자격증 필기 기출문제



전기기능사 필기 시험문제 및 CBT 2003년03월30일(2회)(5199)

최강 자격증 기출문제 전자문제집 CBT : www.comcbt.com


전자문제집 CBT란?

종이 문제집이 아닌 인터넷으로 문제를 풀고 자동으로 채점하며 모의고사, 오답 노트, 해설까지 제공하는
무료 기출문제 학습 프로그램으로 실제 상설검정에서 사용하는 OMR 형식의 CBT를 제공합니다.


최신 전기기능사 필기 기출문제 : [다운로드]

1과목 : 전기 이론


1. 정전용량 5[㎌]인 콘덴서 양단에 100[V]의 전압을 가했을 때 콘덴서에 축적되는 에너지[J]은 얼마인가?
     가. 2.5[J]
     나. 2.0 × 102[J]
     다. 25[J]
     라. 2.5 × 10-2[J]

     정답 : []
     정답률 : 63%
     <문제 해설>
축적되는 에너지 1/2*C*V^2
[해설작성자 : 기능사합격하자]

2. 평균 반지름이 10[㎝]이고 감은 횟수 10회의 원형 코일에 5[A]의 전류를 흐르게 하면 코일중심의 자장 세기는 몇 [AT/m]인가?
     가. 250
     나. 500
     다. 750
     라. 1000

     정답 : []
     정답률 : 58%
     <문제 해설>
원형코일의 경우 자장의 세기는
NI/2r 입니다.
이때 반지름의 단위는 m 이므로
자장의 세기 = 10*5/2*0.1 = 250 [AT/M]
[해설작성자 : 울에고 동동이]

3. 같은 보빈위에 동일한 인덕턴스 L[H]인 두 코일을 같은 방향으로 감고 직렬 연결했을때의 합성 인덕턴스는? (단, 그 코일의 결합계수가 1 이다.)
     가. L
     나. 2L
     다. 3L
     라. 4L

     정답 : []
     정답률 : 41%
     <문제 해설>
가동합성인덕턴스 L1+L2+2M
L1과 L2는 같고 결합계수가 1이므로 4L (M=k루트(L1*L20))
[해설작성자 : 기능사합격하자]

4. 전자유도현상에 의하여 생기는 유도 기전력의 크기를 정의하는 법칙은?
     가. 렌쯔의 법칙
     나. 패러데이 법칙
     다. 앙페에르의 법칙
     라. 플레밍의 오른손법칙

     정답 : []
     정답률 : 50%
     <문제 해설>
e= -N*(dΦ)/dt

유도 기전력의 크기 - 패러데이의 법칙
유도 기전력의 방향 - 렌츠의 법칙
[해설작성자 : 수도전기/전기기사마스터]

5. 100[V], 100[W] 가정용 백열전구의 전압의 평균값은 몇 [V]인가?
     가. 약 90
     나. 약 100
     다. 약 110
     라. 약 141

     정답 : []
     정답률 : 49%
     <문제 해설>
0.9*100V
[해설작성자 : 순천공고이시원이다]

100은 그냥 최대값이라 생각하시고 평균값이 90이라 생각하시면 편해요
[해설작성자 : 대구 폴리텍]

평균값 : 루트2 * 100 * 2 / 3.14    = 90.077 즉 답은 1번
[해설작성자 : 수도전기공업고]

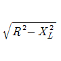
6. 4[Ω]의 저항과 8[mH]의 인덕턴스가 직렬로 접속된 회로에 f=60[㎐], E=100[V]의 교류 전압을 가하면 전류는 몇[A]인가?
     가. 약 20[A]
     나. 약 25[A]
     다. 약 24[A]
     라. 약 12[A]

     정답 : []
     정답률 : 33%
     <문제 해설>
E = IZ
Z=√(R^2 + XL^2)
XL = 2øfl = 2 * ø * 60 * 8 * 10-3(제곱=mH이기 때문에 m은 마이크로, 즉 -3제곱을 뜻함)
E = 100이니, I = 100/√(4^2+(2 * ø * 60 * 8 * 10^-3)^2)
계산해보면 19.9...나옵니다. 약 20A나오죠. 그러므로 정답은 1번입니다.
[해설작성자 : 서울로봇고등학교 짱]

아래와 같은 오류 신고가 있었습니다.
여러분들의 많은 의견 부탁 드립니다.
추후 여러분들의 의견을 반영하여 정답을 수정하도록 하겠습니다.
참고로 정답 변경은 오류 신고 5회 이상일 경우 수정합니다.

