자격증 필기 기출문제



전자계산기기능사 필기 기출문제(해설) 및 CBT 2009년01월18일(1회)(5647)

최강 자격증 기출문제 전자문제집 CBT : www.comcbt.com


전자문제집 CBT란?

종이 문제집이 아닌 인터넷으로 문제를 풀고 자동으로 채점하며 모의고사, 오답 노트, 해설까지 제공하는
무료 기출문제 학습 프로그램으로 실제 상설검정에서 사용하는 OMR 형식의 CBT를 제공합니다.


최신 전자계산기기능사 필기 기출문제 : [다운로드]

1과목 : 전기전자공학


1. 다음중 디지털 변조 방식이 아닌것은?
     가. PM
     나. FSK
     다. PSK
     라. ASK

     정답 : []
     정답률 : 75%
     <문제 해설>
디지털 변조 방식에는 3가지 FSK(주파수편이변조), PSK(위상편이변조), ASK(진폭편이변조)가 있습니다. 즉 PM은 없는것이죠

2. 다음중 정현파 발생회로인것은?
     가. LC 발진기
     나. 블로킹 발진기
     다. UJT 발진기
     라. 멀티바이브레이터

     정답 : []
     정답률 : 54%

3. 다음중 주파수 변별기의 용도로 적합한 것은?
     가. 잡음방지
     나. 반송파 제거
     다. 주파수 변조 방송채널 구분
     라. 주파수 변화를 진폭 변화로 변환

     정답 : []
     정답률 : 41%

4. 트랜지스터에서 α 의 값이 0.95일때 β 의 값은?
     가. 0.5
     나. 5.5
     다. 19
     라. 50

     정답 : []
     정답률 : 41%
     <문제 해설>
a=b/1+b인데 a가 0.95라고 했으니 0.95 =95/100 =b/1+b가 되고 (1+b)95=100b가 됩니다 95b+95=100b가 되고 5b=95 b=19 답은 3번 19가 나오는 것이죠

5. 무궤환시 증폭도 A0=200 인 증폭회로에서 궤환율 β = 1/50 의 부궤환을 걸었을때 증폭도 A는?
     가. 4
     나. 40
     다. 50
     라. 68

     정답 : []
     정답률 : 42%
     <문제 해설>
증폭도 a=200, 궤환율 b=1/50
부궤한 시 Af = a/1+ab
즉 Af = 200/1+(200/50)= 200/5= 40
답 40

6. 다음 회로에 150V의 전압을 인가할때 3Ω의 저항체에 흐르는 전류는 몇 A 인가?

   

     가. 5A
     나. 8A
     다. 10A
     라. 15A

     정답 : []
     정답률 : 38%
     <문제 해설>
먼저 회로의 전체전류를 구합니다. --> 150/8+(3*6/3+6) 이므로 15A의 전류가 흐릅니다.
3옴과 6옴은 병렬로 연결되어 있으므로 전류가 나뉘어 흐릅니다.
전류는 3옴과 6옴에 2:1 비율로 흐릅니다. 그러므로 15*(2/3) = 10
즉 3옴에는 10A의 전류가 흐릅니다.
[해설작성자 : 지나가는 마이스터고등학생]

7. 다음중 크기가 다른 세개의 저항을 직렬로 연결했을 경우에 대한 설명으로 적합하지 않은것은?
     가. 각 저항에 흐르는 전류는 모두 같다.
     나. 각 저항에 걸리는 전압은 모두 같다
     다. 전체저항은 각 저항의 합과 같다
     라. 가장 큰 저항값을 필요로 할때의 연결 방법이다.

