자격증 필기 기출문제



전자계산기기능사 필기 기출문제(해설) 및 CBT 2009년03월29일(2회)(5648)

최강 자격증 기출문제 전자문제집 CBT : www.comcbt.com


전자문제집 CBT란?

종이 문제집이 아닌 인터넷으로 문제를 풀고 자동으로 채점하며 모의고사, 오답 노트, 해설까지 제공하는
무료 기출문제 학습 프로그램으로 실제 상설검정에서 사용하는 OMR 형식의 CBT를 제공합니다.


최신 전자계산기기능사 필기 기출문제 : [다운로드]

1과목 : 전기전자공학


1. 이미터 접지 증폭회로에서 IB가 -20μA 에서 -50μA 로 변화하면 IC는 -1mA에서 -4mA로 변화한다. 베이스 접지 증폭회로에서의 전류증폭률 α의 값은 약 얼마인가?
     가. 0.9
     나. 0.99
     다. 90
     라. 99

     정답 : []
     정답률 : 47%

2. 100Ω의 저항에 10A의 전류를 1분간 흐르게 하였을때 발열량은 몇 Kcal 인가?
     가. 36Kcal
     나. 72Kcal
     다. 144Kcal
     라. 288Kcal

     정답 : []
     정답률 : 66%

3. 다음과 같은 회로의 명칭은?

   

     가. 적분기
     나. 미분기
     다. 가산기
     라. 이상기

     정답 : []
     정답률 : 58%

4. 진폭변조와 비교하여 주파수 변조에 대한 설명으로 적합하지 않은것은?
     가. 신호대 잡음비가 좋다.
     나. 충격성 잡음이 많아진다.
     다. 초단파 통신에 적합하다.
     라. 점유 주파수 대역폭이 넓다.

     정답 : []
     정답률 : 42%

5. 다음과 같은 회로에서 4Ω의 저항에 1.5A의 전류가 흐르고 있다면 A,B 단자 사이의 전위차는 몇 V 인가?

   

     가. 20V
     나. 26V
     다. 34V
     라. 42V

     정답 : []
     정답률 : 44%
     <문제 해설>
1.5A = 6Ω / 6Ω + 4Ω * I(전체 전류)
I = 2.5A
합성 저항을 구하면,
6Ω * 4Ω / 6Ω + 4Ω = 2.4Ω, 2.4Ω + 8Ω = 10.4Ω
10.4Ω * 2.5A = 26V
[해설작성자 : 김동현]

6. 다음중 이미터 플로어의 특징에 대한 설명으로 적합하지 않은 것은?
     가. 입력전압과 출력전압의 위상은 동상이다.
     나. 전압 증폭도가 1 보다 작으므로 전력증폭이 되지 않는다.
     다. 임피던스가 높은 회로와 낮은회로 사이의 임피던스 정합에 많이 사용된다.
     라. 입력 임피던스는 이미터 접지 증폭회로에 비하여 매우 높다.

     정답 : []
     정답률 : 39%

7. 다음중 단측파대(SSB) 통신에 사용되는 변조회로는?
     가. 컬렉터 변조회로
     나. 베이스 변조회로
     다. 주파수 변조회로
     라. 링 변조회로

     정답 : []
     정답률 : 48%

8. 전원회로에서 부하시의 전압이 100V일때 전압 변동률은 10%였다고 한다. 무부하시의 전압은 약 몇 V 인가?
     가. 90V
     나. 100V
     다. 110V
     라. 120V

     정답 : []
     정답률 : 52%

9. 다음과 같은 연산증폭기 회로에서 출력 전압 V0는 몇 V인가?

   

     가. -17.5V
     나. 18.5V
     다. 9.5V
     라. -20.5V

     정답 : []
     정답률 : 42%

10. 다음 중 RC 결합 증폭회로에 대한 설명으로 적합하지 않은것은?
     가. 비교적 주파수 특성이 좋다
     나. 회로가 복잡하고 비경제적이다.
     다. 전원 이용률이 나쁘다.
     라. 입력 임피던스가 낮고 출력 임피던스가 높으므로 임피던스 정합이 어렵다.

