자격증 필기 기출문제



전자산업기사 필기 기출문제(해설) 및 CBT 2013년06월02일(6590)

최강 자격증 기출문제 전자문제집 CBT : www.comcbt.com


전자문제집 CBT란?

종이 문제집이 아닌 인터넷으로 문제를 풀고 자동으로 채점하며 모의고사, 오답 노트, 해설까지 제공하는
무료 기출문제 학습 프로그램으로 실제 상설검정에서 사용하는 OMR 형식의 CBT를 제공합니다.


최신 전자산업기사 필기 기출문제 : [다운로드]

1과목 : 전자회로


1. 다음 중 피어스 수정발진회로의 발진주파수 변동 요인으로 가장 적합하지 않은 것은?
     1. 부하의 변동
     2. 주위 온도의 변화
     3. 발진회로의 차폐
     4. 전원 전압의 변동

     정답 : []
     정답률 : 87%

2. 다음 그림에서 트랜지스터의 작용으로 가장 적합한 것은?

   

     1. 증폭용
     2. 발진용
     3. 전압검출용
     4. 온도보상용

     정답 : []
     정답률 : 74%

3. 증폭기의 동작점에 의한 분류는 어떠한 조건으로 결정하는 것이 가장 적합한가?
     1. 유통각
     2. 출력전압 크기
     3. 입력신호의 위상
     4. 입력신호의 진폭

     정답 : []
     정답률 : 70%

4. 전원회로에서 전압안정계수란? (단, VL=직류출력전압, VS=신호원전압, T=주위온도, IL=부하전류이다.)
     1.
     2.
     3.
     4.

     정답 : []
     정답률 : 78%

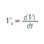
5. 그림과 같은 연산증폭기에서 V1=1[V], V2=2[V], V3=3[V]일 때, 출력 전압 Vo은 몇 [V]인가?

   

     1. 20
     2. 60
     3. -120
     4. -180

     정답 : []
     정답률 : 86%

6. 트랜지스터의 정특성에서 VCE=5[V]일 때, IB를 200[μA]에서 300[μA]까지 변화시켜 VBE가 0.2[V]에서 0.5[V]로 변화되었다면 이 트랜지스터의 hie는?
     1. 300[Ω]
     2. 600[Ω]
     3. 3[kΩ]
     4. 6[kΩ]

     정답 : []
     정답률 : 66%

7. 진폭 변조(AM)에서 반송파 진폭이 20[V]이다. 30[V]의 진폭을 가지는 신호파를 인가한 경우 변조도는?
     1. 0.66
     2. 50
     3. 10
     4. 1.5

     정답 : []
     정답률 : 65%

8. 멀티바이브레이터의 단안정, 무안정, 쌍안정의 결정은?
     1. 결합 회로의 구성에 따라 결정된다.
     2. 전원 전압의 크기에 따라 결정된다.
     3. 전원 전류의 크기에 따라 결정된다.
     4. 바이어스 전압의 크기에 따라 결정된다.

     정답 : []
     정답률 : 83%

9. 궤환 증폭기에서 무궤환시의 전압 이득이 50이고, 저역 3[dB] 차단주파수가 20[Hz]일 때, 궤환시 전압 이득이 40이면 궤환시 저역 3[dB] 차단주파수는 몇 [Hz]인가?(오류 신고가 접수된 문제입니다. 반드시 정답과 해설을 확인하시기 바랍니다.)
     1. 8[Hz]
     2. 16[Hz]
     3. 20[Hz]
     4. 25[Hz]

     정답 : []
     정답률 : 53%
     <문제 해설>
아래와 같은 오류 신고가 있었습니다.
여러분들의 많은 의견 부탁 드립니다.
추후 여러분들의 의견을 반영하여 정답을 수정하도록 하겠습니다.
참고로 정답 변경은 오류 신고 5회 이상일 경우 수정합니다.

