자격증 필기 기출문제



전기기능사 필기 시험문제 및 CBT 2011년04월17일(2회)(5230)

최강 자격증 기출문제 전자문제집 CBT : www.comcbt.com


전자문제집 CBT란?

종이 문제집이 아닌 인터넷으로 문제를 풀고 자동으로 채점하며 모의고사, 오답 노트, 해설까지 제공하는
무료 기출문제 학습 프로그램으로 실제 상설검정에서 사용하는 OMR 형식의 CBT를 제공합니다.


최신 전기기능사 필기 기출문제 : [다운로드]

1과목 : 전기 이론


1. 서로 가까이 나란히 있는 두 도체에 전류가 반대 방향으로 흐를 때 각 도체 간에 작용하는 힘은?
     가. 흡인한다.
     나. 반발한다.
     다. 흡인과 반발을 되풀이 한다.
     라. 처음에는 흡인하다가 나중에는 반발한다.

     정답 : []
     정답률 : 64%
     <문제 해설>
전류 방향이 같을 경우 흡인력. 다를 경우 반발력
[해설작성자 : 합격 축하드려요]

2. 3[㎌], 4[㎌], 5[㎌]의 3개의 콘덴서를 병렬로 연결된 회로의 합성 정전용량은 얼마인가?
     가. 1.2[㎌]
     나. 3.6[㎌]
     다. 12[㎌]
     라. 36[㎌]

     정답 : []
     정답률 : 84%
     <문제 해설>
3+4+5=12
[해설작성자 : 대원전기교육원 B반 앙기모찌]

콘덴서니까 반대로 생각하면 됨(직렬로 계산)
[해설작성자 : 대원전기교육원 E반 앙멍배띠]

3. 다음 설명 중에서 틀린 것은?
     가. 코일로 직렬로 연결할수록 인덕턴스가 커진다.
     나. 콘덴서는 직렬로 연결할수록 용량이 커진다.
     다. 저항은 병렬로 연결할수록 저항치가 작아진다.
     라. 리액턴스는 주파수의 함수이다.

     정답 : []
     정답률 : 67%
     <문제 해설>
콘덴서는 직렬로 연결할 수록 용량이 작아진다.
[해설작성자 : 손인성]

어렵게 생각하지 말고 콘덴서 회로 구성시 직렬 병렬시 저항 구하는걸 해보시면 됩니다~
직렬- 병렬로 계산
병렬- 직렬로 계산
[해설작성자 : 설명충]

4. 회전자가 1초에 30회전을 하면 각속도는?
     가. 30π[rad/s]
     나. 60π[rad/s]
     다. 90π[rad/s]
     라. 120π[rad/s]

     정답 : []
     정답률 : 53%
     <문제 해설>
각속도는 2 • 파이 • 주파수(f) 이므로 2 • 30 • 파이 됩니다
답 : 60 • 파이
초당 회전속도를 주파수라 한다

[추가 해설]
각속도 w= 세타/시간(초) 에서 1회전시 세타는 2π 이므로 30회전은 60π 따라서 60π/1= 60π
[해설작성자 : 공부하는 노인]

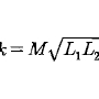
5. 평균 반지름 r[m]의 환상 솔레노이드에서 I[A]의 전류가 흐를 때, 내부 자계가 H[AT/m]이었다. 권수 N 은?
     가.
     나.
     다.
     라.

     정답 : []
     정답률 : 41%
     <문제 해설>
H=NI/2파이r
N=H*2파이r/I
[해설작성자 : 울산에너지고]

6. 20[A]의 전류를 흘렸을 때 전력이 60[W]인 저항에 30[A]를 흘리면 전력은 몇 [W]가 되겠는가?
     가. 80
     나. 90
     다. 120
     라. 135

     정답 : []
     정답률 : 28%
     <문제 해설>
P(전력)=I2R(I전류,R저항) 202X 저항 =60 이므로 저항은 0.15
302X 0.15=135
[해설작성자 : 마시멜로유]

간단하게
p=I^2*R
60/20^2*30^2 =135
[해설작성자 : comcbt.com 이용자]

7. P-N- 접합 정류기는 무슨 작용을 하는가?
     가. 증폭 작용
     나. 제어 작용
     다. 정류 작용
     라. 스위치 작용

     정답 : []
     정답률 : 82%
     <문제 해설>
문제에 나와있드시 P-N접합 정류기에 주목해서 정류작용을 한다고 생각하심 편합니다
[해설작성자 : 김호놀룰루]

8. 3상 교류회로에 2개의 전력계 W1, W2로 측정해서 W1의 지시값이 P1, W2의 지시값이 P2라고 하면 3상 전력은 어떻게 표현되는가?
     가. P1- P2
     나. 3(P1- P2)
     다. P1+ P2
     라. 3(P1+ P2)

     정답 : []
     정답률 : 59%
     <문제 해설>
유효전력 p=p1+p2(w) 무효전력 Pr=루트3(p1-p2)(var)

9. 부하의 결선방식에서 Y 결선에서 △ 결선으로 변환 하였을 때의 임피던스는?
     가.
     나.
     다.
     라.

