자격증 필기 기출문제



토목기사 필기 기출문제(해설) 및 CBT 2008년09월07일(6655)

최강 자격증 기출문제 전자문제집 CBT : www.comcbt.com


전자문제집 CBT란?

종이 문제집이 아닌 인터넷으로 문제를 풀고 자동으로 채점하며 모의고사, 오답 노트, 해설까지 제공하는
무료 기출문제 학습 프로그램으로 실제 상설검정에서 사용하는 OMR 형식의 CBT를 제공합니다.


최신 토목기사 필기 기출문제 : [다운로드]

1과목 : 응용역학


1. 그림과 같은 반경이 r인 반원 아치에서 ND 점의 축방향력의 크기는 얼마인가?

   

     1.
     2.
     3.
     4.

     정답 : []
     정답률 : 60%

2. 수직응력 σx = 10kg/cm2, σy = 20kg/cm2와 전단응력 τxy = 5kg/cm2을 받고 있는 아래 그림과 같은 평면응력 요소의 최대 주응력을 구하면?

   

     1. 22.1kg/cm2
     2. 23.1kg/cm2
     3. 24.1kg/cm2
     4. 25.1kg/cm2

     정답 : []
     정답률 : 65%

3. 길이 50mm, 지름 10mm의 강봉을 당겼더니 5mm 늘어났다면 지름의 줄어든 값은 얼마인가? (단, 포와송비 ʋ = 1/3이다.)
     1. 1/3mm
     2. 1/4mm
     3. 1/5mm
     4. 1/6mm

     정답 : []
     정답률 : 67%

4. 길이가 6m인 양단힌지 기둥은 I-250×125×10×19(단위:mm) 의 단면으로 세워졌다. 이 기둥이 좌굴에 대해서 지지하는 임계하중(critical load)은 얼마인가? (단, 주어진 I-형강의 I1과 I2는 각각 7340cm4과 560cm4이며, 탄성계수 E = 2×106kg/cm2이다.)

   

     1. 30.7 t
     2. 42.6 t
     3. 307 t
     4. 402.5 t

     정답 : []
     정답률 : 68%

5. 다음 그림과 같이 강선 A와 B가 서로 평형상태를 이루고 있다. 이때 각도 θ의 값은?

   

     1. 47.2°
     2. 32.6°
     3. 28.4°
     4. 17.8°

     정답 : []
     정답률 : 75%

6. 정사각형의 목재 기둥에서 길이가 5m라면 세장비가 100이되기 위한 기둥단면 한 변의 길이로서 옳은 것은?
     1. 8.66 cm
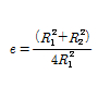
     2. 10.38 cm
     3. 15.82 cm
     4. 17.32 cm

     정답 : []
     정답률 : 59%

7. 다음 그림과 같은 단면을 가지는 단순보에서 전단력에 안전하도록 하기 위한 지간 L은? (단, 허용전단응력은 7kg/cm2이다.)

   

     1. 450cm
     2. 440cm
     3. 430cm
     4. 420cm

     정답 : []
     정답률 : 32%

8. 그림과 같은 3힌지 라멘의 휨모멘트선도(BMD)는?

   

     1.
     2.
     3.
     4.

     정답 : []
     정답률 : 84%

9. 다음 그림에서 A-A 축과 B-B 축에 대한 빗금부분의 단면 2차 모멘트가 각각 80000cm4, 160000cm4일 때 빗금 부분의 면적은 얼마가 되는가?

   

     1. 800cm2
     2. 606cm2
     3. 806cm2
     4. 700cm2

     정답 : []
     정답률 : 69%

10. 그림의 보에서 지점 B의 휨모멘트는? (단, EI는 일정하다.)

    

     1. -6.75 tㆍm
     2. -9.75 tㆍm
     3. -12 tㆍm
     4. -16.5 tㆍm

     정답 : []
     정답률 : 62%

11. 다음 그림과 같이 A지점이 고정이고 B지점이 힌지(hinge)인 부정정 보가 어떤 요인에 의하여 B지점이 B'의 지점반력은?

    

     1.
     2.
     3.
     4.

     정답 : []
     정답률 : 67%

12. 단순보에 그림과 같이 하중이 작용시 C점에서의 모멘트값은?

    

     1.
     2.
     3.
     4.

     정답 : []
     정답률 : 51%

13. 다음 그림과 같은 단순보 형식의 정정라멘에서 F점의 휨모멘트 MF값은 얼마인가?

    

     1. 28.6 tㆍm
     2. 21.6 tㆍm
     3. 12.6 tㆍm
     4. 18.6 tㆍm

     정답 : []
     정답률 : 42%

14. 내민보를 갖는 단순 지지보에 C점에서 휨 모멘트는?

    

     1. 60 tㆍm
     2. 15 tㆍm
     3. 12.5 tㆍm
     4. 0 tㆍm

     정답 : []
     정답률 : 65%

15. 다음과 같이 1변이 a인 정사각형 단면의 1/4 을 절취한 나머지 부분의 도심위치 는?

    

     1.
     2.
     3.
     4.

     정답 : []
     정답률 : 40%

16. 그림과 같은 트러스에서 A점에 연직하중 P가 작용할때 A 점의 연직처짐은?

    

     1.
     2.
     3.
     4.

     정답 : []
     정답률 : 69%

17. 그림의 트러스에서 연직 부재 V의 부재력은?

    

     1. 10t (인장)
     2. 10t (압축)
     3. 5t (인장)
     4. 5t (압축)

     정답 : []
     정답률 : 73%

18. 그림과 같은 보의 C점의 연직처짐은?

    

     1. 1.525 cm
     2. 1.875 cm
     3. 2.525 cm
     4. 3.125 cm

     정답 : []
     정답률 : 37%
     <문제 해설>
아래와 같은 오류 신고가 있었습니다.
여러분들의 많은 의견 부탁 드립니다.
추후 여러분들의 의견을 반영하여 정답을 수정하도록 하겠습니다.
참고로 정답 변경은 오류 신고 5회 이상일 경우 수정합니다.

[오류 신고 내용]
EI 값이 없음

[관리자 입니다.
다른 문제집 확인 가능한분 계시면 확인 부탁 드립니다.
신고시 출판사명까지 기제 부탁 드립니다.]

19. 그림과 같은 I형 단면의 최대전단응력은? (단, 작용하는 전단력은 4000kg 이다.)

    

     1. 897.2 kg/cm2
     2. 1065.4 kg/cm2
     3. 1299.1 kg/cm2
     4. 1444.4 kg/cm2

     정답 : []
     정답률 : 63%

20. 다음의 단순보에서 A점의 반력이 B점의 반력의 3배가 되기 위한 거리 x는 얼마인가?

