자격증 필기 기출문제



전자산업기사 필기 기출문제(해설) 및 CBT 2017년05월07일(6602)

최강 자격증 기출문제 전자문제집 CBT : www.comcbt.com


전자문제집 CBT란?

종이 문제집이 아닌 인터넷으로 문제를 풀고 자동으로 채점하며 모의고사, 오답 노트, 해설까지 제공하는
무료 기출문제 학습 프로그램으로 실제 상설검정에서 사용하는 OMR 형식의 CBT를 제공합니다.


최신 전자산업기사 필기 기출문제 : [다운로드]

1과목 : 전자회로


1. 소신호 증폭기의 설명으로 옳은 것은?
     1. 부하선의 작은 부분만을 사용한다.
     2. 항상 mV 범위의 출력신호를 갖는다.
     3. 각 입력 주기에 포화가 일어난다.
     4. 항상 공통 이미터 증폭기이다.

     정답 : []
     정답률 : 77%

2. PCM 회로에서 빈칸 A의 회로는?

   

     1. 부호화 회로
     2. 비교기 회로
     3. 증폭 회로
     4. 필터 회로

     정답 : []
     정답률 : 93%
     <문제 해설>
신호파-표본화 회로-양자화 회로-"부호화 회로"-PCM파

3. 회로의 전달 특성은? (단, Q1과 Q2 트랜지스터는 스위치용이다.)

   

     1.
     2.
     3.
     4.

     정답 : []
     정답률 : 84%

4. FET 증폭기의 고주파 응답을 결정하는 것은?
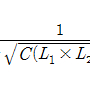
     1. 바이패스 커패시터
     2. 트랜지스터의 내부 커패시터
     3. 전압이득
     4. 전류이득

     정답 : []
     정답률 : 75%

5. 교류를 직류전원으로 변환할 때 사용되지 않는 부품은?
     1. 변압기
     2. 정류다이오드
     3. 제너다이오드
     4. 트라이액

     정답 : []
     정답률 : 80%

6. 전압 증폭도가 100인 증폭기의 전압이득은 몇 dB인가?
     1. 10
     2. 20
     3. 30
     4. 40

     정답 : []
     정답률 : 78%

7. 증폭도 A가 매우 큰 증폭기에 귀환율 β의 부귀환을 가한 경우 전압이득은?
     1.
     2. 1/β
     3. 1/βA
     4. A/1+A

     정답 : []
     정답률 : 78%

8. 부귀환 증폭기에서 Aβ≫1의 경우 증폭기 이득의 안정성이 향상되는 이유는?
     1. 증폭기 이득 A가 크기 때문이다.
     2. 귀환계수 β가 작기 때문이다.
     3. 증폭기의 부하 저항이 만큼 감소되기 때문이다.
     4. 증폭기의 이득이 귀환회로의 β에 의해서 결정되기 때문이다.

     정답 : []
     정답률 : 74%

9. 다이오드의 전하축적 효과가 없을 때 옳은 것은?
     1. 순방향 전류값이 적다.
     2. 순방향 전류값이 크다.
     3. 역방향 회복시간이 무한대이다.
     4. 역방향 회복시간이 “0”이다.

     정답 : []
     정답률 : 74%

10. 그림의 입출력 특성을 가지는 회로는?

    

     1. 반파정류회로
     2. 전파정류회로
     3. 연산증폭기
     4. 클리핑 회로

     정답 : []
     정답률 : 74%

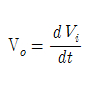
11. 연산증폭기 회로에 그림 ⒜를 입력할 때 그림⒝와 같은 출력이 나타나는 현상은?