     정답 : []
     정답률 : 39%
     <문제 해설>
임피던스, 전류상에서 △ = 3Y 입니다 헷갈리지 마세용
[해설작성자 : 전기 6번 떨어진 저력을 보여주지]

Y ㅡ> (델타) 각 상의 3배
(델타)ㅡ> Y 뒤바뀌니까 각 상의 1/3
[해설작성자 : 충북산업과학고등학교 오한길]

10. 다음 중 자기저항의 단위에 해당되는 것은?
     가. [Ω]
     나. [Wb/AT]
     다. [H/m]
     라. [AT/Wb]

     정답 : []
     정답률 : 74%
     <문제 해설>
자기저항 = (AT/Wb) 입니다
이문제 굉장히 자주나온다고 보시면됩니다 거이 1번씩은 나오는거같아요
[해설작성자 : 장현준]

11. 다음 중 저항 값이 클수록 좋은 것은?
     가. 접지저항
     나. 절연저항
     다. 도체저항
     라. 접촉저항

     정답 : []
     정답률 : 76%
     <문제 해설>
절연저항
절연된 두 물체 간에 전압을 가했을 때에 표면과 내부를 작은 누설전류가 흐르는데 이때의 전압과 전류의 비를 말한다. 즉, 누설전류가 작아야 좋으므로 절연저항은 큰 것이 좋다.
[해설작성자 : 예문사 책 사용하는 학생]

12. 콘덴서 용량 0.001[F]와 같은 것은?
     가. 10[㎌]
     나. 1000[㎌]
     다. 10000[㎌]
     라. 100000[㎌]

     정답 : []
     정답률 : 75%
     <문제 해설>
㎌은 10^-6입니다! 0.001은 10^-3승이고요!

10^-6을 10^6으로 바꿔서 0.001을 곱해주면 1000㎌이 나옵니다!
[해설작성자 : 전기 6번 떨어진 저력을 보여주지]

13. 단상 전압 220[V]에 소형 전동기를 접속 하였더니 2.5[A]의 전류가 흘렀다. 이때의 역률이 75[%]이었다. 이전동기의 소비전력 [W]은?
     가. 187.5[W]
     나. 412.5[W]
     다. 545.5[W]
     라. 714.5[W]

     정답 : []
     정답률 : 58%
     <문제 해설>
P=VIcos@
Cos@가 역률이므로 220 X 2.5 X 0.75 = 412.5가 됩니다.
[해설작성자 : 엠석항공고    엠자과]

14. 전류의 열작용과 관계가 있는 법칙은 어느 것인가?
     가. 옴의 법칙
     나. 키르히호프의 법칙
     다. 줄의 법칙
     라. 플레밍의 오른손 법칙

     정답 : []
     정답률 : 83%
     <문제 해설>
줄열 kit0.24
[해설작성자 : 노승준짱찡]

15. 페러데이의 전자 유도 법칙에서 유도 기전력의 크기는 코일을 지나는 ( ① )의 매초 변화량과 코일의 ( ② )에 비례한다.
     가. ①자속, ②굵기
     나. ①자속, ②권수
     다. ①전류, ②권수
     라. ①전류, ②굵기

     정답 : []
     정답률 : 68%
     <문제 해설>
e=-N(d퐈이/dt)

16. 정현파 교류의 왜형률(distortion factor)은?
     가. 0
     나. 0.1212
     다. 0.2273
     라. 0.4834

     정답 : []
     정답률 : 57%
     <문제 해설>
왜형률=전 고조파의 실효값/기본파의 실효값
정현파는 기본파만 있고 고조파는없으므로
왜형률=0
[해설작성자 : 스피드왜건]

17. 컨덕턴스 G, 저항 R[Ω], 전압 V[V], 전류를 I[A]라 할때 G와의 관계가 옳은 것은?
     가. G = R / V
     나. G = I / V
     다. G = V / R
     라. G = V / I

     정답 : []
     정답률 : 52%
     <문제 해설>
G=1/R
R=V/I
G=I/V
[해설작성자 : 율이]

18. 패러데이 법칙과 관계가 없는 것은?
     가. 전극에서 석출되는 물질의 양은 통과한 전기량에 비례한다.
     나. 전해질이나 전극이 어떤 것이라도 같은 전기량이면 항상 같은 화학당량의 물질을 석출한다.
     다. 화학당량이란 원자량/원자가 를 말한다.
     라. 석출되는 물질의 양은 전류의 세기와 전기량의 곱으로 나타낸다.

     정답 : []
     정답률 : 38%
     <문제 해설>
석출되는 물질의 양은 해당 물질의 화학 당량과 비례한다.
[해설작성자 : 수도일렉트릭하이스쿨]

W=KQ=KIt
K=원자량/원자가
Q=It

[추가 해설]
4번 : W=KQ=KxIt
         석출되는 물질의 양은 해당물질의 화학당량과 전기량의 곱을 나타낸다...
[해설작성자 : 뱅뱅1]

19. 자속의 변화에 대한 유도 기전력의 방향 결정은?
     가. 렌츠의 법칙
     나. 패러데이의 법칙
     다. 앙페르의 법칙
     라. 줄의 법칙

     정답 : []
     정답률 : 50%
     <문제 해설>
유도기전력 = 렌츠의 법칙
[해설작성자 : 금요일날 시험..]