    

     1. 3.75m
     2. 5.04m
     3. 6.06m
     4. 6.66m

     정답 : []
     정답률 : 67%

2과목 : 측량학


21. 삼각측량과 삼변측량에 대한 설명으로 틀린 것은?
     1. 삼변측량은 변 길이를 관측하여 삼각점의 위치를 구하는 측량이다.
     2. 삼각측량의 삼각망 중 가장 정확도가 높은 망은 사변형 삼각망이다.
     3. 삼각점의 선점시 기계나 측표가 동요할 수 있는 습지나 하상은 피한다.
     4. 삼각점의 등급을 정하는 주된 목적은 표석설치를 편리하게 하기 위함이다.

     정답 : []
     정답률 : 56%

22. 축척이 1:600인 지도상에서 면적을 1:500 축척인 것으로 측정하여 38.675m2을 얻었다. 실제면적은 얼마인가?
     1. 26.858m2
     2. 32.274m2
     3. 47.495m2
     4. 55.692m2

     정답 : []
     정답률 : 62%

23. 다음 중에서 고속도로에 주로 사용되는 곡선의 종류가 아닌 것은?
     1. 클로소이드
     2. 원곡선
     3. 2차포물선
     4. 3차포물선

     정답 : []
     정답률 : 46%

24. 측지삼각측량과 평면삼각측량 사이에 생기는 구과량에 대한 설명을 옳지 않은 것은?
     1. 거리측량의 정도를 1/106로 할 때 380km2이내에서는 구과량에 대한 보정이 필요 없다.
     2. n 다각형의 구과량은 180° (n-2)보다 크거나 작은 양이 구과량이 된다.
     3. 구면 삼각형에 대한 구과량은 ε는 ε = [(구면 삼각형의 면적)/(지구의 곡률반경)2× p로 구할 수 있다.
     4. 비교적 좁은 범위 내에서는 구과량을 3등분하여 구면삼각형의 각 내각에 보정함으로써 평면 삼각형으로 보고 계산할 수 있다.

     정답 : []
     정답률 : 27%

25. 도로설계에서 상향 종단 기울기 3%, 하향 종단 기울기 4%인 종단면에 종단 곡선을 2차포물선으로 설치할 때 시점으로부터 장현을 따라 50m인 지점의 절토고(y:종거)는 얼마인가? (단, 종단 곡선 거리 l = 180m)
     1. 0.436m
     2. 0.486m
     3. 1.138m
     4. 1.575m

     정답 : []
     정답률 : 36%

26. 교각(I) = 52° 50′, 곡선반경(R) = 300m인 기본형 대칭 클로소이드를 설치할 경우 클로소이드의 시점과 교점(I.P)간의 거리(D)는 얼마인가? (단, 원곡선의 중심(M)의 X 좌표(XM) = 37.480m, 이정량(△R) = 0.781m 이다.)
     1. 148.03m
     2. 149.42m
     3. 185.51m
     4. 186.90m

     정답 : []
     정답률 : 28%

27. A점에서 관측을 시작하여 A점으로 폐합시킨 폐합 트래 버스 측량에서 다음과 같은 측량결과를 얻었다. 이때 측선 BC의 배횡거는?

    

     1. 0 m
     2. 25.6 m
     3. 57.8 m
     4. 83.4 m

     정답 : []
     정답률 : 62%
     <문제 해설>
AB배횡거 = AB경거 = 25.6
BC배횡거 = AB배횡거 + AB경거 + BC경거 = 25.6 + 25.6 + 32.2 =. 3.4
[해설작성자 : 건대토목머신]

28. 10km×10km인 정방형의 지역을 항공사진 촬영하고자 할 때 필요한 사진 매수는? (단, 간이 계산법에 의하며, 사진축척 1:10000, 사진크기 23cm× 23cm, 종중복도 60%, 횡중복도 30%, 안전율은 고려하지 않음)(관련 규정 개정전 문제로 여기서는 기존 정답인 3번을 누르면 정답 처리됩니다. 자세한 내용은 해설을 참고하세요.)
     1. 60 매
     2. 65 매
     3. 68 매
     4. 71 매

     정답 : []
     정답률 : 62%
     <문제 해설>
항공 사진 문제는 시험 범위에서 제외되었습니다.

29. 교점(I.P)의 위치가 기점으로부터 400m, 곡선 반지름 R = 200m, 교각 I = 90° 인 원곡선에서 기점으로부터 곡선 시점(B.C)의 추가거리는?
     1. 180 m
     2. 190 m
     3. 200 m
     4. 600 m

     정답 : []
     정답률 : 62%

30. 축척 1/10000, 종중복도 60%인 항공사진을 180km/h로 촬영할 경우 허용흔들림양을 사진상에서 0.02m로 한다면 최장노출시간(T)은? (단, 사진의 크기는 23cm×23cm임)(관련 규정 개정전 문제로 여기서는 기존 정답인 3번을 누르면 정답 처리됩니다. 자세한 내용은 해설을 참고하세요.)
     1. 0.001 sec
     2. 0.002 sec
     3. 0.004 sec
     4. 0.008 sec

     정답 : []
     정답률 : 55%
     <문제 해설>
사진측량 관련 문제는 2022년 부터 시험 범위에서 제외 되었습니다.

31. 범지구측위체계(GPS)를 이용한 측량의 특징으로 옳지 않은 것은?
     1. 3차원 공간 계측이 가능하다.
     2. 기상의 영향을 거의 받지 않으며 야간에도 측량이 가능하다.
     3. Bessel 타원체에 기반한 경위도 좌표정보를 수집함으로 좌표정밀도가 높다.
     4. 기선 결정의 경우 두 측점 간의 시통에 관계가 없다.

     정답 : []
     정답률 : 57%

32. 단일환의 수준망에서 관측결과로 생긴 폐합오차를 보정하는 방법으로 옳은 것은?
     1. 모든 점에 등배분한다.
     2. 출발 기준점으로부터 거리에 비례하여 배분한다.
     3. 출발 기준점으로부터의 거리에 반비례하여 배분한다.
     4. 각 점의 표고 값 크기에 비례하여 배분한다.

     정답 : []
     정답률 : 37%

33. 1600m2의 정사각형 토지면적을 0.5m2까지 정확하게 구하기 위해서 필요한 변길이의 최대 허용 오차는?
     1. 6mm
     2. 8mm
     3. 10mm
     4. 12mm

     정답 : []
     정답률 : 48%

34. 지오이드(Geoid)에 대한 설명 중 옳지 않은 것은?
     1. 평균해수면을 육지까지 연장한 가상적인 곡면을 지오이드라 하며 이것은 지구타원체와 일치한다.
     2. 지오이드는 중력장이 등포텐셀면으로 볼 수 있다.
     3. 실제로 지오이드면은 굴곡이 심하므로 측지 지량의 기준으로 채택하기 어렵다.
     4. 지구타원체의 법선과 지오이드의 법선 간의 차이를 연직선 편차라 한다.