    

     1. 슬루 레이트(slew rate)
     2. 입력 바이어스 전류
     3. DC 오프세트(offset) 전압
     4. 유한한 전압이득

     정답 : []
     정답률 : 88%

12. 맥동률에 관한 설명으로 올바른 것은?
     1. 교류를 직류로 바꾸는 과정이다.
     2. 맥동률( )은 로 구할 수 있다.
     3. 정류된 직류 출력에 교류성분이 얼마나 포함되어 있는지의 정도를 나타낸다.
     4. 교류를 직류로 만들 때 직류가 되지 않고 남아있는 교류 성분으로 모양이 파도 모양처럼 나타난다.

     정답 : []
     정답률 : 76%

13. 펄스부호변조(PCM)에 대한 설명 중 틀린 것은?
     1. 점유 주파수 대역이 넓다.
     2. PCM 고유의 잡음이 발생한다.
     3. 전송 방해가 많은 통신로에서도 전송 품질이 좋은 통신이 가능하다.
     4. 원신호 펄스 재생은 진폭 변동이나 파형 찌그러짐에 영향을 받는다.

     정답 : []
     정답률 : 66%

14. 펄스 회로의 출력이 Vo=1-e-0.1t일 때 시정수 몇 초인가?
     1. 20초
     2. 10초
     3. 1초
     4. 0.1초

     정답 : []
     정답률 : 68%

15. 회로에서 Ei=1V일 때 전류 IL은 몇 mA 인가?

    

     1. 0.1
     2. 0.4
     3. -0.5
     4. -0.6

     정답 : []
     정답률 : 80%

16. 교차 일그러짐(crossover distortion) 현상은 어느 증폭기에서 발생하는가?
     1. A급 증폭기
     2. AB급 증폭기
     3. B급 증폭기
     4. C급 증폭기

     정답 : []
     정답률 : 87%

17. 컬렉터 접지 증폭회로에 대한 설명으로 틀린것은?
     1. 이미터 플로어라고도 한다.
     2. 전압 이득은 1보다 약간 작다.
     3. 입력전압과 출력전압의 위상은 역상이다.
     4. 입력 임피던스는 높고, 출력 임피던스는 매우 낮다.

     정답 : []
     정답률 : 62%

18. FM신호의 검파회로에서 별도의 진폭제한회로가 필요 없는 회로는?
     1. 제곱 검파회로
     2. 복동조 주파수 변별 회로
     3. 포스터 실리(Forster-Seeley) 주파수 변별 회로
     4. 비검파기(ratio detector)

     정답 : []
     정답률 : 83%

19. 회로에서 컬렉터 전류 IC를 구하면? (단, β=100이고, VBE=0.7V이다.)(문제 오류로 가답안 발표시 1번으로 발표되었지만 전항 정답처리되었습니다. 여기서는 1번을 누르면 정답 처리 됩니다.)

    

     1. 39 mA
     2. 25 mA
     3. 46 mA
     4. 32 mA

     정답 : []
     정답률 : 73%
     <문제 해설>
이 문제는 정답에 오류가 있어서 전항 정답 된 문제입니다.
부하선 작성 시, Ic에 최대로 흐를 수 있는 전류는 10V/3KΩ = 3.3mA입니다.
그러므로 정답이 없는 문제입니다.
[해설작성자 : 그랑죠]

아래와 같은 오류 신고가 있었습니다.
여러분들의 많은 의견 부탁 드립니다.
추후 여러분들의 의견을 반영하여 정답을 수정하도록 하겠습니다.
참고로 정답 변경은 오류 신고 5회 이상일 경우 수정합니다.

[오류 신고 내용]
3.9mA가 정답입니다.

20. 연산증폭기의 스위칭 특성에 가장 크게 영향을 주는 것은?
     1. 입출력 임피던스
     2. 슬루 레이트
     3. 출력 오프셋 전압
     4. 동위상제거비(CMRR)

     정답 : []
     정답률 : 81%

2과목 : 전기자기학 및 회로이론


21. 점전하 +Q(C)와 무한평면도체에 대한 영상전하는?
     1. +Q(C)보다 대단히 크다.
     2. -Q(C)보다 대단히 적다.
     3. +Q(C)와 같다.
     4. -Q(C)와 같다.