[오류 신고 내용]
m은마이크로가 아니고 밀리 입니다만^^
[해설작성자 : 구전공인]

7. 도전율의 단위는?
     가. [Ω m]
     나. [℧ m]
     다. [Ω /m]
     라. [℧/m]

     정답 : []
     정답률 : 70%
     <문제 해설>
도전율 = 유 막대 엠 <- 이거 가끔씩 나오니 확실하게 외워두세요~
[해설작성자 : 대구 폴리텍]

8. e = 141sin(120πt - π/3)인 파형의 주파수는 몇[㎐]인가?
     가. 120[㎐]
     나. 60[㎐]
     다. 30[㎐]
     라. 15[㎐]

     정답 : []
     정답률 : 80%
     <문제 해설>
각속도는 2파이*주파수임
120파이이므로 주파수는 60헤르쯔
[해설작성자 : 기능사합격하자]

9. Y-Y결선 회로에서 선간전압이 200[V]일 때 상전압은 몇 [V]인가?
     가. 100
     나. 115
     다. 120
     라. 135

     정답 : []
     정답률 : 67%
     <문제 해설>
Y 결선 루트3
선간전압 200
200 나누기 루트3 = 115
[해설작성자 : 대구 폴리텍]

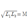
10. 자기 인덕턴스 L1 L2, 상호 인덕턴스 M인 두 회로의 결합계수가 1일때 관계식은?
     가. L1L2 = M
     나.
     다.
     라. L1L2 > M2

     정답 : []
     정답률 : 80%
     <문제 해설>
상호 인덕턴스 = 결합계수*(root 자기인덕턴스1*자기인덕턴스2)

결합계수가 1이라면
결국

상호 인덕턴스 = (root 자기인덕턴스1*자기인덕턴스2)
[해설작성자 : 수도전기/전기기사마스터]

11. 3[㎾]의 전열기를 정격 상태에서 20분간 사용하였을 때의 열량은 몇[㎉]인가?
     가. 430
     나. 520
     다. 610
     라. 860

     정답 : []
     정답률 : 66%
     <문제 해설>
0.24 X 3000 X 20 X 60

0.24를 곱하면 단위가 Cal로 바뀜
3000 = kW
20 = 분
60 = 20분을 초로 나타내는 것.
[해설작성자 : 대구 폴리텍]

12. 가우스의 정리를 이용하여 구하는 것은?
     가. 전위
     나. 전계의 에너지
     다. 전계의 세기
     라. 전하간의 힘

     정답 : []
     정답률 : 64%
     <문제 해설>
전계의 세기는 가우스가 정리한 것입니다.
[해설작성자 : 광자고 재키유치원생]

13. PN 접합 반도체에 교류를 가하면 어떻게 되는가?
     가. 전류는 전혀 흐르지 않는다.
     나. 항상 전류가 흐른다.
     다. 반파 정류된 전류만 흐른다.
     라. 전자와 정공이 서로 접합점에 모이는 순간만 전류가 흐른다.

     정답 : []
     정답률 : 56%

14. 다음 자석의 성질 중 틀린 것은?
     가. 자석의 양 끝에서 가장 강하다.
     나. 자석에는 언제나 두 종류의 극성이 있다.
     다. 자극이 가지는 자기량은 항상 N극이 강하다.
     라. 같은 극성의 자석은 서로 반발하고, 다른 극성은 서로 흡인한다.