     정답 : []
     정답률 : 42%

2과목 : 전자계산기구조


11. 컴퓨터의 내부구조를 설명할 때 사용하는 연산방식이 아닌것은?
     가. 2진수 연산
     나. 6진수 연산
     다. 8진수 연산
     라. 16진수 연산

     정답 : []
     정답률 : 82%
     <문제 해설>
컴퓨터는 기본적으로 2진수를 사용합니다.
하지만 사람이 보기에는 2진수는 너무 길게 표현되어 불편하므로
2의 N승배 진수에 해당하는 4진, 8진, 16, 32진등으로 변환하여 보는는것이 훨씬 짧습니다. 일반적으로 8진, 16진으로 많이 변환합니다.
2진수를 8진(3자리), 16진(4자리)으로 변환시 자리수에 맞추어 끊어서 변환하면 되므로 아주 쉽게 변환가능합니다.

예) 10진수 1023를 2진수로 표현하면 1111111111 이렇게 길게 적어야 하지만
16진수로 표현시 2진수를 4자리씩 끊어서 3FF로 짧고 쉽게 변환 가능합니다.
[해설작성자 : 밀양금성컴퓨터학원 ☎055-354-3344]

12. 중앙처리장치의 간섭을 받지 않고 기억장치에 접근하여 입출력 동작을 제어하는 방식은?
     가. DMA 방식
     나. 스트로브 제어 방식
     다. 핸드쉐이킹 제어방식
     라. 채널에 의한 방식

     정답 : []
     정답률 : 75%

13. 16진수 A7을 2진수로 표현하면 몇 비트가 필요한가?
     가. 6
     나. 8
     다. 10
     라. 16

     정답 : []
     정답률 : 69%

14. 컴퓨터의 연산기가 수행하는 논리 연산 명령에 해당하지 않는것은?
     가. AND
     나. OR
     다. COMPLEMENT
     라. MOVE

     정답 : []
     정답률 : 51%

15. 7비트로 한문자를 나타내며 128문자까지 나타낼 수 있고 데이터 통신과 소형 컴퓨터에 많이 사용하는 코드는?
     가. ASCII 코드
     나. GRAY 코드
     다. EBCDIC 코드
     라. 표준 BCD 코드

     정답 : []
     정답률 : 85%

16. 주소지정방식 중에서 명령어 내의 주소부에 실제 데이터 값을 지정하는 것은?
     가. 즉시주소 지정방식
     나. 직접주소 지정방식
     다. 간접주소 지정방식
     라. 계산에 의한 주소 지정방식

     정답 : []
     정답률 : 36%
     <문제 해설>
즉시 주소 지정: 명령어 내에 실제 데이터를 가지고 있는 명령어 형식
직접 주소 지정: 명령어의 오퍼랜드 부분이 실제 데이터의 주소인 명령어 형식
간접 주소 지정: 명령어의 오퍼랜드가 가리키는 곳에 실제 데이터의 주소가 있는 명령어 형식
인덱스 주소 지정: 명령어의 오퍼랜드 부분과 인덱스 레지스터의 값이 더해진 곳에 실제 데이터를 가지고 있는 명령어 형식
상대 주소 지정: 프로그램 카운터와 명령어의 오퍼랜드가 더해진 곳에 실제 데이터를 가지고 있는 명령어 형식
레지스터 주소 지정: 직접 주소 지정 방식과 유사하다. 차이점은 오퍼랜드 필드가 메인 메모리의 주소가 아닌 레지스터를 참조한다는 점이다.
[해설작성자 : 포항의 사나이 kjs]

17. 다음 중 연산장치 구성에서 연산에 관계되는 상태와 외부 인터럽트 신호를 나타내어 주는것은?
     가. 누산기
     나. 데이터 레지스터
     다. 가산기
     라. 상태 레지스터

     정답 : []
     정답률 : 63%

18. 레지스터의 일종으로 산술연산이나 논리연산의 결과를 일시적으로 기억시키는 장치는?
     가. 오퍼레이터
     나. 시프터
     다. 메모리
     라. 누산기

     정답 : []
     정답률 : 81%

19. 다음 명령어중 제어 명령어에 속하는 것은?
     가. 로드(load)
     나. 무브(move)
     다. 점프(jump)
     라. 세트(set)

     정답 : []
     정답률 : 47%

20. 2진수 1100의 2의 보수는?
     가. 0100
     나. 1100
     다. 0101
     라. 1001

     정답 : []
     정답률 : 75%

21. 다음중 디지털 컴퓨터와 관계가 깊은것은?
     가. 연산방식은 미적분 연산이다.
     나. 주요 구성 회로는 논리 회로이다.
     다. 가격이 싸고 프로그램이 거의 불필요하다.
     라. 입력형식이 길이,각도,온도,압력 등의 물리량이다

