자격증 필기 기출문제



전기기능사 필기 시험문제 및 CBT 2008년07월13일(4회)(5219)

최강 자격증 기출문제 전자문제집 CBT : www.comcbt.com


전자문제집 CBT란?

종이 문제집이 아닌 인터넷으로 문제를 풀고 자동으로 채점하며 모의고사, 오답 노트, 해설까지 제공하는
무료 기출문제 학습 프로그램으로 실제 상설검정에서 사용하는 OMR 형식의 CBT를 제공합니다.


최신 전기기능사 필기 기출문제 : [다운로드]

1과목 : 전기 이론


1. 진공의 투자율 μ0[H/m]은?
     가. 6.33 × 104
     나. 8.55 × 10-12
     다. 4π × 10-7
     라. 9 × 109

     정답 : []
     정답률 : 44%
     <문제 해설>
*투자율:어떤 물질이 주어진 자기장에 대하여 얼마나 자화(자기력의 영향을 받아 자석처럼 되는것)하는지를 나타내는 값이다.
[해설작성자 : 이광희]

1. 공기중에 있을 때의 투자율 입니다
2. 진공중의 "유전율"입니다
3. 정답이지롱
4. 쿨롱의 법칙에 쓰이는 상수입니다
[해설작성자 : 전기 6번 떨어진 저력을 보여주지]

2. 전류의 의해 만들어지는 자기장의 자기력선 방향을 간단하게 알아내는 법칙은?
     가. 플레밍의 왼손법칙
     나. 플레밍의 오른손법칙
     다. 앙페르의 오른나사법칙
     라. 렌츠의 법칙

     정답 : []
     정답률 : 71%
     <문제 해설>
직선 도체에 전류가 흐르면 자계가 형성되며 도체에 수직인 평면상에서 오른나사가 진행하는 방향으로 전류가 흐를 때 나사를 돌리는 방향으로 자계가 발생한다.
즉, 전류에 의한 자계 방향의 관계를 앙페르의 오른나사 법칙이라 한다.
[해설작성자 : 성재]

1. 플레밍의 왼손법칙 = 전동기, 전자력의 방향.(엄지=힘의 방향, 검지= 자장의 방향, 중지= 전류의 방향)
2. 플레밍의 오른손법칙 = 발전기(교류발전기)의 유도기전력의 방향, 도체가 운동하는 경우 유도기전력의 방향(엄지=도체의 운동방향, 검지=자속의 방향, 중지=유도기전력의 방향)
3. 앙페르의 오른나사법칙 = 전류에 의한 자기장(자력선)의 방향
4. 렌쯔의 법칙 = 전자유도 현상에 의해 생기는 유도기전력의 방향
[해설작성자 : 불곰탱이]

3. 코일의 자체 인덕턴스는 어느 것에 따라 변화하는가?
     가. 투자율
     나. 유전율
     다. 도전율
     라. 저항율

     정답 : []
     정답률 : 49%
     <문제 해설>
투자율: 어떤 매질이 주어진 자기장에 얼마나 자화하는지를 나타내는 값
(전자석 만들때 쇠못에다 코일(에나멜선)감죠?)

유전율: 콘덴서에 해당

도전율: 열, 전기가 얼마나 잘 전달되는가

저항률(맞춤법 개정 - 현재 2018년 기준): 걍 저항입니다
[해설작성자 : GLaDOS]

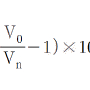
4. 어떤 전압계의 측정 범위를 10배로 하자면 배율기의 저항을 전압계 내부저항의 몇배로 하여야 하는가?
     가. 10
     나. 1/10
     다. 9
     라. 1/9

     정답 : []
     정답률 : 42%
     <문제 해설>
측정하고자 하는 범위의 -1배를 하면 된다
자세하게는 전압계의 측정범위가 10V까지인데 1000V를 측정하고자
[해설작성자 : comcbt.com 이용자]

배율기의 배율 m= 1+ (Rs/Ra) Rs= 배율기 저항 Ra 내부저항
[해설작성자 : comcbt.com 이용자]

배율기의 저항 공식 Rm = (m-1)r
Rm =배율기의 저항
m = 배율
r = 전압계의 내부저항
식에 대입하면 Rm = (10-1)r = 9r 따라서 배율기의 저항은 내부저항(r)의 9배가 맞는겁니다.
※배율기(전압계)냐 분류기(전류계)냐에 따라서 공식이 다르니 참고하시기 바랍니다.
[해설작성자 : 불곰탱이]

5. 어떤 도체에 t초 동안 Q[C]의 전기량이 이동하면 이 때 흐르는 전류 [A]는?
     가. I = Qㆍt[A]
     나. I = Q2t[A]
     다. I = t/Q
     라. I = Q/t

     정답 : []
     정답률 : 67%
     <문제 해설>
Q = It인데, 이것을 I에 대해 정리하면 I = Q/t가 됨

6. 3[Ω]의 저항이 5개, 7[Ω]의 저항이 3개, 114[Ω]의 저항이 1개 있다. 이들을 모두 직렬로 접속할 때의 합성 저항은 몇 [Ω] 인가?
     가. 120
     나. 130
     다. 150
     라. 160