     정답 : []
     정답률 : 81%

22. 평행도선에 같은 크기의 왕복 전류가 흐를 때 두도선 사이에 작용하는 힘과 관계를 옳게 나타낸것은?
     1. 유전율에 비례한다.
     2. 투자율에 비례한다.
     3. 두 전류의 곱에 비례한다.
     4. 간격의 제곱에 반비례한다.

     정답 : []
     정답률 : 61%

23. 원천이 없는 손실 유전체(일반 매질)에서의 맥스웰 전자 페이저 벡터 방정식 중 잘못 표현된 것은? (단, HS는 자계, ES는 전계이다.)
     1. ▽ × HS = (σ+jwε)ES
     2. ▽ · ES = 0
     3. ▽ · HS = 0
     4. ▽ × ES = jwμHS

     정답 : []
     정답률 : 60%

24. 구(球)의 전하가 5×10-6C일 때, 구 중심에서 3m 떨어진 구 외부 한 점의 전위(V)는? (단, εs=1이다.)
     1. 10×103
     2. 15×103
     3. 20×103
     4. 25×103

     정답 : []
     정답률 : 79%

25. 유전체내의 전속밀도를 정하는 원천은?
     1. 진전하만이다.
     2. 분극전하만이다.
     3. 유전체와 유전율이다.
     4. 진전하와 분극전하이다.

     정답 : []
     정답률 : 64%

26. 전위 V가 x만의 함수이며, x=0에서 V=100V, Ex=100V/m일 때 전위(V)를 나타내는 식은?
     1. -100x + 100
     2. 100x + 100
     3. 100x - 100
     4. -100x - 100

     정답 : []
     정답률 : 62%

27. 자기회로의 자기저항이 일정할 때 코일의 권수를 1/2로 줄이면 자기인덕턴스는 어떻게 되는가?
     1. 로 줄어든다.
     2. 1/2로 줄어든다.
     3. 1/4로 줄어든다.
     4. 1/8로 줄어든다.

     정답 : []
     정답률 : 73%

28. 정전용량이 C인 콘덴서에서 극판사이의 비유전율이 2인 유전체를 제거하고 공기로 채운 경우 그 때의 용량을 C0라고 하면, C와 C0의 관계는?
     1. C=2C0
     2. C=4C0
     3. C=C0/4
     4. C=C0/2

     정답 : []
     정답률 : 70%

29. B=0.2ax-0.3ay+0.5azWb/m2인 자계 내에서 ax방향으로 106m/s인 속도로 운동하고 있는 한개의 전자가 있다. 이때 어떤 전계가 작용하면 전자에 작용하는 전체 힘이 영(zero)이 되는가?
     1. (5ay+3az)×105
     2. (3ay+5az)×105
     3. (5az+3az)×105
     4. (5ax+3az)×105

     정답 : []
     정답률 : 59%

30. 무한장 솔레노이드에 전류가 흐를 때 발생되는 자계에 관한 설명 중 옳은 것은?
     1. 내부 자계의 세기는 0이다.
     2. 내부 자계는 평등 자장이다.
     3. 외부 자계는 누설자속이 있다.
     4. 외부와 내부 자계의 세기는 같다.

     정답 : []
     정답률 : 53%

31. 무한히 긴 전송 회로의 반사계수는?
     1. 0
     2. 0.2
     3. 0.3
     4. 1

     정답 : []
     정답률 : 77%

32. RLC 병렬회로에서 공진주파수 이 될 때 전체 어드미턴스(Y)의 크기와 회로 전체 전류(I)는 각각 어떻게 되는가? (단, 코일의 내부저항은 무시한다.)
     1. Y = 최소, I = 최소
     2. Y = 최소, I = 최대
     3. Y = 최대, I = 최소
     4. Y = 최대, I = 최대

     정답 : []
     정답률 : 60%

33. 4단자 회로망에서 1차 단자 입력 개방 역방향 전달 임피던스를 나타내는 Z 파라미터의 표현으로 옳은 것은?
     1. Z11
     2. Z12
     3. Z21
     4. Z22

     정답 : []
     정답률 : 67%

34. 다음 함수에서 최종치 값은 얼마인가?