     정답 : []
     정답률 : 49%

8. 저항 5Ω의 도체에 3A의 전류가 2초동안 흘렀을때 도체에서 발생하는 열량은 몇 J인가?
     가. 10J
     나. 16J
     다. 30J
     라. 90J

     정답 : []
     정답률 : 32%
     <문제 해설>
H=I^(2)RT
[해설작성자 : 금붕어]

9. 다음중 직류 안정화 전원회로의 기본 구성요소로 가장 적합한 것은?
     가. 기준부 비교부 검출부 증폭부 지시부
     나. 기준부 비교부 검출부 증폭부 제어부
     다. 기준부 발진부 검출부 제어부 증폭부
     라. 기준부 지시부 검출부 증폭부 발진부

     정답 : []
     정답률 : 52%
     <문제 해설>
앞글자만 따서 "기 비 검 증 제" 라고 외우시면 쉽게 외울 수 있습니다.
[해설작성자 : 전자는 심우경]

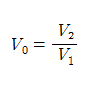
10. 권선비가 1(입력):2(출력)인 변압기에 입력으로 60Hz,100V의 전압을 인가하면 출력 전압의 최대치는 약 몇 V가 되는가?
     가. 141V
     나. 200V
     다. 283V
     라. 300V

     정답 : []
     정답률 : 47%
     <문제 해설>
우리가 주로 나타내는 전압은 실효값입니다. 하지만 이문제에서는 출력전압의 최대치 즉 최댓값을 원하기 때문에 최댓값= 실효값 * 루트 2를 해줘야합니다
문제에 적용하면 출력은 입력의 2배 즉 200v(이값은 실효값입니다) 200*루트2를 해주면 약 283이 나올것입니다 그래서 답은 3번인거죠

2과목 : 전자계산기구조


11. 컴퓨터 내부에서 수치 자료를 표시하는 방식으로 사용되지 않는것은?
     가. 부동 소수점 방식
     나. 10진수의 언팩방식
     다. 10진수의 팩 방식
     라. ASCII 코드 방식

     정답 : []
     정답률 : 54%

12. 각 각의 자리마다 별도의 크기 값을 갖는 가중 코드가 아닌 것은?
     가. 8421 코드
     나. Biquinary Code
     다. Excess-3 Code
     라. 2421 Code

     정답 : []
     정답률 : 50%

13. 명령을 구성하는 비트 길이에는 제한을 받지 않고 속도를 빠르게 하는 것이 필요한 컴퓨터의 명령세트를 구성한다고 할때 다음 중 어떤 주소 지정방식의 명령을 많이 갖도록 하는것이 유리한가?
     가. Direct address
     나. Indirect address
     다. Relative address
     라. immediate address

     정답 : []
     정답률 : 46%

14. 다음 중 명령을 수행하고 데이터를 처리하는 장치로서 사람의 뇌에 해당하며 연산장치와 제어장치로 구성되어 있는 장치는?
     가. 주변장치
     나. 주기억장치
     다. 중앙처리장치
     라. 입력장치

     정답 : []
     정답률 : 78%

15. 연산회로중 시프트에 의하여 바깥으로 밀려나는 비트가 그 반대편의 빈곳에 채워지는 형태의 직렬이동은?
     가. rotate
     나. AND
     다. OR
     라. complement

     정답 : []
     정답률 : 69%

16. 다음중 입.출력 기능이 아닌것은?
     가. 입.출력 버스
     나. 입.출력 인터페이스
     다. 입.출력 제어
     라. 입.출력 교환

     정답 : []
     정답률 : 46%

17. AND연산에서 레지스터내의 어떤 비트 또는 문자를 지울것인지 결정하는 데이터는?
     가. mask bit
     나. parity bit
     다. sign bit
     라. check bit

     정답 : []
     정답률 : 71%

18. 다음중 직접 접근 기억장치가 아닌것은?
     가. 하드디스크
     나. 플로피 디스크
     다. 자기테이프
     라. CD-ROM

     정답 : []
     정답률 : 63%

19. 주소지정방식 중에서 명령어가 현재 오퍼랜드에 표현된 값이 실제 데이터가 기억된 주소가 아니고 그 곳에 기억된 내용이 실제의 데이터 주소인 방식은?
     가. 직접 주소지정방식(Direct addressing)
     나. 상대 주소지정방식(Relative addressing)
     다. 간접 주소지정방식(Indirect addressing)
     라. 즉시 주소지정방식(Immediate addressing)

     정답 : []
     정답률 : 64%

20. 컴퓨터에서 사칙연산을 수행하는 장치는?
     가. 연산장치
     나. 제어장치
     다. 주기억장치
     라. 보조기억장치

     정답 : []
     정답률 : 85%

21. 다음 그림과 같이 ALU에서 MOVE연산이 실행될 때 C 레지스터의 내용은?

