자격증 필기 기출문제



전산응용기계제도기능사 필기 기출문제(해설) 및 CBT 2013년01월27일(1회)(5137)

최강 자격증 기출문제 전자문제집 CBT : www.comcbt.com


전자문제집 CBT란?

종이 문제집이 아닌 인터넷으로 문제를 풀고 자동으로 채점하며 모의고사, 오답 노트, 해설까지 제공하는
무료 기출문제 학습 프로그램으로 실제 상설검정에서 사용하는 OMR 형식의 CBT를 제공합니다.


최신 전산응용기계제도기능사 필기 기출문제 : [다운로드]

1과목 : 기계재료 및 요소


1. 열처리방법 중에서 표면경화법에 속하지 않는 것은?
     가. 침탄법
     나. 질화법
     다. 고주파경화법
     라. 항온열처리법

     정답 : []
     정답률 : 66%
     <문제 해설>
열처리는 일반열처리, 항온열처리, 표면경화열처리등이 있고
표면경화열처리 - 침탄법, 질화법, 고주파경화법, 화염경화법등이 있다.
[해설작성자 : 수원아이티컴퓨터학원]

표면경화열처리 종류 : 화염경화법, 고주파경화법, 질화법, 침탄법, 금속침투법, 쇼트피닝
[해설작성자 : kdy1012]

2. 일반적으로 경금속과 중금속을 구분하는 비중의 경계는?
     가. 1.6
     나. 2.6
     다. 3.6
     라. 4.5

     정답 : []
     정답률 : 57%
     <문제 해설>
경금속 : 비중4.5이하, 중금속 : 비중4.5이상을 기준으로 나뉜다.
[해설작성자 : 수원아이티컴퓨터학원]

[관리자 입니다.
여러곳을 확인한 결과
4.5 또는 4.6을 기준으로 한다고 합니다.
참고하세요.]

3. 황동의 자연균열 방지책이 아닌 것은?
     가. 온도 180~260℃에서 응력제거 풀림처리
     나. 도료나 안료를 이용하여 표면처리
     다. Zn 도금으로 표면처리
     라. 물에 침전처리

     정답 : []
     정답률 : 70%
     <문제 해설>
황동 자연균열 방지책
1. 180~260도에서 저온풀림하여 내부응력제거
2. 도색법(도료/안료|)
3. 도금법(아연도금)
[해설작성자 : 수원아이티컴퓨터학원]

4. 주철의 성장원인이 아닌 것은?
     가. 흡수한 가스에 의한 팽창
     나. Fe3C의 흑연화에 의한 팽창
     다. 고용 원소인 Sn의 산화에 의한 팽창
     라. 불균일한 가열에 의해 생기는 파열 팽창

     정답 : []
     정답률 : 44%
     <문제 해설>
주철의 성장원인
1. Fe3C의 흑연화에 의한 팽창
2. Si의 산화에 의한 팽창
3. Al의 체적변화로 인한 팽창
4. 불균일한 가열로 인한 균열팽창
5. 흡수된 가스에 의한 팽창
6. 특정원소에 의한 흑연화 현상
[해설작성자 : 수원아이티컴퓨터학원]

5. 열경화성 수지가 아닌 것은?
     가. 아크릴수지
     나. 멜라민수지
     다. 페놀수지
     라. 규소수지

     정답 : []
     정답률 : 40%
     <문제 해설>
열경화성수지 : 열을 가해 단단하게 굳어진 수지에 다시 열을 가해도 변화지 않는 수지
페놀수지, 규소수지, 멜라민수지, 에폭시수지 ,폴리우레탄수지
[해설작성자 : 수원아이티컴퓨터학원]

규소수지는 중합성에 따라 경화성 가소성으로 나누어지지만 일반적으로 열경화성으로 쓰임

6. 알루미늄의 특성에 대한 설명 중 틀린 것은?
     가. 내식성이 좋다.
     나. 열전도성이 좋다.
     다. 순도가 높을수록 강하다.
     라. 가볍고 전연성이 우수하다.

     정답 : []
     정답률 : 72%
     <문제 해설>
알루미늄-비중2.7, 전기/열의 양도체, 면심입방격자, 순도높으면 연하다
[해설작성자 : 수원아이티컴퓨터학원]

7. 강을 절삭할 때 쇳밥(chip)을 잘게 하고 피삭성을 좋게 하기 위해 황, 납 등의 특수원소를 첨가하는 강은?
     가. 레일강
     나. 쾌삭강
     다. 다이스강
     라. 스테인레스강

     정답 : []
     정답률 : 74%
     <문제 해설>
쾌삭강 : 절삭가공을 쉽게하기 위해 황,납,인,망간등을 미량으로 혼합하여 만든 강
[해설작성자 : 수원아이티컴퓨터학원]

8. 스프링을 사용하는 목적이 아닌 것은?
     가. 힘 축적
     나. 진동 흡수
     다. 동력 전달
     라. 충격 완화

     정답 : []
     정답률 : 72%
     <문제 해설>
스프링은 완충용, 힘축적, 복원성, 하중조절용으로 쓴다.
[해설작성자 : 수원아이티컴퓨터학원]