     정답 : []
     정답률 : 59%

35. 외심오차가 0.2mm일 때 앨리데이드 자의 가장자리와 시준선 사이의 간격이 20mm이고 제도오차가 0.2mm 허용된다면 평판의 중심맞추기 오차(편심거리)는 최대 얼마까지 허용 할 수 있는가?
     1. 1 cm
     2. 2 cm
     3. 3 cm
     4. 4 cm

     정답 : []
     정답률 : 23%

36. 직접고저측량을 실시한 결과가 그림과 같을 때, A점의 표고가 10m라면 C점의 표고는?

    

     1. 9.57 m
     2. 9.66 m
     3. 10.57 m
     4. 10.66 m

     정답 : []
     정답률 : 72%

37. U.T.M 좌표에 대한 설명으로 옳은 것은?
     1. 중앙자오선에서의 축척계수는 0.9996 이다.
     2. 좌표계의 간격(Zone 간격)은 경도 3° 씩이다.
     3. 종 좌표(N)의 원점은 위도 38° 이다.
     4. 축척은 중앙자오선에서 멀어짐에 따라 작아진다.

     정답 : []
     정답률 : 37%

38. 폐합트래버스 측량에서 전체 측선 길이의 합이 900m일 때 폐합비를 1/5000 로 하기 위해서는 축척 1/600의 도면에서 폐합오차는 얼마까지 허용되는가?
     1. 0.2mm
     2. 0.25mm
     3. 0.3mm
     4. 0.35mm

     정답 : []
     정답률 : 46%

39. 항공삼각측량(aerial triangulation)에 대한 설명으로 옳은 것은?(관련 규정 개정전 문제로 여기서는 기존 정답인 2번을 누르면 정답 처리됩니다. 자세한 내용은 해설을 참고하세요.)
     1. 항공기에서 지상 목표물에 전자파를 송수신하여 지점의 좌표를 결정하는 기법
     2. 항공사진에서 입체도화기 및 정밀좌표관측기에 의하여 사진상에서 무수한 점들의 좌표를 관측한 다음, 소수의 지상기준점의 성과를 이용하여 관측된 무수한 점들의 좌표를 조정기법에 의하여 절대 좌표로 환산하여 내는 기법
     3. 시간과 공간의 제약을 받지 않고 관측 및 결과를 얻기 위하여 개발된 기법
     4. 항공사진과 같이 대상물체, 지역 또는 현상에 대한 정보를, 직접 접촉하지 않는 장비에 의해 수집된 자료를 분석하는 기법

     정답 : []
     정답률 : 62%
     <문제 해설>
사진측량 관련 문제는 2022년 부터 시험 범위에서 제외 되었습니다.

40. 1:25000 지도에서 등고선의 간격은?
     1. 주곡선 5m, 간곡선 2.5m, 조곡선 1.25m
     2. 주곡선 10m, 간곡선 5m, 조곡선 2.5m
     3. 주곡선 20m, 간곡선 10m, 조곡선 5m
     4. 주곡선 50m, 간곡선 25m, 조곡선 10m

     정답 : []
     정답률 : 59%

3과목 : 수리학 및 수문학


41. 수리수심(Hydraulic depth)을 가장 옳게 표현한 것은? (단, A는 유수단면적)
     1. 수심이 H 일 때 A/H 를 뜻한다.
     2. 윤변이 S 일 때 A/S 를 뜻한다.
     3. 수면폭이 B 일 때 A/B 를 뜻한다.
     4. 자유수면에서 수로바닥까지의 최대연직거리이다.

     정답 : []
     정답률 : 30%

42. “층류상태에서는 ( )이 ( )보다 크게 되어 난류성분은 유체의 ( )에 의해서 모두 소멸된다.” ( )안에 들어갈 적절한 말이 순서대로 바르게 짝지어진 것은?
     1. 관성력, 점성력, 관성
     2. 점성력, 관성력, 점성
     3. 점성력, 중력, 점성
     4. 중력, 점성력, 중력

     정답 : []
     정답률 : 44%

43. 다음 중 강수 결측 자료의 보완을 위한 추정 방법이 아닌 것은?
     1. 단순비례법
     2. 이중 누가우량 분석법
     3. 산술평균법
     4. 정상 연강수량 비율법

     정답 : []
     정답률 : 54%

44. 마찰손실계수(f)와 Reynolds 수(Re) 및 상대조도(ε/d)의 관계를 나타낸 Moody 도표에 대한 설명으로 옳지 않은 것은?
     1. 층류와 난류의 물리적 상이점은 f- Re 관계가 한계 Reynolds 수 부근에서 갑자기 변한다.
     2. 층류영역에서는 단일 직선이 관의 조도에 관계없이 적용된다.
     3. 난류영역에서는 f- Re 곡선은 상대조도(ε/d)에 따라 변하며 Reynolds 수 보다는 관의 조도가 더 중요한 변수가 된다.
     4. 완전 난류의 완전히 거치른 영역에서 f는 Re과 반비례하는 관계를 보인다.

     정답 : []
     정답률 : 45%

45. 수온 15℃에서 직경 0.5mm의 물방울이 있다. 물방울 내부의 압력이 대기압보다 6g/cm2만큼 크다면 이 경우의 표면장력의 크기는 얼마인가?
     1. 0.015g/cm
     2. 0.075g/cm
     3. 015g/cm
     4. 0.75g/cm

     정답 : []
     정답률 : 48%

46. DAD 곡선을 작성하는 순서가 옳은 것은?

    

     1. ①-③-②-④
     2. ②-①-④-③
     3. ③-②-①-④
     4. ④-③-②-①

     정답 : []
     정답률 : 50%

47. 폭이 넓은 직사각형 수로에서 배수곡선의 조건을 바르게 나타낸 항은? ( 단, I = 수로경사, Ie = 에너지경사, Fr = Rroude 수)
     1. i > Ie, Fr < 1
     2. i < Ie, Fr < 1
     3. i < Ie, Fr > 1
     4. i > Ie, Fr > 1

     정답 : []
     정답률 : 50%

48. 그림과 같은 직사각형 수문은 수심 d가 충분히 커지면 자동으로 열리게 되어 있다. 수문이 열릴 수 있는 수심은 최소 얼마를 초과하여야 하는가?

    

     1. 9m
     2. 10m
     3. 11m
     4. 12m

     정답 : []
     정답률 : 34%

49. 연직판이 4m/sec의 속도로 움직이고 있을 때 움직임과 반대방향에서 유량 Q = 1.5m3/sec, 유속 V = 2m/sec로 부딪치는 수맥에 의한 판이 받는 힘은?
     1. 1224kg
     2. 918kg
     3. 612kg
     4. 306kg

     정답 : []
     정답률 : 26%

50. 개수로에서 수리학적으로 유리한 단면의 조건에 해당되지 않는 것은? (단, H: 수심, R: 경심, P: 윤변, B: 수면폭, ℓ : 측벽의 경사거리, θ : 측벽의 경사)
     1. H를 반경으로 하는 반원에 외접
     2. R : 최대, P : 최소
     3. 직사각형 단면 : H = B/2, R = B/2
     4. 사다리꼴 단면 : ℓ = B/2, R = H/2, θ = 60°

     정답 : []
     정답률 : 46%

51. 지하수의 흐름에 대한 Darcy의 법칙은? (단, V = 유속, △h = 길이, △ℓ에 대한 손실수두, k = 투수계수이다.)
     1.
     2.
     3.
     4.

