자격증 필기 기출문제



환경기능사 필기 기출문제(해설) 및 CBT 2007년01월28일(1회)(6261)

최강 자격증 기출문제 전자문제집 CBT : www.comcbt.com


전자문제집 CBT란?

종이 문제집이 아닌 인터넷으로 문제를 풀고 자동으로 채점하며 모의고사, 오답 노트, 해설까지 제공하는
무료 기출문제 학습 프로그램으로 실제 상설검정에서 사용하는 OMR 형식의 CBT를 제공합니다.


최신 환경기능사 필기 기출문제 : [다운로드]

1과목 : 대기오염방지


1. 과잉공기비 m을 크게 하였을 때의 연소 특성으로 옳지 않은 것은?
     1. 연소실의 연소온도가 낮아진다.
     2. 통풍력이 강하여 배기가스에 의한 열손실이 크다.
     3. 배기가스 중 질소산화물의 함량이 많아진다.
     4. 연소가스 중의 CO 농도가 높아져 공해의 원인이 된다.

     정답 : []
     정답률 : 54%

2. 먼지의 종말침강속도 산정에 관한 설명으로 옳지 않은 것은?
     1. 먼지와 가스의 비중차에 반비례한다.
     2. 입경의 제곱에 비례한다.
     3. 중력가속도에 비례한다.
     4. 가스의 점도에 반비례한다.

     정답 : []
     정답률 : 68%

3. 어떤 집진장치의 집진효율이 99%이고 집진시설 유입구의 먼지농도가 10.5g/Nm3일 때 출구농도는?
     1. 0.0105 g/Nm3
     2. 105 mg/Nm3
     3. 1050 mg/Nm3
     4. 10.5 g/Nm3

     정답 : []
     정답률 : 54%

4. 휘발유, 디젤유 등의 연료를 사용하는 자동차에서 주로 배출되는 오염물질로 가장 거리가 먼 것은?
     1. 구리 (Cu)
     2. 납(Pb)
     3. 질소산화물(NOx)
     4. 일산화탄소(CO)

     정답 : []
     정답률 : 66%
     <문제 해설>
휘발유, 디젤유등의 연료를 사용하는 자동차에서 배출되는 물질은 co2,co,HC,NOX,PB,매연 등이다
[해설작성자 : 김선생]

5. 후드(hood)의 일반적 흡인요령으로 옳지 않은 것은?
     1. 충분한 포착속도를 유지한다.
     2. 후드의 개구면적을 가능한 한 크게 한다.
     3. 가능한 한 후드를 발생원에 근접시킨다.
     4. 국부적인 흡인방식을 택한다.

     정답 : []
     정답률 : 73%

6. 연료의 불완전 연소시에 주로 발생되는 오염물질은?
     1. CO
     2. SO2
     3. NO2
     4. H2O

     정답 : []
     정답률 : 64%

7. 원심력집진장치에 관한 설명으로 옳지 않은 것은?
     1. Blow down 현상이 발생하면 입자 재비산으로 인하여 효율이 저하된다.
     2. 배기관경(내관)이 작을수록 입경이 작은 입자를 제거할 수 있다.
     3. 입구 유속에는 한계가 있지만 그 한계내에서는 입구유속이 빠를수록 효율이 높은 반면에 압력손실도 커진다.
     4. 적당한 dust box의 모양과 크기도 효율에 영향을 미친다.

     정답 : []
     정답률 : 44%
     <문제 해설>
Blow down : 처리가스 5~10% 흡인
블로우 다운은 집진효율 향상 조건
[해설작성자 : comcbt.com 이용자]

8. 가스상태의 오염물질을 물리적 흡착법으로 처리하려고 한다. 흡착효율을 높이기 위한 방법으로 옳은 것은?
     1. 접촉시간을 줄인다.
     2. 온도를 내린다.
     3. 압력을 감소시킨다.
     4. 흡착제의 표면적을 줄인다.