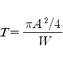
9. 저널 베이링에서 저널의 지름이 30㎜, 길이가 40㎜, 베어링의 하중이 2400N일 때 베어링의 압력[N/㎟]은?
     가. 1
     나. 2
     다. 3
     라. 4

     정답 : []
     정답률 : 77%
     <문제 해설>
하중-W, 지름-d, 길이-l, 압력-p 라고 할 때 베어링의 압력은 p=W /dl 이므로
2400/30X40= 2
[해설작성자 : 심심이]

10. 시편의 표준거리가 40mm이고 지름이 15mm일 때 최대하중이 6kN에서 시편이 파단 되었다면 연신율은 몇 %인가? (단, 연신된 길이는 10mm이다.)
     가. 10
     나. 12.5
     다. 25
     라. 30

     정답 : []
     정답률 : 51%
     <문제 해설>
연신율이란 길이가 늘어난 길이를 의미하므로
연신율 =연신길이 / 표점거리 * 100 이므로 10/40*100 =25%
[해설작성자 : 수원아이티컴퓨터학원]

2과목 : 기계가공법 및 안전관리


11. 웜 기어에서 웜이 3줄이고 웜휠의 잇수가 60개일 때의 속도 비는?
     가. 1/10
     나. 1/20
     다. 1/30
     라. 1/60

     정답 : []
     정답률 : 83%
     <문제 해설>
웜이 1회전시 윔휠은 잇수가 1개 넘어간다
잇수가 60개이면 속도비는 1/60이다.
3줄나사이면 속도가 3배빠르므로 속도비는 1/20이된다.
[해설작성자 : 수원아이티컴퓨터학원]

12. 부품의 위치결정 또는 고정시에 사용되는 체결 요소가 아닌 것은?
     가. 핀(pin)
     나. 너트(nut)
     다. 볼트(bolt)
     라. 기어(gear)

     정답 : []
     정답률 : 84%
     <문제 해설>
부품위치결정 및 고정시 체결요소 : 핀, 너트, 볼트 등이며 기어는 아니다.
[해설작성자 : 수원아이티컴퓨터학원]

13. 비틀림 모멘트를 받는 회전축으로 치수가 정밀하고 변형량이 적어 주로 공작기계의 주축에 사용하는 축은?
     가. 차축
     나. 스핀들
     다. 플랙시블축
     라. 크랭크축

     정답 : []
     정답률 : 45%
     <문제 해설>
차축 - 굽힘하중받는다(정지축과 회전축이 있음)
스핀들 - 비틀림하중받고 정밀하고 짧은축으로 공작기계용
플랙시블축 - 강선감아 만든축 휨, 충격, 진동이 심한곳
크랭크축 - 내연기관 직선왕복운동을 회전운동변환
[해설작성자 : 수원아이티컴퓨터학원]

14. 축에 키 홈을 파지 않고 축과 키 사이의 마찰력만으로 회전력을 전달하는 키는?
     가. 새들 키
     나. 성크 키
     다. 반달 키
     라. 둥근 키

     정답 : []
     정답률 : 59%
     <문제 해설>
새들키(안장키) - 말안장처럼 축과 키 사이의 마찰력으로 만 회전력전달
[해설작성자 : 수원아이티컴퓨터학원]

15. 나사를 기능상으로 분류했을 때 운동용 나사에 속하지 않는 것은?
     가. 볼나사
     나. 관용나사
     다. 둥근나사
     라. 사다리꼴나사

     정답 : []
     정답률 : 50%
     <문제 해설>
결합나사 : 미터나사, 유니파이나사, 관용나사, 휘트위트나사
운동나사 : 사각, 사다리꼴, 톱니, 둥근, 볼나사등이 있다.
[해설작성자 : 수원아이티컴퓨터학원]

16. 브로칭 머신을 설치 시 면적을 많이 차지하지만 기계의 조작이 쉽고, 가동 및 안전성이 우수한 브로칭 머신은?
     가. 수평 브로칭 머신
     나. 자동형 브로칭 머신
     다. 수동형 브로칭 머신
     라. 직립형 브로칭 머신

     정답 : []
     정답률 : 51%
     <문제 해설>
수평 브로칭 머신 : 공작물의 구멍 형상이나 표면의 형상을 브로치를 사용하여 가공하는 수평형 기계. 세팅 면적이 크고 가공시 브로치가 구부러지기 쉬운 결점이 있지만, 브로치 가공 조작 및 기계 검사가 쉽다.
[해설작성자 : cgh]

17. 측정자의 직선 또는 원호 운동을 기계적으로 확대하여 그 움직임을 지침의 회전 변위로 변환시켜 눈금을 읽을 수 있는 측정기는?
     가. 다이얼게이지
     나. 마이크로미터
     다. 만능 투영기
     라. 3차원 측정기

     정답 : []
     정답률 : 61%
     <문제 해설>
다이얼게이지 : 측정자 끝의 미소한 변화를 톱니바퀴 장치로 확대하여 눈금판 위에 지시함으로써 길이나 위치의 변화를 정밀하게 측정한다.
[해설작성자 : cgh]

18. 보링 머신에서 할 수 없는 작업은?
     가. 태핑
     나. 구멍뚫기
     다. 기어가공
     라. 나사깎기

     정답 : []
     정답률 : 57%
     <문제 해설>
기어가공은 선반에서 주로
[해설작성자 : 수원아이티컴퓨터학원]

아래와 같은 오류 신고가 있었습니다.
여러분들의 많은 의견 부탁 드립니다.
추후 여러분들의 의견을 반영하여 정답을 수정하도록 하겠습니다.
참고로 정답 변경은 오류 신고 5회 이상일 경우 수정합니다.