     정답 : []
     정답률 : 68%

52. 직경 1m의 원통 수조에서 직경 2cm의 관으로 물이 유출되고 있다. 관내의 유속이 2.0m/s일 때, 수조의 수면이 저하되는 속도는?
     1. 0.4cm/s
     2. 0.3cm/s
     3. 0.08cm/s
     4. 0.06cm/s

     정답 : []
     정답률 : 60%

53. 표고 20m인 저수지에서 물을 표고 50m인 지점까지 1.0m/sec의 물을 양수하는데 소요되는 펌프동력은? (단, 모든 손실수두의 합은 3.0m이며, 모든 관은 동일한 직경과 수리학적 특성을 지니고 펌프의 효율은 80%이다.)
     1. 248kw
     2. 330kw
     3. 405kw
     4. 650kw

     정답 : []
     정답률 : 56%

54. 다음 중 오리피스(orifice)에서 물이 분출할 때 일어나는 손실수두(△h)의 계산식이 아닌 것은?
     1.
     2.
     3.
     4.

     정답 : []
     정답률 : 40%

55. 자연하천에서 여러 가지 이유로 인하여 수위-수량관계 곡선은 loop형을 이루고 있다. 그 이유가 아닌 것은?
     1. 배수 및 저수효과
     2. 홍수시 수위의 급변화
     3. 하도의 인공적 변화
     4. 하천유량의 계절적 변화

     정답 : []
     정답률 : 29%

56. Dupuit의 침윤선 공식으로 옳은 것은? (단, q : 단위폭당의 유량, ℓ = 침윤선 길이, k = 투수계수)
     1.
     2.
     3.
     4.

     정답 : []
     정답률 : 54%

57. 단위유량도 이론의 가정에 대한 설명으로 옳지 않은 것은?
     1. 초과강우는 유효지속기간 동안에 일정한 강도를 가진다.
     2. 초과강우는 전 유역에 걸쳐서 균등하게 분포된다.
     3. 주어진 지속기간의 초과강우로부터 발생된 직접유출수문곡선의 기저시간은 일정하다.
     4. 동일한 기저시간을 가진 모든 직접유출수문곡선의 종거들은 각 수문곡선에 의하여 주어진 총 직접유출수문곡선에 반비례한다.

     정답 : []
     정답률 : 41%

58. 그림과 같은 관수로에서 에너지선(E.L)이 그림에 표시된 바와 같다면, 다음 설명 중 옳은 것은? (단, NB구간의 에너지선은 수평이다.)

    

     1. 물은 A 수조로부터 B, C 수조로 흐른다.
     2. 물은 A, B 수조로부터 C 수조로만 흐른다.
     3. 물은 A 수조로부터 C 수조로만 흐른다.
     4. 물은 A, C 수조로부터 B 수조로만 흐른다.

     정답 : []
     정답률 : 35%

59. 다음 증발에 대한 설명 중 옳지 않은 것은?
     1. 증발면으로부터 수분의 이동은 바람과 바람에 의한 흐트러짐이 중요한 역할을 한다.
     2. 증발산량은 엄격한 의미에서 소비수량과 같다.
     3. 증발산량은 증발량과 증산량의 합이다.
     4. 증발접시계수는 증발접시 증발량에 대한 저수지 증발량의 비이다.

     정답 : []
     정답률 : 38%

60. 다음 그림은 손실수두와 관속의 유속과의 관계를 나타내는 그림이다. 유속 Va 에 대한 설명으로 옳은 것은?

    

     1. 층류 → 난류로 변화하는 유속
     2. 난류 → 층류로 변화하는 유속
     3. 등류 → 부등류로 변화하는 유속
     4. 부등류 → 등류로 변화하는 유속

     정답 : []
     정답률 : 54%

4과목 : 철근콘크리트 및 강구조


61. 옹벽의 구조해석에 대한 설명으로 잘못된 것은?
     1. 부벽식 옹벽 저판은 정밀한 해석이 사용되지 않는 한, 부벽 간의 거리를 경간으로 가정한 고정보 또는 연속보로 설계할 수 있다.
     2. 저판의 뒷굽판은 정확한 방법이 사용되지 않는 한, 뒷굽판 상부에 재하되는 모든 하중을 지지하도록 설계하여야 한다.
     3. 캔틸레버식 옹벽의 추가철근은 저판에 지지된 캔틸레버로 설계할 수 있다.
     4. 뒷부벽식 옹벽의 뒷부벽은 직사각형보로 설계하여야 한다.

     정답 : []
     정답률 : 76%

62. 그림과 같은 지간 10m 인 직사각형 단면의 철근콘크리트보에 10kN/m의 등분포하중과 100kN의 집중하중이 작용할 때 최대 처짐을 구하기 위한 유효단면 2차모멘트는? (단, 철근을 무시한 콘크리트 전체 단면의 중심축에 대한 단면2차모멘트(Ig) = 6.5×10mm, 균열단면의 단면2차모멘트(Icr) = 5.65×10mm, 외력에 의해 단면에서 휨균열을 일으키는 휨모멘트(Mcr) = 140kNㆍm)

    

     1. 4.563×109mm4
     2. 5.694×109mm4
     3. 6.838×109mm4
     4. 7.284×109mm4

     정답 : []
     정답률 : 39%

63. 압축 이형철근의 겹침이음길이에 대한 설명으로 옳은 것은? (단, db는 철근의 공칭직경)
     1. 압축이형 철근의 기본정착길이(ldb)이상, 또한 200mm 이상으로 하여야 한다.
     2. fy가 500MPa 이하인 경우는 0.72fydb이상, fy가 500MPa을 초과할 경우는 (1.3ffy -24)db 이상이어야 한다.
     3. fy가 28MPa 미만인 경우는 규정된 겹침이음길이를 1/5 증가시켜야 한다.
     4. 서로 다른 크기의 철근을 압축부에서 겹침이음하는 경우, 이음길이는 크기가 큰 철근의 정착길이와 크기가 작은 철근의 겹침이음길이 중 큰 값 이상이어야 한다.

     정답 : []
     정답률 : 51%

64. 강도설계법의 설계 기본가정 중에서 옳지 않은 것은?
     1. 철근 및 콘크리트의 변형률은 중립축으로부터의 거리에 비례한다.
     2. 인장 측 연단에서 콘크리트의 극한 변형률은 0.003으로 가정한다.
     3. 콘크리트의 인장강도는 철근콘크리트 휨계산에서 무시한다.
     4. 철근의 변형률이 fy에 대응하는 변형률보다 큰 경우 철근의 응력은 변형률에 관계없이 fy로 한다.