     정답 : []
     정답률 : 46%
     <문제 해설>
흡착효율을 높이기위한방법
- 온도를 내린다.
- 접촉시간을 늘린다.
- 압력을 증가시킨다.
- 흡착제의 표면적을 늘린다.
[해설작성자 : 제발붙었음]

9. 흡수장치에 관한 다음 설명 중 옳지 않은 것은?
     1. 충진탑은 온도변화가 큰 곳에 적응성이 크다.
     2. 스프레이탑은 구조가 간단하고 압력손실이 작다.
     3. 사이클론스크러버는 대용량의 가스처리가 가능하다.
     4. 다공판탑은 포종탑에 비해 다량의 가스를 처리할 수 있다.

     정답 : []
     정답률 : 37%

10. 황화수소(H2S) 2Sm3를 연소시 필요한 이론산소량은?
     1. 1 Sm3
     2. 2 Sm3
     3. 3 Sm3
     4. 4 Sm3

     정답 : []
     정답률 : 38%
     <문제 해설>
H2S + 1.5 O2 = H2O + SO2
2 H2S + 3 O2 = 2 H2O + 2 SO2
[해설작성자 : 트리님]

11. 유해가스 처리기술 중 헨리법칙을 이용하여 오염가스를 제거하는 방법으로 가장 적합한 것은?
     1. 흡수
     2. 흡착
     3. 연소
     4. 집진

     정답 : []
     정답률 : 41%

12. 탄소 87%, 수소 10%, 황 3%의 조성을 가진 중유 2kg을 완전연소시킬 때, 필요한 이론 공기량(Sm3)은?
     1. 8.69
     2. 14
     3. 18
     4. 21

     정답 : []
     정답률 : 35%
     <문제 해설>
8.89C+26.67×(H-O/8)+3.33×S
8.89×0.87+26.67×0.1+3.33×0.03
10.5
10.5×2kg
21
[해설작성자 : 등귀]

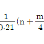
연료 무게당 공기부피=(1.867*C)+(5.6*H)+(0.7S-0.7O)/0.21
=(1.867*0.87)+(5.6*0.1)+(0.7*0.03)=10.5
10.5*2=21
[해설작성자 : comcbt.com 이용자]

13. 다음 압력 중 크기가 다른 하나는?
     1. 1atm
     2. 760mmHg
     3. 1013mbar
     4. 1.013N/m2

     정답 : []
     정답률 : 76%

14. 다음과 같은 특성을 지닌 대기오염물질은?

    

     1. 오존
     2. 암모니아
     3. 황화수소
     4. 일산화탄소

     정답 : []
     정답률 : 65%

15. 세정 집진장치의 유리관리에 관한 설명으로 옳지 않은 것은?
     1. 먼지의 성상과 농도를 고려하여 액가스비를 결정한다.
     2. 목부는 처리가스의 속도가 매우 크기 때문에 마모가 일어나기 쉬우므로 수시로 점검하여 교환한다.
     3. 기액분리기는 시설의 작동이 정치해도 잠시 공회전을 하여 부착된 먼지에 의한 산성의 세정수를 제거해야 한다.
     4. 벤츄리형 세정기에서 집진효율을 높이기 위하여 될 수 있는 한 처리가스 온도를 높게 하여 운전하는 것이 바람직하다.

     정답 : []
     정답률 : 66%

2과목 : 폐수처리


16. 슬러지 침전성을 나타내는 값으로 SVI가 사용된다. 다음 중 침전성이 양호한 SVI의 범위로 가장 적합한 것은?
     1. 1000 ~ 2000
     2. 500 ~ 1000
     3. 200 ~ 500
     4. 50 ~ 150

     정답 : []
     정답률 : 49%

17. 침전지 또는 농축조에 설치된 스크레이퍼의 사용 목적으로 옳은 것은?
     1. 침전물을 부상시키기 위해서
     2. 스컴(scum)을 방지하기 위해서
     3. 슬러지(sludge)를 혼합하기 위해서
     4. 슬러지(sludge)를 끌어 모으기 위해서

     정답 : []
     정답률 : 67%

18. 염소혼화지에 2,000m3/day의 처리수가 유입되고 혼화시간을 15분으로 했을 때, 혼화지의 수로의 유효길이는? (단, 혼화지의 폭은 1.0m, 수심은 0.8m 이다.)
     1. 12m
     2. 15m
     3. 20m
     4. 26m

     정답 : []
     정답률 : 25%

19. 활성슬러지공법으로 처리하고 있는 어떤 폐수처리시설 포기조의 운영관리 자료 중 적절하지 않은 것은?
     1. SV가 20~30% 이다.
     2. DO가 7~9mg/L 이다.
     3. MLSS가 3,000 mg/L 이다.
     4. pH가 6~8 이다.