     정답 : []
     정답률 : 84%
     <문제 해설>
N극S극 동일
[해설작성자 : 슬킹]

15. 2[㏀]의 저항에 10[㎃]의 전류가 흐를 때 가한 사인파 전압의 크기(실효값)는 몇 [V]인가?
     가. 0.5[V
     나. 2[V]
     다. 5[V]
     라. 20[V]

     정답 : []
     정답률 : 60%
     <문제 해설>
V(전압) = I(전류) * R(저항)
= 2 * 10 * 10^3 * 10^-3
= 20[V]
[해설작성자 : 수도전기/전기기사마스터]

16. RL 직렬 회로에서 임피던스 Z의 위상차 ø는?
     가. tan XL/R
     나. tan R/XL
     다. tan-1 XL/R
     라. tan-1 R/XL

     정답 : []
     정답률 : 57%

17. 용도에 적합한 콘덴서 선정시 고려해야 할 점이 아닌것은?
     가. 커패시턴스 값
     나. 사용시에 소자가 파괴되지 않는 최대 전압
     다. 정밀도와 허용오차 특성
     라. 직류를 가했을 때의 누설 전압

     정답 : []
     정답률 : 48%
     <문제 해설>
누설 전압이 아니라 누설 전류이다.
[해설작성자 : 전기기능사도전자]

18. 2개의 자극 사이에 작용하는 힘의 세기는 무엇에 비례하는가?
     가. 자극간의 거리
     나. 전류 값
     다. 전압의 크기
     라. 자극의 세기

     정답 : []
     정답률 : 66%
     <문제 해설>
                                                    m1* m2
자극 N = 6.33 * 10^4 * --------------
                                                        r^2
그러므로 힘의 세기는 자극의 세기에 비례, 거리의 제곱에 반비례하다.
[해설작성자 : 짭박사]

19. 납 또는 납과 주석의 합금선, 또는 판상의 가용체를 구리제의 단자편에 납땜한 퓨즈(fuse)는?
     가. 실퓨즈
     나. 판형퓨즈
     다. 훅퓨즈
     라. 플러그퓨즈

     정답 : []
     정답률 : 36%

20. 차단기, 개폐기구의 기구 번호 중에서 89의 기구명칭은?
     가. 단락용 차단기
     나. 보조기기용 접촉기
     다. 단로기
     라. 직류고속도 차단기

     정답 : []
     정답률 : 66%
     <문제 해설>
ANSI 규격 기준 <89번 단로기>
1.73번
2.88번
3.89번
4.54번
[해설작성자 : 공이]

2과목 : 전기 기기


21. 저항선 또는 전구를 직렬이나 병렬로 접속 변경하여 발열량 또는 광도를 조절 할 수 있는 스위치는?
     가. 로우터리 스위치
     나. 텀블러 스위치
     다. 나이프 스위치
     라. 풀 스위치

     정답 : []
     정답률 : 54%

22. 금속관 공사의 박스내에서 전선을 접속하는 경우에 사용하는것은?
     가. 단자판
     나. 슬리이브 커플링
     다. 매입 콘센트
     라. 와이어 커넥타

     정답 : []
     정답률 : 76%

23. 옥내 배선의 박스내에서 접속하는 전선접속은?
     가. 트위스트 접속
     나. 브리나티어 접속
     다. 쥐꼬리 접속
     라. 슬리이브 접속

     정답 : []
     정답률 : 76%

24. 배관의 직각굴곡 부분에 사용하는것은?
     가. 로크너트
     나. 절연부싱
     다. 플로어박스
     라. 노멀밴드

     정답 : []
     정답률 : 58%

25. 옥외용 비닐절연전선의 약호는?
     가. OW
     나. DV
     다. IV
     라. VV

     정답 : []
     정답률 : 80%
     <문제 해설>
oak(옥) whae(외) 옥외용이기 때문에 OW로 외우면 쉽습니다~~
일단 외우고 봅시다.
[해설작성자 : 짭박사]

26. 배전반, 분전반 등의 배관을 변경하거나 이미 설치되어 있는 캐비닛에 구멍을 뚫을 때 필요한 공구는?
     가. 오스터
     나. 클리퍼
     다. 파이어포트
     라. 노크아우트펀치