     정답 : []
     정답률 : 41%

65. 그림과 같이 단순 지지된 2방향 슬래브에 등분포 하중 w가 작용할 때, ab 방향에 분배되는 하중은 얼마인가?

    

     1. 0.941w
     2. 0.059w
     3. 0.889w
     4. 0.111w

     정답 : []
     정답률 : 55%

66. 철근콘크리트 휨부재의 최소철근량에 대한 설명 중 틀린 것은?
     1. 보에서 철근량 As 중 작은 값 이상이 되어야 한다.
     2. 부재의 모든 단면에서 해석에 의해 필요한 철근량보다 1/3 이상 인장철근이 더 배치되는 경우는 최소철근량 요건을 적용하지 않아도 된다.
     3. 휨 부재의 급작스러운 파괴를 방지하기 위해서 최소 철근량 규정이 제시되었다.
     4. 두께가 균일한 구조용 슬래브의 경간방향으로 보강되는 인장철근의 최소 단면적은 수축ㆍ온도 철근의 규정에 따라야 한다.

     정답 : []
     정답률 : 39%

67. 직사각형 보에서 계수 전단력 Vu = 70kN을 전단철근 없이 지지하고자 할 경우 필요한 최소 유효깊이 d는 얼마인가? (단, bw = 400mm, fck = 21MPa, fy = 350MPa, ø = 0.75)
     1. d = 426mm
     2. d = 556mm
     3. d = 611mm
     4. d = 751mm

     정답 : []
     정답률 : 66%

68. 강도설계법에서 강도감소계수(ø)를 규정하는 목적이 아닌 것은?
     1. 재료 강도와 치수가 변동할 수 있으므로 부재의 강도저하 확률에 대비한 여유를 반영하기 위해
     2. 부정확한 설계 방정식에 대비한 여유를 반영하기 위해
     3. 구조물에서 차지하는 부재의 대비한 여유를 반영하기 위해
     4. 하중의 변경, 구조해석할 때의 가정 및 계산의 단순화로 인해 야기될지 모르는 초과하중에 대비한 여유를 반영하기 위해

     정답 : []
     정답률 : 55%

69. 아래 그림과 같은 두께 19mm 평판의 순단면적을 구하면? (단, 볼트구멍의 직경은 25mm이다.)

    

     1. 3270mm2
     2. 3800mm2
     3. 3920mm2
     4. 4530mm2

     정답 : []
     정답률 : 59%

70. 나선철근 압축부재 단면의 심부지름이 400mm, 기둥단면 지름이 500mm 인 나선철근 기둥의 나선철근비는 최소 얼마 이상이어야 하는가? (단, 나선철근의 설계기준항복강도(fyt) = 400MPa, fck = 21MPa)
     1. 0.0133
     2. 0.0201
     3. 0.0248
     4. 0.0304

     정답 : []
     정답률 : 49%

71. 다음은 프리스트레스 콘크리트에 관한 설명이다. 옳지 않은 것은?
     1. 탄력성과 복원성이 강한 구조이다.
     2. RC부재보다 경간을 길게 할 수 있고 단면을 작게 할 수 있다.
     3. RC에 비해 강성이 작아서 변형이 크고 진동하기 쉽다.
     4. RC보다 내화성에 있어서 유리하다.

     정답 : []
     정답률 : 60%

72. 복철근 직사각형 보의 As'=1916mm2, As=4790mm2이다. 등가직사각형 블록의 응력 깊이(a)는? (단, fck = 21MPa, fy = 300MPa)

    

     1. 153mm
     2. 161mm
     3. 176mm
     4. 185mm

     정답 : []
     정답률 : 65%

73. 그림과 같은 단순 PSC 보에서 등분포하중(자중포함) W = 30 kN/m가 작용하고 있다. 프리스트레스에 의한 상향력과 이 등분포 하중이 비기기 위해서는 프리스트레스 힘 P를 얼마로 도입해야 하는가?

    

     1. 900 kN
     2. 1200 kN
     3. 1500 kN
     4. 1800 kN

     정답 : []
     정답률 : 61%

74. 그림과 같은 맞대기 용접의 용접부에 발생하는 인장응력은?

    

     1. 100MPa
     2. 150MPa
     3. 200MPa
     4. 220MPa

     정답 : []
     정답률 : 66%

75. 전단철근이 받을 수 있는 최대 전단강도는? (단, fck는 콘크리트의 압축강도, bw는 보의 복푸폭, d는 보의 유효깊이이다.)
     1.
     2.
     3.
     4.

     정답 : []
     정답률 : 33%

76. 철근콘크리트 부재에서 전단철근이 부담해야할 전단력이 400kN일때 부재축에 직각으로 배치된 전단철근의 최대간격은? (단, Av = 700mm2, fy = 350MPa, fck = 21MPa, bw = 400mm, d = 560mm)
     1. 140mm
     2. 200mm
     3. 300mm
     4. 343mm

     정답 : []
     정답률 : 36%

77. 다음 중 용접부의 결함이 아닌 것은?
     1. 오버랩(over lap)
     2. 언더컷(undercut)
     3. 스터드(stud)
     4. 균열(crack)

     정답 : []
     정답률 : 65%

78. 플랜지 유효폭이 b이고 복부폭이 bw인 복철근 T형보의 중립축이 복부에 있고 (-)휨모멘트가 작용할 때의 응력계산 방법이 옳은 것은?
     1. 폭이 b인 직사각형보로 계산
     2. 폭이 bw인 직사각형보로 계산
     3. T형보로 계산
     4. 어느 방법으로 계산해도 된다.

     정답 : []
     정답률 : 45%

79. PSC 부재에서 프리스트레스의 감소 원인중 도입후에 발생하는 시간적 손실의 원인에 해당하는 것은?
     1. 콘크리트의 크리프
     2. 정착장치의 활동
     3. 콘크리트의 탄성수축
     4. PS 강재와 쉬스의 마찰

     정답 : []
     정답률 : 64%

80. 경간 ℓ = 10m인 대칭 T 형보에서 양쪽 슬래브의 중심간격 2100m, 슬래브의 두께 t = 100mm, 복부의 폭 bw = 400mm일 때 플랜지의 유효폭은 얼마인가?
     1. 2000mm
     2. 2100mm
     3. 2300mm
     4. 2500mm

     정답 : []
     정답률 : 58%

5과목 : 토질 및 기초


81. 다짐에 대한 설명으로 옳지 않은 것은?
     1. 점토분이 많은 흙은 일반적으로 최적함수비가 낮다.
     2. 사질토는 일반적으로 건조밀도가 높다.
     3. 입도배합이 양호한 흙은 일반적으로 최적함수비가 낮다.
     4. 점토분이 많은 흙은 일반적으로 다짐곡선의 기울기가 완만하다.