    

     1. 0
     2. 0.5
     3. 1
     4. 5

     정답 : []
     정답률 : 64%
     <문제 해설>
초기값일 경우 답은'1'이 되고
최종값일 경우 답은'0.5'가 됩니다.

35. 그림 (B)는 그림 (A)를 노턴의 등가회로로 나타낸 것이다. Is[A]와 Vab[V]를 올바르게 나타낸 것은?

    

     1. Is = 1, Vab = 1
     2. Is = 2, Vab = 2
     3. Is = 10, Vab = 10
     4. Is = 5, Vab = 5

     정답 : []
     정답률 : 72%

36. 단위 임펄스 δ(t)의 라플라스 변환은?
     1. 1
     2. S
     3. 1/S
     4. 0

     정답 : []
     정답률 : 67%

37. R-L 직렬회로에서 R=20Ω, L=40mH인 경우 이 회로의 시정수는?
     1. 1ms
     2. 2ms
     3. 4ms
     4. 8ms

     정답 : []
     정답률 : 76%
     <문제 해설>
RL 직렬 회로 τ = L / R
τ = 40m / 20 = 2ms
[해설작성자 : 전자전자]

38. 그림과 같은 이상 변압기에서 1차 전압 V1=100V일 때, 2차 전압 V2=12V가 되도록 1차 코일 수를 n1=200회로 하였다. 2차 코일의 수 n2는?

    

     1. 10회
     2. 12회
     3. 20회
     4. 24회

     정답 : []
     정답률 : 82%

39. 60Hz, 100V의 교류 전압을 200Ω 전구에 인가할때 소비되는 평균 전력은 몇 W 인가?
     1. 5
     2. 15
     3. 50
     4. 60

     정답 : []
     정답률 : 62%

40. 어떤 회로에 전압을 가하니 90° 위상이 앞선 전류가 흘렀을 경우 이 회로의 어떠한 부분 때문인가?
     1. 저항성 부하
     2. 유도성 부하
     3. 용량성 부하
     4. 무유도성 부하

     정답 : []
     정답률 : 63%

3과목 : 전자계산기일반


41. 컴퓨터의 처리방식 중 데이터 처리요구가 들어오는 즉시 처리하는 방식은?
     1. Time sharing 처리
     2. Batch 처리
     3. Real-time 처리
     4. Off-line 처리

     정답 : []
     정답률 : 81%

42. ASCⅡ 코드의 구성으로 옳은 것은?
     1. 4개의 존(zone)비트, 3개의 디지트(digit)비트
     2. 3개의 존(zone)비트, 4개의 디지트(digit)비트
     3. 2개의 존(zone)비트, 5개의 디지트(digit)비트
     4. 5개의 존(zone)비트, 5개의 디지트(digit)비트

     정답 : []
     정답률 : 75%

43. 컴퓨터 내부회로를 bus line으로 구성하는 가장 큰 목적은?
     1. 레지스터의 수를 줄이기 위하여
     2. speed를 향상시키기 위하여
     3. 정확한 전송을 위하여
     4. 내부의 연결수를 줄이기 위하여

     정답 : []
     정답률 : 68%

44. 11001110과 10101000을 AND 연산하면?
     1. 11001110
     2. 10101011
     3. 11101111
     4. 10001000

     정답 : []
     정답률 : 76%

45. 컴퓨터 설계 단계에서부터 이미 할당되어 있는 주소는?
     1. base address
     2. absolute address
     3. direct address
     4. indirect address