[오류 신고 내용]
50×20÷40 = 25입니다. 정답수정바랍니다.
[해설작성자 : Dw]

[추가 오류 신고]
4번입니다

[추가 오류 신고]
전압이득 AυϜ= Aυ/(1+βAυ)

감도계수 D= 1+βAυ = Aυ/AυϜ = 50/40 = 5/4

고역 차단주파수 = 20*5/4 = 100/4 = 25[Hz]

확인 출판사 (올배움 / 전자산업기사)
[해설작성자 : 공부중]

[관리자 입니다.
다른 문제집 확인 가능한분 계시면 확인 부탁 드립니다.
신고시 출판사명까지 기제 부탁 드립니다.]

[오류신고 반론]
고역차단주파수 = fL / (1 + b * Av) = fL / (Avf / Av) = (Avf / Av) * fL = (40 / 50) * 20 = 16[Hz]
건기원 전자산업기사 필기 2019개정

[추가 오류 신고]
감도계수로 풀어야함 Fh = (1 + B *    A) * f
Af = A /(1 + B *    A)
(1 + B *    A) = A / Af
즉 50/40 * 20 = 25[Hz]
[해설작성자 : 전자킹]

10. 다음 중 트랜지스터 증폭기 설계 시 동작점(Q점) 결정에 가장 영향이 적은 것은?
     1. 왜곡
     2. 주파수 특성
     3. 최대정격
     4. 입력신호의 크기

     정답 : []
     정답률 : 55%

11. LC 발진기에서 일어나기 쉬운 이상 현상이 아닌 것은?
     1. 간헐(Blocking) 발진
     2. 인입 현상
     3. 자왜(磁歪) 현상
     4. 기생 진동

     정답 : []
     정답률 : 67%
     <문제 해설>
아래와 같은 오류 신고가 있었습니다.
여러분들의 많은 의견 부탁 드립니다.
추후 여러분들의 의견을 반영하여 정답을 수정하도록 하겠습니다.
참고로 정답 변경은 오류 신고 5회 이상일 경우 수정합니다.

[오류 신고 내용]
문제집에는 4번으로 표기되어있습니다.
[해설작성자 : K]

[오류신고 반론]
LC발진기에서 일어나는 현상 = 간헐, 발진, 인입현상 + 기생진동
[해설작성자 : 규다]

12. 위상변조(PM)를 등가의 주파수변조(FM)로 대치하기 위하여 사용하는 것은?
     1. Pre-Emphasis
     2. De-Emphasis
     3. 평형변조기(Balanced Modulator)
     4. 전치보상기(Pre-Distorter)

     정답 : []
     정답률 : 62%

13. 다음 중 직렬 전압 부궤환 회로의 특징으로 적합하지 않은 것은?
     1. 전압 이득이 감소
     2. 주파수 대역폭의 증가
     3. 비직선 일그러짐의 감소
     4. 입력 및 출력 임피던스의 증가

     정답 : []
     정답률 : 81%

14. 이상적인 연산증폭기의 파라미터 값이 0인 것은?
     1. 입력 임피던스
     2. 출력 임피던스
     3. 전압 이득
     4. 대역폭

     정답 : []
     정답률 : 75%

15. 다음 그림은 반전연산증폭회로이다. V1=3[V], V2=4[V]일 때 VO는 몇 [V]인가?

    

     1. 12.5
     2. 15.5
     3. -12.5
     4. -15.5

     정답 : []
     정답률 : 79%

16. 트랜지스터에서 전류증폭률이 불균일하므로, 안정된 출력전압을 얻기 위한 가장 적합한 방법은?
     1. 이미터 회로에 다이오드를 연결한다.
     2. 서미스터를 베이스와 이미터에 넣는다.
     3. 트랜지스터에서 증폭된 것을 한번 더 증폭한다.
     4. 이미터 단자와 접지사이에 저항을 삽입한다.

     정답 : []
     정답률 : 78%

17. 다음과 같은 정류기는 어느 점에 교류 입력을 연결하여야 하는가?