     정답 : []
     정답률 : 46%

82. 다짐되지 않은 두께 2m, 상대밀도 45%의 느슨한 사질토 지반이 있다. 실내시험결과 최대 및 최소 간극비가 0.85, 0.40으로 각각 산출되었다. 이 사질토를 상대 밀도 70%까지 다짐할 때 두께의 감소는 약 얼마나 되겠는가?
     1. 13.3cm
     2. 17.2cm
     3. 21.0cm
     4. 25.5cm

     정답 : []
     정답률 : 51%

83. 다음 중 흙의 동상 피해를 막기 위한 대책으로 가장 적합한 것은?
     1. 동결심도 하부의 흙을 비동결성 흙(자갈, 쇄석)으로 치환한다.
     2. 구조물을 축조할 때 기초를 동결심도보다 얕게 설치한다.
     3. 흙속에 단열재료(석탄재, 코크스 등)를 넣는다.
     4. 하부로부터 물의 공급이 충분하도록 한다.

     정답 : []
     정답률 : 40%

84. 흙의 비중 2.70, 함수비 30%, 간극비 0.90일 때 포화도는?
     1. 100%
     2. 90%
     3. 80%
     4. 70%

     정답 : []
     정답률 : 58%
     <문제 해설>
S*e=Gs*w
[해설작성자 : 얌냠]

85. 연속 기초에 대한 Terzaghi의 극한지지력 공식은 qu = cㆍNc+0.5r1ㆍBㆍNr+r2ㆍDrㆍNq로 나타낼 수 있다. 아래 그림과 같은 경우 극한지지력 공식의 두 번째 항의 단위중량 r1의 값은?

    

     1. 1.44t/m3
     2. 1.60t/m3
     3. 1.74t/m3
     4. 1.82t/m3

     정답 : []
     정답률 : 49%

86. 흙의 모관상승에 대한 설명 중 잘못된 것은?
     1. 흙의 모관상승고는 간극비에 반비례하고, 유효 입경에 반비례한다.
     2. 모관상승고는 점토, 실트, 모래, 자갈의 순으로 점점 작아진다.
     3. 모관상승이 있는 부분은 (-)의 간극수압이 발생하여 유효응력이 증가한다.
     4. Stokes법칙은 모관상승에 중요한 영향을 미친다.

     정답 : []
     정답률 : 26%

87. 내부 마찰각 30°, 점착력 1.5t/m2 그리고 단위중량이 1.7t/m3인 흙에 있어서 인장균열(tension crack)이 일어나기 시작하는 깊이는?
     1. 2.2m
     2. 2.7m
     3. 3.1m
     4. 3.5m

     정답 : []
     정답률 : 59%

88. 그림과 같은 옹벽에 작용하는 전주동 토압은? (단, 뒷채움 흙의 단위중량은 1.8t/m3, 내부마찰각은 30°이고, Rankine의 토압론을 적용한다.)

    

     1. 7.5 t/m
     2. 8.5 t/m
     3. 9.5 t/m
     4. 10.5 t/m

     정답 : []
     정답률 : 52%

89. 다음 그림에서 A점의 간극 수압은?

    

     1. 4.87t/m2
     2. 7.67t/m2
     3. 12.31t/m2
     4. 4.65t/m2

     정답 : []
     정답률 : 49%

90. 무게 320kg인 드롭햄머(drop hammer)로 2m의 높이에서 말뚝을 때려 박았더니 침하량이 2cm 이었다. Sander의 공식을 사용할 때 이 말뚝의 허용지지력은?
     1. 1,000kg
     2. 2,000kg
     3. 3,000kg
     4. 4,000kg

     정답 : []
     정답률 : 40%

91. 다음 설명 가운데 옳지 않은 것은?
     1. 포화점토지반이 성토직후 급속히 파괴가 예상되는 경우 UU test를 한다.
     2. UU test는 전단시 간극수의 배수를 허용하지 않는다.
     3. CD test는 전단전에 압밀시킨 후 전단시 배수를 허용한다.
     4. 포화점토 지반이 시공중 함수비의 변화가 없을 것으로 예상될 때 CU test를 한다.

     정답 : []
     정답률 : 34%

92. 자연상태의 모래지반을 다져 emin에 이르도록 했다면 이 지반의 상대밀도는?
     1. 0%
     2. 50%
     3. 75%
     4. 100%

     정답 : []
     정답률 : 63%

93. 토질조사에서 사운딩(Sounding)에 관한 설aud 중 옳은 것은?
     1. 동적인 사운딩 방법은 주로 점성토에 유효하다.
     2. 표준관입 시험(S.P.T)은 정적인 사운딩이다.
     3. 사운딩은 보링이나 시굴보다 확실하게 지반구조를 알아낸다.
     4. 사운딩은 주로 원위치 시험으로서 의의가 있고 예비조사에 사용하는 경우가 많다.

     정답 : []
     정답률 : 32%

94. 압밀에 대한 설명으로 잘못된 것은?
     1. 압밀계수를 구하는 방법에는 방법과 log t 방법이 있다.
     2. 2차 압밀량은 보통 흙보다 유기질토에서 더 크다.
     3. 교란된 시료로 압밀시험을 하면 실제보다 큰 침하량이 계산된다.
     4. log p-e곡선에서 선행하중(先行荷重)을 구할 수 있다.

     정답 : []
     정답률 : 36%

95. 평판 재하 실험에서 재하판의 크기에 의한 영향(scale effect)에 관한 설명 중 틀린 것은?
     1. 사질토 지반의 지지력은 재하판의 폭에 비례한다.
     2. 점토지반의 지지력은 재하판의 폭에 무관한다.
     3. 사질토 지반의 침하량은 재하판의 폭이 커지면 약간 커지기는 하지만 비례하는 정도는 아니다.
     4. 점토지반의 침하량은 재하판의 폭에 무관한다.

     정답 : []
     정답률 : 56%

96. 말뚝의 부마찰력(Negative Skin Friction)에 대한 설명 중 틀린 것은?
     1. 말뚝의 허용지지력을 결정할 때 세심하게 고려해야 한다.
     2. 연약지반에 말뚝을 박은 후 그 위에 성토를 한 경우 일어나기 쉽다.
     3. 연약지반을 관통하여 견고한 지반까지 말뚝을 박은 경우 일어나기 쉽다.
     4. 연약한 점토에 있어서는 상대변위의 속도가 느릴수록 부마찰력은 크다.

     정답 : []
     정답률 : 59%

97. 접지압(또는 지반반력)이 그림과 같이 되는 경우는?

    

     1. 후팅 : 강성, 기초지반 : 점토
     2. 후팅 : 강성, 기초지반 : 모래
     3. 후팅 : 연성, 기초지반 : 점토
     4. 후팅 : 연성, 기초지반 : 모래

     정답 : []
     정답률 : 63%

98. 다음 그림의 파괴포락선 중에서 완전포화된 점토를 UU(비압밀 비배수)시험했을 때 생기는 파괴포락선은?