     정답 : []
     정답률 : 76%

46. DMA 동작에서 CPU는 주변장치와 DMA의 상태를 조사하여 만족스러운 상태에 있으면 입・출력 통신선을 통하여 정보를 보내는데 이 정보에 해당되지 않는 것은?
     1. 출력을 위한 데이터가 저장된 메모리 블록의 시작번지
     2. 데이터가 입력될 메모리 블록의 시작번지
     3. 메모리 블록내의 워드의 수
     4. DMA 전송을 위한 프로그램의 시작번지

     정답 : []
     정답률 : 55%

47. address line이 16개인 CPU의 직접액세스가 가능한 메모리 공간은 몇 KByte 인가?
     1. 16
     2. 32
     3. 48
     4. 64

     정답 : []
     정답률 : 69%
     <문제 해설>
2^16 = 65536[Byte] ≒ 64[KByte]
[해설작성자 : 그랑죠]

48. 중앙처리장치 내부의 순간순간의 상태(PC, Condition Code, Interrupt Code 및 다른 상태)에 관한 정보를 포함하고 있는 것을 무엇이라 하는가?
     1. Interrupt
     2. Machine Check
     3. PSW
     4. SVC

     정답 : []
     정답률 : 66%

49. 부호를 고려하지 않은 양의 수에 대한 산술적 시프트를 한 경우에 대한 설명 중 틀린 것은?
     1. 시프트시 새로 들어오는 비트는 0이다.
     2. 왼쪽으로 1번 시프트 하면 2배 한 것과 같다.
     3. 오른쪽으로 1번 시프트 하면 2로 나눈 것과 같다.
     4. 왼쪽으로 시프트시 밀려나는 비트가 1이면 절단현상이 발생한다.

     정답 : []
     정답률 : 74%

50. 디스크 장치로 입·출력할 경우 컴퓨터 내부에서 실질적으로 발생하는 입・출력 단위는?
     1. 논리적 레코드
     2. 물리적 레코드
     3. 아이템
     4. 파일

     정답 : []
     정답률 : 73%

51. 기억 장치가 1024word로 구성되고 word는 16bit로 이루어 질 때 PC, MAR, MBR의 각 비트 수를 순서대로 바르게 나타낸 것은?
     1. 16, 10, 10
     2. 10, 10, 16
     3. 10, 16, 16
     4. 16, 16, 10

     정답 : []
     정답률 : 69%

52. 기억기능은 없이 특정 기능을 수행할 수 있도록 게이트를 조합한 논리 회로는?
     1. 순서 논리 회로
     2. 조합 논리 회로
     3. 메모리 논리 회로
     4. 단순 논리 회로

     정답 : []
     정답률 : 75%

53. 스택 구조의 컴퓨터에서 메모리에 아이템을 넣는 마이크로동작은?
     1. PUSH
     2. POP
     3. INFIX
     4. PREFIX

     정답 : []
     정답률 : 78%

54. 포인터(pointer)에 의하여 연결된 리스트를 무엇이라 하는가?
     1. Sequence list
     2. Dense list
     3. Linked list
     4. Linear list

     정답 : []
     정답률 : 83%

55. 다음 그림과 같은 파형 AB가 AND gate를 통과했을 때의 출력 파형은?

    

     1.
     2.
     3.
     4.

     정답 : []
     정답률 : 81%

56. 프로그램 카운터가 명령의 주소 번지 부분과 더해져서 유효번지가 결정되는 주소 지정 방식은?
     1. 상대 번지 모드(Relative address mode)
     2. 간접 번지 모드(Indirect address mode)
     3. 인덱스드 어드레싱 모드(Indexed addressingmode)
     4. 베이스 레지스터 어드레싱 모드(Base register Addressing mode)

     정답 : []
     정답률 : 60%

57. 자기디스크의 CAV(constant angular velocity:등각속도) 방식에 대한 설명으로 옳지 않은 것은?
     1. 일정한 속도로 회전하는 상태에서도 데이터를 동일한 비율로 액세스할 수 있다.
     2. 트랙의 저장 밀도는 모두 같다.
     3. 회전 구동장치가 간단하다.
     4. 모든 트랙에 저장되는 데이터 비트 수는 같다.