     정답 : []
     정답률 : 47%

20. 웨어(weir)의 설치 목적으로 가장 알맞은 것은?
     1. pH 측정
     2. DO 측정
     3. MLSS 측정
     4. 유량 측정

     정답 : []
     정답률 : 59%

21. 다음 중 수질오염지표에 관한 설명으로 옳지 않은 것은?
     1. pH : 산성 또는 알칼리성의 정도
     2. SS : 수중에 부유하고 있는 물질량
     3. DO : 수중에 용해되어 있는 산소량
     4. COD : 생화학적 산소 요구량

     정답 : []
     정답률 : 52%
     <문제 해설>
4. BOD : 생화학적 산소 요구량
     COD : 화학적 산소 요구량
[해설작성자 : comcbt.com 이용자]

22. 용존산소가 충분한 조건의 수중에서 미생물에 의한 단백질 분해순서를 올바르게 나타낸 것은?
     1. NO-3 → NO-2 → NH+4 → Amino acid
     2. NH+4 → NO-2 → NO-3 → Amino acid
     3. Amino acid → NO-3 → NO-2 → NH+4
     4. Amino acid → NH+4 → NO-2 → NO-3

     정답 : []
     정답률 : 55%

23. 다음 황산(1+2) 혼합용액은?
     1. 황산 1mL를 물에 희석하여 2mL로 한 용액
     2. 황산 1mL와 물 2mL를 혼합한 용액
     3. 물 1mL에 황산 2mL를 혼합한 용액
     4. 물 1mL에 황산을 가하여 전체 2mL로 한 용액

     정답 : []
     정답률 : 70%

24. 어느 하천의 유량은 10,000m3/일 이며, SS는 100mg/L이다. SS의 10%가 침전된다면 그 침전양은?
     1. 400 kg/일
     2. 300 kg/일
     3. 200 kg/일
     4. 100 kg/일

     정답 : []
     정답률 : 55%
     <문제 해설>
SS의 10%가 침전되므로 침전량은 1L당 10mg
하천 유량은 10000(1만)m3 = 10000000(천만)L
1L당 10mg 이므로 10000000(천만)L에선 100000000(1억)mg = 100kg
[해설작성자 : 트리님]

25. BOD 측정에 관한 설명으로 옳지 않은 것은?
     1. BOD가 높은 하수는 희석해서 시험한다.
     2. 미생물이 없는 시료는 하천수 등으로 식종한다.
     3. 측정값은 부란전 DO의 80%이상 소비되는 것을 채택한다.
     4. DO가 과포한 것은 수온을 23~25℃로 통기, 방냉하여 수온을 20℃로 한다.

     정답 : []
     정답률 : 40%

26. 바닷물(해수)에 관한 설명으로 옳지 않은 것은?
     1. 해수는 수자원 중에서 97% 이상을 차지하나 사용목적이 극히 한정되어 있는 실정이다.
     2. 해수의 pH는 약 8.2 정도로 약알칼리성을 띠고 있다.
     3. 해수는 약전해질로 염소이온농도가 약 10000ppm 정도이다.
     4. 해수의 주요성분 농도비는 거의 일정하다.