    

     1.
     2.
     3.
     4.

     정답 : []
     정답률 : 68%

99. 크기가 1m×2m인 기초에 10t/m2의 등분포하중이 작용할 때 기초아래 4m인 점의 압력증가는 얼마인가? (단, 2.1 분포법을 이용한다.)
     1. 0.67t/m2
     2. 0.33t/m2
     3. 0.22t/m2
     4. 0.11t/m2

     정답 : []
     정답률 : 61%

100. 3m 두께의 모래층이 포화된 점토층 위에 놓여있다. 그림과 같이 지하수위는 1m 깊이에 있고 모관수는 없다고 할때 3m 깊이의 A점의 유효응력은?

    

     1. 5.31t/m2
     2. 4.64t/m2
     3. 3.97t/m2
     4. 3.31t/m2

     정답 : []
     정답률 : 26%

101. 물의 맛ㆍ냄새의 제거 방법으로 식물성 냄새, 생선비린내, 황화수소냄새, 부패한 냄새의 제거에 효과가 있지만, 곰팡이 냄새 제거에는 효과가 없으며 페놀류는 분해할 수 있지만, 약품냄새 중에는 아민류와 같이 냄새를 강하게 할 수도 있으므로 주의가 필요한 처리방법은?
     1. 폭기방법
     2. 염소처리법
     3. 오존처리법
     4. 활성탄처리법

     정답 : []
     정답률 : 67%

102. 부상식 슬러지 농축 방법에 대한 설명 중 틀린 것은?
     1. 중력농축에서 농축성이 나쁜 잉여슬러지 등을 대상으로 처리하는 경우가 많다.
     2. 기포를 발생시키는 방법에 따라 가압부상농축과 상압부상농축으로 나눌 수 있다.
     3. 공기/고형물 비(A/S)는 설계와 운전에 있어 중요한 인자이다.
     4. 계절변화의 영향을 받아 안정적인 운전이 어렵고, 특히 여름에 비하여 겨울에 농축이 어려운 것이 일반적이다.

     정답 : []
     정답률 : 51%

103. 다음의 상수도 시설 중 송수시설을 바르게 설명한 것은?
     1. 취수 후의 원수를 정수시설까지 수송하는데 필요한 제반 시설
     2. 물의 수요변동을 흡수하고, 정수를 일정이상의 압력으로 수요자에게 공급하는 시설
     3. 급수관에서 분기하여 정수를 가정, 공장, 사업소 등에 끌어들여, 직접 수요자에게 물을 공급하는 시설로서 수요자가 부담하여 설치하는 시설
     4. 정수장에서 배수지까지 수송하는 시설

     정답 : []
     정답률 : 60%

104. 양수량이 15mm3/min일 때 적합한 펌프의 구경은 약 얼마인가? (단, 흡입구의 유속은 2m/sec로 가정한다.)
     1. 200mm
     2. 300mm
     3. 400mm
     4. 500mm

     정답 : []
     정답률 : 38%
     <문제 해설>
D=146*(Q/V)^0.5
[해설작성자 : comcbt.com 이용자]

105. 어떤 상수원수의 Jar-test 실험결과 원수시료 200mL에 대해 0.1% PAC 용액 12mL를 첨가하는 것이 가장 응집효율이 좋았다. 이 경우 상수원수에 대해 PAC 용액 사용량은 몇 mg/L 인가?
     1. 40 mg/L
     2. 50 mg/L
     3. 60 mg/L
     4. 70 mg/L

     정답 : []
     정답률 : 54%

106. 다음 중 슬러지의 침강을 방해하는 생물은?
     1. 사상균
     2. 바이러스
     3. 박테리아
     4. 원생동물

     정답 : []
     정답률 : 27%

107. 상수 취수시설인 집수매거에 관한 설명으로 틀린 것은?
     1. 철근콘크리트조의 유공관 또는 권선형 스크린관을 표준으로 한다.
     2. 집수매거는 수평 또는 흐름방향으로 향하여 완경사로 설치한다.
     3. 집수매거의 유출단에서 매거내의 평균유속은 3m/s 이상으로 한다.
     4. 집수매거는 가능한 직접 지표수의 영향을 받지 않도록 매설깊이는 5m 이상으로 하는 것이 바람직하다.

     정답 : []
     정답률 : 48%

108. 하수도시설에 관한 설명으로 틀린 것은?
     1. 하수도시설은 관거시설, 펌프장시설 및 처리장시설로 크게 구별된다.
     2. 하수배제는 자연유하를 원칙으로 하고 있으며 펌프시설도 사용할 수 있다.
     3. 하수처리장시설은 물리적, 생물학적 처리시설을 말하고 화학적 처리시설은 제외한다.
     4. 하수 배제방식은 합류식과 분류식으로 대별할 수 있다.

     정답 : []
     정답률 : 70%

109. BOD병을 이용하여 하천수의 BOD를 구하고자 한다. 초기 DO가 8.0mg/L, 5일 후의 DO가 4.2mg/L이며, 사용된 시료의 양은 300mL일 경우 BOD5는 얼마인가?
     1. 3.8 mg/L
     2. 4.2 mg/L
     3. 7.6 mg/L
     4. 8.0 mg/L

     정답 : []
     정답률 : 22%

110. 혐기성 소화가 호기섬 소화에 비해 지닌 장점에 대한 설명으로 틀린 것은?
     1. 유효한 자원인 메탄이 생성된다.
     2. 처리후 슬러지 생성량이 적다.
     3. 반응속도가 매우 빠르다.
     4. 동력비 및 유지관리비가 적게 든다.

     정답 : []
     정답률 : 31%

111. 하수처리장 침사지의 표면부하율은 일반적으로 약 얼마를 표준으로 하는가?
     1. 오수침사지 120m3/mㆍd, 우수침사지 250m3/m2ㆍd
     2. 오수침사지 120m3/mㆍd, 우수침사지 3600m3/m2ㆍd
     3. 오수침사지 1800m3/mㆍd, 우수침사지 250m3/m2ㆍd
     4. 오수침사지 1800m3/mㆍd, 우수침사지 3600m3/m2ㆍd

     정답 : []
     정답률 : 40%

112. 동일한 조건에서 비중 2.5인 입자의 침전속도는 비중 2.0인 입자의 몇 배인가? (단, 침사지, stokes 법칙 기준)
     1. 1.0배
     2. 1.25배
     3. 1.5배
     4. 3.0배

     정답 : []
     정답률 : 52%

113. 호수나 댐이 수원인 경우 취수시설의 기능과 특징에 대한 다음 설명 중 맞지 않는 것은?
     1. 취수탑(고정식)은 계획 취수량을 안정하게 취수할 수 있다.
     2. 취수들은 단기간에 완성되고 안정된 취수가 가능하다.
     3. 취수들은 비교적 소량 취수의 경우에 사용된다.
     4. 취수문은 일반적으로 대하천(대량 취수)에 사용되고 있다.