[오류 신고 내용]
기어가공은 선반이아니라 밀링에서아닌가요???
[해설작성자 : 공무원시험일주일남은사람]

[추가 오류 신고]
기어가공은 밀링입니다.

19. 숫돌입자와 공작물이 접촉하여 가공하는 연삭작용과 전해작용을 동시에 이용하는 특수가공법은?
     가. 전주 연삭
     나. 전해 연삭
     다. 모방 연삭
     라. 방전 가공

     정답 : []
     정답률 : 75%
     <문제 해설>
전해 연삭이란 숫돌입자와 공작물이 접촉하여 가공하는 연삭작용으로 가공하는 방법으로서 연삭작용과 전해작용을 복합시킨 가공방법 입니다. 가공액을 전해액으로 사용하고 전기가 통하는 숫돌을 쓰기 때문에 숫돌과 공작물 사이에 전기가 통합니다.
[해설작성자 : 경북기계공고 우등생]

20. 연삭숫돌의 단위 체적당 연삭 입자의 수, 즉 입자의 조밀정도를 무엇이라 하는가?
     가. 입도
     나. 결합도
     다. 조직
     라. 입자

     정답 : []
     정답률 : 34%
     <문제 해설>
입도: 입자의 크기
결합도: 숫돌의 경도
조직: 숫돌 입자의 밀도
[해설작성자 : 수원동성직업전문학교]

21. 절삭가공 시 절삭에 직접적인 영향을 주지 않는 것은?
     가. 절삭열
     나. 가공물의 재질
     다. 절삭공구의 재질
     라. 측정기의 정밀도

     정답 : []
     정답률 : 73%
     <문제 해설>
절삭에 직접적인 영향을 주는 요소는 절삭열,가공물의 재질,절삭공구의 재질,절삭 속도 등이며 측정기의 정밀도는 가공 후 만들어진 가공물의 치수를 측정하는 것으로 절삭에 직접적인 영향을 미치지는 않습니다.
[해설작성자 : 경북기계공고 우등생]

22. 신시내티 밀링 분할대로 13등분을 단식 분할 할 경우는?
     가. 26구멍줄에서 크랭크가 3회전하고 2구멍씩 이동시킨다.
     나. 39구멍줄에서 크랭크가 3회전하고 3구멍씩 이동시킨다.
     다. 52구멍줄에서 크랭크가 3회전하고 4구멍씩 이동시킨다.
     라. 75구멍줄에서 크랭크가 3회전하고 5구멍씩 이동시킨다.

     정답 : []
     정답률 : 56%
     <문제 해설>
n=h/H ( h:핸들을 돌리는 구멍수, H:원판의 구멍수)
n=40/13 =3 3/39
39구멍줄에서 크랭크3회전하고 3구멍씩 이동된다.
[해설작성자 : 수원아이티컴퓨터학원]

23. 선반 심압대 축 구멍의 테이퍼 형태는?
     가. 쟈르노 테이퍼
     나. 브라노샤프형 테이퍼
     다. 쟈급스 테이퍼
     라. 모스 테이퍼

     정답 : []
     정답률 : 59%
     <문제 해설>
모스 테이퍼 : 선반의 주축, 심압대, 드릴의 생크, 탁상 및 레이디얼 드릴의 주축 등에 사용되는 테이퍼 값.
[해설작성자 : cgh]

24. CNC 선반의 준비 기능 중 직선 보간에 속하는 것은?
     가. G00
     나. G01
     다. G02
     라. G03

     정답 : []
     정답률 : 61%
     <문제 해설>
G00 : 위치결정(급속이송)
G01 : 직선가공(절삭이송)
G02 : 원호가공 (시계방향)
G03 : 원호가공 (반시계방향)
[해설작성자 : 수원아이티컴퓨터학원]

25. 선반의 이송 단위 중에서 1회전당 이송량의 단위는?
     가. mm/rev
     나. mm/min
     다. mm/stroke
     라. mm/s

     정답 : []
     정답률 : 74%
     <문제 해설>
회전당 이송을 물어보았으므로 mm/rev가 맞습니다
mm/min은 분당 이송 입니다.
[해설작성자 : www.comcbt.com 이용자]

선반은 이송이 소재의 지름과 회전수에 관계되서 mm/rev가 맞아요
밀링은 공구의 가공부분 통과거리와 한번의 절삭되는 폭과 관련이 있어서 mm/min이에요

26. 표면거칠기 값(6.3)만을 직접 면에 지시하는 경우 표시방향이 잘못된 것은?

    

     가.
     나.
     다.
     라.