     정답 : []
     정답률 : 70%

27. 작업대로 부터 높이가 2.4[m]인 조명기구를 배치할때 기구간의 최대거리[m]는?
     가. 2.6
     나. 3.6
     다. 4.6
     라. 5.6

     정답 : []
     정답률 : 56%
     <문제 해설>
- 광원 상호간의 간격
높이 * 1.5

- 벽과 광원간의 간격(벽측 사용)
높이 * 1/3

- 벽과 광원간의 간격(벽측 X)
높이 * 1/2

다음 문제는 광원 상호간이므로
2.4 * 1.5 = 3.6[m]
[해설작성자 : 수도전기/전기기사마스터]

28. 외선 공사를 할때 심부름 로우프를 주상에서 전주에 묶는 방법으로 가장 적절한 것은?
     가. 꼬리묶음
     나. 이중묶음
     다. 고리매기
     라. 풀림묶음

     정답 : []
     정답률 : 56%

29. 공칭 단면적 2.0[mm2]의 코오드 및 형광등 전선의 허용전류값은?
     가. 7[A]
     나. 12[A]
     다. 17[A]
     라. 0.5[A]

     정답 : []
     정답률 : 30%

30. ACSR 약호의 품명은?
     가. 경동연선
     나. 중공연선
     다. 알루미늄선
     라. 강심알루미늄선

     정답 : []
     정답률 : 77%

31. 220[V]로 인입하는 어느주택의 총부하 설비용량이 7050[VA]이다. 최소분기 회로수는 몇회로로 하여야 하는가? (단, 전등 및 소형 전기기계 기구이고, 3300[VA]이하마다 분기하게 되어있다.)
     가. 1
     나. 3
     다. 5
     라. 8

     정답 : []
     정답률 : 57%
     <문제 해설>
7050 ÷ 3300 ≒ 3
[해설작성자 : 전기기능사도전자]

32. 옥내 노출공사시 전선을 접속하는 경우 다음 설명중 틀린것은?
     가. 노출형 스위치박스내에서 접속 하였다.
     나. 덮개가 있는 C형 엘보우속에서 접속 하였다.
     다. 형광등용 후렌치 카바속에서 접속 하였다.
     라. 팔각 졍션박스 내에서 접속 하였다.

     정답 : []
     정답률 : 52%

33. 그림은 노브애자의 바인드법에 대한 것이다. 해당하는 바인드법은?

    

     가. 인류 바인드법
     나. 분기선 바인드법
     다. 일자(-) 바인드법
     라. 십자(+) 바인드법

     정답 : []
     정답률 : 48%

34. 22.9[KV]3상 4선 다중접지 배전선로에서 수전하는 설비의 피뢰기 정격전압은 몇[KV]인가?
     가. 5
     나. 9
     다. 18
     라. 24

     정답 : []
     정답률 : 45%
     <문제 해설>
22.9KV 다중접지 계통배전선로의 정격전압은 : 18KV적용.
전압                                22.9                     <전력계통>
중성점 접지방식         3상4선 다중접지<전력계통>
변전소                            21                         <피뢰기 정격전압>
배전선로                        18                         <피뢰기 정격전압>
[해설작성자 : comcbt.com 이용자]

35. 다음 중 가공 전선에 사용되는 전선이 구비해야 할 조건이 아닌 것은?
     가. 접속하기 쉬울 것
     나. 기계적 강도가 클 것
     다. 전기적으로 도전율이 작을 것
     라. 비중이 작을 것

     정답 : []
     정답률 : 68%

36. 수전반에 사용되는 지시 계기 중 전압계를 나타내는 약호는?
     가. A
     나. V
     다. W
     라. F

     정답 : []
     정답률 : 70%

37. 다음은 차단기의 종류이다. 잘못 연결된 것은?
     가. OCB : 유입 차단기
     나. GCB : 가스 차단기
     다. VCB : 자기 차단기
     라. ABB : 공기 차단기

     정답 : []
     정답률 : 72%
     <문제 해설>
VCB. 진공차단기
[해설작성자 : 누구보다빠르게 남들과는 다르게]