     정답 : []
     정답률 : 86%
     <문제 해설>
합성저항 R=3+3+3+3+3+7+7+7+114=150
[해설작성자 : Metatron]

R(합성저항) = 3*5 + 7*3 + 114
                        = 15    +    21 +    114
                        = 150

[추가 해설]
3Ω*5개 7Ω*3개 114Ω*1개
15+21+114= 150Ω
[해설작성자 : 충북산과고 이수윤]

7. A - B 사이 콘덴서의 합성정전 용량은 얼마인가?

   

     가. 1C
     나. 1.2C
     다. 2C
     라. 2.4C

     정답 : []
     정답률 : 63%
     <문제 해설>
합성정전용량의 직렬은 합성저항 병렬식처럼
                     병렬은 합성저항 직렬처럼구한다
=C+C+C=3C
=2C×3C/2C+3C = 1.2C
[해설작성자 : 대원전기교육원 B반 앙기모찌]

8.   e = 141 sin(120πt-π/3)인 파형의 주파수는 몇 [Hz]인가?
     가. 120
     나. 60
     다. 30
     라. 15

     정답 : []
     정답률 : 72%
     <문제 해설>
무조건 이런거는 sin안에 있는거에 2파이분에 1해주면 각나옴 ㅅㄱ
[해설작성자 : 전기기능사만 5번째]

w = 2ㅠf
120ㅠ = 2ㅠf

120ㅠ / 2ㅠ = f
[해설작성자 : 경산박근호]

9. 5[Wh]는 몇 [J]인가?
     가. 720
     나. 1800
     다. 7200
     라. 18000

     정답 : []
     정답률 : 77%
     <문제 해설>
1Wh=3600Ws=3600J
5Wh=5×3600J
18000J
[해설작성자 : 쎄랑]

10. 저항 3[Ω], 유도리액턴스 4[Ω]의 직렬회로에 교류 100[V]를 가할 때 흐르는 전류와 위상각은 얼마인가?
     가. 14.3[A], 37°
     나. 14.3[A], 53°
     다. 20[A], 37°
     라. 20[A], 53°

     정답 : []
     정답률 : 36%
     <문제 해설>
I=V/Z 이고, Z=√R^2+XL^2=√3^2+4^2=√25=5 I=100/5=20(A)
위상각=tan-1(XL/R)=tan-1(4/3)=53.130102

[해설작성자 : 공학용 계산기야 나에게 힘을]

11. 그림을 테브닝 등가회로로 고칠 때 개방전압 V와 저항 R은?

    

     가. 20[V], 5[Ω]
     나. 30[V], 8[Ω]
     다. 15[V], 12[Ω]
     라. 10[V], 1.2[Ω]

     정답 : []
     정답률 : 39%
     <문제 해설>
v'=3+6(분모).6(분자)*30=20[v]
R'=3+6(분모),3*6(분자)+3=5[옴]
[해설작성자 : 삼척마이스터고기능사]

v'= [6/(3+6)] * 30 = 20
R'= [(3*6)/(3+6)] + 3 = 5[Ω]
[해설작성자 : 위에 분이 적어주신 식을 조금 더 보기 쉽게]

12. 전압 220[V] 1상 부하 Z = 8+6jΩ의 △회로의 선전류는 몇 [A]인가?
     가. 22
     나.
     다. 11
     라.

     정답 : []
     정답률 : 69%
     <문제 해설>
선전류는 선간전압/임피던스
=220*루트3/루트(8^2+6^2)
약분되서 22루트3
[해설작성자 : 노승준짱찡]

Y
전류 선과 상 동일
전압 선이 상의 루트3배 위상 30도 앞섬

델타
전류 선이 상의 루트3배 위상 30도 뒤짐
전압 선과 상 동일
[해설작성자 : 서울과학기술고등학교 전교 꼴등]

13. 줄(Joule)의 법칙에서 발열량 계산식을 옳게 표시한 것은?
     가. H = 0.24I2R
     나. H = 0.024I2Rt
     다. H = 0.024I2R2
     라. H = 0.24I2Rt

     정답 : []
     정답률 : 70%
     <문제 해설>
줄의 법칙에서 발열량 계산식 : H=0.24I^2Rt [Cal]
[해설작성자 : 손인성]

14. 200[V]에서 1[kW]의 전력을 소비하는 전열기를 100[V]에서 사용하면 소비전력은 몇 [W]인가?
     가. 150
     나. 250
     다. 400
     라. 1000

     정답 : []
     정답률 : 47%
     <문제 해설>
r=v^2/p    200^2/1000=40 100v 소비전력 100^2/40=250
[해설작성자 : 므싯네]

15. 질산은을 전기분해할 때 직류 전류를 10시간 흘렸더니 음극에 120.7[g]의 은이 부착하였다. 이때의 전류는 약 몇 [A]인가?(단. 은의 전기화학 당량 K=0.001118[g/c)이다.)
     가. 1
     나. 2
     다. 3
     라. 4

     정답 : []
     정답률 : 41%
     <문제 해설>
*은의 원자량: 107868 *은의 몰(MOL)수:1.12MOL    *전자1몰의 전하량:96485C    *10시간:36000SEC
*은(120.7g)/은의 원자량=120.7/107868=0.001118(은의 화학당량)
*Q(전하량)=I*T(시간)=> I=Q/T=1.12*96485/36000=3.0017555(약3입니다.)
[해설작성자 : 이광희]