    

     가. 01101000
     나. 10010111
     다. 10001111
     라. 11110000

     정답 : []
     정답률 : 59%
     <문제 해설>
MOVE는 그대로 10010111
[해설작성자 : 짱구]

아래와 같은 오류 신고가 있었습니다.
여러분들의 많은 의견 부탁 드립니다.
추후 여러분들의 의견을 반영하여 정답을 수정하도록 하겠습니다.
참고로 정답 변경은 오류 신고 5회 이상일 경우 수정합니다.

[오류 신고 내용]

자료b가 안보여요

[관리자 입니다.
B 자료는 없는게 맞습니다.
Move 연산은 단항 연산이므로 B 데이터가 필요하지 않습니다.
그냥 A의 자료가 C로 이동할 뿐입니다.]

22. 가장 먼저 들어온 데이터를 가장 먼저 내보내는 처리방법은?
     가. FIFO
     나. DMA
     다. CAM
     라. DASD

     정답 : []
     정답률 : 75%
     <문제 해설>
First In First Out (FIFO)입니다.
반대되는 개념으로는
Last In First Out (LIFO)도 있으니 알아두면 좋겠네요.
[해설작성자 : moonmagic]

23. 컴퓨터에서 다음에 수행할 명령어의 주소를 기억하고 있는 것은?
     가. PC(Program Counter)
     나. IR(Instruction Register)
     다. MBR(Memory Buffer Register)
     라. MAR(Memory Address Register)

     정답 : []
     정답률 : 70%

24. 근거리 컴퓨터들을 서로 연결하여 상호간에 통신이 이루어 지도록 한 것은?
     가. LAN
     나. VAN
     다. ISDN
     라. WAN

     정답 : []
     정답률 : 82%

25. 기억된 프로그램의 명령을 하나씩 읽고 해독하여 각 장치에 필요한 지시를 하는 기능은?
     가. 입력 기능
     나. 연산 기능
     다. 제어 기능
     라. 기억 기능

     정답 : []
     정답률 : 76%

26. 인터럽트의 순위에서 가장 높은 우선순위에 해당하는 것은?
     가. 정전
     나. 기계적 고장
     다. 프로그램 오류
     라. 입력과 출력

     정답 : []
     정답률 : 46%

27. 컴퓨터의 ALU의 입력에 접속된 레지스터로 연산에 필요한 데이터와 연산 결과를 저장하는 레지스터는?
     가. 누산기
     나. 스택포인터
     다. 프로그램 카운터
     라. 명령 레지스터

     정답 : []
     정답률 : 76%

28. 주기억장치와 입.출력장치 사이에 있는 임시 기억장치는?
     가. 스택
     나. 버스
     다. 버퍼
     라. 블록

     정답 : []
     정답률 : 59%

29. 하나의 논리소자에서 출력으로 나온 신호를 다른 논리소자에 입력할 수 있는 선의 개수를 말하는 것은?
     가. 팬-인(Fan-In)
     나. 팬-아웃(Fan-Out)
     다. 잡음 한계(Noise Margin)
     라. 전력 소모(Power Dissipation)

     정답 : []
     정답률 : 70%

30. 통신을 원하는 두 개체간에 무엇을,어떻게,언제 통신 할 것인가를 서로 약속한 규약으로 컴퓨터 간에 통신할 때 사용하는 규칙은?
     가. OSI
     나. Protocol
     다. ASCII
     라. EDCBIC

     정답 : []
     정답률 : 63%
     <문제 해설>
OSI:국제표준화기구
프로토콜(Protocol):컴퓨터간에 정보를 주고받을 때의 통신방법에 대한 규칙과 약속.
ASCII:미국에서 표준화가 추진된 정보교환용 7비트 부호로 PC를 중심으로 국제적으로 사용된다. 컴퓨터에서 처리하기 용이한 8비트 데이타를 이용하기 위하여 숫자, 문자, 특수문자에 번호를 부여한 것이다.
[해설작성자 : 재성인]

3과목 : 프로그래밍일반


31. 기계어에 대한 설명으로 옳지 않은 것은?
     가. 프로그램의 실행속도가 빠르다.
     나. 2진수 0 과 1 만을 사용하여 데이터를 나타내는 기계 중심의 언어이다.
     다. 호환성이 없고 기계마다 언어가 다르다.
     라. 프로그램에 대한 유지보수작업이 용이하다.