Oil Circuit Breaker
Gas Circuit Breaker
Vacuum Circuit Breaker
Air Blast Breaker
[해설작성자 : 전기기능사도전자]

38. 특정한 장소만을 고 조도로 하기 위한 조명 기구의 배치방식은?
     가. 국부조명방식
     나. 전반조명방식
     다. 간접조명방식
     라. 직접조명방식

     정답 : []
     정답률 : 47%

39. 소선수 7, 소선의 지름이 1.2[mm] 인 연선의 공칭 단면적[㎜2]은?
     가. 5.5
     나. 8
     다. 14
     라. 22

     정답 : []
     정답률 : 48%
     <문제 해설>
소선의 단면적 X 소선수
단면적은    파이 d^2    =    3.14x 0.6^2 x 소선수 7 = 7.9
[해설작성자 : 광주폴리텍]

40. 하나의 수용장소의 인입선 접속점에서 분기하여 지지물을 거치지 아니하고 다른 수용장소의 인입선 접속점에 이르는 전선을 무엇이라 하는가?
     가. 가공인입선
     나. 연접인입선
     다. 관등회로
     라. 점등회로

     정답 : []
     정답률 : 68%

41. 절연전선을 동일 금속덕트내에 넣을 경우 금속덕트의 크기는 전선의 피복절연물을 포함한 단면적의 총합계가 금속덕트 내단면적의 몇[%]이하로 하여야 하는가?
     가. 10
     나. 20
     다. 32
     라. 48

     정답 : []
     정답률 : 44%

42. 풀장용 수중조명 등을 넣는 용기 및 방호 장치의 금속 부분에 하는 접지공사는?
     가. 제1종
     나. 제2종
     다. 제3종
     라. 특별 제3종

     정답 : []
     정답률 : 53%
     <문제 해설>
풀장용 수중조명이라고 하면 무조건 특별 제3종 접지공사 공짜 문제
[해설작성자 : 대구 폴리텍]

43. 최대수용전력이 40㎾인 수용가에서 1일의 소비전력이 600kWh라면 1일의 부하율은 몇 % 인가?
     가. 20
     나. 27.5
     다. 50
     라. 62.5

     정답 : []
     정답률 : 40%
     <문제 해설>
부하율 = 소비전력/최대수용전력
그런데 1일의 소비전력이 600이니까 1일은 24시간이므로 600/24 해준다.(나눠주면 25)
25/40 * 100 = 62.5
[해설작성자 : 짭박사]

44. 차단기 각 부의 재료에 따라 정해진 일정한 온도를 넘지 않고 연속적으로 흘릴 수 있는 전류의 한도는?
     가. 정격차단전류
     나. 정격투입전류
     다. 정격단시간전류
     라. 정격전류

     정답 : []
     정답률 : 56%

45. 3상3선식 전선로에서 1선의 저항을 R, 유도리액턴스를 X, 부하역률을 cosθ, 선전류를I라고 할 때 전압강하식은?
     가. 2I(R cosθ+X sinθ)
     나. I(R cosθ+X sinθ)
     다. I(R cosθ+X sinθ)
     라. 3I(R cosθ+X sinθ)

     정답 : []
     정답률 : 68%
     <문제 해설>
2I(Rcosθ+Xsinθ) → 2선식 단상일 때 전압강하
I(Rcosθ+Xsinθ) → 단상 1선당 전압강하
I(Rcosθ+Xsinθ) → 3상 3선식의 전압강하 (정답)
[해설작성자 : 전기기능사도전자]

46. 비닐코드선을 절대로 사용해서는 안되는 것은?
     가. 전열기
     나. 오디오세트
     다. 전기냉장고
     라. 텔레비젼

     정답 : []
     정답률 : 76%

47. 철탑의 지면상의 나비는 높이의 어느 정도가 알맞은가?
     가. 1/5
     나. 1/10
     다. 1/15
     라. 1/20

     정답 : []
     정답률 : 40%

48. 동일한 조건에서 3상3선식의 전선 1가닥마다의 송전전력은 단상2선식에 비하여 몇 배인가?
     가. 1
     나. 1.15
     다. 1.73
     라. 2