석출량 W=KIt (패러데이법칙)
I를 구하라 I=W/Kt 식에 대입 I=120.7/0.0011118×10×60×60
3.0156....
[해설작성자 : 임정주]

패러데이법칙, 석출되는 물질의 양W[g]
W = KQ = KIt[g]
K=전기화학당량[g/c]
I=전류[A]
t=시간[s]
Q=전기량(전하)[C]
전기분해에 의해 석출되는 물질의 양은 전해액을 통과한 총 전기량과 같으며 그 물질의 화학당량에 비례한다.
패러데이 법칙이 두개예요. 이름이 똑같음.ㅋ 공식은 외울 때 같이 외우는게 좋아서 보충설명합니다.
공식은 간단한데 시간을 초[s]로 변경하거나 반대로 시간[h]으로 물어보는 유사문제가 있으니 단위환산에만 유의하시면 충분히 풀 수 있는 문제입니다.
[해설작성자 : 불곰탱이]

16. 0.02[㎌]의 콘덴서에 12[μC]의 전하를 공급하면 몇 [V]의 전위차를 나타내는가?
     가. 600
     나. 900
     다. 1200
     라. 2400

     정답 : []
     정답률 : 53%
     <문제 해설>
12/0.02=600V
[해설작성자 : 이광희]

Q=VC, V=Q/C=12×10^-6/0.02×10^-6=600[V]
[해설작성자 : 수험생]

17. 주기적인 구형파 신호의 성분은 어떻게 되는가?
     가. 성분 분석이 불가능하다.
     나. 직류분만으로 합성된다.
     다. 무수히 많은 주파수의 합성이다.
     라. 교류 합성을 갖지 않는다.

     정답 : []
     정답률 : 60%
     <문제 해설>
*구형파(Square wave)또는 직사각파(rectangular wave)-rect(t):시간영역에서 직사각형 모형을 하는 신호파형
=> 일반적으로 주기적으로 반복하는 경우엔
-반복구형파는 시간간격이 규칙적인 것을 지칭한다.
-반복직사각파는 시간간격이 일정하지 않은 것을 지칭한다.
[해설작성자 : 이광희]

18. 최대값 10[A]인 교류 전류의 평균값은 약 몇 [A]인가?
     가. 3.34
     나. 4.33
     다. 5.65
     라. 6.37

     정답 : []
     정답률 : 54%
     <문제 해설>
2×최대값/파이 입니다. 2×10/3.14 = 6.37
[해설작성자 : 강아지와와]

[추가해설]
Va(평균값)=Vm×2/π(파이)
Va=Vm×0.637
[해설작성자 : 곰탱이]

19. 자기력선의 설명 중 맞는 것은?
     가. 자기력선은 자석의 N극에서 시작하여 S극에서 끝난다.
     나. 자기력선은 상호간에 교차한다.
     다. 자기력선은 자석의 S극에서 시작하여 N극에서 끝난다.
     라. 자기력선은 가시적으로 보인다.

     정답 : []
     정답률 : 69%
     <문제 해설>
간단하게 설명하면 N 극은 +(플러스극), S극은 -(마이너스극)라고 생각하시면 됩니다.
그러면 자석의 자기력선은 언제나 N극에서 시작해서 S극으로 끝난다는 것을 알겠죠?
[해설작성자 : 전기 6번 떨어진 저력을 보여주지]

20. 전하의 성질을 잘못 설명한 것은?
     가. 같은 종류의 전하는 흡인하고 다른 종류의 전하끼리는 반발한다.
     나. 대전체에 들어 있는 전하를 없애려면 접지시킨다.
     다. 대전체의 영향으로 비대전체에 전기가 유도 된다.
     라. 전하는 가장 안정한 상태를 유지하려는 성질이 있다.

     정답 : []
     정답률 : 74%
     <문제 해설>
+는 +에 반발하지 흡인하지않습니다
[해설작성자 : 김호놀룰루]

2과목 : 전기 기기


21. 변압기유로 쓰이는 절연유에 요구되는 성질이 아닌 것은?
     가. 점도가 클 것
     나. 비열이 커 냉각 효과가 클 것
     다. 절연재료 및 금속재료의 화학작용을 일으키지 않을 것
     라. 인화점이 높고 응고점이 낮을 것

     정답 : []
     정답률 : 64%
     <문제 해설>
점성도가 낮아야 합니다.
[해설작성자 : 민제]

절연유의 구비조건
점도와 응고점만 낮고 나머지 다 크고 그럴싸한 것 고르면 됩니다. (ex 비열이커서 냉각효과 클 것, 화학작용 x, 산화 하지 않을 것)
[해설작성자 : 용현]

22. 다음 중 변압기의 온도 상승 시험법으로 가장 널리 사용되는 것은?
     가. 단락시험
     나. 극성시험
     다. 절연내력시험
     라. 무부하시험