     정답 : []
     정답률 : 59%
     <문제 해설>
3번의 숫자방향을 세로방향90도로 써야됨
[해설작성자 : 수원아이티컴퓨터학원]

27. 대상물의 일부를 떼어 낸 경계를 표시하는데 사용하는 선은?
     가. 외형선
     나. 숨은선
     다. 가상선
     라. 파단선

     정답 : []
     정답률 : 76%
     <문제 해설>
숨은선 : 대상물의 보이지 않는 부분의 모양을 표시하는 선
가상선 : 이동한계의 위치나 인접부분 등을 참고로 표시하는 선
파단선 : 대상물의 일부를 떼어낸 경계를 표시하는 선
[해설작성자 : 꺄아ㅇ]

28. 제3각법에 대한 설명으로 틀린 것은?
     가. 투상 원리는 눈→투상면→물체의 관계이다.
     나. 투상면 앞쪽에 물체를 놓는다.
     다. 배면도는 우측면도의 오른쪽에 놓는다.
     라. 좌측면도는 정면도의 좌측에 놓는다.

     정답 : []
     정답률 : 65%
     <문제 해설>
1,2번을 종합해보면 눈-투상면-물체이므로 투상면 다음에 물체가
[해설작성자 : 수원아이티컴퓨터학원]

29. 특수한 가공의 하는 부분 등 특별한 요구사항을 적용할 수 있는 범위를 표시하는데 사용하는 선의 종류는?
     가. 가는 1점 쇄선
     나. 굵은 1점 쇄선
     다. 가는 2점 쇄선
     라. 굵은 2점 쇄선

     정답 : []
     정답률 : 69%
     <문제 해설>
특수가공면은 굵은 1점쇄선으로
[해설작성자 : 수원아이티컴퓨터학원]

30. 다음 중 모양 공차에 속하지 않는 것은?
     가. 평면도 공차
     나. 원통도 공차
     다. 면의 윤곽도 공차
     라. 평행도 공차

     정답 : []
     정답률 : 66%
     <문제 해설>
모양공차 : 진직도, 평면도, 진원도, 원통도, 선과 면의 윤곽도
자세공차 : 평행도, 직각도, 경사도
[해설작성자 : 수원아이티컴퓨터학원]

31. 표면의 결인 줄무늬 방향의 지시기호 “C"의 설명으로 맞는 것은?
     가. 가공에 의한 커터의 줄무늬 방향이 기호로 기입한 그림의 투상면에 경사지고 두 방향으로 교차
     나. 가공에 의한 커터의 줄무늬 방향이 여러 방향으로 교차 또는 두 방향
     다. 가공에 의한 커터의 줄무늬가 기호를 기입한 면의 중심에 대하여 거의 동심원 모양
     라. 가공에 의한 커터의 줄무늬가 기호를 기입한 면의 중심에 대하여 대략 레이디얼 모양

     정답 : []
     정답률 : 81%
     <문제 해설>
1번-X, 2번-M, 3번-C, 4번-R
[해설작성자 : KOO]

가공에 의한 커터의 줄무늬 방향이 기호로 기입한 그림의 투상면에 경사지고 두 방향으로 교차 - X
가공에 의한 커터의 줄무늬 방향이 여러 방향으로 교차 또는 두 방향 - M
가공에 의한 커터의 줄무늬가 기호를 기입한 면의 중심에 대하여 거의 동심원 모양 - C
가공에 의한 커터의 줄무늬가 기호를 기입한 면의 중심에 대하여 대략 레이디얼 모양 - R
[해설작성자 : 박우찬]

32. 다음 그림의 치수 기입에 대한 설명으로 틀린 것은?

    

     가. 기준 치수는 지름 20 이다.
     나. 공차는 0.013 이다.
     다. 최대 허용치수는 19.93 이다.
     라. 최소 허용치수는 19.98 이다.

     정답 : []
     정답률 : 66%
     <문제 해설>
최대 허용치수는 19.993 이다.
[해설작성자 : 부산 미래직업전문학교 3D프린터 기계설계제작]

33. 다음과 같이 도면에 기하공차가 표시되어 있다. 이에 대한 설명으로 틀린 것은?

    

     가. 기하공차 허용값은 0.05㎜이다.
     나. 기하공차 기호는 평행도를 나타낸다.
     다. 관련형체로 데이텀은 A이다.
     라. 기하공차 전체길이에 적용된다.

     정답 : []
     정답률 : 76%
     <문제 해설>
길이 100mm에 대해 평행도의 허용값은 0.05mm 이때 데이텀A
[해설작성자 : 수원아이티컴퓨터학원]

34. ∅50H7/p6와 같은 끼워맞춤에서 H7의 공차값은 이고, p6의 공차값은 이다. 최대 죔새는?
     가. 0.001
     나. 0.027
     다. 0.042
     라. 0.067

     정답 : []
     정답률 : 73%
     <문제 해설>
최대죔새 : 축최대허용치수-구멍최소허용치수
50.042 - 50.000 = 0.042
[해설작성자 : 수원아이티컴퓨터학원]

35. 그림과 같이 축의 흠이나 구멍 등과 같이 부분적인 모양을 도시하는 것으로 충분한 경우의 투상도는?

