 5회 이상일 경우 수정합니다.

[오류 신고 내용]
1. 코일 중간부분 생략하면 선지름 중심선 굵은 실선 아닌가요? 1번, 4번 중복 정답인듯합니다.
[해설작성자 : 오류잡이]

[오류신고 반론]
코일 중간부분 생략하면 가는1점쇄선 ,가는2점쇄선으로 나타낸다 하네영
[해설작성자 : 같이 공부합시다~]

[오류신고 반론]
코일스프링에서 양 끝을 제외한 동일 모양 부분의 일부를 생략하는 경우 생략되는 부분의 선지름의 중심선은 가는 1점쇄선으로 나타낸다고 되어있습니다. 감사합니다
[해설작성자 : comcbt.com 이용자]

[오류신고 반론]
오류 제보자 분이 헷갈리신거같은데 중간부분 생략 = 가는 1점쇄선이 맞고 코일을 ‘간략하게’ 표시할때 중심부분을 굵은 실선으로 표시합니다. 차이는 중간파단 or 간략도표시 두가지 경우입니다
[해설작성자 : 담주시험]

[오류신고 반론]
문제나 보기에서

‘스프링의 종류와 모양만을 간략도시’

라는 내용이 있을 경우에만
‘굵은 실선’ 입니다
[해설작성자 : 나나쨩]

53. 미터 사다리꼴 나사의 호칭지름 40㎜, 피치 7, 수나사 등급이 7e인 경우 옳게 표시한 방법은?
     가. TM40 × 7 - 7e
     나. TW40 × 7 - 7e
     다. Tr40 × 7 - 7e
     라. TS40 × 7 - 7e

     정답 : []
     정답률 : 67%
     <문제 해설>
미터사다리꼴나사 Tr
[해설작성자 : 수원아이티컴퓨터학원]

54. 주어진 베어링 호칭에 대한 안지름 치수가 틀린 것은?
     가. 6312 → 안지름 치수 60mm
     나. 6300 → 안지름 치수 10mm
     다. 6302 → 안지름 치수 15mm
     라. 6317 → 안지름 치수 17mm

     정답 : []
     정답률 : 81%
     <문제 해설>
3, 4번째 자리가 17이므로 *5 해야 17*5 = 85
[해설작성자 : 수원아이티컴퓨터학원]

55. 스퍼 기어에서 피치원의 지름이 160㎜이고, 잇수가 40일 때 모듈(module)은?
     가. 2
     나. 4
     다. 6
     라. 8

     정답 : []
     정답률 : 87%
     <문제 해설>
모듈 = 피치원지름 / 잇수 = 160/40 = 4
[해설작성자 : 수원아이티컴퓨터학원]

56. 다음 그림은 용접부의 기호 표시방법이다. (가)와 (나)에 대한 설명으로 틀린 것은?

    

     가. 그림 (가)의 실제 모양이다. (한쪽 용접)
     나. 그림 (나)의 실제 모양이다. (양쪽 용접)
     다. 그림 (가)는 화살표 쪽을 용접하라는 뜻이다.
     라. 그림 (나)는 화살표 반대쪽을 용접하라는 뜻이다.

     정답 : []
     정답률 : 55%
     <문제 해설>
필릿용접으로 실선에 기호가 있으면 화살표쪽 용접하라는 말
숨은선에 기호가 있으면 화살표반대방향에 용접함, 2번의 그림에 한쪽용접해야
[해설작성자 : 수원아이티컴퓨터학원]

57. CAD시스템에서 마지막 점에서 다음 점까지의 각도와 거리를 입력하여 선긋기를 하는 입력 방법은?
     가. 절대 직교좌표 입력방법
     나. 상대 직교좌표 입력방법
     다. 절대 원통좌표 입력방법
     라. 상대 극좌표 입력방법

     정답 : []
     정답률 : 63%
     <문제 해설>
거리와 각도입력하여 나타내는 좌표는 극좌표
[해설작성자 : 수원아이티컴퓨터학원]

58. 다음 입·출력 장치의 연결이 잘못된 것은?
     가. 입력장치 - 키보드, 라이트펜
     나. 출력장치 - 프린터, COM
     다. 입력장치 - 트랙볼, 태블릿
     라. 출력장치 - 디지타이저, 플로터

     정답 : []
     정답률 : 66%
     <문제 해설>
4. 디지타이저는 입력장치입니다.