     정답 : []
     정답률 : 47%
     <문제 해설>
*단락시험
-단락시험의 정의는 부하실험 입니다.
부하손은 변압기의 부하사용량에 비례하여 발생된는 손실이며,일명 동손 이라고 합니다.
변압기에 정격전류가 흐를 때 발생되는 손실값 및 임피던스 전압을 측정하게 됩니다.
이렇게 시험된 결과를 이용하여 변압기의 효율을 계산하고
임피던스전압은 전력계통의 차단전류를 결정하게되며 계통의 보호기기를 선정하는 중요 근거 자료가 됩니다.
[해설작성자 : 이광희]

23. 4극의 3상 유도 전동기가 60[Hz]의 전원에 연결되어 4[%]의 슬립으로 회전할 때 회전수는 몇 [rpm]인가?
     가. 1656
     나. 1700
     다. 1728
     라. 1880

     정답 : []
     정답률 : 71%
     <문제 해설>
회전수=120f/p
=120*60/4
=1800
슬립4%
1800-1800*4/100
1800-72=1728
슬립4%니까 1800까지구하고 그것보다 조금 더 작은값 찍어주시면됩니다.
[해설작성자 : 삼마고학생]

위의 방식보다 다른 방법으로 풀어 보겠습니다.
* 슬립은 전동기가 정지(기동)일 때 값은 1입니다.(회전은 0)
=> 1-0.04(4%)=0.96
=> 1800*0.96 =1728이 나옵니다.
[해설작성자 : 이광희]

24. 4극 24홈 표준 농형 3상 유도 전동기의 매극 매상당의 홈수는?
     가. 6
     나. 3
     다. 2
     라. 1

     정답 : []
     정답률 : 52%
     <문제 해설>
24홈 / 4극 = 6 6/3상 = 2
[해설작성자 : 설현과 결혼]

24
--- = 2
4×3
[해설작성자 : 홍쌤최고!]

24/(4*3)
[해설작성자 : 공마고 비밀병기]

25. 6극 60[Hz] 3상 유도 전동기의 동기속도는 몇 [rpm]인가?
     가. 200
     나. 750
     다. 1200
     라. 1800

     정답 : []
     정답률 : 62%
     <문제 해설>
                                120*f(주파수)            120*60
동기속도[rpm]= ---------------- = --------- =     1200
                                        N(극수)                     6
[해설작성자 : 박민제]

26. 다음 중 농형 유도 전동기의 기동법이 아닌 것은?
     가. Y-△ 기동법
     나. 리액터 기동법
     다. 2차 저항법
     라. 기동 보상법

     정답 : []
     정답률 : 68%
     <문제 해설>
2차저항법은 권선형전동기임
[해설작성자 : 2018년 1회 합격!!]

27. 동기 발전기의 돌발 단락전류를 주로 제한하는 것은?
     가. 누설 리액터
     나. 역상 리액터
     다. 동기 리액터
     라. 권선저항

     정답 : []
     정답률 : 60%
     <문제 해설>
돌발 단락전류는 누설 리액턴스입니다
저는 돌발 누설로 외워요
[해설작성자 : 태태탬ㅎ,ㄴ]

28. 단락비가 큰 동기기는?
     가. 안정도가 높다.
     나. 기계가 소형이다.
     다. 전압 변동률이 크다.
     라. 전기자반작용이 크다.

     정답 : []
     정답률 : 53%
     <문제 해설>
단락비가 큰 기계는 안정도가 높고 전기자반작용 및 전압 변동률이 작으며 공극이 넓고 기계가 대형입니다.
[해설작성자 : 서울공고 9호]

29. 직류 발전기의 부하 포화 곡선은 다음 어느 것의 관계인가?
     가. 부하 전류와 여자 전류
     나. 단자 전압과 부하 전류
     다. 단자 전압과 계자 전류
     라. 부하 전류와 유기기전력

     정답 : []
     정답률 : 48%
     <문제 해설>
무부하 포화곡선은 유기기전력과 계자전류 입니다.. 부화포하곡선은 단자전압하고 계자전류 맞아요
예전 기출문제 보니까 거기서도 무부하 포화 곡선을 계-단이라 외우라던데요?

무부하 포화곡선하고 부하 포화곡선은 엄연히 다른 그래프입니다. 무부하시엔 부하전류가 0이니 유도기전력=단자전압이지만 부하가 존재할 때엔 부하로 인한 전압강하를 반드시 넣어야 하니까요.
그래서 부하포화곡선은 계자전류 If와 단자전압 V와의 관계입니다.
[해설작성자 : 징징이]

30. 플레밍(Fleming)의 오른손 법칙에 따르는 기전력이 발생하는 기기는?
     가. 교류발전기
     나. 교류전동기
     다. 교류정류기
     라. 교류용접기

     정답 : []
     정답률 : 74%
     <문제 해설>
플레밍 오른손:발전기
플레밍 왼손.    :전동기
[해설작성자 : HAN GH]

우발좌전!
[해설작성자 : 내 목표는 한국전력공사]

31. 유입 변압기에 기름을 사용하는 목적이 아닌 것은?
     가. 열 방산을 좋게 하기 위하여
     나. 냉각을 좋게 하기 위하여
     다. 절연을 좋게 하기 위하여
     라. 효율을 좋게 하기 위하여

     정답 : []
     정답률 : 32%

32. 다음 중 SCR 기호는?
     가.
     나.
     다.
     라.