    

     가. 회전 투상도
     나. 부분 확대도
     다. 국부 투상도
     라. 보조 투상도

     정답 : []
     정답률 : 68%
     <문제 해설>
국부투상도 : 대상물의 구멍, 홈 등의 특정 부분만의 모양을 표시한 투상도
[해설작성자 : 꺄아ㅇ]

36. 제3각법으로 그린 투상도에서 우측면도로 옳은 것은?

    

     가.
     나.
     다.
     라.

     정답 : []
     정답률 : 62%
     <문제 해설>
아래와 같은 오류 신고가 있었습니다.
여러분들의 많은 의견 부탁 드립니다.
추후 여러분들의 의견을 반영하여 정답을 수정하도록 하겠습니다.

[오류 신고 내용]
4번 답에서 밑에 점선이 하나 빠져 있습니다
과년도 문제집 확인 해 본결과 이문제랑 달라서 오류신고 합니다
[해설작성자 : 누군가]

[추가 오류 신고]
오류신고 반론 어케 하는지 모르겠다 근데 자세히 보면 4번 도면 희미하게 점선이 있긴 있어요... 물론 저도 방금 오류신고 보고 깨달은 거지만... 오류신고라기 보다는 수정을 해주셔야 할 듯... 가능하다면요
[해설작성자 : 오류신고반론 어케해요]

37. 치수의 위치와 기입 방향에 대한 설명 중 틀린 것은?
     가. 치수는 투상도와 모양 및 치수의 대조 비교가 쉽도록 관련 투상도 쪽으로 기입한다.
     나. 하나의 투상도인 경우, 길이 치수 위치는 수평 방향의 치수선에 대해서는 투상도의 위쪽에서 수직 방향의 치수선에 대해서는 투상도의 오른쪽에서 읽을 수 있도록 기입한다.
     다. 각도치수는 기울어진 각도 방향에 관계없이 읽기 쉽게 수평 방향으로만 기입한다.
     라. 치수는 수평 방향의 치수선에는 위쪽, 수직 방향의 치수선에는 왼쪽으로 약 0.5㎜ 정도 띄어서 중앙에 치수를 기입한다.

     정답 : []
     정답률 : 66%
     <문제 해설>
치수를 기입할 때 치수는 기울어진 각도 방향에 맞게 알맞게 기울여서 기입한다.
[해설작성자 : 라시엘로]

38. 다음 재료 기호 중 기계구조용 탄소강재는?
     가. SM 45C
     나. SPS 1
     다. STC 3
     라. SKH 2

     정답 : []
     정답률 : 67%
     <문제 해설>
SPS1 : 스프링강재, STC3 : 탄소공구강, SKH2 : 고속도공구강, SM45C : 기계구조용탄소강
[해설작성자 : 수원아이티컴퓨터학원]

39. 척도 기입 방법에 대한 설명으로 틀린 것은?
     가. 척도는 표제란에 기입하는 것이 원칙이다.
     나. 같은 도면에서는 서로 다른 척도를 사용할 수 없다.
     다. 표제란이 없는 경우에는 도명이나 품번 가까운 곳에 기입한다.
     라. 현척의 척도 값은 1:1 이다.

     정답 : []
     정답률 : 71%
     <문제 해설>
같은 도면에서도 서로 다른 척도를 사용할 수 있다.
[해설작성자 : 옼돜]

아래와 같은 오류 신고가 있었습니다.
여러분들의 많은 의견 부탁 드립니다.
추후 여러분들의 의견을 반영하여 정답을 수정하도록 하겠습니다.
참고로 정답 변경은 오류 신고 5회 이상일 경우 수정합니다.

[오류 신고 내용]
3번에 오타있습니다.
도명이 아닌 도면으로 수정부탁드립니다.

[관리자 입니다.
다른 문제집 확인 가능한분 계시면 확인 부탁 드립니다.
신고시 출판사명까지 기제 부탁 드립니다.]

40. 제3각법으로 그린 정투상도 중 잘못 그려진 투상이 있는 것은?
     가.
     나.
     다.
     라.

     정답 : []
     정답률 : 69%
     <문제 해설>
4번 정투상도 중에서
오른쪽에서 바라보는 우측면도의 경우 좌측 상단에는 사각형의 경계선과 점선이 있어야 하는데,
대각선이 있으므로 4번이 잘못 그려진 투상도입니다.
[해설작성자 : 강림 컴퓨터응용기계 38기 홧팅^3^]

대각선이 있다고꙼̈ 틀린것이 아니라 대각선도 맞고꙼̈ 사각형도 맞습니다. 정면도 오른쪽 부분은 경사진 형태여도 정면도랑 평면도 둘다 문제가 없습니다.
다만, 정면도 왼쪽부분을 나타내는 숨은 사각선이 우측면도에 없기에 틀린것입니다.
[해설작성자 : 진성직업전문학교 장총무]

41. 한국 산업 표준에서 정한 도면의 크기에 대한 내용으로 틀린 것은?
     가. 제도용지 A2의 크기는 420×594mm이다.
     나. 제도용지 세로와 가로의 비는 1:루트 2이다.
     다. 복사한 도면을 접을 때는 A4크기로 접는 것을 원칙으로 한다.
     라. 도면을 철할 때 윤곽선은 용지 가장자리에서 10mm간격을 둔다.