도체의 의한 유도기전력 방향은 플레밍의 오른손 법칙
자속의 의한 유도기전력 방향은 렌츠의 법칙
[해설작성자 : 의공고 전자 장돌쇠]

20. 10[Ω] 저항 5개를 가지고 얻을수 있는 가장 작은 합성저항 값은?
     가. 1[Ω]
     나. 2[Ω]
     다. 4[Ω]
     라. 5[Ω]

     정답 : []
     정답률 : 74%
     <문제 해설>
전부 병렬~~ 콘덴서라는 말이 나오기 전에는 무조건 병렬구성이 가장작은 저항값을 가집니다~
[해설작성자 : 설명충]

위에 글쓴이는 설명만 적어 놓고 공식은 안적어서
그래서 제가 공식을 하나 남깁니다.
합성저항(병렬) 공식
1
-
1        1        1        1        1
-    + -    + -    + -    + -
10     10     10     10     10

공식을 하면    1
                     --         나옵니다 그러면 2 옴이 나오는거죠
                     0.5
[해설작성자 : 캠프로육군으로]

Ro=R/n 10/5=2(옴)

2과목 : 전기 기기


21. 3상 전파 정류회로에서 출력전압의 평균전압값은?(단, V는 선간 전압의 실효값)
     가. 0.45[V]
     나. 0.9[V]
     다. 1.17[V]
     라. 1.35[V]

     정답 : []
     정답률 : 43%
     <문제 해설>
단상 반파 정류회로 -> 출력전압 * 0.45
단상 전파 정류회로 -> 출력전압 * 0.9
3상 반파 정류회로 -> 출력전압 * 1.17
3상 전파 정류회로 -> 출력전압 * 1.35
[해설작성자 : 먹는소]

22. 같은 회로의 두 점에서 전류가 같을 때에는 동작 하지 않으나 고장시에 전류의 차가 생기면 동작 하는 계전기는?
     가. 과전류계전기
     나. 거리계전기
     다. 접지계전기
     라. 차동계전기

     정답 : []
     정답률 : 73%
     <문제 해설>
고장시에 전류의 차가 생기면 동작하는 거니간 차동계전기 라고 외우면 됩니다. 고차차 정도?
[해설작성자 : 삼마고 1학년 4반 반장^^]

23. 3상 동기기에 제동 권선을 설치하는 주된 목적은?
     가. 출력 증가
     나. 효율 증가
     다. 역률 개선
     라. 난조 방지

     정답 : []
     정답률 : 72%
     <문제 해설>
난조는 떨림인데 제동권선을 설치하면 떨림이 방지됨
(자동차 떨림두 비슷할듯)
[해설작성자 : 아마두]

24. 변압기의 손실에 해당되지 않는 것은?
     가. 동손
     나. 와전류손
     다. 히스테리시스손
     라. 기계손

     정답 : []
     정답률 : 46%
     <문제 해설>
무부하손 : 철손=히스테리시스손+와류손
부하손 : 동손
기계손 : 회전하는기계에서 발생되는 손실

25. 직류 직권 전동기를 사용하려고 할 때 벨트(belt)를 걸고 운전하면 안 되는 가장 타당한 이유는?
     가. 벨트가 기동할 때나 또는 갑자기 중 부하를 걸 때 미끄러지기 때문에
     나. 벨트가 벗겨지면 전동기가 갑자기 고속으로 회전하기 때문에
     다. 벨트가 끊어졌을 때 전동기의 급정지 때문에
     라. 부하에 대한 손실을 최대로 줄이기 위해서

     정답 : []
     정답률 : 74%
     <문제 해설>
직쥬 직권 전동기를 사용할때 벨트가 벗겨지면 위험한 속도로 빨라집니다
[해설작성자 : 울산에너지고2]

26. 다음 중 직류발전기의 전기자 반작용을 없애는 방법으로 옳지 않은 것은?
     가. 보상권선 설치
     나. 보극 설치
     다. 브러시 위치를 전기적 중성점으로 이동
     라. 균압환 설치

     정답 : []
     정답률 : 52%
     <문제 해설>
균압환은 분권발전기에!
[해설작성자 : 군기]

27. 동기 발전기에서 전기자 전류가 무부하 유도 기전력보다 π/2[rad] 앞서는 경우에 나타나는 전기자 반작용은?
     가. 증자 작용
     나. 감자 작용
     다. 교차 자화 작용
     라. 직축 반작용

     정답 : []
     정답률 : 58%
     <문제 해설>
발전기의 경우 90도 앞서는 경우는 증자 작용
90도 뒤지는 경우는 감자 작용, 동위상일 경우에는 교차 자화 작용입니다.
전동기의 경우 발전기와 반대로 앞설 경우 증자 작용 뒤질 경우 감자 작용입니다.
[해설작성자 : 서울공고 9호]

발전기 기전력        뒤진 감자
                                 앞선 증자    

전동기 공급전압    뒤진 증자
                                 앞선 감자

28. 전동기에 접지공사를 하는 주된 이유는?
     가. 보안상
     나. 미관상
     다. 감전사고 방지
     라. 안전 운행

     정답 : []
     정답률 : 85%
     <문제 해설>
전동기 외함 (철제) 접지공사: 누설전류에 의한 감전사고 방지
[해설작성자 : 박성훈]