     정답 : []
     정답률 : 60%
     <문제 해설>
'알맹이 두개'라고 암기합시다. 기호는 무조건 암기입니다!
[해설작성자 : 난 가끔 눈물을 흘린ㄷr..]

잘나오는 반도체소자 몇개는 외워두시면 좋아요
scr     = 단방향,3단자,역저지
gto     = 자기소호 제어용 소자 (문답으로 나옴)
diac    = 2단자 양방향(1번그림)
triac = 3단자 양방향(1번그림에서 2번처럼 짝대기하나더)

[해설작성자 : 예찬맘]

33. 계기용 변압기의 2차측 단자에 접속하여야 할 것은?
     가. O.C.R
     나. 전압계
     다. 전류계
     라. 전열부하

     정답 : []
     정답률 : 54%
     <문제 해설>
계기용 변압기 > 고전압을 저전압으로 변성 (전압계)
계기용 변류기 > 대전류를 소전류로 변류 (전류계)
[해설작성자 : 핑크샹어]

변 '압' 기 : 전압계
변 '류' 기 : 전류계
[해설작성자 : 2021]

34. 보극이 없는 직류기의 운전 중 중성점의 위치가 변하지 않는 경우는?
     가. 무부하일 때
     나. 전부하일 때
     다. 중부하일 때
     라. 과부하일 때

     정답 : []
     정답률 : 76%
     <문제 해설>
중성점의 위치가 변하지않을때는 무부하일때이다.
[해설작성자 : 광운공고 전자로봇과]

35. 다음 그림의 전동기는 어떤 전동기인가?

    

     가. 직권 전동기
     나. 타여자 전동기
     다. 분권 전동기
     라. 복권 전동기

     정답 : []
     정답률 : 58%
     <문제 해설>
분권전동기는분리되있고 복권전동기는 합친거와 분리되어있다
[해설작성자 : 김현]

생긴게 ㅂ 같이 생겼음 그니깐 분권임 암튼 그럼
[해설작성자 : 5:55분]

36. 직류 전동기의 속도 제어법에서 정출력 제어에 속하는 것은?
     가. 계자 제어법
     나. 전기자 저항 제어법
     다. 전압 제어법
     라. 워드 레오나드 제어법

     정답 : []
     정답률 : 33%
     <문제 해설>
워드 레오나드 제어법은 전압제어의 일종이다
[해설작성자 : 김민수]

정출력 제어 - 계자 제어
정전압 제어 - 전압 제어(워드 레오나드, 일그너, 직병렬 제어)
[해설작성자 : 무키무키만만수]

37. 60[Hz] 3상 반파 정류 회로의 맥동 주파수 [Hz]는?
     가. 360
     나. 180
     다. 120
     라. 60

     정답 : []
     정답률 : 67%
     <문제 해설>
이문제는 사람들이 일반적인 단상반파나 3상반파 구하는 걸로 오해하시고 0.45나 1.35를 곱하시는 분들이 많은데
맥동 주파수가 함정입니다.
단상 반파 정류 f(전원주파수)그대로 사용
단상 전파 정류 2f(위에 문제 대입해보면 60*2)
3상 반파 정류 3f(60*3)
3상 전파 정류 6f(6*60)
[해설작성자 : 설명충]

38. 다음 중 토크(회전력)의 단위는?
     가. [rpm]
     나. [W]
     다. [Nㆍm]
     라. [N]

     정답 : []
     정답률 : 55%
     <문제 해설>
[Nㆍm]혹은[Kgㆍm]
[해설작성자 : 노승준짱찡]

39. 동기 발전기의 병렬 운전에 필요한 조건이 아닌 것은?
     가. 기전력의 크기가 같을 것
     나. 기전력의 위상차가 최대가 될 것
     다. 기전력의 주파수가 같을 것
     라. 기전력의 파형이 같을 것

     정답 : []
     정답률 : 64%
     <문제 해설>
위상, 크기, 주파수, 파형 다 같아요
[해설작성자 : 갓기공]

40. 다음 중 자기 소호 제어용 소자는?
     가. SCR
     나. TRIAC
     다. DIAC
     라. GTO

     정답 : []
     정답률 : 59%
     <문제 해설>
자기 소호 제어용 소자는 GTO 이다.
GTO = 자기 소호 제어용 소자
[해설작성자 : 뿡빵씨]

41. 다음과 같은 그림기호의 명칭은? (그림이 흐립니다. 근데 원본이 저렇게 생겼습니다. 감안하셔서 문제 푸기 바랍니다.)

    

     가. 천장은폐배선
     나. 노출배선
     다. 지중매설배선
     라. 바닥은폐배선

     정답 : []
     정답률 : 73%
     <문제 해설>
천장은 그림처럼 평평하니까 이렇게 외우시는게 편해요
[해설작성자 : 보이루]

42. 1종 금속몰드 배선공사를 할 때 동일 몰드내에 넣는 전선은 최대 몇 본 이하로 하여야 하는가?
     가. 3
     나. 5
     다. 10
     라. 12

     정답 : []
     정답률 : 39%
     <문제 해설>
1종 금속몰드 배선공사시 단선/연선에 따라 다르고
공칭단면적에 따라 소선수도 달라지고..재질도 동과 알루미늄인 경우만
10본 이하인데...약간 문제의 소지가 있는 문제이네요..그래서 안나오나 싶네요..
그래도 나온다면...1종은 10으로 외웁니다..
[해설작성자 : 고박사]

43. 가공 인입선 중 수용장소의 인입선에서 분기하여 다른 수용자소의 인입구에 이르는 전선을 무엇이라 하는가?
     가. 소주인입선
     나. 연접인입선
     다. 본주인입선
     라. 인입간선

     정답 : []
     정답률 : 73%
     <문제 해설>
연접하다 : 서로 잇닿다. 또는 이어 맞닿게 하다.