59. 컴퓨터에서 CPU와 주변기기 간의 속도차이를 극복하기 위하여 두 장치 사이에 존재하는 보조 기억장치는?
     가. cache memory
     나. associative memory
     다. destructive memory
     라. nonvolatile memory

     정답 : []
     정답률 : 73%

60. CAD시스템을 이용한 3차원 모델링 중 체적, 무게중심, 관성 모멘트 등의 물리적 성질을 구할 수 있는 것은?
     가. 와이어 프레임 모델링
     나. 서피스 모델링
     다. 솔리드 모델링
     라. 시스템 모델링

     정답 : []
     정답률 : 74%
     <문제 해설>
솔리드모델링은 관성모멘트등의 물리적 성질을 구할 수 있다
[해설작성자 : 수원아이티컴퓨터학원]


정 답 지

1

2

3

4

5

6

7

8

9

10

11

12

13

14

15

16

17

18

19

20

21

22

23

24

25

26

27

28

29

30

31

32

33

34

35

36

37

38

39

40

41

42

43

44

45

46

47

48

49

50

51

52

53

54

55

56

57

58

59

60

전산응용기계제도기능사 필기 기출문제(해설) 및 CBT 2011년04월17일(2회)을 이용해 주셔서 감사합니다.
전산응용기계제도기능사, 기능사, 필기, 기출문제, 전자문제집, CBT, 온라인, 모의테스트, 모의고사



List of Articles
번호 제목 글쓴이 날짜 조회 수
4851 전산응용기계제도기능사 필기 기출문제(해설) 및 CBT 2014년04월06일(2회)(5142) new 좋은아빠되기 2025.10.07 0
4850 전산응용기계제도기능사 필기 기출문제(해설) 및 CBT 2014년01월26일(1회)(5141) new 좋은아빠되기 2025.10.07 0
4849 전산응용기계제도기능사 필기 기출문제(해설) 및 CBT 2013년10월12일(5회)(5140) new 좋은아빠되기 2025.10.07 0
4848 전산응용기계제도기능사 필기 기출문제(해설) 및 CBT 2013년07월21일(4회)(5139) new 좋은아빠되기 2025.10.07 0
4847 전산응용기계제도기능사 필기 기출문제(해설) 및 CBT 2013년04월14일(2회)(5138) new 좋은아빠되기 2025.10.07 0
4846 전산응용기계제도기능사 필기 기출문제(해설) 및 CBT 2013년01월27일(1회)(5137) new 좋은아빠되기 2025.10.07 0
4845 전산응용기계제도기능사 필기 기출문제(해설) 및 CBT 2012년10월20일(5회)(5136) new 좋은아빠되기 2025.10.07 0
4844 전산응용기계제도기능사 필기 기출문제(해설) 및 CBT 2012년07월22일(4회)(5135) new 좋은아빠되기 2025.10.07 0
4843 전산응용기계제도기능사 필기 기출문제(해설) 및 CBT 2012년04월08일(2회)(5134) new 좋은아빠되기 2025.10.07 0
4842 전산응용기계제도기능사 필기 기출문제(해설) 및 CBT 2012년02월12일(1회)(5133) new 좋은아빠되기 2025.10.07 0
4841 전산응용기계제도기능사 필기 기출문제(해설) 및 CBT 2011년10월09일(5회)(5132) new 좋은아빠되기 2025.10.07 0
4840 전산응용기계제도기능사 필기 기출문제(해설) 및 CBT 2011년07월31일(4회)(5131) new 좋은아빠되기 2025.10.07 0
» 전산응용기계제도기능사 필기 기출문제(해설) 및 CBT 2011년04월17일(2회)(5130) new 좋은아빠되기 2025.10.07 0
4838 전산응용기계제도기능사 필기 기출문제(해설) 및 CBT 2011년02월13일(1회)(5129) new 좋은아빠되기 2025.10.07 0
4837 전산응용기계제도기능사 필기 기출문제(해설) 및 CBT 2010년10월03일(5회)(5128) new 좋은아빠되기 2025.10.07 0
4836 전산응용기계제도기능사 필기 기출문제(해설) 및 CBT 2010년07월11일(4회)(5127) new 좋은아빠되기 2025.10.07 0
4835 전산응용기계제도기능사 필기 기출문제(해설) 및 CBT 2010년03월28일(2회)(5126) new 좋은아빠되기 2025.10.07 0
4834 전산응용기계제도기능사 필기 기출문제(해설) 및 CBT 2010년01월31일(1회)(5125) new 좋은아빠되기 2025.10.07 0
4833 전산응용기계제도기능사 필기 기출문제(해설) 및 CBT 2009년09월27일(5회)(5124) new 좋은아빠되기 2025.10.07 0
4832 전산응용기계제도기능사 필기 기출문제(해설) 및 CBT 2009년07월12일(4회)(5123) new 좋은아빠되기 2025.10.07 0
Board Pagination Prev 1 ... 237 238 239 240 241 242 243 244 245 246 ... 484 Next
/ 484