    

     1. A - C 점
     2. A - D 점
     3. B - C점
     4. B - D 점

     정답 : []
     정답률 : 81%

18. 다음 중 부궤환 증폭기의 특징에 대한 설명으로 적합하지 않은 것은?
     1. 이득이 감소한다.
     2. 잡음이 감소한다.
     3. 주파수 대역폭이 증가한다.
     4. 입ㆍ출력 임피던스 값의 변화가 없다.

     정답 : []
     정답률 : 80%

19. 다음의 접합형 FET 회로에서 드레인 전류 ID=4[mA]일 때 드레인-소스 전압 VDS는 몇 [V]인가?

    

     1. 1[V]
     2. 2[V]
     3. 3[V]
     4. 4[V]

     정답 : []
     정답률 : 73%
     <문제 해설>
10-(1k+1k)*4m=2
[해설작성자 : 한수원 합격자]

20. 다음 회로에 그림과 같은 입력 파형을 인가했을 때 출력 파형은?

    

     1. 삼각파
     2. 정현파
     3. 임펄스파
     4. 스텝파

     정답 : []
     정답률 : 69%
     <문제 해설>
그림은 미분회로이며, 구형파가 입력될 경우 임펄스파가 출력됨. 오류아님.
[해설작성자 : 제대로 알고 오류 신고하기.]

2과목 : 전기자기학 및 회로이론


21. 벡터 A, B의 값이 A = i+2j+3k, B = -i+2j+k 일 때 AㆍB의 크기는?
     1. 2
     2. 4
     3. 6
     4. 8

     정답 : []
     정답률 : 60%

22. 유전율 ε0인 진공 내를 전자파가 전파할 때 진공중의 투자율은 약 몇 [H/m]인가?
     1. 9.56×10-7
     2. 12.56×10-7
     3. 15.56×10-7
     4. 18.56×10-7

     정답 : []
     정답률 : 66%

23. 동심구에서 내부도체의 반지름이 a, 절연체의 반지름이 b, 외부도체의 반지름이 c일 때, 내부도체에만 전하 Q를 주었을 때 내부도체의 전위는? (단, 절연체의 유전율은 ε0이다.)
     1.
     2.
     3.
     4.

     정답 : []
     정답률 : 72%

24. 권수 500회의 코일 내를 통하는 자속이 그림과 같이 변화하고 있다. 의 시간 내에 코일의 단자간에 생기는 유기기전력은 몇 [V]인가?

    

     1. 0
     2. 0.7
     3. 1.4
     4. 2.8

     정답 : []
     정답률 : 67%

25. 지름 10[cm]인 원형코일 중심에서의 자계가 1000[A/m]이다. 원형코일이 100회 감겨있을 때 전류는 몇 [A]인가?(오류 신고가 접수된 문제입니다. 반드시 정답과 해설을 확인하시기 바랍니다.)
     1. 1[A]
     2. 2[A]
     3. 3[A]
     4. 5[A]

     정답 : []
     정답률 : 67%
     <문제 해설>
아래와 같은 오류 신고가 있었습니다.
여러분들의 많은 의견 부탁 드립니다.
추후 여러분들의 의견을 반영하여 정답을 수정하도록 하겠습니다.
참고로 정답 변경은 오류 신고 5회 이상일 경우 수정합니다.

[오류 신고 내용]
H=I/2r 라서 답은 2A 아닌가요...?
[해설작성자 : A]

[관리자 입니다.
다른 문제집 확인 가능한분 계시면 확인 부탁 드립니다.
신고시 출판사명까지 기제 부탁 드립니다.]

26. 그림과 같이 공극의 면적이 100[cm2]인 전자석의 자속밀도가 0.5[Wb/m2]인 철편을 흡입하는 힘은 약 몇 [N]인가?