     정답 : []
     정답률 : 60%

22. 512 × 8 bit EAROM의 총 용량은 몇 비트인가?
     가. 8bit
     나. 512bit
     다. 4Kbit
     라. 8Kbit

     정답 : []
     정답률 : 69%
     <문제 해설>
512 X 8 = 4096
4096은 4Kbit다
[해설작성자 : KDJ]

23. 입출력장치를 구별하여 선택하고자 한다. 다음 설명이 의미하는 방식으로 옳은것은?

    

     가. 격리형 입출력방식
     나. 메모리 맵 입출력방식
     다. 혼합형 입출력방식
     라. 버스형 입출력방식

     정답 : []
     정답률 : 47%

24. 2개의 Zone Bit와 4개의 Digit Bit로 구성되어 있으며 6비트로 한문자를 표현하는 코드는?
     가. BCD 코드
     나. EBCDIC 코드
     다. ASCII 코드
     라. BINARY 코드

     정답 : []
     정답률 : 44%
     <문제 해설>
BCD코 2개의 zone bit와 4개의 digit bit로 구성되어 있다
[해설작성자 : ggyung]

25. 양쪽 방향으로 신호의 전송이 가능하기는 하나 어떤 순간에는 반드시 한쪽방향으로만 전송이 이루어지는 통신방식은?
     가. 단방향 통신방식
     나. 반이중 통신방식
     다. 전이중 통신방식
     라. 우회 통신방식

     정답 : []
     정답률 : 74%

26. 마이크로 오퍼레이션에 대한 다음 정의중 옳은것은?
     가. 컴퓨터의 빠른 계산동작
     나. 2진수 계산에서 쓰이는 동작
     다. 플립플롭 내에서 기억되는 동작
     라. 레지스터 상호간에 저장된 데이터의 이동에 의해 이루어지는 동작

     정답 : []
     정답률 : 62%

27. 컴퓨터의 기본기능에 해당하지 않는 것은?
     가. 판단 기능
     나. 연산 기능
     다. 제어 기능
     라. 기억 기능

     정답 : []
     정답률 : 76%

28. 다음중 고정 소수점 표현방식이 아닌것은?
     가. 부호와 절대치 표현
     나. 1의 보수에 의한 표현
     다. 2의 보수에 의한 표현
     라. 9의 보수에 의한 표현

     정답 : []
     정답률 : 81%
     <문제 해설>
2진수는 1의 보수와 2의 보수만 존재합니다.
10의보수는 9의 보수와 10의 보수가 존재합니다.
따라서 컴퓨터는 2진 연산을 기본으로 하므로 9의 보수는 존재하지 않습니다.
[해설작성자 : 밀양금성컴퓨터학원 ☎055-354-3344]

29. 다음에서 설명하고 있는 디스플레이 장치는?

    

     가. 차세대 디스플레이(OLED)
     나. LCD 디스플레이
     다. 플라즈마 디스플레이
     라. 전계 방출형 디스플레이(FED-field emission display)

     정답 : []
     정답률 : 72%

30. 다음중 컴퓨터의 출력장치와 관계가 먼것은?
     가. 라인 프린터
     나. 카드 천공 장치
     다. 영상 표시 장치
     라. 증폭장치

     정답 : []
     정답률 : 62%

3과목 : 프로그래밍일반


31. 원시 프로그램을 구성하는 각각의 명령문을 한줄씩 명령문 단위로 번역하여 직접 실행하기 때문에 문법 오류를 쉽게 수정할 수 있으나 목적 프로그램이 생성되지 않고 프로그램 수행속도가 느린 단점이 있는것은?
     가. 어셈블러
     나. 인터프리터
     다. 컴파일러
     라. 전처리기

     정답 : []
     정답률 : 51%

32. C 언어에서 사용되는 문자열 출력 함수는?
     가. printchar( )
     나. prints( )
     다. putchar( )
     라. puts( )

     정답 : []
     정답률 : 76%

33. 프로그램 작성시 플로우차트를 작성하는 이유로 거리가 먼것은?
     가. 프로그램을 나누어 작성할 때 대화의 수단이 된다.
     나. 프로그램의 수정을 용이하게 한다.
     다. 에러발생시 책임구분을 명확히 한다.
     라. 논리적인 단계를 쉽게 이해할 수 있다.