29. 변압기의 부하와 전압이 일정하고 주파수만 높아지면 어떻게 되는가?
     가. 철손감소
     나. 철손증가
     다. 동손증가
     라. 동손감소

     정답 : []
     정답률 : 45%
     <문제 해설>
변압기의 철손은 전압의 제곱에 비례하고, 주파수에 반비례한다.
[해설작성자 : 여수석화고5기계전과파이팅]

주증 철감
[해설작성자 : 열공]

30. 전기자 지름 0.2[m]의 직류 발전기가 1.5[kW]의 출력에서 1800[rpm]으로 회전하고 있을 때 전기자 주변속도는 약 몇 [m/s]인가?
     가. 9.42
     나. 18.84
     다. 21.43
     라. 42.86

     정답 : []
     정답률 : 45%
     <문제 해설>
전기자 주변속도
V = 파이*D(지름)*N[rpm]/60     [m/s]
파이*0.2*1800÷60 =약 18.85

[추가해설]
전기자 주변속도 V=파이*D*n, (D는 지름[m],n은 초당 회전속도[rps])
문제에선    N[rpm]이 주어졌으므로 N/60

31. 보호 계전기를 동작 원리에 따라 구분 할 때 해당 되지 않는 것은?
     가. 유도형
     나. 정지형
     다. 디지털형
     라. 저항형

     정답 : []
     정답률 : 39%
     <문제 해설>
보호 계전기의 동작 원리에 따른 종류 중 저항형은 없다.
[해설작성자 : 장원영]

[참고] 보호 계전기의 동작 구조별 분류

[1] 전자기계형
{1} 가동철심형
- 플린저형
- 힌지형
- 발란스빔형
- 유극형
{2} 유도형
- 유도원판형
- 유도원통형
- 유도원환형
{3} 기동코일형

[2] 정지형
{1} 트렌지스터형
{2} 전자관형
{3} 자기증폭기형
{4} 홀효과형

[3] 디지털형
{1} 트렌지스터형
{2} 전자관형
{3} 자기증폭기형
{4} 홀효과형
[해설작성자 : 명문ㅅㅍ공고]

32. 측정이나 계산으로 구할 수 없는 소실로 부하 전류가 흐를 때 도체 또는 철심내부에서 생기는 손실을 무엇이라 하는가?
     가. 구리손
     나. 히스테리시스손
     다. 맴돌이 전류손
     라. 표유부하손

     정답 : []
     정답률 : 38%
     <문제 해설>
일반적으로 표유부하손의 경우 측정이나 계산으로 구할 수 없는 동손으로써 철심내부에서 발생되는 손실
[해설작성자 : 충에고탑강여진 ]

맴돌이전류손이랑 헷갈린 분이 많으실텐데 맴돌이전류손은 지문에서 반드시 "소용돌이 모양" 이라는 설명이 들어갑니다.
[해설작성자 : comcbt.com 이용자]

33. 단상 유도전동기의 정회전 슬립이 s 이면 역회전 슬립은 어떻게 되는가?
     가. 1-s
     나. 2-s
     다. 1+s
     라. 2+s

     정답 : []
     정답률 : 48%
     <문제 해설>
역회전슬립은 1보다 크고 2보다 작어야 합니다.
고로 2-S 입니다

[추가 해설]
저는 요로케 배웠습니다
정회전 슬립 s=Ns-N/Ns
역회전 슬립 s=Ns+N/Ns = Ns/Ns+N/Ns = 1+N/Ns = 1+(1-s) = 2-s
[해설작성자 : 차니맘]

34. 전부하에서의 용량 10[kW] 이하인 소형 3상 유도전동기의 슬립은?
     가. 0.1 ~ 0.5[%]
     나. 0.5 ~ 5[%]
     다.  5 ~ 10[%]
     라. 25 ~ 50[%]

     정답 : []
     정답률 : 58%
     <문제 해설>
소형 : 5~10%
중,대형 : 2.5 ~ 5%
[해설작성자 : 끼까]

35. 일정한 주파수의 전원에서 운전하는 3상 유도전동기의 전원 전압이 80[%]가 되었다면 토크는 약 몇 [%]가 되는가?(단, 회전수는 변하지 않은 상태로 한다.)
     가. 55
     나. 64
     다. 76
     라. 82

     정답 : []
     정답률 : 43%
     <문제 해설>
3상 유도전동기의 토크 T는 전원전압 V의 제곱에 비례한다
T=kV^2
T=(80/100)^2*100=64%

[추가해설]
(1-0.2)^2=0.64

36. 3상 동기전동기의 단자전압과 부하를 일정하게 유지하고, 회전자 여자전류의 크기를 변화시킬 때 옳은 것은?
     가. 전기자 전류의 크기와 위상이 바뀐다.
     나. 전기자 권선의 역기전력은 변하지 않는다.
     다. 동기전동기의 기계적 출력은 일정하다.
     라. 회전속도가 바뀐다.