    

     1. 1000
     2. 2000
     3. 3000
     4. 4000

     정답 : []
     정답률 : 72%

27. 접지 도체구와 점전하간에 작용하는 힘은?
     1. 항상 반발력이다.
     2. 조건적 반발력이다.
     3. 항상 흡입력이다.
     4. 조건적 흡입력이다.

     정답 : []
     정답률 : 77%

28. 정전계에서 전기력선의 성질을 설명한 것 중 잘못된 것은?
     1. 한 점에서 전기력선의 방향은 그 점의 전계방향과 같다.
     2. 전계가 0이 아닌 곳에서 전기력선은 도체표면에 수직이다.
     3. 전기력선은 전위가 낮은 점에서 높은 점으로 향한다.
     4. 전기력선의 밀도는 그 점에서의 전계의 크기와 같다.

     정답 : []
     정답률 : 73%

29. 공기 중 두 점전하 사이에 작용하는 힘이 10[N]이었다. 두 전하 사이에 유전체를 넣었더니 힘이 2[N]으로 되었다면 유전체의 비유전율은?
     1. 2.5
     2. 5
     3. 10
     4. 15

     정답 : []
     정답률 : 82%

30. 물질의 자화현상은?
     1. 전자의 이동
     2. 전자의 공전
     3. 분자의 운동
     4. 전자의 자전

     정답 : []
     정답률 : 60%

31. (10+j5)/(2+j4)를 계산한 결과 값은?
     1. 2-j1.5
     2. 2+j1.5
     3. 5+j1.0
     4. 5-j1.0

     정답 : []
     정답률 : 52%

32. 다음 중 파고율(crest factor)을 나타낸 것은?
     1. 최대값/평균값
     2. 실효값/평균값
     3. 실효값/최대값
     4. 최대값/실효값

     정답 : []
     정답률 : 65%

33. 그림과 같은 회로가 정저항 회로가 되기 위한 C값은 몇 [μF]인가? (단, R=2[kΩ], L=4[H]이다.)

    

     1. 0.1
     2. 0.2
     3. 1
     4. 2

     정답 : []
     정답률 : 58%
     <문제 해설>
정저항 회로에서 R = 루트(L / C)
[해설작성자 : 전자전자]

34. 그림과 같은 회로에서 I1과 I2의 위상차는? (단, R1=R2=X1=X2=1[Ω]이다.)

    

     1.
     2. 45°
     3. 90°
     4. 105°

     정답 : []
     정답률 : 63%

35. 자기 인덕턴스 L1, L2가 각각 4[mH], 9[mH]인 두 코일이 이상결합(理想結合)되었다면 상호 인덕턴스 M은?
     1. 6[mH]
     2. 6.5[mH]
     3. 9[mH]
     4. 36[mH]

     정답 : []
     정답률 : 73%

36. 공진 회로에 있어서 선택도 Q를 표시하는 옳은 식은? (단, RLC 직렬 공진 회로임)
     1.
     2.
     3.
     4.

     정답 : []
     정답률 : 71%

37. 100[μF]의 콘덴서에 200[V], 60[Hz]의 교류전압을 가할 때의 무효전력은 몇 [Var]인가?
     1. 60π[var]
     2. 120π[var]
     3. 240π[var]
     4. 480π[var]

     정답 : []
     정답률 : 44%

38. 하이브리드 H 파라미터와 임피던스 및 어드미턴스 파라미터와의 관계로서 옳지 않은 것은?
     1.
     2.
     3.
     4.

     정답 : []
     정답률 : 55%

39. 이상적인 직류 전압원에 대한 설명 중 옳은 것은?
     1. 이 소자는 선형 V-i 특성을 갖는 시변 소자이다.
     2. 이 소자는 비선형 V-i 특성을 갖는 시변 소자이다.
     3. 이 소자는 선형 V-i 특성을 갖는 시불변 소자이다.
     4. 이 소자는 비선형 V-i 특성을 갖는 시불변 소자이다.

     정답 : []
     정답률 : 52%

40. f(t) = cos ωt를 라플라스 변환하면?
     1.
     2.
     3.
     4.