수용장소의 인입선에서 분기하여 다른 수용자소의 인입구에 이르는 이라고 문제에서 말했으니 연접인입선이 정답
[해설작성자 : 문한솔 만만세]

44. 변전소에 사용되는 주요 기기로서 ABB는 무엇을 의미 하는가?
     가. 유입차단기
     나. 자기차단기
     다. 공기차단기
     라. 진공차단기

     정답 : []
     정답률 : 58%
     <문제 해설>
*공기차단기(Air-blast circuit Breaker)
-장점
:가연물을 사용치 않으므로 화재,폭발의 위험이 없다
부품의 호환성이 있으므로 예비품 확보가 좋다
기름용기가 불필요하므로 애관이 가늘고 경량이다
차단성능이 좋으므로 접촉자의 수명이 길다
-단점
:조작때 배출공기에 의한 소음이 대단히 크다(별도의 방음설비가 필요)
패킹 사용개소나 제어밸브가 많아져서 공기누설의 주의가 필요하다
고압공기를 사용하기 때문에 공기배관등의 파열손상의 우려가 있다
[해설작성자 : 이광희]

45. 수ㆍ변전 시설의 인입구 개폐기로 많이 사용되고 있으며 전력 퓨즈의 용단시 결상을 방지하는 목적으로 사용되는 개폐기는?
     가. 부하 개폐기
     나. 선로 개폐기
     다. 자동 고장 구분 개폐기
     라. 기중부하 개폐기

     정답 : []
     정답률 : 38%
     <문제 해설>
부하 개폐기(Load break switch)
말 그대로 전로의 정격전류를 개폐하는 장치인데. 인입구 개폐기에 마치 부속품처럼 포함되는 경우가
많으며 말 그대로 전력퓨즈 용단으로 결상되는 것을 방지하는 목적입니다.
과년도 10년 넘게 문구가 변경된적이 없이 항상 똑같이 나오네요..
그냥 외우실 분은
전력퓨즈 용단시 결상 방지 목적으로 말 잘듣는 부하(쫄병)를 쓴다~
[해설작성자 : 고박사]

46. 의 관계를 가지고 있는 것은?
     가. 부하율
     나. 부등률
     다. 수용률
     라. 설비율

     정답 : []
     정답률 : 50%
     <문제 해설>
부하율=(평균 수용 전력[kW]/최대 수용 전력[kW])*100%
부등률=개개의 최대수용전력의 합[kW]/합성최대전력(kW]
수용률=(최대수용전력[kW]/부하설비합계[kW])*100%
수전용랼[kVA]=(설비용량*수용률)의합/부등률*역률
수전용량=설비용량=합성최대수용전력=변압기총용량

[추가 해설]
그냥...쉽게..
보기 맨 앞에..."부하"로 시작하면 부하율
                             "수용"으로 시작하면 수용률
[해설작성자 : 고박사]

47. 주상변압기 설치시 사용하는 것은?
     가. 완금밴드
     나. 행거밴드
     다. 지선밴드
     라. 암타이밴드

     정답 : []
     정답률 : 54%
     <문제 해설>
행거밴드는 변압기 걸이입니다.
주상변압기를 변압기에 걸때 사용하는 밴드입니다.
[해설작성자 : 충북산업과학고등학교 박수훈]

48. 옥내배선의 박스(접속함) 내에서 가는 전선을 접속할 때 주로 어떤 방법을 사용하는가?
     가. 쥐꼬리접속
     나. 슬리브접속
     다. 트위스트접속
     라. 브리타니아접속

     정답 : []
     정답률 : 73%
     <문제 해설>
박스 내에서 전선을 접속 -> 쥐꼬리접속
[해설작성자 : 먹는소]

49. 건축물의 종류에서 표준부하를 20[VA/m2]으로 하여야 하는 건축문은 다음 중 어느 것인가?
     가. 교회, 극장
     나. 학교, 음식점
     다. 은행, 상점
     라. 아파트, 미용원

     정답 : []
     정답률 : 57%
     <문제 해설>
표준부하20=>호텔,병원,학교,음식점
*문제를 풀어보니 표준부하 20을 물어보는 것이 제일 많이 나오는 것 같습니다.
[해설작성자 : 이광희]

50. 폭발성 분진이 존재하는 곳의 금속관 공사에 있어서 관 상호 및 관과 박스 기타의 부속품이 풀박스 또는 전기기계기구와의 접속은 몇 턱 이상의 나사 조임으로 접속 하여야 하는가?
     가. 2턱
     나. 3턱
     다. 4턱
     라. 5턱

     정답 : []
     정답률 : 73%
     <문제 해설>
5턱
턱은 대부분의 문제의 답이 5턱입니다.
[해설작성자 : 전주공고 산전과 갓정현]