     정답 : []
     정답률 : 60%

27. 다음 중 SVI(Sludge Volume Index)와 SDI(Sludge Density Index)의 관계로 옳은 것은?
     1. SVI = 100/SDI
     2. SVI = 10/SDI
     3. SVI = 1/SDI
     4. SVI = SDI/100

     정답 : []
     정답률 : 64%

28. 폐수처리 공정 중 예비처리인 스크리닝(Screening)에 관한 설명으로 옳지 않은 것은?
     1. 유입수중의 부유협잡물을 제거하여 후속처리과정을 원활하게 할 목적으로 설치한다.
     2. 통과유속은 2m/sec 이하로 한다.
     3. 사석의 퇴적방지를 위해 스크린으로의 접근유속은 0.45m/sec 이상이 되어야 한다.
     4. 대부분 침사지 전방에 설치한다.

     정답 : []
     정답률 : 43%
     <문제 해설>
*스크린망 유속
통과유속은 1m/sec 이하
[해설작성자 : 아몬드부희주프로틴]

29. 부상법으로 처리해야 할 폐수의 성상으로 가장 적합한 것은?
     1. 수중에 용존유기물의 농도가 높은 경우
     2. 비중이 물보다 낮은 고형물이 많은 경우
     3. 수온이 높은 폐수
     4. 독성물질을 함유한 폐수

     정답 : []
     정답률 : 67%

30. 생물학적 처리방법과 그 설명이 잘못 연결된 것은?
     1. 회전원판법 - 미생물 부착성장형으로서 슬러지의 반송이 필요없다.
     2. 접촉산화법 - 생물막을 이용한 처리방식의 일종으로 포기조에 접촉여재를 침적하여 포기, 교반시켜 처리한다.
     3. 살수여상법 - 연못화에 따른 악취, 파리의 이상번식등이 문제점이 지적되고 있다.
     4. 산화지법 - 수심 1m이하의 경우 호기성 세균의 산소공급원은 조류와 균류이다.

     정답 : []
     정답률 : 54%
     <문제 해설>
수심 1m 이하의 경우 호기성 세균의 산소공급원은 조류
(균류 X)
[해설작성자 : 다들 합격하세오]

31. 다음 중 살수여상법으로 폐수를 처리할 때, 유지관리상 주의할 점이 아닌 것은?
     1. 파리의 발생
     2. 여상의 폐쇄
     3. 생물막의 탈락
     4. 슬러지의 팽화

     정답 : []
     정답률 : 72%
     <문제 해설>
슬러지의 팽화는 활성슬러지공법에 나타나는 현상이다.
[해설작성자 : 우주공원]

32. 다음 폐수처리공법 중 고액분리 방법과 가장 거리가 먼 것은?
     1. 부상분리법
     2. 전기투석법
     3. 스크리닝
     4. 원심분리법

     정답 : []
     정답률 : 61%

33. 다음 중 산화(oxidation)반응의 개념으로 옳지 않은 것은?
     1. 산소와 화합하는 현상
     2. 수소화합물에서 수소를 잃는 현상
     3. 전자를 받아들이는 현상
     4. 산화수가 증가하는 현상

     정답 : []
     정답률 : 53%
     <문제 해설>
산화 = 산소얻음, 수소잃음, 전자잃음, 산화수증가
환원 = 산소잃음, 수소얻음, 전자얻음, 산화수감소
[해설작성자 : 트리님]

34. 0.01N - HCl용액의 pH는 얼마인가? (단, HCl은 100% 이온화한다.)
     1. 1
     2. 2
     3. 3
     4. 4

     정답 : []
     정답률 : 49%
     <문제 해설>
HCl은 H를 한개 갖고 있으므로 0.01N HCl용액의 H+는 0.01
pH = -log[H+] = -log[0.01] = 2
[해설작성자 : 트리님]

35. 박테리아의 경험식은 C5H7O2N 이다. 1kg의 박테리아를 완전히 산화시키려면 몇 kg의 산소가 필요한가? (단, 질소는 암모니아로 무기화 된다.)
     1. 4.32
     2. 3.47
     3. 2.14
     4. 1.42

     정답 : []
     정답률 : 27%

3과목 : 폐기물처리


36. 폐기물 관리체계 중 도시폐기물 관리에서 가장 많은 비용을 차지하는 요소는?
     1. 처리
     2. 저장
     3. 처분
     4. 수집