     정답 : []
     정답률 : 68%

3과목 : 전자계산기일반


41. 컴퓨터 내부의 클록 펄스는 초당 반복하는 펄스의 수로 표시된다. MHz는 펄스가 초당 몇 회 반복되는가?
     1. 104
     2. 105
     3. 106
     4. 107

     정답 : []
     정답률 : 85%

42. 캐시 메모리(Cache Memory)의 설명으로 옳은 것은?
     1. CPU의 속도와 기억장치의 속도차를 늘이기 위한 기억장치이다.
     2. 캐시의 성능을 나타내는 척도를 적중률(hit ratio)이라 한다.
     3. 주로 DRAM으로 구성되어 있다.
     4. CPU와 보조기억장치의 정보교환을 위해 데이터를 임시 보관한다.

     정답 : []
     정답률 : 74%

43. 다음 코드의 분류 중 그 연결이 옳은 것은?
     1. 자기보수코드 : 8421 코드
     2. 자기보수코드 : 2421 코드
     3. 가중치코드 : 3-초과 코드
     4. 가중치코드 : 그레이 코드

     정답 : []
     정답률 : 60%

44. C 언어에서 출력함수 printf()의 확장문자에 대한 설명으로 옳은 것은?
     1. \n - new page - 커서를 다음 페이지 앞으로 이동
     2. \" - 이중 인용부호 - 이중 인용부호 입력
     3. \f - form feed - 한 페이지 넘김
     4. \b - binary - 이진 데이터 출력

     정답 : []
     정답률 : 64%

45. "명령어 수행을 위해 중앙처리장치가 의미 있는 상태로 변환하도록 하는 동작"이란 내용이 의미하는 것은?
     1. Micro operation
     2. Fetch operation
     3. Execute operation
     4. Interrupt operation

     정답 : []
     정답률 : 51%

46. Shift register에 있는 Binary 값 X가 6회 Shift right 된 후 X의 값은?
     1. X / 6
     2. X * 6
     3. X / 64
     4. X * 64

     정답 : []
     정답률 : 69%

47. 프로그램의 서브루틴 호출과 복귀를 처리할 때 이용되는 것은?
     1. 스택
     2.
     3. ROM
     4. 누산기

     정답 : []
     정답률 : 72%

48. 0-주소 명령형식에만 해당하는 것은?
     1. POP
     2. ADD
     3. MOVE
     4. STORE

     정답 : []
     정답률 : 66%

49. ALU 레지스터와 메모리 사이에서 데이터를 전송하기 위하여 오고가는 길은?
     1. control bus
     2. data bus
     3. address bus
     4. 외부 버스

     정답 : []
     정답률 : 78%

50. 다음 중 폰 노이만(Von Neumann)형 컴퓨터의 특성이 아닌 것은?
     1. 주 기억장치의 구조가 일차원으로 구성되어 있다.
     2. 기본적으로 명령어를 수행하는 것이 순차적이다.
     3. 연산의 의미가 데이터에 있다.
     4. 프로그램 내장 방식이다.

     정답 : []
     정답률 : 65%

51. 마이크로컴퓨터의 구성에서 memory-mapped I/O와 isolated I/O 방식에 대한 설명 중 옳은 것은?
     1. memory-mapped 입출력에는 입출력 전용 명령어가 필요없다.
     2. isolated 입출력은 버스 연결이 쉽다.
     3. memory-mapped 입출력은 주기억 공간을 최대로 활용할 수 있다.
     4. isolated 입출력은 프로그래밍에서 기억장치 관련 명령어들을 입출력장치 제어에도 사용이 가능하다.