     정답 : []
     정답률 : 63%

32. 프로그램 개발 과정에서 프로그램 안에 내재되 있는 논리적 오류를 발견하고 수정하는 작업을 무엇이라 하는가?
     가. Debugging
     나. Loading
     다. Linking
     라. Mapping

     정답 : []
     정답률 : 79%

33. 프로그램 언어의 해독순으로 옳은것은?
     가. 링커-로더-컴파일러
     나. 컴파일러-링커-로더
     다. 로더-컴파일러-링커
     라. 로더-링커-컴파일러

     정답 : []
     정답률 : 76%

34. 구문 분석기가 올바른 문장에 대하여 그 문장의 구조를 트리로 표현한 것을 무엇이라고 하는가?
     가. 구조 트리
     나. 문맥 트리
     다. 문장 트리
     라. 파스 트리

     정답 : []
     정답률 : 59%

35. 운영체제를 기능상 분류할 경우 처리 프로그램에 해당하지 않는것은?
     가. Service Program
     나. Problem Program
     다. Supervisor Program
     라. Language Translator Program

     정답 : []
     정답률 : 37%

36. BNF 표기법에서 정의를 의미하는것은?
     가. ::=
     나. #
     다. <>
     라. = =

     정답 : []
     정답률 : 75%

37. C 언어에서 나머지를 구하는 연산자는?
     가. &&
     나. &
     다. %
     라. #

     정답 : []
     정답률 : 67%
     <문제 해설>
+ : 더하기
- : 빼기
* : 곱하기
/ : 나누기
% : 나머지
^ : 제곱
[해설작성자 : 파즈냥]

38. C 언어의 기억클래스(Storage class)에 해당하지 않는 것은?
     가. 내부 변수(Internal Variable)
     나. 자동 변수(Automatic Variable)
     다. 정적 변수(Static Variable)
     라. 레지스터 변수(Register Variable)

     정답 : []
     정답률 : 60%
     <문제 해설>
외부 변수는 있지만 내부 변수는 없습니다
[해설작성자 : 전자는 심우경]

39. 로더의 기능으로 거리가 먼것은?
     가. Allocation
     나. Linking
     다. Loading
     라. Translation

     정답 : []
     정답률 : 71%

40. 고급 언어로 작성된 원시 프로그램을 기계어로 된 목적 프로그램으로 번역하는 것은?
     가. 컴파일러
     나. DBMS
     다. 운영체제
     라. 로더

     정답 : []
     정답률 : 74%

41. 다음 중 아날로그 정보를 디지털 정보로 변환하는데 가장 편리한 코드는?
     가. BCD Code
     나. Excess Code
     다. Gray Code
     라. 51111 Code

     정답 : []
     정답률 : 46%

42. 불 대수 X=AC+ABC를 간단히 하면?
     가. A
     나. AB
     다. BC
     라. AC

     정답 : []
     정답률 : 71%
     <문제 해설>
X=AC+ABC=AC(1+B)=AC
[해설작성자 : 동인지작가]

43. 다음 그림에서 논리식은?

    

     가.
     나.
     다.
     라.

     정답 : []
     정답률 : 36%

44. J-K 플립플롭에서 J=K=1 일때 출력은 clock에 의해 어떤 변화를 보이는가?
     가. 이전상태를 유지한다.
     나. 출력은 0 이 된다.
     다. 출력은 1 이 된다.
     라. 출력이 반전된다.