     정답 : []
     정답률 : 59%

37. 연간 3,000,000ton의 도시쓰레기를 3000명의 인부가 수거한다면 수거인부의 수거능력(MHT)은? (단, 일평균작업시간 : 8hr/day, 1년작업일수 : 300days)
     1. 1.7
     2. 2.4
     3. 3.1
     4. 4.5

     정답 : []
     정답률 : 58%

38. 함수율이 97%인 슬러지 3600m3를 농축하여 함수율 94%로 낮추었을 때 슬러지의 부피는? (단, 슬러지 비중은 1 이다.)
     1. 1800m3
     2. 2000m3
     3. 2200m3
     4. 2400m3

     정답 : []
     정답률 : 43%

39. 밀도가 0.4t/m3인 쓰레기를 매립하기 위해 밀도 0.85t/m3로 압축하였다. 압축비는?
     1. 0.6
     2. 1.8
     3. 2.1
     4. 3.3

     정답 : []
     정답률 : 55%

40. 쓰레기 수거노선을 설정할 때의 유의사항으로 가장 거리가 먼 것은?
     1. 가능한 한 간선도로 부근에서 시작하고 끝나도록 한다.
     2. 언덕길은 내려가면서 수거한다.
     3. 발생량이 많은 곳은 하루 중 가장 먼저 수거한다.
     4. 가능한 한 시계반대방향으로 수거노선을 정한다.

     정답 : []
     정답률 : 74%
     <문제 해설>
가능한 한 시계방향으로 수거노선을 정해야한다
[해설작성자 : 1차 합격 드가자]

41. 함수율 50%인 쓰레기와 함수율 90%인 슬러지를 7 : 3 으로 섞어 매립하고자 한다. 이 혼합물의 함수율은 얼마인가?
     1. 57%
     2. 62%
     3. 70%
     4. 73%

     정답 : []
     정답률 : 40%
     <문제 해설>
총 100이라고 한다면
수분양은 각각 0.5 * 70, 0.9 * 30
혼합물 함수율 = (0.5 * 70 + 0.9 * 30) / 70+30 * 100 = 62%
[해설작성자 : comcbt.com 이용자]

42. 폐기물 처리기술의 3대 기본원칙이 아닌 것은?
     1. 감량화
     2. 안정화
     3. 파쇄화
     4. 무해화

     정답 : []
     정답률 : 41%

43. Dulong 공식을 적용하여 슬러지의 건조무게당 발열량을 구하는 방법은?
     1. 원소분석법
     2. 근사치분석법
     3. 열량계법
     4. 열분해법

     정답 : []
     정답률 : 41%

44. 다음 중 소각로의 형식이라 볼 수 없는 것은?
     1. 펌프식
     2. 화격자식
     3. 유동상식
     4. 회전로식

     정답 : []
     정답률 : 72%

45. 유기성 폐기물 매립장(혐기성)에서 가장 많이 발생되는 가스는? (단, 정상상태(Steady-State)이다.)
     1. 일산화탄소
     2. 이산화탄소
     3. 메탄
     4. 부탄

     정답 : []
     정답률 : 62%

46. 슬러지 농축방법으로 적절하지 않은 것은?
     1. 명반 응집제 첨가 농축방법
     2. 중력식 농축방법
     3. 원심분리 농축방법
     4. 용존공기부상 농축방법

     정답 : []
     정답률 : 29%

47. 소각시설의 연소온도를 높이기 위한 방법으로 옳지 않은 것은?
     1. 발열량이 높은 연료사용
     2. 과잉공기량의 과다주입
     3. 연료의 예열
     4. 연료의 완전연소

     정답 : []
     정답률 : 81%

48. 폐기물의 재활용과 감량화를 도모하기 위해 실시할 수 있는 제도로 가장 거리가 먼 것은?
     1. 예치금 제도
     2. 환경영향평가
     3. 부담금 제도
     4. 쓰레기 종량제