     정답 : []
     정답률 : 55%

34. 운영체제의 운영 기법중 다음 설명에 해당하는것은?

    

     가. Batch Processing System
     나. Multi Programming System
     다. Time sharing System
     라. Parallel Processing System

     정답 : []
     정답률 : 79%

35. 고급언어를 기계어로 바꾸는것은?
     가. 컴파일러
     나. 로더
     다. DBMS
     라. Operating System

     정답 : []
     정답률 : 78%

36. 프로그램의 실행과정으로 옳은것은?
     가. 원시프로그램-목적프로그램-로드모듈-실행
     나. 로드모듈-목적프로그램-원시프로그램-실행
     다. 원시프로그램-로드모듈-목적프로그램-실행
     라. 목적프로그램-원시프로그램-로드모듈-실행

     정답 : []
     정답률 : 65%

37. 운영체제에 대한 설명으로 옳지 않은것은?
     가. 운영체제는 컴퓨터를 편리하게 사용하고 컴퓨터 하드웨어를 효율적으로 사용할 수 있도록 한다
     나. 운영체제는 컴퓨터 사용자와 컴퓨터 하드웨어간의 인터페이스로서 동작하는 일종의 하드웨어 장치이다.
     다. 운영체제는 작업을 처리하기 위해서 필요한 CPU,기억장치, 입출력장치 등의 자원을 할당 관리해주는 역할을 수행한다.
     라. 운영체제는 다양한 입출력 장치와 사용자 프로그램을 통제하여 오류와 컴퓨터의 부적절한 사용을 방지하는 역할을 수행한다.

     정답 : []
     정답률 : 62%
     <문제 해설>
2. 하드웨어는 그냥 실제 컴퓨터를 구성하는 물리적인 장치라고 생각하시면 됩니다.
     반면 소프트웨어는 그냥 프로그램 같은 거라 보면 쉽습니다.
[해설작성자 : 전기산기 가즈아아앙!!]

38. 객체 지향 기법에서 객체가 메시지를 받아 실행해야 할 객체의 구체적인 연산을 정의한 것은?
     가. 애트리뷰트
     나. 메시지
     다. 클래스
     라. 메소드

     정답 : []
     정답률 : 42%

39. 프로그램 개발 과정 단계중 프로그래밍 과정의 모든 자료, 입출력 설계, 순서도, 기타 운영 절차나 지침을 체계적으로 관리하는 것과 가장 밀접한 관계가 있는 것은?
     가. 문제 분석
     나. 입출력 설계
     다. 프로그래밍 작성
     라. 프로그램의 문서화

     정답 : []
     정답률 : 67%
     <문제 해설>
사무계열에서 다양한 자료등을 관리할때 화일을 이용하거나 기타등등을 활용하여 문서화 시키는 것처럼 위에 문제에 해당하는 내용도 문서화에 해당한다.
[해설작성자 : 파즈냥]

40. 독자적으로 번역된 여러개의 목적 프로그램과 프로그램에서 사용되는 내장 함수들을 하나로 모아서 컴퓨터에서 실행 가능하도록 하는것은?
     가. 스프레드시트
     나. 에디터
     다. 디버거
     라. 링커

     정답 : []
     정답률 : 52%

41. 다음중 입력이 모두 같으면 0, 다르면 1 로 되는 논리 회로는?
     가. 논리곱(AND) 회로
     나. 논리합(OR) 회로
     다. 부정(NOT) 회로
     라. 배타논리합(EX-OR) 회로

     정답 : []
     정답률 : 68%

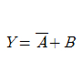
42. 다음과 같은 논리식에서 Z=0이 되는 입력 A,B,C의 조건은?

    

     가. A=0 B=0 C=0
     나. A=1 B=1 C=0
     다. A=1 B=1 C=1
     라. A=0 B=1 C=1

     정답 : []
     정답률 : 60%

43. JK 플립플롭을 T 플립플롭으로 이용하기 위한 방법은?
     가. J=0 K=0
     나. K와 Q를 연결한다
     다. J=1 K=1
     라. J와 Q를 연결한다

     정답 : []
     정답률 : 66%

44. 다음의 논리게이트와 기능이 같은 부 논리 게이트는?