     정답 : []
     정답률 : 50%
     <문제 해설>
도면을 철할 때 간격은 용지 가장자리에서 25mm
[해설작성자 : 냥]

도면의 테두리에서 철할때에는 25mm가 맞구요 철하지 않을때에는 A0-20mm A1-20mm A2-10mm A3-10mm A4-10mm 입니다.
[해설작성자 : 신라 19학번]

42. IT 공차에 대한 설명으로 옳은 것은?
     가. IT 01부터 IT 18까지 20등급으로 구분되어 있다.
     나. IT 01~IT 4는 구멍 기준공차에서 게이지 제작공차이다.
     다. IT 6~IT 10은 축 기준공차에서 끼워맞춤 공차이다.
     라. IT 10~IT 18은 구멍 기준공차에서 끼워맞춤 이외의 공차이다.

     정답 : []
     정답률 : 64%
     <문제 해설>
2번은 축 기준공차에서 게이지 제작 공차입니다.
1번은 맨왼쪽이 IT01, IT0, IT1, IT2 ..... IT17, IT18이므로 20등급으로 1번이 맞습니다.
[해설작성자 : 중앙IT직업직업전문학교]

43. 제작 도면으로 완성된 도면에서 문자, 선 등이 겹칠 때 우선순위로 맞는 것은?
     가. 외형선 → 숨은선 → 중심선 → 숫자, 문자
     나. 숫자, 문자 → 외형선 → 숨은선 → 중심선
     다. 외형선 → 숫자, 문자 → 중심선 → 숨은선
     라. 숫자, 문자 → 숨은선 → 외형선 → 중심선

     정답 : []
     정답률 : 73%
     <문제 해설>
일반적으로 외형선 → 숨은선 → 중심선 순이지만 도면에서 치수가 보이지 않으면 제작을 할 수 없으므로 숫자, 문자가 우선 순위가 된다.
숫자, 문자 → 외형선 → 숨은선 → 중심선    
[해설작성자 : hodal]

44. 그림과 같이 V벨트 풀리의 일부분을 잘라내고 필요한 내부 모양을 나타내기 위한 단면도는?

    

     가. 온 단면도
     나. 한쪽 단면도
     다. 부분 단면도
     라. 회전도시 단면도

     정답 : []
     정답률 : 56%
     <문제 해설>
부분 단면도에는 파단선이 들어감
[해설작성자 : 냥]

45. 이론적으로 정확한 치수를 나타내는 치수 보조기호는?
     가.
     나.
     다.
     라.

     정답 : []
     정답률 : 82%
     <문제 해설>
1. 비례 척도가 아닌 치수
2. 이론적으로 정확한 치수
3. 치수의 취소 (수정 시 사용)
4. 참고치수
[해설작성자 : 박동욱]

46. 다음은 계기의 도시기호를 나타낸 것이다. 압력계를 나타낸 것은?
     가.
     나.
     다.
     라.

     정답 : []
     정답률 : 79%
     <문제 해설>
P : 압력
T : 온도
F : 유량
[해설작성자 : 동성 사출금형 윤대은]

47. 외접 헬리컬 기어를 축에 직각인 방향에서 본 단면으로 도시할 때, 잇줄 방향의 표시 방법은?
     가. 1개의 가는 실선
     나. 3개의 가는 실선
     다. 1개의 가는 2점 쇄선
     라. 3개의 가는 2점 쇄선

     정답 : []
     정답률 : 38%
     <문제 해설>
잇줄방향은 3개의 가는 실선
단면도시경우 3개의 가는 2점새선표시
[해설작성자 : 수원아이티컴퓨터학원]

48. 모듈 6, 잇수 Z1= 45, Z2= 85, 압력각 14.5°의 한 쌍의 표준기어를 그리려고 할 때, 기어의 바깥지름 D1, D2를 얼마로 그리면 되는가?
     가. 282mm, 522mm
     나. 270mm, 510mm
     다. 382mm, 622mm
     라. 280mm, 610mm

     정답 : []
     정답률 : 41%
     <문제 해설>
잇수 45개의 바깥지름 = (45+2)x6 = 282
잇수 85개의 바깥지름 = (85+2)x6 = 522
[해설작성자 : 빠빠빠]

49. 다음 용접이음의 기본 기호 중에서 잘못 도시된 것은?
     가. v형 맞대기 용접 :
     나. 필릿 용접 :
     다. 플러그 용접 :
     라. 심 용접 :

     정답 : []
     정답률 : 60%
     <문제 해설>
4번은 점 용접(Spot Weld)입니다. (국제표준 ISO 2553을 인용)
[해설작성자 : 노력유지]

50. V벨트 풀리에 대한 설명으로 올바른 것은?
     가. A형은 원칙적으로 한 줄만 걸친다.
     나. 암은 길이 방향으로 절단하여 도시한다.
     다. V벨트 풀리는 축 직각 방향의 투상을 정면도로 한다.
     라. V벨트 풀리의 홈의 각도는 35°, 38°, 40°, 42° 4종류가 있다.