51. 저압 옥내 간선에 사용되는 전선에 관한 사항이다. 간선에 접속하는 전동기 등의 정격전류의 합계가 50[A]를 초과하는 경우에 그 정격전류의 합계의 몇 배의 허용전류가 있는 전선 이어야 하는가?
     가. 0.8
     나. 1.1
     다. 1.25
     라. 3.0

     정답 : []
     정답률 : 54%
     <문제 해설>
간선에 접속하는 전동기 등의 정격전류의 합계가 50A이상일때는 1.1배
50A아래일때는 1.25배
[해설작성자 : 광운공고 전자로봇과]

52. 1종 가요 전선관을 구부릴 경우의 곡률 반지름은 관 안 지름의 몇 배 이상으로 하여야 하는가?
     가. 3
     나. 4
     다. 5
     라. 6

     정답 : []
     정답률 : 68%
     <문제 해설>
모든 관의 곡률 반지름은 관 안지름의 6배 이지만

"시설할 때 자유로운 경우~" 같은 말이 나오면 3배
"단심일 경우" 같은 말이 나오면 8배 입니다
[해설작성자 : 전기 6번 떨어진 저력을 보여주지]

53. 성냥, 석유류, 셀룰로이드 등 기타 가연성 물질을 제조 또는 저장하는 장소의 배선 방법으로 적당하지 않은 공사는?
     가. 케이블배선 공사
     나. 방습형 플렉시블배선 공사
     다. 합성수지관배선 공사
     라. 금속관배선 공사

     정답 : []
     정답률 : 64%
     <문제 해설>
성냥 석유는 케이블 금속관 합성수지관으로 배선한다
[해설작성자 : 전기기능사 아자아자화이팅]

합,금,케 외워 두시면 편합니다!
[해설작성자 : 첫시험]

54. 2종 금속 몰드의 구성 부품에서 조인트 금속 부품이 아닌 것은?
     가. 노멀밴드형
     나. L형
     다. T형
     라. 크로스형

     정답 : []
     정답률 : 45%
     <문제 해설>
2종 금속 몰드의 구성품으로는 L형, T형, 크로스형으로 되어 있다.
[해설작성자 : 꿀꿀이]

노멀밴드는 금속관에 사용되는 기성품이죠..
[해설작성자 : 고박사]

55. 가스 절연 개폐기나 가스 차단기에 사용되는 가스인 SF6의 성질이 아닌 것은?
     가. 연소하지 않는 성질이다.
     나. 색깔, 독성, 냄새가 없다.
     다. 절연유의 1/140로 가볍지만 공기보다 5배 무겁다.
     라. 공기의 25배 정도로 전연 내력이 낮다.

     정답 : []
     정답률 : 60%
     <문제 해설>
가스에 대해 잘모르나 절연내력은 높을수록 좋은걸로 알고있어요
[해설작성자 : 예찬맘]]

4번 정답 맞습니다.
SF6(6불화유황) 불활성 가스는 동일한 압력에서 공기보다 2.5~3배 정도 절연 내력이 높습니다.
[해설작성자 : 세종차]

56. 금속관 공사에서 금속 전선관의 나사를 낼 때 사용하는 공구는?
     가. 밴더
     나. 커플링
     다. 로크너트
     라. 오스터

     정답 : []
     정답률 : 71%
     <문제 해설>
오스터 : 금속 전선관에 나사를 내는 공구
[해설작성자 : 손인성]

57. 철근 콘트리트주의 길이가 14[m]이고, 설계하중이 9.8[kN]이하 일 때, 땅에 묻히는 표준깊이는 몇 [m]이어야 하는가?
     가. 2[m]
     나. 2.3[m]
     다. 2.5[m]
     라. 2.7[m]

     정답 : []
     정답률 : 22%
     <문제 해설>
길이 15M 이하 설계하중이 6.8[kN] 기준이라면 1/6M 로 계산합니다
그러나 설계하중이 9.8[kN] 이면 대락 3 [kn] 정도 차이가 나므로 0.3m 정도 더해야 합니다.
[해설작성자 : 광주인력하이도돗]

지극히 정상적인문제입니다.
근입깊이 조건은 두가지입니다.
1. 15m이하 = 1/6, 15m초과 = 2.5m
2. 단, 14m~20m + 6.3kn~9.8kn 두가지조건을 충족하면 +30cm

15m이하이므로 14/6 = 2.33m
14m, 9.8kn이므로 2.33+0.3 = 2.63m이상
[해설작성자 : 예찬맘]

58. 합성수지관을 새들 등으로 지지하는 경우에는 그 지지 점간의 거리를 몇 [m] 이하로 하여야 하는가?
     가. 1.5[m] 이하
     나. 2.0[m] 이하
     다. 2.5[m] 이하
     라. 3.0[m] 이하

     정답 : []
     정답률 : 49%
     <문제 해설>
1m 이하 : 가요전선관, 캡타이어 케이블
1.5m 이하 : 금속몰드, 합성수지관
2m 이하 : 금속전선관, 라이딩덕트, 애자, 케이블
3m 이하 : 금속덕트
[해설작성자 : 바샷]

외우기:금(3m)/금애라케(2m)/합금(1.5m)/캡가(1m)