     정답 : []
     정답률 : 44%

49. 표면복수기에 부속되어 있는 펌프가 아닌 것은?
     가. 공기펌프
     나. 배수펌프
     다. 복수펌프
     라. 순환펌프

     정답 : []
     정답률 : 36%
     <문제 해설>
증기발전기에서 배수펌프는 주로 물을 빼내는 용도로 쓰인다...
[해설작성자 : 전기기능사도전자]

50. 기력발전소에서 복수기의 방열 손실을 A, 보일러 손실을 B, 뱅킹 손실을 C 라 할 때 손실이 큰 순서로 나열된 것은?
     가. A-B-C
     나. A-C-B
     다. B-C-A
     라. C-A-B

     정답 : []
     정답률 : 48%

51. 발전기의 자기여자현상을 방지하는 방법이 아닌 것은?
     가. 발전기와 병렬로 리액턴스를 접속한다.
     나. 발전기를 2대이상 병렬운전한다.
     다. 주파수를 낮게 하여 충전한다.
     라. 발전기의 단락비를 작게 한다.

     정답 : []
     정답률 : 46%

52. 변전소의 기능이 아닌 것은?
     가. 전압 조정
     나. 주파수 조정
     다. 승압 또는 강압
     라. 송전선과 배전선의 연락 및 분기

     정답 : []
     정답률 : 59%

53. 수차발전기에 설치하는 제동권선의 효용은?
     가. 정지시간의 단축
     나. 회전력의 증가
     다. 난조 방지
     라. 과부하 내량의 증대

     정답 : []
     정답률 : 71%
     <문제 해설>
동기기에서 제동권선의 기능
1. 난조방지!!!!!
2. 발전기 기동
[해설작성자 : 징징이]

54. 유효낙차가 80m일 때 프란시스수차의 특유속도는 몇 rpm 인가?
     가. 20
     나. 130
     다. 180
     라. 200

     정답 : []
     정답률 : 53%

55. 수차의 유효낙차와 안내날개 그리고 노즐의 열린 정도를 일정하게 해 놓은 상태에서 조속기가 동작하지 않게 하고 전부하 정격속도로 운전 중에 무부하로 하였을 경우에 도달하는 최고 속도는?
     가. 유효속도
     나. 무효속도
     다. 특유속도
     라. 무구속속도

     정답 : []
     정답률 : 43%

56. 미분탄연소의 장점이 아닌 것은?
     가. 과잉공기량이 적다.
     나. 완전 연소가 행하여진다.
     다. 화로의 온도가 낮다.
     라. 열효율이 좋다.

     정답 : []
     정답률 : 50%
     <문제 해설>
(미분탄)고운가루형테라서 산소의 공급의 충분하고 가루(분말)형태라
타기 쉬워서 연쇄폭발을합니다.
연쇄폭발을 한다는것은 완전연소가 행하여지므로 과잉공기량이 적고 열효율이 좋습니다
열효율이 좋다는 것은 화로의 온도가 높다는 것입니다.
[해설작성자 : 뇌피셜]

57. 조상설비가 있는 1차 변전소에서 주변압기로 주로 사용되는 변압기는?
     가. 승압용 변압기
     나. 단권 변압기
     다. 3권선 변압기
     라. 단상 변압기

     정답 : []
     정답률 : 31%

58. 보호계전방식은 전력계통을 인체에 비유한다면 신경계통에 속한다고 볼 수 있다. 여기에 사용되는 보호계전기가 구비해야 할 조건이 아닌 것은?
     가. 고장 상태를 식별하여 그 정도를 판단할 수 있어야 한다.
     나. 고장 개소를 정확히 선택할 수 있어야 한다.
     다. 동작이 신속, 정확하고, 오동작하지 말아야 한다.
     라. 전선로나 변압기의 절연을 낮게 할 수 있어야 한다.