     정답 : []
     정답률 : 45%
     <문제 해설>
위상 곡선의 경우 회전자 여자전류의 크기가 변화할 경우 전기자 전류의 크기와 위상이 변한다.
[해설작성자 : ttouch85]

37. 다음 중에서 초퍼나 인버터용 소자가 아닌 것은?
     가. TRIAC
     나. GTO
     다. SCR
     라. BJT

     정답 : []
     정답률 : 28%
     <문제 해설>
TRIAC은 양방향성 3단자 소자이므로 초퍼나
인버터용 소자로 사용할 수가 없다.
[해설작성자 : 류승주]

38. 6극 1200[rpm]의 교류 발전기와 병렬 운전하는 극수 8의 동기 발전기의 회전수[rpm]는?
     가. 1200
     나. 1000
     다. 900
     라. 750

     정답 : []
     정답률 : 64%
     <문제 해설>
N=120f/P --> 1200=120f/6 --> f=60Hz
N=120X60/8 --> N=900
[해설작성자 : 공돌이]

39. 동기 발전기의 돌발 단락 전류를 주로 제한하는 것은?
     가. 누설 리액턴스
     나. 동기 임피던스
     다. 권선 저항
     라. 동기 리액턴스

     정답 : []
     정답률 : 59%
     <문제 해설>
동기 발전기의 돌발 단락 전류
1. 전기자 반작용에 의한 돌발 단락 전류 제한은 누설 리액턴스에 의해 제한된다.
2. 전압 변동률이 커지며 단락비가 작아진다.
[해설작성자 : 전기기능사 필기 합격]

40. 그림은 전동기 속도제어 회로이다. <보기>에서 ⓐ와 ⓑ를 순서대로 나열한 것은?(보기, 전동기를 기동할 때는 저항 R을 ( ⓐ ), 전동기를 운전할 때는 저항 R을 ( ⓑ )로 한다.)

    

     가. ⓐ최대, ⓑ최대
     나. ⓐ최소, ⓑ최소
     다. ⓐ최대, ⓑ최소
     라. ⓐ최소, ⓑ최대

     정답 : []
     정답률 : 52%
     <문제 해설>
전동기 기동시 기동전류를 작게 하기위해서 R을 최대로하고,
전동기 운전시 계자전류를 크게 하기 위해 계자 저항의 R을 최소로 한다.

41. 전선과 기구 단자 접속시 나사를 덜 죄었을 경우 발생할 수 있는 위험과 거리가 먼 것은?
     가. 누전
     나. 화재 위험
     다. 과열 발생
     라. 저항 감소

     정답 : []
     정답률 : 70%
     <문제 해설>
1. 누전이란, 전기가 기기에 정상적으로 흘러야하는데 다른 곳으로 흘러나가는 것을 의미합니다.
나사를 덜 죄었을 경우, 충분히 누정의 가능성이 있지요.

화재 위험, 과열 발생, 저항
이들은 서로 연관이 지어져 있는데요, 나사를 덜 죄었을 경우 저항을 증가하여 열이 발생합니다. 과열이 발생하면 그만큼 화재의 위험도 커지는 것이지요.

결론적으로
나사를 덜 죄었을 경우, 저항은 오히려 증가하게 됩니다.
[해설작성자 : Democracy]

42. 설치 면적과 설치비용이 많이 들지만 가장 이상적이고 효과적인 진상용 콘덴서 설치 방법은?
     가. 수전단 모선에 설치
     나. 수전단 모선과 부하 측에 분산하여 설치
     다. 부하 측에 분산하여 설치
     라. 가장 큰 부하 측에만 설치

     정답 : []
     정답률 : 45%
     <문제 해설>
콘덴서 설치시 부하에 근접하여 저압측 말단 부하마다 분산하여 접속 하여 설치 해야 가장 효과적 이다.
[해설작성자 : 경북기계금속고]

43. 옥내배선에서 전선접속에 관한 사항으로 옳지 않은 것은?
     가. 전기저항을 증가 시킨다.
     나. 전선의 강도를 20[%]이상 감소시키지 않는다.
     다. 접속슬리브, 전선접속기를 사용하여 접속한다.
     라. 전속부분의 온도상승 값이 접속부 이외의 온도상승 값을 넘지 않도록 한다.

     정답 : []
     정답률 : 50%
     <문제 해설>
전선접속시 전기저항을 감소 시키고 접속 한다.
[해설작성자 : 경북기계금속고]

전선을 접속해야되는데 전기저항이 높으면 접속하는 의미가 있나~
생각하시면 될듯요 여려분이 사장님이면 전기저항 높은걸 사용할것인가요?
[해설작성자 : ㅈ문가]

44. 다음 중 금속관공사의 설명으로 잘못된 것은?
     가. 교류회로는 1회로의 전선 전부를 동일관내에 넣는 것을 원칙으로 한다.
     나. 교류회로에서 전선을 병렬로 사용하는 경우에는 관내에 전자적 불평형이 생기지 않도록 시설한다.
     다. 금속관 내에서는 절대로 전선접속점을 만들지 않아야 한다.
     라. 관의 두께는 콘크리트에 매입하는 경우 1㎜ 이상이어야 한다.