59. 다음 중 동전선의 접속에서 직선 접속에 해당하는 것은?
     가. 직선맞대기용슬리브(B형)에 의한 압착 접속
     나. 비틀어 꽂는형의 전선접속기에 의한 접속
     다. 종단겹침용슬리브(E형)에 의한 접속
     라. 동선압착단자에 의한 접속

     정답 : []
     정답률 : 44%
     <문제 해설>
동전선의 접속 직선맞대기용슬리브에 의한접속
[해설작성자 : 육재룡]

60. 교류 400[V] 미만의 저압용 기계기구의 철대 및 금속제 외함의 접지공사는?(관련 규정 개정전 문제로 여기서는 기존 정답인 3번을 누르면 정답 처리됩니다. 자세한 내용은 해설을 참고하세요.)
     가. 제1종 접지공사
     나. 제2종 접지공사
     다. 제3종 접지공사
     라. 특별 제3종 접지공사

     정답 : []
     정답률 : 74%
     <문제 해설>
1종 접지공사 : 피뢰기, 특고 계기용 변성기 2차 및 외함
2종 접지공사 : 주상변압기 2차측
3종 접지공사 : 400V 미만의 저압 기계 기구, 네온 변압기 외함
특 3종 접지공사 : 400V이상의 저압 기계기구의 외함, 풀용 수명조명등
[해설작성자 : 손인성]

(2021년 KEC 규정 변경으로 인하여 접지관련 문제는 출제되지 않습니다.)


정 답 지

1

2

3

4

5

6

7

8

9

10

11

12

13

14

15

16

17

18

19

20

21

22

23

24

25

26

27

28

29

30

31

32

33

34

35

36

37

38

39

40

41

42

43

44

45

46

47

48

49

50

51

52

53

54

55

56

57

58

59

60

전기기능사 필기 기출문제(해설) 및 CBT 2008년07월13일(4회)을 이용해 주셔서 감사합니다.
전기기능사, 기출문제, 전기, 기능사, 필기, 기출문제, 전자문제집, CBT, 온라인, 모의테스트, 모의고사



List of Articles
번호 제목 글쓴이 날짜 조회 수
4055 전기기능사 필기 시험문제 및 CBT 2006년10월01일(5회)(5212) new 좋은아빠되기 2025.10.07 0
4054 전기기능사 필기 기출문제(해설) 및 CBT 2007년01월28일(1회)(5213) new 좋은아빠되기 2025.10.07 0
4053 전기기능사 필기 시험문제 및 CBT 2007년04월01일(2회)(5214) new 좋은아빠되기 2025.10.07 0
4052 전기기능사 필기 시험문제 및 CBT 2007년07월15일(4회)(5215) new 좋은아빠되기 2025.10.07 0
4051 전기기능사 필기 기출문제(해설) 및 CBT 2007년09월16일(5회)(5216) new 좋은아빠되기 2025.10.07 0
4050 전기기능사 필기 기출문제(해설) 및 CBT 2008년02월03일(1회)(5217) new 좋은아빠되기 2025.10.07 0
4049 전기기능사 필기 기출문제(해설) 및 CBT 2008년03월30일(2회)(5218) new 좋은아빠되기 2025.10.07 0
» 전기기능사 필기 시험문제 및 CBT 2008년07월13일(4회)(5219) new 좋은아빠되기 2025.10.07 0
4047 전기기능사 필기 기출문제(해설) 및 CBT 2008년10월05일(5회)(5220) new 좋은아빠되기 2025.10.07 0
4046 전기기능사 필기 기출문제(해설) 및 CBT 2009년01월18일(1회)(5221) new 좋은아빠되기 2025.10.07 0
4045 전기기능사 필기 기출문제(해설) 및 CBT 2009년03월29일(2회)(5222) new 좋은아빠되기 2025.10.07 0
4044 전기기능사 필기 기출문제(해설) 및 CBT 2009년07월12일(4회)(5223) new 좋은아빠되기 2025.10.07 0
4043 전기기능사 필기 기출문제(해설) 및 CBT 2009년09월27일(5회)(5224) new 좋은아빠되기 2025.10.07 0
4042 전기기능사 필기 시험문제 및 CBT 2010년01월31일(1회)(5225) new 좋은아빠되기 2025.10.07 0
4041 전기기능사 필기 시험문제 및 CBT 2010년03월28일(2회)(5226) new 좋은아빠되기 2025.10.07 0
4040 전기기능사 필기 기출문제(해설) 및 CBT 2010년07월11일(4회)(5227) new 좋은아빠되기 2025.10.07 0
4039 전기기능사 필기 시험문제 및 CBT 2010년10월03일(5회)(5228) new 좋은아빠되기 2025.10.07 0
4038 전기기능사 필기 기출문제(해설) 및 CBT 2011년02월13일(1회)(5229) new 좋은아빠되기 2025.10.07 0
4037 전기기능사 필기 시험문제 및 CBT 2011년04월17일(2회)(5230) new 좋은아빠되기 2025.10.07 0
4036 전기기능사 필기 기출문제(해설) 및 CBT 2011년07월31일(4회)(5231) new 좋은아빠되기 2025.10.07 0
Board Pagination Prev 1 ... 242 243 244 245 246 247 248 249 250 251 ... 449 Next
/ 449