    

     가.
     나.
     다.
     라.

     정답 : []
     정답률 : 46%

45. 데이터의 일시적인 보존이나 디지털 신호의 지연등에 사용되는 플립플롭은?
     가. RS 플립플롭
     나. JK 플립플롭
     다. D 플립플롭
     라. T 플립플롭

     정답 : []
     정답률 : 74%

46. 한 수에서 다음 수로 진행할 때 오직 한비트만 변화하기 때문에 연속적으로 변화하는 양을 부호화 하는데 적합한 코드는?
     가. 3초과 코드
     나. BCD 코드
     다. 그레이 코드
     라. 패리티 코드

     정답 : []
     정답률 : 52%

47. 다음 연산은 불 대수의 기본 법칙중 무엇인가?

    

     가. 교환법칙
     나. 결합법칙
     다. 분배법칙
     라. 드모르간 법칙

     정답 : []
     정답률 : 64%

48. 다음중 전감산기의 출력 D(차)와 결과가 같은것은?
     가. 전가산기 S(합) 출력
     나. 반가산기 C(자리올림수)
     다. 전감산기 B(자리내림수)
     라. 전가산기 C(자리올림수)

     정답 : []
     정답률 : 39%

49. 2진수 1011을 8진수로 바꾸면?
     가. 11
     나. 13
     다. 15
     라. 17

     정답 : []
     정답률 : 60%
     <문제 해설>
2진수 1011을 3BIT로 나누면 001 / 011 이다. 이걸 10진수로 표현하면 1 / 3 이 되므로
13(8)
답은 2번.
[해설작성자 : 파즈냥]

50. 다음중 그 값이 다른 하나는?
     가. (16)10
     나. (F)16
     다. (17)8
     라. (1111)2

     정답 : []
     정답률 : 61%
     <문제 해설>
모두 2진수로 변환하면
1번 : 10000
2, 3, 4번은 1111 입니다.
따라서 정답은 1번입니다.
[해설작성자 : 밀양금성컴퓨터학원 ☎055-354-3344]

51. 다음 블록도의 명칭으로 적당한 것은?

    

     가. 가산기
     나. 디멀티플렉서
     다. 디코더
     라. 멀티플렉서

     정답 : []
     정답률 : 52%

52. 다음 플립플롭의 명칭은?

    

     가. JK FF
     나. D FF
     다. T FF
     라. RST FF

     정답 : []
     정답률 : 39%

53. 다음과 같은 진리표를 갖는 논리회로는?

    

     가. NOR 게이트
     나. NOT 게이트
     다. NAND 게이트
     라. AND 게이트

     정답 : []
     정답률 : 59%

54. 반가산기에서 입력되는 변수를 A와 B, 계산결과의 합을 S, 자리올림을 C라 하면 합과 자리올림이 바르게 표현된것은?
     가.
     나.
     다.
     라.

     정답 : []
     정답률 : 46%
     <문제 해설>
S = XOR
C = AND

55. 다음 기본 논리 게이트와 같은 결과를 가지는 회로도는?

    

     가.
     나.
     다.
     라.

     정답 : []
     정답률 : 43%

56. 펄스가 입력되면 현재와 반대의 상태로 바뀌게 하는 토글 상태를 만드는 회로는?
     가. D형 플립플롭
     나. T형 플립플롭
     다. 주종 플립플롭
     라. 레지스터형 플립플롭

     정답 : []
     정답률 : 79%

57. 다음중 10진수 365를 3초과 코드로 표현하면?
     가. 0011 0110 0101
     나. 0110 1001 1000
     다. 0011 0110 0101 1100
     라. 11110011 11110110 11110101

     정답 : []
     정답률 : 50%

58. 다음중 오류검출 뿐 아니라 정정 할 수도 있는 코드는?
     가. BCD 코드
     나. 그레이 코드
     다. 패리티 코드
     라. 해밍 코드

     정답 : []
     정답률 : 84%

59. 다음 JK 플립플롭 여기표(excitation table)에 들어갈 값은? (단 X는 무관조건이다)

    

     가. (ㄱ) : 1, (ㄴ): X
     나. (ㄱ) : X, (ㄴ): 1
     다. (ㄱ) : X, (ㄴ): 0
     라. (ㄱ) : 0, (ㄴ): X