     정답 : []
     정답률 : 61%
     <문제 해설>
관의 두께는 콘크리트에 매입하는 경우 1.2㎜ 이상이어야 한다.
[해설작성자 : 삼마고학생]

45. 저압개폐기를 생략하여도 무방한 개소는?
     가. 부하 전류를 끊거나 흐르게 할 필요가 있는 개소
     나. 인입구 기타 고장, 점건, 측정 수리 등에서 개로할 필요가 있는 개소
     다. 퓨즈의 전원측으로 분기회로용 과전류차단기 이후의 퓨즈가 플러그퓨즈와 같이 퓨즈교환 시에 충전부에 접촉될 우려가 없을 경우
     라. 퓨즈에 근접하여 설치한 개폐기인 경우의 퓨즈 전원측

     정답 : []
     정답률 : 65%
     <문제 해설>
접촉될 우려가 없으니깐 생략해도 무방
[해설작성자 : 전기 5짤 실화냐]

46. 가공 인입선 중 수용장소의 인입선에서 분기하여 다른 수용장소의 인입구에 이르는 전선을 무엇이라 하는가?
     가. 소주인입선
     나. 연접인입선
     다. 본주인입선
     라. 인입간선

     정답 : []
     정답률 : 78%
     <문제 해설>
기능사에서 수용장소의 인입선에서 다른 수용장소의 인입구로=연접인입선 암기
[해설작성자 : 노승준짱찡]

47. 금속전선관 공사에서 금속관과 접속함을 접속하는 경우 녹아웃 구멍이 금속관보다 클 때 사용하는 부품은?
     가. 록너트(로크너트)
     나. 부싱
     다. 새들
     라. 링 리듀서

     정답 : []
     정답률 : 70%
     <문제 해설>
로크너트는 크기가 이상없을떄 연결용
링리듀서는 로크너트를 쓰는데 구멍이 금속관보다 클때 보조용
[해설작성자 : 설명충]

48. 전력용 콘덴서를 회로로부터 개방하였을 때 전하가 잔류함으로써 일어나는 위험의 방지와 재투입 할 때 콘덴서에 걸리는 과전압의 방지를 위하여 무엇을 설치하는가?
     가. 직렬 리액터
     나. 전력용 콘덴서
     다. 방전 코일
     라. 피뢰기

     정답 : []
     정답률 : 45%
     <문제 해설>
전하가 잔류하고 전압이 너무 과하니 밖으로 빼내는 방전코일이 있어야합니다.
[해설작성자 : 김호놀룰루]

49. 과전류 차단기로 저압 전로에 사용하는 배선용 차단기는 정격전류 30[A]이하일 때 전격전류의 1.25배 전류를 통한 경우 몇 분 안에 자동으로 동작되어야 하는가?
     가. 2
     나. 10
     다. 20
     라. 60

     정답 : []
     정답률 : 37%
     <문제 해설>
30A 초과 50A 이하도 60분입니다
정격전류가 2배일때 30A 이하면 2분입니다

[추가해설]
정격전류 30[A]이하일때 정격전류의 1.25배 전류 60분 맞습니다.
[해설작성자 : 한전합격 배전3기]

정격전류의 2배에선 2분이 맞고 지문에서는 1.25배에선 60분 이내입니다.
[해설작성자 : comcbt.com 이용자]

50. 자동화재탐지설비는 화재의 발생을 초기에 자동적으로 탐지하여 소방대상물의 관계자에게 화재의 발생을 통보해주는 설비이다. 이러한 자동화재 탐지설비의 구성요소가 아닌 것은?
     가. 수신기
     나. 비상경보기
     다. 발신기
     라. 중계기

     정답 : []
     정답률 : 53%
     <문제 해설>
2번 비상 경보기 맞습니다

자동화제 탐지설비의 구성요소는
감지기, 수신기
발신기, 중계기
표시등, 음향 장치 및 배선 입니다

비상경보기는 비상벨 또는 자동식 사이렌이 있고요.
[해설작성자 : 전기 6번 떨어진 저력을 보여주지]

추가로

"경계구역"이란 특정소방대상물 중 화재신호를 발신하고 그 신호를 수신 및 유효하게 제어할 수 있는 구역을 말한다.

"수신기"란 감지기나 발신기에서 발하는 화재신호를 직접 수신하거나 중계기를 통하여 수신하여 화재의 발생을 표시 및 경보하여 주는 장치를 말한다.

"중계기"란 감지기·발신기 또는 전기적접점 등의 작동에 따른 신호를 받아 이를 수신기의 제어반에 전송하는 장치를 말한다.

"감지기"란 화재시 발생하는 열, 연기, 불꽃 또는 연소생성물을 자동적으로 감지하여 수신기에 발신하는 장치를 말한다.

"발신기"란 화재발생 신호를 수신기에 수동으로 발신하는 장치를 말한다.

출처는 국가법령정보센터 "자동화재탐지 설비 및 시각경보장치의 화재안전기준(NFSC 203) 제 3조(정의)" 입니다
[해설작성자 : 전기 6번 떨어진 저력을 보여주지]

비상경보기 : 경보설비
(탐재설비x)
[해설작성자 : 킹갓제너럴 주홍센세]

51. 주택, 아파트, 사무실, 은행, 상점, 이발소, 미장원에서 사용하는 표준부하[VA/m2]는?(오류 신고가 접수된 문제입니다. 반드시 정답과 해설을 확인하시기 바랍니다.)
     가. 5
     나. 10
     다. 20
     라. 30

     정답 : []
     정답률 : 39%
     <문제 해설>
학교,음식점,기숙사,다방,목욕탕,병원,호텔,여관은 표준부하가 20[VA/m2]이다.