     정답 : []
     정답률 : 53%

58. 명령어의 연산자 코드가 8비트, 오퍼랜드가 10비트 일 때, 이 명령어로 최대 몇 가지 연산을 수행할 수 있는가?
     1. 8
     2. 18
     3. 256
     4. 1024

     정답 : []
     정답률 : 73%

59. 주소(address) 지정방식이 아닌 것은?
     1. 직접 어드레싱(direct addressing)
     2. 즉시 어드레싱(immediate addressing)
     3. 간접 어드레싱(indirect addressing)
     4. 임시 어드레싱(temporary addressing)

     정답 : []
     정답률 : 76%

60. 컴퓨터의 연산기가 수행할 수 있는 연산 중 논리 연산이 아닌 것은?
     1. AND
     2. OR
     3. NOT
     4. MOVE

     정답 : []
     정답률 : 83%

61. 다음 중 주파수의 성질 중 틀린 것은?
     1. 주파수는 파장과 비례한다.
     2. 빛의 파장에 따라 적외선, 가시광선, 자외선으로 나눌 수 있다.
     3. 가시광선은 눈으로 볼 수 있는 빛의 영역이다.
     4. 보라색 가시광선 영역보다 주파수가 높고 파장이 짧은 영역은 자외선으로 분류된다.

     정답 : []
     정답률 : 71%

62. 다음과 같은 회로에서 출력파형 eo는?

    

     1.
     2.
     3.
     4.

     정답 : []
     정답률 : 62%

63. 아날로그형의 회로 시험기나 전압계 등에 이용하는 방법으로 측정량에 따라 지침이 이동되어 지시되는 측정법은?
     1. 영위법
     2. 비교측정
     3. 편위법
     4. 절대측정

     정답 : []
     정답률 : 60%

64. 오실로스코프를 사용하여 교류 전압 파형을 나타낼 때 교류 파형의 진폭은 어떤 값으로 나타내는가?
     1. 실효치
     2. 평균치
     3. 피크치
     4. 절대치

     정답 : []
     정답률 : 70%

65. 다음 중 가장 높은 주파수를 측정할 수 있는 것은?
     1. 딥 미터
     2. 진동편형 주파수계
     3. 흡수형 주파수계
     4. 동축형 주파수계

     정답 : []
     정답률 : 66%

66. 오실로스코프 진폭 변조편을 측정하여 다음과 같은 파형을 얻었을 경우, 최대치 (A)는 40mm로 하고 변조도(M)은 80%로 하기 위한 최소치 B의 크기는 약 몇 mm 인가?

    

     1. 1.5
     2. 2.3
     3. 3.3
     4. 4.4

     정답 : []
     정답률 : 62%

67. 디지털 전압계의 기본 원리를 나타낸 그림이다. ㉠에 해당하는 것은?

    

     1. A/D 변환기
     2. LCD
     3. FND
     4. 감쇄기

     정답 : []
     정답률 : 82%

68. 트랜지스터의 정특성 측정방법으로 틀린 것은?
     1. 이미터 접지의 전류 증폭률은 Vc를 일정하게 유지하면서 측정한다.
     2. 출력 어드미턴스는 Vc를 일정하게 유지하면서 측정한다.
     3. PNP 또는 NPN 트랜지스터의 타입에 따라 전원의 극성이 다르다.
     4. 입력저항은 Vc를 일정하게 유지하면서 측정한다.