     정답 : []
     정답률 : 78%

45. 시프트 레지스터를 올바르게 설명한 것은?
     가. Flip-Flop에 기억을 방해시키는 레지스터를 말한다.
     나. Flip-Flop에 기억된 정보를 소거시키는 레지스터를 말한다.
     다. Flip-Flop에 CLOCK칩력을 기억 시키기만 하는 레지스터를 말한다.
     라. Flip-Flop에 기억된 정보를 다른 Flip-Flop에 옮기는 동작을 하는 레지스터를 말한다.

     정답 : []
     정답률 : 79%

46. 데이터 전송시 발생할 수 있는 착오를 검출하고 교정이 가능한 코드는?
     가. EBCDIC 코드
     나. Hamming 코드
     다. Gray 코드
     라. BCD 코드

     정답 : []
     정답률 : 85%

47. 2진수 1011을 10진수로 고치면?
     가. 9
     나. 10
     다. 11
     라. 12

     정답 : []
     정답률 : 82%

48. 레지스터의 구성회로는 무슨 회로가 널리 사용되는가?
     가. AND
     나. EX-OR
     다. OR
     라. Flip-Flop

     정답 : []
     정답률 : 80%

49. 다음과 같은 회로를 반 감산기로 하려면 사각형안에 무슨 게이트를 넣어야 하는가?

    

     가. AND
     나. OR
     다. EX-OR
     라. NOT

     정답 : []
     정답률 : 67%

50. 2의보수 표기법에서 8비트로 표시되는 숫자의범위는?
     가. -128 ~ +127
     나. -128 ~ +128
     다. -127 ~ +127
     라. -127 ~ +128

     정답 : []
     정답률 : 37%
     <문제 해설>
이것은 즉 -2^7 ~ 2^7-1과 같습니다. 다른 문제에선 이렇게 응용되서 나오니 참고하세요
[해설작성자 : 맨유팬의 공기업 도전기!]

51. 다음 진리표와 맞는 논리회로는?

    

     가. NOT
     나. Exclusive-OR
     다. NAND
     라. NOR

     정답 : []
     정답률 : 75%

52. 디지털 시스템에서 음수를 표현하는 방법으로 옳지 않은 것은?
     가. 6비트 BCD 부호
     나. 1의 보수
     다. 2의 보수
     라. 부호와 절대값

     정답 : []
     정답률 : 69%

53. 출력신호가 현재의 입력신호와 과거의 입력신호에 의하여 결정되는 논리회로로서 플립플롭과 같은 기억소자와 논리 게이트로 구성되는 회로는?
     가. 조합 논리회로
     나. 순서 논리회로
     다. 메트릭스 회로
     라. 비교 회로

     정답 : []
     정답률 : 60%

54. BCD 코드에 의한수 0100 0101 0010을 10진수로 나타내면?
     가. 542
     나. 452
     다. 442
     라. 432

     정답 : []
     정답률 : 84%

55. 클록 펄스가 가해질 때마다 출력 상태가 반전하므로 계수기에 많이 사용되는 플립플롭은?
     가. D-FF
     나. T-FF
     다. RS-FF
     라. JK-FF

     정답 : []
     정답률 : 68%

56. 어떤 입력상태에 대해 출력이 무엇이 되든지 상관없는 경우 출력상태를 임의 상태라고 하는데 진리표나 카르노 도에서는 임의 상태를 일반적으로 어떻게 표현할까?
     가. X
     나. 0
     다. 1
     라. Y

     정답 : []
     정답률 : 68%

57. 8개의 데이터 비트와 1개의 에러검출용 비트로 구성되어 있으므로 총 256가지의 정보를 표현할 수 있는 코드는?
     가. BCD
     나. ASCII
     다. CCITT
     라. EBCDIC

     정답 : []
     정답률 : 54%

58. 다음 스위치 회로와 같은 게이트는?

    

     가. AND
     나. OR
     다. NAND
     라. XOR

     정답 : []
     정답률 : 69%

59. 다음 그림에서 출력 X를 불 대수로 표시하면?

    

     가.
     나.
     다.
     라.