     정답 : []
     정답률 : 54%

52. 10진수 854.5를 16진수로 옳게 표현한 것은?
     1. 356.8
     2. 35B.8
     3. 356.5
     4. 35B.5

     정답 : []
     정답률 : 56%

53. 일반적인 방법으로 전가산기를 설계했을 경우 포함되지 않는 게이트는?
     1. EX-OR
     2. AND
     3. OR
     4. NAND

     정답 : []
     정답률 : 69%

54. 자료의 흐름을 중심으로 시스템 전체의 작업처리 내용을 종합적이고, 전체적인 상태로 도시한 순서도는?
     1. 시스템 순서도
     2. 프로그램 순서도
     3. 개략 순서도
     4. 상세 순서도

     정답 : []
     정답률 : 63%

55. 다음 중 주소지정 방법에서 속도(speed)를 고려할 때 가장 빠른 것은?
     1. Calculated Address
     2. Immediate Address
     3. Direct Address
     4. Indirect Address

     정답 : []
     정답률 : 68%

56. 다음 우선순위 인터럽트(interrupt)에 대한 설명으로 옳은 것은?

    

     1. 하드웨어 인터럽트
     2. 폴링 인터럽트
     3. 벡터 인터럽트
     4. 내부 인터럽트

     정답 : []
     정답률 : 69%

57. 데이터를 마이크로프로세서를 거치지 않고 주변장치가 직접 메모리에 전송하는 방식은?
     1. DMA
     2. ALU
     3. MPU
     4. MDR

     정답 : []
     정답률 : 80%

58. 다음 논리 함수를 간소환 한 결과는?

    

     1. X
     2. XY
     3. X+Y
     4. Y

     정답 : []
     정답률 : 71%

59. 컴퓨터의 기억장치를 구성할 때 고려해야 할 주요 요소가 아닌 것은?
     1. 접근속도
     2. 채널수
     3. 전력소모량
     4. 기억용량

     정답 : []
     정답률 : 61%

60. 컴퓨터와 오퍼레이터(operator) 사이에 필요한 정보를 주고받을 수 있는 장치는?
     1. 라인 프린터
     2. 연산 장치
     3. 콘솔
     4. 기억 장치

     정답 : []
     정답률 : 78%

61. 그림과 같은 임피던스 브리지(Impedance Bridge)에서 LX의 값은?

    

     1.
     2.
     3.
     4.

     정답 : []
     정답률 : 75%

62. 다음은 무엇을 측정하는 블록도인가?

    

     1. FM 수신기의 잡음 측정
     2. FM 수신기의 선택도 측정
     3. FM 수신기의 감도 측정
     4. FM 수신기의 영상 신호대 잡음비 측정

     정답 : []
     정답률 : 53%

63. TV의 영상중간 주파 증폭기의 특성곡선을 측정하기 위하여 필요없는 계측기는?
     1. Audio Generator
     2. Marker Generator
     3. Oscillo Scope
     4. Sweep Generator

     정답 : []
     정답률 : 66%

64. 디지털 계측기의 장점을 설명한 것 중 가장 옳지 않은 것은?
     1. 정도가 높은 측정이 가능하다.
     2. 측정이 매우 쉽고, 신속히 이루어진다.
     3. 일반적으로 연속량을 측정할 수 있다.
     4. 측정값을 읽을 때 개인적 오차가 발생하지 않는다.

     정답 : []
     정답률 : 75%

65. 전압계와 전류계를 다음과 같이 접속하여 전력을 측정하는 경우 전압계 내부 저항에 의한 전력분 만큼 소비전력이 증가한다. 저항 R에서의 참전력은 어떻게 표시되는가?

    

     1.
     2.
     3.
     4.

     정답 : []
     정답률 : 61%

66. 다음은 측정용 발진기 구성도이다. 옳은 것은?

    

     1. 비트 발진기
     2. 소인 발진기
     3. 음차 발진기
     4. CR 발진기

     정답 : []
     정답률 : 73%

67. 다음과 같은 브리지 회로가 평형이 되었다면 어느 식이 성립되는가?