공장,공회당,사원,교회,극장 등 : 10
기숙사,여관,호텔,병원,학교,음식점 등 : 20
주택,아파트,사무실,은행,상점 등 : 30
[해설작성자 : 초성힌트]

[추가 해설]
문제에 주택사무실은행상점은 30이 표준전압
따라서 답은 4번
[해설작성자 : 전기기능장]

아래와 같은 오류 신고가 있었습니다.
여러분들의 많은 의견 부탁 드립니다.
추후 여러분들의 의견을 반영하여 정답을 수정하도록 하겠습니다.
참고로 정답 변경은 오류 신고 5회 이상일 경우 수정합니다.

[오류 신고 내용]
이 문재는 2021년에 개정되었습니다.
공장,공회당,사원,교회,극장,영화관,연회장 10VA/m
기숙사,여관,호텔,병원,학교,음식점,다방,대중목욕탕 20VA/m
사무실,은행,상점,이발소,미용원 30VA/m
주택,아파트 40VA/m
[해설작성자 : 충북산업과학고등학교 오한길]

52. 지중배전선로에서 케이블을 개폐기와 연결하는 몸체는?
     가. 스틱형  접속단자
     나. 엘보 커넥터
     다. 절연 캡
     라. 접속플러그

     정답 : []
     정답률 : 36%
     <문제 해설>
네이버에 보니 1번.스틱형 접속단자를 정답으로 잘못설명한 내용이 보여서 설명드립니다.
그냥 아주 간단히 설명하면.
케이블선 마무리 작업시 (스틱형 접속단자)를 달아서 선처리를 하고 거기에(접속플러그)를 끼워서
콘센트 등에 연결할수 있도록 하는것 입니다.
그럼 엘보 커넥터는? 말 그대로 ㄴ자 커넥터 인데 개폐기가 들어있는 철제몸체에 케이블을 끼워서
연결시 사용하는 커넥터 입니다..여러 커넥터중에 굳이 "엘보"라고 해서 헛깔리게 했는데...
암튼...사용 가능한 다양한 커넥터중 하나 입니다.
[해설작성자 : 고박사]

53. 전동기 과부하 보호장치에 해당되지 않는 것은?
     가. 전동기용 퓨즈
     나. 열동계전기
     다. 전동기보호용 배선용차단기
     라. 전동기 기동장치

     정답 : []
     정답률 : 47%
     <문제 해설>
문제를 잘 읽으시면 충분히 해결할 수 있는 문제입니다.

전동기 과부하 보호장치에 해당하지 않는 것은? -> 즉, 보호장치가 아닌 것을 찾으면 됩니다.
4. 전동기 기동장치는 보호장치보단 말 그대로 기동장치에 해당됩니다.
[해설작성자 : 상산전자 김윤섭]

54. 옥내 배선의 은폐, 또는 건조하고 전개된 곳의 노출 공사에 사용하는 애자는?
     가. 현수 애자
     나. 놉(노브) 애자
     다. 장간 애자
     라. 구형 애자

     정답 : []
     정답률 : 44%
     <문제 해설>
-핀애자:인입선 직선부분에 사용
-가지애자:전선을 다른방향으로 돌릴때 사용
-구형(지선)애자:가공전선로 지선의 중간 부분에 사용
[해설작성자 : 인내는 쓰고 열매는 달다]

55. 전주의 길이가 15[m] 이하인 경우 땅에 묻히는 깊이는 전장의 얼마 이상인가?
     가. 1/8 이상
     나. 1/6 이상
     다. 1/4 이상
     라. 1/3 이상

     정답 : []
     정답률 : 68%
     <문제 해설>
15m이하의 전주 : 1/6 이상 매설해야한다.
15m초과의 전주 : 2.5m 이상 매설해야한다.
[해설작성자 : 수원공업고등학교 김다빈]

56.   플로어덕트 공사에서 금속제 박스는 강판의 몇[㎜] 이상 되는 것을 사용하여야 하는가?
     가. 2.0
     나. 1.5
     다. 1.2
     라. 1.0

     정답 : []
     정답률 : 30%
     <문제 해설>
플로어 덕트는 2.0mm 이상의 강판을 사용해야 한다.
[해설작성자 : 손인성]

-플로어 덕트에 대해 더 알아보기-
바닥덕트 라고도 불리며 사무실 바닥에 있는 코드 같은거 보신적 있으실겁니다.
사용전압은 400V미만 이므로 제3종 입니다.
[해설작성자 : 추가해설 수훈]

57. 접착제를 사용하여 합성수지관을 삽입해 접속 할 경우 관의 깊이는 합성수지관 외경의 최소 몇 배인가?
     가. 0.8배
     나. 1.2배
     다. 1.5배
     라. 1.8배