     정답 : []
     정답률 : 65%

49. 짐머만(Zimmerman)공법이라고 불리며 액상 슬러지에 열과 압력을 작용시켜 용존산소에 의하여 화학적으로 슬러지내의 유기물을 산화시키는 방법은?
     1. 혐기성 소화
     2. 호기성 소화
     3. 습식 산화
     4. 화학적 안정화

     정답 : []
     정답률 : 66%

50. 슬러지의 혐기성 소화처리에 관한 설명으로 적절하지 않은 것은?
     1. 슬러지의 무게와 부피를 감소시킨다.
     2. 이용가치가 있는 부산물을 얻을 수 있다.
     3. 병원균을 죽이거나 통제할 수 있다.
     4. 호기성 소화보다 빠른 시간에 처리할 수 있다.

     정답 : []
     정답률 : 43%

51. 소각로의 종류 중 하부로부터 가스를 주입하여 모래를 띄운 후 이를 가열하여 상부에서 폐기물을 주입하여 소각하는 방법은?
     1. 유동상 소각로
     2. 회전식 소각로
     3. 다단식 소각로
     4. 화격자 소각로

     정답 : []
     정답률 : 75%

52. 소각시설의 연소온도가 너무 높을 때 주로 발생되는 대기오염물질은?
     1. 질소산화물
     2. 탄화수소류
     3. 일산화탄소
     4. 수증가와 재

     정답 : []
     정답률 : 49%

53. 가로 1.2m, 세로 2m, 높이 12m의 연소실에서 저위 발열량이 10,000kcal/kg 인 중유를 1시간에 10kg씩 연소시킨다면 연소실의 열발생률은 얼마인가?
     1. 2888 kcal/m3ㆍhr
     2. 3472 kcal/m3ㆍhr
     3. 4985 kcal/m3ㆍhr
     4. 5644 kcal/m3ㆍhr

     정답 : []
     정답률 : 45%

54. 매립시설에서 복토의 목적과 거리가 먼 것은?
     1. 빗물 배제
     2. 화재방지
     3. 식물 성장 방지
     4. 폐기물의 비산방지

     정답 : []
     정답률 : 78%

55. 완전 연소를 위한 이론공기량을 산출하는 식으로 옳은 것은? (단, 부피기준임)
     1. 이론공기량 = 이론산소량 × 0.21
     2. 이론공기량 = 이론산소량 ÷ 0.21
     3. 이론공기량 = 이론산소량 × 0.79
     4. 이론공기량 = 이론산소량 ÷ 0.79

     정답 : []
     정답률 : 55%

56. 어느 벽체의 투과손실이 32dB 이라면, 이 벽체의 투과율(τ)은?
     1. 6.3×10-4
     2. 7.3×10-4
     3. 8.3×10-4
     4. 9.3×10-4

     정답 : []
     정답률 : 54%

57. 진동측정시 진동픽업을 설치하기 위한 장소로 옳지 않은 것은?
     1. 경사 또는 요철이 없는 장소
     2. 완충물이 있고 충분히 다져서 단단히 굳은 장소
     3. 복잡한 반사, 회절현상이 없는 지점
     4. 온도, 전자기 등의 외부 영향을 받지 않는 곳

     정답 : []
     정답률 : 72%

58. 단진자의 길이가 2m 일 때 그 주기는?
     1. 0.8초
     2. 1.2초
     3. 2.2초
     4. 2.8초

     정답 : []
     정답률 : 20%

59. 다음 중 공해진동에 관한 설명으로 옳지 않은 것은?
     1. 일반적으로 공해진동의 주파수의 범위는 1~90Hz이다.
     2. 사람에게 불쾌감을 주는 진동을 말한다.
     3. 공해진동레벨은 60dB부터 80dB 까지가 많다.
     4. 수직진동은 50Hz 이상에서 영향이 크다.