     정답 : []
     정답률 : 57%
     <문제 해설>
1. A가 아니라 M : M형은 원칙적으로 한 줄만 걸친다.
2. 암은 길이 방향으로 절단하여 도시하지 않는다.
4. V벨트 풀리의 홈의 각도는 34, 36, 38 3종류가 있다.
[해설작성자 : 부산 미래직업전문학교 3D프린터 기계설계제작]

51. 다음 나사의 종류와 기호 표시로 틀린 것은?
     가. 미터보통 나사 : M
     나. 관용평행 나사 : G
     다. 미니추어 나사 : S
     라. 전구 나사 : R

     정답 : []
     정답률 : 67%
     <문제 해설>
전구나사 기호는 E
[해설작성자 : 성은]

52. 구름 베어링의 호칭번호가 “6203 ZZ"이면 이 베어링의 안지름은 몇 ㎜ 인가?
     가. 15
     나. 17
     다. 60
     라. 62

     정답 : []
     정답률 : 78%
     <문제 해설>
베어링의 안지름번호(3,4번째)
00 : 10mm
01 : 12mm
02 : 15mm
03 : 17mm
[해설작성자 : 수원아이티컴퓨터학원]

[추가 해설]
03 이후부터는 x5
04 : 4 x 5 = 20
05 : 5 x 5 = 25
...
10 : 10 x 5 =50
단 63/22 같은경우는 안지름이 22mm 이다
[해설작성자 : 경북기공강따봉]

53. 스플릿 테이퍼 핀의 테이퍼 값은?
     가. 1/20
     나. 1/25
     다. 1/50
     라. 1/100

     정답 : []
     정답률 : 68%
     <문제 해설>
테이퍼 핀의 테이퍼 ===> 1/50
테이퍼 핀의 호칭지름===> 지름이 작은 쪽의 지름
[해설작성자 : 5777]

54. 스프링의 제도에 있어서 틀린 것은?
     가. 코일 스프링은 원칙적으로 무하중 상태로 그린다.
     나. 하중과 높이 등의 관계를 표시할 필요가 있을 때에는 선도 또는 요목표에 표시한다.
     다. 특별한 단서가 없는 한 모두 왼쪽으로 감은 것을 나타낸다.
     라. 종류와 모양만을 간략도로 나타내는 경우 재료의 중심선만을 굵은 실선으로 그린다.

     정답 : []
     정답률 : 76%
     <문제 해설>
특별한 단서가 없으면 무조건 오른쪽으로 감으면 됩니다.
[해설작성자 : 누군가가]

55. 다음 나사의 도시방법으로 틀린 것은?
     가. 암나사의 안지름은 굵은 실선으로 그린다.
     나. 완전 나사부와 불완전 나사부의 경계선은 굵은 실선으로 그린다.
     다. 수나사의 바깥지름은 굵은 실선으로 그린다.
     라. 수나사와 암나사의 측면도시에서 골지름은 굵은 실선으로 그린다.

     정답 : []
     정답률 : 54%
     <문제 해설>
나사 도시법
1. 수나사의 바깥지름과 암나사의 안지름을 나타내는 선은 굵은 실선으로 그린다.
2. 수나사와 암나사의 골을 표시하는 선은 가는 실선으로 그린다.
3. 완전 나사부와 불완전 나사부의 경계선은 굵은 실선으로 그린다.
4. 불완전 나사부의 골 밑을 나타내는 선은 축선에 대하여 30도의 가는 실선으로 그린다.
5. 암나사 탭 구멍의 드릴 자리는 120도의 굵은 실선으로 그린다.
6. 가려서 보이지 않는 나사부의 산봉우리와 골을 나타내는 선은 같은 굵기의 파선으로 한다.
7. 수나사와 암나사의 결합부분은 수나사로 표시한다.
8. 수나사와 암나사의 측면 도시에서 각각의 골지름은 가는 실선으로 약 3/4만큼 그린다.
9. 단면시 나사부의 해칭은 수나사는 바깥지름, 암나사는 안지름까지 해칭한다.
[해설작성자 : 취준생^^]

56. 다음 표기는 무엇을 나타낸 것인가?

    

     가. 사다리꼴나사
     나. 스플라인
     다. 사각나사
     라. 세레이션

     정답 : []
     정답률 : 61%
     <문제 해설>
스플라인 : 축으로부터 직접 여러 줄의 키(key)를 절삭하여, 축과 보스(boss)가 슬립 운동을 할 수 있도록 한 것.
[용도] 큰 동력을 전달용.
[종류] 각형 스플라인과 인벌류트 스플라인(involute spline)이 있다.
스플라인의 줄수는 6, 8, 10이 보통이다.(출처 : 네이버 도해 용어사전)
[해설작성자 : 따라하기]

57. 다음 중 서피스 모델링의 특징으로 틀린 것은?
     가. NC 가공정보를 얻기가 용이하다.
     나. 복잡한 형상표현이 가능하다.
     다. 구성된 형상에 대한 중량계산이 용이하다.
     라. 은선 제거가 가능하다.