    

     1. AB = CD
     2. ABCD = 1
     3. AC = BD
     4. AD = BC

     정답 : []
     정답률 : 77%

68. 전압 정재파 비가 3일 때 반사 계수는?
     1. 0.25
     2. 0.5
     3. 1.0
     4. 1.5

     정답 : []
     정답률 : 57%

69. 헤테로다인 주파수계에서 Single beat 법보다 Double beat 법이 좋은 이유는?
     1. 구조가 간단하다.
     2. 취급이 용이하다.
     3. 측정 범위가 넓다.
     4. 오차가 적다.

     정답 : []
     정답률 : 63%

70. 열전대형 계기를 설명한 것 옳지 않은 것은?
     1. 과전류에 매우 강하다.
     2. 재료에는 구리-콘스탄탄 등이 있다.
     3. 열기전력은 전류의 제곱에 비례하므로 제곱눈금이다.
     4. 열선의 임피던스가 낮고, 주파수에 대한 오차가 적다.

     정답 : []
     정답률 : 58%

71. 오실로스코프에서 위상차를 측정한 결과 그림과 같은 리서쥬 도형이 나타났다. 다음 관계식 중 옳은 것은?

    

     1.
     2.
     3.
     4.

     정답 : []
     정답률 : 74%

72. 오실로스코프로 전압을 측정한 결과 진폭이 5cm[p-p]의 크기로 나타났다. 이 전압의 실효값은? (단, 오실로스코프의 수직편향감도는 1[mm/V]이다.)
     1. 약 17.7[V]
     2. 약 19.5[V]
     3. 약 25[V]
     4. 약 50[V]

     정답 : []
     정답률 : 58%

73. 다음 중 잡음지수 F는? (단, Si : 입력신호, Ni : 입력잡음, So : 출력신호, No : 출력잡음)
     1.
     2.
     3.
     4.

     정답 : []
     정답률 : 64%

74. 측정 오차를 줄이는 방법으로 옳지 않은 것은?
     1. 전원은 일정 값으로 유지한다.
     2. 기기 및 회로의 임피던스를 정합시킨다.
     3. 측정은 여러 번 반복하여 평균치를 구한다.
     4. 측정기 다이얼 조작은 불규칙하게 여러 방향으로 한다.

     정답 : []
     정답률 : 77%

75. 다음 중 가장 높은 주파수를 측정할 수 있는 것은?
     1. 딥 미터
     2. 진동편형 주파수계
     3. 흡수형 주파수계
     4. 동축형 주파수계

     정답 : []
     정답률 : 60%

76. X-Y 플로터에 대한 설명으로 옳지 않은 것은?
     1. 아날로그 입력을 기록한다.
     2. 도안을 그리는데 널리 사용된다.
     3. 종이는 롤러에 의해서 앞으로 이동한다.
     4. 펜은 펄스에 의해 구동되는 스텝모터에 의해 수평으로 이동한다.

     정답 : []
     정답률 : 62%

77. 다음 중 전해액이나 접지 저항을 측정할 때 교류를 사용하는 이유로 옳은 것은?
     1. 습기를 제거하기 위하여
     2. 전극 내부의 분극 작용을 방지하기 위하여
     3. 전극 표면의 분극 작용을 방지하기 위하여
     4. 접지 저항보다 작은 저항 값을 지시하는 것을 방지하기 위하여

     정답 : []
     정답률 : 70%

78. 최대눈금 250[V]인 0.5급 전압계로 전압을 측정하였더니 지시가 100[V]이었다고 한다. 상대오차는?
     1. 1[%]
     2. 1.25[%]
     3. 2[%]
     4. 2.25[%]

     정답 : []
     정답률 : 75%

79. 다음 기록계 중 편위법을 이용한 기록계는?
     1. X-Y 기록계
     2. 타점식 기록계
     3. 작동식 기록계
     4. 자동평형식 기록계

     정답 : []
     정답률 : 35%

80. 오실로스코프로 측정 불가능한 것은?
     1. 전압 측정
     2. 위상 측정
     3. 주파수 측정
     4. coil의 Q 측정