     정답 : []
     정답률 : 56%

69. 저주파 발진기 중 파형 변형이 적고 진폭이 안정되며 주파수 가변이 용이한 것은?
     1. 톱니파 발진기
     2. 윈 브리지 발진기
     3. 레헤르선 발진기
     4. 비트(Beat) 발진기

     정답 : []
     정답률 : 66%

70. 다음 중 소인 신호발진기의 구성부가 아닌 것은?
     1. 리액턴스 관
     2. 진폭 제한기
     3. 톱니파 발진기
     4. 주파수 변별기

     정답 : []
     정답률 : 63%

71. 과도한 전류가 흘렀을 때 발생하는 열로 녹는점이 낮은 몸통이 끊어져 회로가 끊어지는 원리를 이용한 것은?
     1. 퓨즈
     2. 다리미
     3. 전기장판
     4. 전기밥솥

     정답 : []
     정답률 : 85%

72. 다음 그림은 오실로스코프 위상을 측정하는 그림이다. 출력 파형이 그림과 같은 리사주 도형일 때 위상 계산식으로 옳은 것은?

    

     1.
     2.
     3.
     4.

     정답 : []
     정답률 : 72%

73. 가동 철편형 계기의 특정으로 틀린 것은?
     1. 대부분 직류 전용 측정 계기로 사용된다.
     2. 구조가 비교적 간단하고, 가격이 저렴하다.
     3. 감도가 높은 것은 제작하기 곤란하고, 오차가 비교적 많다.
     4. 외부 자계의 영향을 받기 쉽다.

     정답 : []
     정답률 : 49%
     <문제 해설>
가동철편형 계기는 대부분 전류용으로 사용하는 거 맞습니다
[해설작성자 : 계측]

아래와 같은 오류 신고가 있었습니다.
여러분들의 많은 의견 부탁 드립니다.
추후 여러분들의 의견을 반영하여 정답을 수정하도록 하겠습니다.
참고로 정답 변경은 오류 신고 5회 이상일 경우 수정합니다.

[오류 신고 내용]
대부분 전류용이아니라 대부분 교류형을 사용합니다
[해설작성자 : 웆]

74. 구형파 전류를 전류력계형 전류계로 측정하였더니 8A를 지시하였다. 이 전류를 가동코일형 계기로 측정하면 약 몇 A 인가? (단, 반파 정류한 것으로 가정한다.)
     1. 1
     2. 5.6
     3. 2
     4. 2.8

     정답 : []
     정답률 : 59%
     <문제 해설>
전류력계형 : 직류값, 교류실효값 측정
가동코일형 : 직류값, 교류평균값 측정

전류력계로 8A 이므로 Irms = 8A
반파 구형파이므로 Im = 8*1.414
평균값 = Im / 2 = 5.6
[해설작성자 : 전자전자]

75. 90KΩ 저항의 소비전력이 9W 이하가 되려면 전류는 최대 몇 mA 이하로 제한해야 하는가?
     1. 0.1
     2. 1
     3. 10
     4. 100

     정답 : []
     정답률 : 55%

76. 초단파대에서 사용되는 감쇠기는?
     1. 저항 감쇠기
     2. 기계적 감쇠기
     3. 리액턴스 감쇠기
     4. L형 감쇠기

     정답 : []
     정답률 : 58%

77. 코일의 인덕턴스를 측정하는데 사용되는 브리지는?
     1. 윈 브리지
     2. 맥스웰 브리지
     3. 휘스톤 브리지
     4. 코올라우시 브리지

     정답 : []
     정답률 : 67%

78. 다음 중 소인 발진기를 사용할 때 주파수 특성을 관측하기 위하여 병행 사용하는 계기는?
     1. 고주파 발진기
     2. 감쇠기
     3. 진공관 전압계
     4. 오실로스코프

     정답 : []
     정답률 : 81%

79. 지시계기의 종류 중 전력계로 이용되는 것은?
     1. 가동코일형
     2. 정전형
     3. 가동철편형
     4. 전류력계형

     정답 : []
     정답률 : 72%

80. 디지털 계측기에 관한 설명 중 틀린 것은?
     1. 정도가 높은 측정이 가능하다.
     2. 측정이 매우 쉽고, 신속히 이루어진다.
     3. 잡음에 덜 민감하며, 측정 정도를 낮출 수 있다.
     4. 측정값을 읽을 때 개인적 오차가 발생하지 않는다.