     정답 : []
     정답률 : 36%

114. 상수 원수 포함된 암모니아성 질소를 파괴점 염소주입법에 의하여 제거할 때 이론적으로 암모니아성 질소(NH3-N)1ppm에 대하여 염소(Cl2)가 7.5ppm이 필요한 것으로 알려져 있다면 만약 암모니아성 질소의 농도가 6ppm이고 유량이 1000m3/day인 원수를 처리하려면 얼마 만큼의 염소가 필요하겠는가?
     1. 25kg/day
     2. 38kg/day
     3. 45kg/day
     4. 51kg/day

     정답 : []
     정답률 : 40%

115. Streeter-Phelps의 식을 설명한 것으로 가장 적합한 것은?
     1. 재폭기에 의한 DO를 구하는 식이다.
     2. BOD 극한 값을 구하는 식이다.
     3. 유하시간에 따른 DO 부족곡선이다.
     4. BOD 감소곡선식이다.

     정답 : []
     정답률 : 38%

116. 다음 중 계획오수량에 포함되지 않는 것은?
     1. 농업용수량
     2. 지하수량
     3. 공장폐수량
     4. 생활오수량

     정답 : []
     정답률 : 46%

117. 어느 소도시의 20년후의 인구는 35000명으로 예측되었다. 현재 인구는 28000명이고 평균 물 소비량은 16000m3/day이며 현재의 상수공급시설은 19000m3/day의 설계용량을 가지고 있다. 등차급수적 추정법에 의해서 대략 몇 년후에 상수공급시설의 설계용량에 도달하는가? (단, 1일 1인당 물 소비량은 변화가 없는 것으로 가정)
     1. 5년
     2. 7년
     3. 10년
     4. 15년

     정답 : []
     정답률 : 33%

118. 계획급수인구를 추정하는 이론곡선식은 로 표현된다. 식 중의 K가 의미하는 것은? (단, y : x년 후의 인구, x : 기준년부터의 경과년수, e: 자연대수의 밑, a, b: 정수)
     1. 현재인구
     2. 포화인구
     3. 증가인구
     4. 상주인구

     정답 : []
     정답률 : 54%

119. 하수관로 내의 유속에 대하여 바르게 설명한 것은?
     1. 유속은 하류로 갈수록 점차 작아지도록 설계한다.
     2. 관거의 경사는 하류로 갈수록 점차 커지도록 설계한다.
     3. 오수관거는 계획1일최대오수량에 대하여 유속을 최소 1.2m/sec로 한다.
     4. 우수관거 및 합류관거는 계획우수량에 대하여 유속을 최대 3m/sec로 한다.

     정답 : []
     정답률 : 48%

120. 함수율 99% 의 슬러지 100m3가 있다. 이 슬러지를 탈수하여 60% 로 낮추었을 때 슬러지케익의 부피는? (단, 비중= 1)
     1. 2.5 m3
     2. 3.3 m3
     3. 7.5 m3
     4. 9.9 m3

     정답 : []
     정답률 : 39%


정 답 지

1

2

3

4

5

6

7

8

9

10

11

12

13

14

15

16

17

18

19

20

21

22

23

24

25

26

27

28

29

30

31

32

33

34

35

36

37

38

39

40

41

42

43

44

45

46

47

48

49

50

51

52

53

54

55

56

57

58

59

60

61

62

63

64

65

66

67

68

69

70

71

72

73

74

75

76

77

78

79

80

81

82

83

84

85

86

87

88

89

90

91

92

93

94

95

96

97

98

99

100

101

102

103

104

105

106

107

108

109

110

111

112

113

114

115

116

117

118

119

120

토목기사 필기 기출문제(해설) 및 CBT 2008년09월07일을 이용해 주셔서 감사합니다.
도목기사, 토목, 기사, 필기, 기출문제, 전자문제집, CBT, 온라인, 모의테스트, 모의고사



List of Articles
번호 제목 글쓴이 날짜 조회 수
6354 토목기사 필기 기출문제(해설) 및 CBT 2010년09월05일(6660) 좋은아빠되기 2025.10.07 0
6353 토목기사 필기 기출문제(해설) 및 CBT 2010년05월09일(6659) 좋은아빠되기 2025.10.07 0
6352 토목기사 필기 기출문제(해설) 및 CBT 2010년03월07일(6658) 좋은아빠되기 2025.10.07 0
6351 토목기사 필기 기출문제(해설) 및 CBT 2009년08월30일(6657) 좋은아빠되기 2025.10.07 0
6350 토목기사 필기 기출문제(해설) 및 CBT 2009년03월01일(6656) 좋은아빠되기 2025.10.07 0
» 토목기사 필기 기출문제(해설) 및 CBT 2008년09월07일(6655) 좋은아빠되기 2025.10.07 0
6348 토목기사 필기 기출문제(해설) 및 CBT 2008년05월11일(6654) 좋은아빠되기 2025.10.07 0
6347 토목기사 필기 기출문제(해설) 및 CBT 2008년03월02일(6653) 좋은아빠되기 2025.10.07 0
6346 토목기사 필기 기출문제(해설) 및 CBT 2007년09월02일(6652) 좋은아빠되기 2025.10.07 0
6345 토목기사 필기 기출문제(해설) 및 CBT 2007년05월13일(6651) 좋은아빠되기 2025.10.07 0
6344 토목기사 필기 기출문제(해설) 및 CBT 2007년03월04일(6650) 좋은아빠되기 2025.10.07 0
6343 토목기사 필기 기출문제(해설) 및 CBT 2006년03월05일(6648) 좋은아빠되기 2025.10.07 0
6342 토목기사 필기 기출문제(해설) 및 CBT 2005년09월04일(6647) 좋은아빠되기 2025.10.07 0
6341 토목기사 필기 기출문제(해설) 및 CBT 2005년05월29일(6646) 좋은아빠되기 2025.10.07 0
6340 토목기사 필기 기출문제(해설) 및 CBT 2005년03월20일(6645) 좋은아빠되기 2025.10.07 0
6339 토목기사 필기 기출문제(해설) 및 CBT 2004년09월05일(6644) 좋은아빠되기 2025.10.07 0
6338 토목기사 필기 기출문제(해설) 및 CBT 2004년05월23일(6643) 좋은아빠되기 2025.10.07 0
6337 토목기사 필기 기출문제(해설) 및 CBT 2004년03월07일(6642) 좋은아빠되기 2025.10.07 0
6336 토목기사 필기 기출문제(해설) 및 CBT 2003년08월31일(6641) 좋은아빠되기 2025.10.07 0
6335 토목기사 필기 기출문제(해설) 및 CBT 2003년05월25일(6640) 좋은아빠되기 2025.10.07 0
Board Pagination Prev 1 ... 387 388 389 390 391 392 393 394 395 396 ... 709 Next
/ 709