     정답 : []
     정답률 : 40%
     <문제 해설>
수평진동은 1~2Hz 범위에서, 수직진동은 4~8Hz 범위에서 가장 민감하다.
[해설작성자 : comcbt.com 이용자]

60. 진동수가 200Hz 이고 속도가 50m/s인 파동의 파장은?
     1. 25cm
     2. 50cm
     3. 75cm
     4. 100cm

     정답 : []
     정답률 : 40%
     <문제 해설>
속도 / 진동수 = 파장
50 / 200 = 0.25
따라서 25
[해설작성자 : 합격기원]


정 답 지

1

2

3

4

5

6

7

8

9

10

11

12

13

14

15

16

17

18

19

20

21

22

23

24

25

26

27

28

29

30

31

32

33

34

35

36

37

38

39

40

41

42

43

44

45

46

47

48

49

50

51

52

53

54

55

56

57

58

59

60

환경기능사 필기 기출문제(해설) 및 CBT 2007년01월28일(1회)을 이용해 주셔서 감사합니다.
환경, 기능사, 환경기능사, 필기, 기출문제, 전자문제집, CBT, 온라인, 모의테스트, 모의고사



List of Articles
번호 제목 글쓴이 날짜 조회 수
5963 환경기능사 필기 기출문제(해설) 및 CBT 2008년03월30일(2회)(6265) 좋은아빠되기 2025.10.07 0
5962 환경기능사 필기 기출문제(해설) 및 CBT 2008년02월03일(1회)(6264) 좋은아빠되기 2025.10.07 0
5961 환경기능사 필기 기출문제(해설) 및 CBT 2007년09월16일(5회)(6263) 좋은아빠되기 2025.10.07 0
5960 환경기능사 필기 기출문제(해설) 및 CBT 2007년04월01일(2회)(6262) 좋은아빠되기 2025.10.07 0
» 환경기능사 필기 기출문제(해설) 및 CBT 2007년01월28일(1회)(6261) 좋은아빠되기 2025.10.07 0
5958 환경기능사 필기 기출문제(해설) 및 CBT 2006년10월01일(5회)(6260) 좋은아빠되기 2025.10.07 0
5957 환경기능사 필기 기출문제(해설) 및 CBT 2006년04월02일(2회)(6259) 좋은아빠되기 2025.10.07 0
5956 환경기능사 필기 기출문제(해설) 및 CBT 2006년01월22일(1회)(6258) 좋은아빠되기 2025.10.07 0
5955 환경기능사 필기 기출문제(해설) 및 CBT 2005년10월02일(5회)(6257) 좋은아빠되기 2025.10.07 0
5954 환경기능사 필기 기출문제(해설) 및 CBT 2005년07월27일(4회)(6256) 좋은아빠되기 2025.10.07 0
5953 환경기능사 필기 기출문제(해설) 및 CBT 2005년01월30일(1회)(6255) 좋은아빠되기 2025.10.07 0
5952 환경기능사 필기 기출문제(해설) 및 CBT 2004년10월10일(5회)(6254) 좋은아빠되기 2025.10.07 0
5951 환경기능사 필기 기출문제(해설) 및 CBT 2004년07월18일(4회)(6253) 좋은아빠되기 2025.10.07 0
5950 환경기능사 필기 기출문제(해설) 및 CBT 2004년02월01일(1회)(6252) 좋은아빠되기 2025.10.07 0
5949 환경기능사 필기 기출문제(해설) 및 CBT 2003년10월05일(5회)(6251) 좋은아빠되기 2025.10.07 0
5948 환경기능사 필기 기출문제(해설) 및 CBT 2003년01월26일(1회)(6250) 좋은아빠되기 2025.10.07 0
5947 환경기능사 필기 기출문제(해설) 및 CBT 2002년10월06일(5회)(6249) 좋은아빠되기 2025.10.07 0
5946 환경기능사 필기 기출문제(해설) 및 CBT 2002년01월27일(1회)(6248) 좋은아빠되기 2025.10.07 0
5945 환경기능사 필기 기출문제(해설) 및 CBT 2001년10월14일(5회)(6247) 좋은아빠되기 2025.10.07 0
5944 환경기능사 필기 기출문제(해설) 및 CBT 2001년07월22일(4회)(6246) 좋은아빠되기 2025.10.07 0
Board Pagination Prev 1 ... 273 274 275 276 277 278 279 280 281 282 ... 576 Next
/ 576