     정답 : []
     정답률 : 69%


정 답 지

1

2

3

4

5

6

7

8

9

10

11

12

13

14

15

16

17

18

19

20

21

22

23

24

25

26

27

28

29

30

31

32

33

34

35

36

37

38

39

40

41

42

43

44

45

46

47

48

49

50

51

52

53

54

55

56

57

58

59

60

61

62

63

64

65

66

67

68

69

70

71

72

73

74

75

76

77

78

79

80

전자산업기사 필기 기출문제(해설) 및 CBT 2017년05월07일을 이용해 주셔서 감사합니다.
전자, 산업기사, 전자산업기사, 필기, 기출문제, 전자문제집, CBT, 온라인, 모의테스트, 모의고사



List of Articles
번호 제목 글쓴이 날짜 조회 수
3429 전자산업기사 필기 기출문제(해설) 및 CBT 2012년03월04일(6586) new 좋은아빠되기 2025.10.07 0
3428 전자산업기사 필기 기출문제(해설) 및 CBT 2012년05월20일(6587) new 좋은아빠되기 2025.10.07 0
3427 전자산업기사 필기 기출문제(해설) 및 CBT 2012년09월15일(6588) new 좋은아빠되기 2025.10.07 0
3426 전자산업기사 필기 기출문제(해설) 및 CBT 2013년03월10일(6589) new 좋은아빠되기 2025.10.07 0
3425 전자산업기사 필기 기출문제(해설) 및 CBT 2013년06월02일(6590) new 좋은아빠되기 2025.10.07 0
3424 전자산업기사 필기 기출문제(해설) 및 CBT 2013년09월28일(6591) new 좋은아빠되기 2025.10.07 0
3423 전자산업기사 필기 기출문제(해설) 및 CBT 2014년03월09일(6592) new 좋은아빠되기 2025.10.07 0
3422 전자산업기사 필기 기출문제(해설) 및 CBT 2014년07월20일(6593) new 좋은아빠되기 2025.10.07 1
3421 전자산업기사 필기 기출문제(해설) 및 CBT 2014년09월20일(6594) new 좋은아빠되기 2025.10.07 1
3420 전자산업기사 필기 기출문제(해설) 및 CBT 2015년03월08일(6595) new 좋은아빠되기 2025.10.07 0
3419 전자산업기사 필기 기출문제(해설) 및 CBT 2015년05월31일(6596) new 좋은아빠되기 2025.10.07 0
3418 전자산업기사 필기 기출문제(해설) 및 CBT 2015년09월19일(6597) new 좋은아빠되기 2025.10.07 0
3417 전자산업기사 필기 기출문제(해설) 및 CBT 2016년03월06일(6598) new 좋은아빠되기 2025.10.07 0
3416 전자산업기사 필기 기출문제(해설) 및 CBT 2016년05월08일(6599) new 좋은아빠되기 2025.10.07 0
3415 전자산업기사 필기 기출문제(해설) 및 CBT 2016년10월01일(6600) new 좋은아빠되기 2025.10.07 0
3414 전자산업기사 필기 기출문제(해설) 및 CBT 2017년03월05일(6601) new 좋은아빠되기 2025.10.07 0
» 전자산업기사 필기 기출문제(해설) 및 CBT 2017년05월07일(6602) new 좋은아빠되기 2025.10.07 0
3412 전자산업기사 필기 기출문제(해설) 및 CBT 2017년09월23일(6603) new 좋은아빠되기 2025.10.07 0
3411 전자산업기사 필기 기출문제(해설) 및 CBT 2018년03월04일(6604) new 좋은아빠되기 2025.10.07 0
3410 전자산업기사 필기 기출문제(해설) 및 CBT 2018년04월28일(6605) new 좋은아빠되기 2025.10.07 0
Board Pagination Prev 1 ... 310 311 312 313 314 315 316 317 318 319 ... 486 Next
/ 486