     정답 : []
     정답률 : 64%

59. 포오밍(forming)현상을 일으키는 원인은?
     가. 냉각수 부족
     나. 보일러내의 급수 부족
     다. 급수의 불순물
     라. 기압의 과대

     정답 : []
     정답률 : 44%

60. 송전선로를 연가시키는 목적은?
     가. 선로정수의 평형
     나. 전압강하 방지
     다. 뇌해 방지
     라. 송전선 절약

     정답 : []
     정답률 : 42%


정 답 지

1

2

3

4

5

6

7

8

9

10

11

12

13

14

15

16

17

18

19

20

21

22

23

24

25

26

27

28

29

30

31

32

33

34

35

36

37

38

39

40

41

42

43

44

45

46

47

48

49

50

51

52

53

54

55

56

57

58

59

60

전기기능사 필기 기출문제(해설) 및 CBT 2003년03월30일(2회)을 이용해 주셔서 감사합니다.
전기기능사, 기출문제, 전기, 기능사, 필기, 기출문제, 전자문제집, CBT, 온라인, 모의테스트, 모의고사



List of Articles
번호 제목 글쓴이 날짜 조회 수
4926 전기기능사 필기 기출문제(해설) 및 CBT 2008년02월03일(1회)(5217) 좋은아빠되기 2025.10.07 0
4925 전기기능사 필기 기출문제(해설) 및 CBT 2007년09월16일(5회)(5216) 좋은아빠되기 2025.10.07 0
4924 전기기능사 필기 시험문제 및 CBT 2007년07월15일(4회)(5215) 좋은아빠되기 2025.10.07 0
4923 전기기능사 필기 시험문제 및 CBT 2007년04월01일(2회)(5214) 좋은아빠되기 2025.10.07 0
4922 전기기능사 필기 기출문제(해설) 및 CBT 2007년01월28일(1회)(5213) 좋은아빠되기 2025.10.07 0
4921 전기기능사 필기 시험문제 및 CBT 2006년10월01일(5회)(5212) 좋은아빠되기 2025.10.07 0
4920 전기기능사 필기 시험문제 및 CBT 2006년07월16일(4회)(5211) 좋은아빠되기 2025.10.07 0
4919 전기기능사 필기 기출문제(해설) 및 CBT 2006년04월02일(2회)(5210) 좋은아빠되기 2025.10.07 0
4918 전기기능사 필기 시험문제 및 CBT 2006년01월22일(1회)(5209) 좋은아빠되기 2025.10.07 0
4917 전기기능사 필기 시험문제 및 CBT 2005년10월02일(5회)(5208) 좋은아빠되기 2025.10.07 0
4916 전기기능사 필기 기출문제(해설) 및 CBT 2005년07월17일(4회)(5207) 좋은아빠되기 2025.10.07 0
4915 전기기능사 필기 시험문제 및 CBT 2005년04월03일(2회)(5206) 좋은아빠되기 2025.10.07 0
4914 전기기능사 필기 기출문제(해설) 및 CBT 2005년01월30일(1회)(5205) 좋은아빠되기 2025.10.07 0
4913 전기기능사 필기 시험문제 및 CBT 2004년10월10일(5회)(5204) 좋은아빠되기 2025.10.07 0
4912 전기기능사 필기 시험문제 및 CBT 2004년07월18일(4회)(5203) 좋은아빠되기 2025.10.07 0
4911 전기기능사 필기 기출문제(해설) 및 CBT 2004년04월04일(2회)(5202) 좋은아빠되기 2025.10.07 0
4910 전기기능사 필기 기출문제(해설) 및 CBT 2004년02월01일(1회)(5201) 좋은아빠되기 2025.10.07 0
4909 전기기능사 필기 시험문제 및 CBT 2003년07월20일(4회)(5200) 좋은아빠되기 2025.10.07 0
» 전기기능사 필기 시험문제 및 CBT 2003년03월30일(2회)(5199) 좋은아빠되기 2025.10.07 0
4907 전기기능사 필기 기출문제(해설) 및 CBT 2003년01월26일(1회)(5198) 좋은아빠되기 2025.10.07 0
Board Pagination Prev 1 ... 293 294 295 296 297 298 299 300 301 302 ... 544 Next
/ 544