     정답 : []
     정답률 : 58%

60. 32개의 입력 단자를 가진 인코더는 몇개의 출력 단자를 가지는가?
     가. 5개
     나. 8개
     다. 32개
     라. 64개

     정답 : []
     정답률 : 56%


정 답 지

1

2

3

4

5

6

7

8

9

10

11

12

13

14

15

16

17

18

19

20

21

22

23

24

25

26

27

28

29

30

31

32

33

34

35

36

37

38

39

40

41

42

43

44

45

46

47

48

49

50

51

52

53

54

55

56

57

58

59

60

전자계산기기능사 필기 기출문제(해설) 및 CBT 2009년01월18일(1회)을 이용해 주셔서 감사합니다.
전자계산기기능사, 기출문제, 기능사, 필기, 기출문제, 전자문제집, CBT, 온라인, 모의테스트, 모의고사



List of Articles
번호 제목 글쓴이 날짜 조회 수
5526 전자계산기기능사 필기 기출문제(해설) 및 CBT 2002년10월06일(5회)(5634) 좋은아빠되기 2025.10.07 0
5525 전자계산기기능사 필기 기출문제(해설) 및 CBT 2003년01월26일(1회)(5635) 좋은아빠되기 2025.10.07 0
5524 전자계산기기능사 필기 기출문제(해설) 및 CBT 2003년03월30일(2회)(5636) 좋은아빠되기 2025.10.07 0
5523 전자계산기기능사 필기 기출문제(해설) 및 CBT 2003년10월05일(5회)(5637) 좋은아빠되기 2025.10.07 0
5522 전자계산기기능사 필기 기출문제(해설) 및 CBT 2004년02월01일(1회)(5638) 좋은아빠되기 2025.10.07 0
5521 전자계산기기능사 필기 기출문제(해설) 및 CBT 2004년04월04일(2회)(5639) 좋은아빠되기 2025.10.07 0
5520 전자계산기기능사 필기 기출문제(해설) 및 CBT 2004년10월10일(5회)(5640) 좋은아빠되기 2025.10.07 0
5519 전자계산기기능사 필기 기출문제(해설) 및 CBT 2005년01월30일(1회)(5641) 좋은아빠되기 2025.10.07 0
5518 전자계산기기능사 필기 기출문제(해설) 및 CBT 2005년04월03일(2회)(5642) 좋은아빠되기 2025.10.07 0
5517 전자계산기기능사 필기 기출문제(해설) 및 CBT 2006년10월01일(5회)(5643) 좋은아빠되기 2025.10.07 0
5516 전자계산기기능사 필기 기출문제(해설) 및 CBT 2007년01월28일(1회)(5644) 좋은아빠되기 2025.10.07 0
5515 전자계산기기능사 필기 기출문제(해설) 및 CBT 2008년02월03일(1회)(5645) 좋은아빠되기 2025.10.07 0
5514 전자계산기기능사 필기 기출문제(해설) 및 CBT 2008년10월05일(5회)(5646) 좋은아빠되기 2025.10.07 0
» 전자계산기기능사 필기 기출문제(해설) 및 CBT 2009년01월18일(1회)(5647) 좋은아빠되기 2025.10.07 0
5512 전자계산기기능사 필기 기출문제(해설) 및 CBT 2009년03월29일(2회)(5648) 좋은아빠되기 2025.10.07 0
5511 전자계산기기능사 필기 기출문제(해설) 및 CBT 2010년01월31일(1회)(5649) 좋은아빠되기 2025.10.07 0
5510 전자계산기기능사 필기 기출문제(해설) 및 CBT 2010년03월28일(2회)(5650) 좋은아빠되기 2025.10.07 0
5509 전자계산기기능사 필기 기출문제(해설) 및 CBT 2011년02월13일(1회)(5651) 좋은아빠되기 2025.10.07 0
5508 전자계산기기능사 필기 기출문제(해설) 및 CBT 2012년02월12일(1회)(5652) 좋은아빠되기 2025.10.07 0
5507 전자계산기기능사 필기 기출문제(해설) 및 CBT 2012년04월08일(2회)(5653) 좋은아빠되기 2025.10.07 0
Board Pagination Prev 1 ... 263 264 265 266 267 268 269 270 271 272 ... 544 Next
/ 544