     정답 : []
     정답률 : 60%

60. 조합 논리회로에 해당하지 않는 것은?
     가. 비교 회로
     나. 패리티 체크 회로
     다. 인코더 회로
     라. 계수 회로

     정답 : []
     정답률 : 45%


정 답 지

1

2

3

4

5

6

7

8

9

10

11

12

13

14

15

16

17

18

19

20

21

22

23

24

25

26

27

28

29

30

31

32

33

34

35

36

37

38

39

40

41

42

43

44

45

46

47

48

49

50

51

52

53

54

55

56

57

58

59

60

전자계산기기능사 필기 기출문제(해설) 및 CBT 2009년03월29일(2회)을 이용해 주셔서 감사합니다.
전자계산기기능사, 기출문제, 기능사, 필기, 기출문제, 전자문제집, CBT, 온라인, 모의테스트, 모의고사



List of Articles
번호 제목 글쓴이 날짜 조회 수
4556 전자계산기기능사 필기 기출문제(해설) 및 CBT 2002년10월06일(5회)(5634) new 좋은아빠되기 2025.10.07 0
4555 전자계산기기능사 필기 기출문제(해설) 및 CBT 2003년01월26일(1회)(5635) new 좋은아빠되기 2025.10.07 0
4554 전자계산기기능사 필기 기출문제(해설) 및 CBT 2003년03월30일(2회)(5636) new 좋은아빠되기 2025.10.07 0
4553 전자계산기기능사 필기 기출문제(해설) 및 CBT 2003년10월05일(5회)(5637) new 좋은아빠되기 2025.10.07 0
4552 전자계산기기능사 필기 기출문제(해설) 및 CBT 2004년02월01일(1회)(5638) new 좋은아빠되기 2025.10.07 0
4551 전자계산기기능사 필기 기출문제(해설) 및 CBT 2004년04월04일(2회)(5639) new 좋은아빠되기 2025.10.07 0
4550 전자계산기기능사 필기 기출문제(해설) 및 CBT 2004년10월10일(5회)(5640) new 좋은아빠되기 2025.10.07 0
4549 전자계산기기능사 필기 기출문제(해설) 및 CBT 2005년01월30일(1회)(5641) new 좋은아빠되기 2025.10.07 0
4548 전자계산기기능사 필기 기출문제(해설) 및 CBT 2005년04월03일(2회)(5642) new 좋은아빠되기 2025.10.07 0
4547 전자계산기기능사 필기 기출문제(해설) 및 CBT 2006년10월01일(5회)(5643) new 좋은아빠되기 2025.10.07 0
4546 전자계산기기능사 필기 기출문제(해설) 및 CBT 2007년01월28일(1회)(5644) new 좋은아빠되기 2025.10.07 0
4545 전자계산기기능사 필기 기출문제(해설) 및 CBT 2008년02월03일(1회)(5645) new 좋은아빠되기 2025.10.07 0
4544 전자계산기기능사 필기 기출문제(해설) 및 CBT 2008년10월05일(5회)(5646) new 좋은아빠되기 2025.10.07 0
4543 전자계산기기능사 필기 기출문제(해설) 및 CBT 2009년01월18일(1회)(5647) new 좋은아빠되기 2025.10.07 0
» 전자계산기기능사 필기 기출문제(해설) 및 CBT 2009년03월29일(2회)(5648) new 좋은아빠되기 2025.10.07 0
4541 전자계산기기능사 필기 기출문제(해설) 및 CBT 2010년01월31일(1회)(5649) new 좋은아빠되기 2025.10.07 0
4540 전자계산기기능사 필기 기출문제(해설) 및 CBT 2010년03월28일(2회)(5650) new 좋은아빠되기 2025.10.07 0
4539 전자계산기기능사 필기 기출문제(해설) 및 CBT 2011년02월13일(1회)(5651) new 좋은아빠되기 2025.10.07 0
4538 전자계산기기능사 필기 기출문제(해설) 및 CBT 2012년02월12일(1회)(5652) new 좋은아빠되기 2025.10.07 0
4537 전자계산기기능사 필기 기출문제(해설) 및 CBT 2012년04월08일(2회)(5653) new 좋은아빠되기 2025.10.07 0
Board Pagination Prev 1 ... 263 264 265 266 267 268 269 270 271 272 ... 495 Next
/ 495