     정답 : []
     정답률 : 87%


정 답 지

1

2

3

4

5

6

7

8

9

10

11

12

13

14

15

16

17

18

19

20

21

22

23

24

25

26

27

28

29

30

31

32

33

34

35

36

37

38

39

40

41

42

43

44

45

46

47

48

49

50

51

52

53

54

55

56

57

58

59

60

61

62

63

64

65

66

67

68

69

70

71

72

73

74

75

76

77

78

79

80

전자산업기사 필기 기출문제(해설) 및 CBT 2013년06월02일을 이용해 주셔서 감사합니다.
전자, 산업기사, 전자산업기사, 필기, 기출문제, 전자문제집, CBT, 온라인, 모의테스트, 모의고사



List of Articles
번호 제목 글쓴이 날짜 조회 수
3416 전자산업기사 필기 기출문제(해설) 및 CBT 2012년03월04일(6586) new 좋은아빠되기 2025.10.07 0
3415 전자산업기사 필기 기출문제(해설) 및 CBT 2012년05월20일(6587) new 좋은아빠되기 2025.10.07 0
3414 전자산업기사 필기 기출문제(해설) 및 CBT 2012년09월15일(6588) new 좋은아빠되기 2025.10.07 0
3413 전자산업기사 필기 기출문제(해설) 및 CBT 2013년03월10일(6589) new 좋은아빠되기 2025.10.07 0
» 전자산업기사 필기 기출문제(해설) 및 CBT 2013년06월02일(6590) new 좋은아빠되기 2025.10.07 0
3411 전자산업기사 필기 기출문제(해설) 및 CBT 2013년09월28일(6591) new 좋은아빠되기 2025.10.07 0
3410 전자산업기사 필기 기출문제(해설) 및 CBT 2014년03월09일(6592) new 좋은아빠되기 2025.10.07 0
3409 전자산업기사 필기 기출문제(해설) 및 CBT 2014년07월20일(6593) new 좋은아빠되기 2025.10.07 1
3408 전자산업기사 필기 기출문제(해설) 및 CBT 2014년09월20일(6594) new 좋은아빠되기 2025.10.07 1
3407 전자산업기사 필기 기출문제(해설) 및 CBT 2015년03월08일(6595) new 좋은아빠되기 2025.10.07 0
3406 전자산업기사 필기 기출문제(해설) 및 CBT 2015년05월31일(6596) new 좋은아빠되기 2025.10.07 0
3405 전자산업기사 필기 기출문제(해설) 및 CBT 2015년09월19일(6597) new 좋은아빠되기 2025.10.07 0
3404 전자산업기사 필기 기출문제(해설) 및 CBT 2016년03월06일(6598) new 좋은아빠되기 2025.10.07 0
3403 전자산업기사 필기 기출문제(해설) 및 CBT 2016년05월08일(6599) new 좋은아빠되기 2025.10.07 0
3402 전자산업기사 필기 기출문제(해설) 및 CBT 2016년10월01일(6600) new 좋은아빠되기 2025.10.07 0
3401 전자산업기사 필기 기출문제(해설) 및 CBT 2017년03월05일(6601) new 좋은아빠되기 2025.10.07 0
3400 전자산업기사 필기 기출문제(해설) 및 CBT 2017년05월07일(6602) new 좋은아빠되기 2025.10.07 0
3399 전자산업기사 필기 기출문제(해설) 및 CBT 2017년09월23일(6603) new 좋은아빠되기 2025.10.07 0
3398 전자산업기사 필기 기출문제(해설) 및 CBT 2018년03월04일(6604) new 좋은아빠되기 2025.10.07 0
3397 전자산업기사 필기 기출문제(해설) 및 CBT 2018년04월28일(6605) new 좋은아빠되기 2025.10.07 0
Board Pagination Prev 1 ... 310 311 312 313 314 315 316 317 318 319 ... 485 Next
/ 485