     정답 : []
     정답률 : 54%
     <문제 해설>
서피스 모델링은 중량계산이 안되며 솔리드 모델링은 가능하다
[해설작성자 : kooky]

58. 도형의 좌표변환 행렬과 관계가 먼 것은?
     가. 미러(mirror)
     나. 회전(rotate)
     다. 스케일(scale)
     라. 트림(trim)

     정답 : []
     정답률 : 70%
     <문제 해설>
트림은 잘라내기입니당
[해설작성자 : 123]

59. CAD시스템의 입력 장치가 아닌 것은?
     가. 키보드
     나. 라이트 펜
     다. 플로터
     라. 마우스

     정답 : []
     정답률 : 85%
     <문제 해설>
플로터 : 대형 설계도면을 출력하는 출력장치
[해설작성자 : 기능사합격]

60. 컴퓨터의 중앙처리장치(CPU)를 구성하는 요소가 아닌 것은?
     가. 제어장치
     나. 주기억장치
     다. 보조기억장치
     라. 연산논리장치

     정답 : []
     정답률 : 61%
     <문제 해설>
cpu는 제어 및 연산을 하고 주기억 장치(ROM,RAM)를 가지며
보조기억장치는 우리가 흔히 쓰는 usb,cd 등을 말합니다
[해설작성자 : 유빈쿵]


정 답 지

1

2

3

4

5

6

7

8

9

10

11

12

13

14

15

16

17

18

19

20

21

22

23

24

25

26

27

28

29

30

31

32

33

34

35

36

37

38

39

40

41

42

43

44

45

46

47

48

49

50

51

52

53

54

55

56

57

58

59

60

전산응용기계제도기능사 필기 기출문제(해설) 및 CBT 2013년01월27일(1회)을 이용해 주셔서 감사합니다.
전산응용기계제도기능사, 기능사, 필기, 기출문제, 전자문제집, CBT, 온라인, 모의테스트, 모의고사



List of Articles
번호 제목 글쓴이 날짜 조회 수
2930 전산응용기계제도기능사 필기 기출문제(해설) 및 CBT 2011년10월09일(5회)(5132) new 좋은아빠되기 2025.10.07 0
2929 전산응용기계제도기능사 필기 기출문제(해설) 및 CBT 2012년02월12일(1회)(5133) new 좋은아빠되기 2025.10.07 0
2928 전산응용기계제도기능사 필기 기출문제(해설) 및 CBT 2012년04월08일(2회)(5134) new 좋은아빠되기 2025.10.07 0
2927 전산응용기계제도기능사 필기 기출문제(해설) 및 CBT 2012년07월22일(4회)(5135) new 좋은아빠되기 2025.10.07 0
2926 전산응용기계제도기능사 필기 기출문제(해설) 및 CBT 2012년10월20일(5회)(5136) new 좋은아빠되기 2025.10.07 0
» 전산응용기계제도기능사 필기 기출문제(해설) 및 CBT 2013년01월27일(1회)(5137) new 좋은아빠되기 2025.10.07 0
2924 전산응용기계제도기능사 필기 기출문제(해설) 및 CBT 2013년04월14일(2회)(5138) new 좋은아빠되기 2025.10.07 0
2923 전산응용기계제도기능사 필기 기출문제(해설) 및 CBT 2013년07월21일(4회)(5139) new 좋은아빠되기 2025.10.07 0
2922 전산응용기계제도기능사 필기 기출문제(해설) 및 CBT 2013년10월12일(5회)(5140) new 좋은아빠되기 2025.10.07 0
2921 전산응용기계제도기능사 필기 기출문제(해설) 및 CBT 2014년01월26일(1회)(5141) new 좋은아빠되기 2025.10.07 0
2920 전산응용기계제도기능사 필기 기출문제(해설) 및 CBT 2014년04월06일(2회)(5142) new 좋은아빠되기 2025.10.07 0
2919 전산응용기계제도기능사 필기 기출문제(해설) 및 CBT 2014년07월20일(4회)(5143) new 좋은아빠되기 2025.10.07 0
2918 전산응용기계제도기능사 필기 기출문제(해설) 및 CBT 2014년10월11일(5회)(5144) new 좋은아빠되기 2025.10.07 0
2917 전산응용기계제도기능사 필기 기출문제(해설) 및 CBT 2015년01월25일(1회)(5145) new 좋은아빠되기 2025.10.07 0
2916 전산응용기계제도기능사 필기 기출문제(해설) 및 CBT 2015년04월04일(2회)(5146) new 좋은아빠되기 2025.10.07 0
2915 전산응용기계제도기능사 필기 기출문제(해설) 및 CBT 2015년07월19일(4회)(5147) new 좋은아빠되기 2025.10.07 0
2914 전산응용기계제도기능사 필기 기출문제(해설) 및 CBT 2015년10월10일(5회)(5148) new 좋은아빠되기 2025.10.07 0
2913 전산응용기계제도기능사 필기 기출문제(해설) 및 CBT 2016년01월24일(1회)(5149) new 좋은아빠되기 2025.10.07 0
2912 전산응용기계제도기능사 필기 기출문제(해설) 및 CBT 2016년04월02일(2회)(5150) new 좋은아빠되기 2025.10.07 0
2911 전산응용기계제도기능사 필기 기출문제(해설) 및 CBT 2016년07월10일(4회)(5151) new 좋은아빠되기 2025.10.07 0
Board Pagination Prev 1 ... 238 239 240 241 242 243 244 245 246 247 ... 389 Next
/ 389