     정답 : []
     정답률 : 51%
     <문제 해설>
접착제를 사용하지 않을 시 -> 1.2배
접착제를 사용할 시 -> 0.8배
[해설작성자 : 먹는소]

58. 화약고 등의 위험장소의 배선 공사에 전로의 대지 전압을 몇 V 이하이어야 하는가?
     가. 300
     나. 400
     다. 500
     라. 600

     정답 : []
     정답률 : 58%
     <문제 해설>
가연성, 폭발성 등의 위험 요소가 있는 곳의 공사는 공사를 하기위한 불빛(220V 전구)만을 필요로하기 때문에 220V보다 높으면서 가장 낮은 전압인 300V 이하여야 합니다.
[해설작성자 : 박건욱]

59. 다음 중 옥내에 시설하는 저압 전로와 대지 사이의 절연 저항 측정에 사용되는 계기는?
     가. 멀티 테스터
     나. 매거
     다. 에스 테스터
     라. 훅 온 미터

     정답 : []
     정답률 : 69%
     <문제 해설>
절연저항-메거
접지저항-어스테스터

60. 가공 전선로의 지지물을 지선으로 보강하여서는 안되는 것은?
     가. 목주
     나. A종 철근콘크리트주
     다. B종 철근콘크리트주
     라. 철탑

     정답 : []
     정답률 : 66%
     <문제 해설>
철탑은 워낙에 견고하다 보니 지선을 설치하지 않는다.
[해설작성자 : 손인성]


정 답 지

1

2

3

4

5

6

7

8

9

10

11

12

13

14

15

16

17

18

19

20

21

22

23

24

25

26

27

28

29

30

31

32

33

34

35

36

37

38

39

40

41

42

43

44

45

46

47

48

49

50

51

52

53

54

55

56

57

58

59

60

전기기능사 필기 기출문제(해설) 및 CBT 2011년04월17일(2회)을 이용해 주셔서 감사합니다.
전기기능사, 기출문제, 전기, 기능사, 필기, 기출문제, 전자문제집, CBT, 온라인, 모의테스트, 모의고사



List of Articles
번호 제목 글쓴이 날짜 조회 수
4074 전기기능사 필기 시험문제 및 CBT 2006년10월01일(5회)(5212) new 좋은아빠되기 2025.10.07 0
4073 전기기능사 필기 기출문제(해설) 및 CBT 2007년01월28일(1회)(5213) new 좋은아빠되기 2025.10.07 0
4072 전기기능사 필기 시험문제 및 CBT 2007년04월01일(2회)(5214) new 좋은아빠되기 2025.10.07 0
4071 전기기능사 필기 시험문제 및 CBT 2007년07월15일(4회)(5215) new 좋은아빠되기 2025.10.07 0
4070 전기기능사 필기 기출문제(해설) 및 CBT 2007년09월16일(5회)(5216) new 좋은아빠되기 2025.10.07 0
4069 전기기능사 필기 기출문제(해설) 및 CBT 2008년02월03일(1회)(5217) new 좋은아빠되기 2025.10.07 0
4068 전기기능사 필기 기출문제(해설) 및 CBT 2008년03월30일(2회)(5218) new 좋은아빠되기 2025.10.07 0
4067 전기기능사 필기 시험문제 및 CBT 2008년07월13일(4회)(5219) new 좋은아빠되기 2025.10.07 0
4066 전기기능사 필기 기출문제(해설) 및 CBT 2008년10월05일(5회)(5220) new 좋은아빠되기 2025.10.07 0
4065 전기기능사 필기 기출문제(해설) 및 CBT 2009년01월18일(1회)(5221) new 좋은아빠되기 2025.10.07 0
4064 전기기능사 필기 기출문제(해설) 및 CBT 2009년03월29일(2회)(5222) new 좋은아빠되기 2025.10.07 0
4063 전기기능사 필기 기출문제(해설) 및 CBT 2009년07월12일(4회)(5223) new 좋은아빠되기 2025.10.07 0
4062 전기기능사 필기 기출문제(해설) 및 CBT 2009년09월27일(5회)(5224) new 좋은아빠되기 2025.10.07 0
4061 전기기능사 필기 시험문제 및 CBT 2010년01월31일(1회)(5225) new 좋은아빠되기 2025.10.07 0
4060 전기기능사 필기 시험문제 및 CBT 2010년03월28일(2회)(5226) new 좋은아빠되기 2025.10.07 0
4059 전기기능사 필기 기출문제(해설) 및 CBT 2010년07월11일(4회)(5227) new 좋은아빠되기 2025.10.07 0
4058 전기기능사 필기 시험문제 및 CBT 2010년10월03일(5회)(5228) new 좋은아빠되기 2025.10.07 0
4057 전기기능사 필기 기출문제(해설) 및 CBT 2011년02월13일(1회)(5229) new 좋은아빠되기 2025.10.07 0
» 전기기능사 필기 시험문제 및 CBT 2011년04월17일(2회)(5230) new 좋은아빠되기 2025.10.07 0
4055 전기기능사 필기 기출문제(해설) 및 CBT 2011년07월31일(4회)(5231) new 좋은아빠되기 2025.10.07 0
Board Pagination Prev 1 ... 242 243 244 245 246 247 248 249 250 251 ... 450 Next
/ 450