자격증 필기 기출문제



전산응용토목제도기능사 필기 기출문제(해설) 및 CBT 2011년07월31일(4회)(6703)

최강 자격증 기출문제 전자문제집 CBT : www.comcbt.com


전자문제집 CBT란?

종이 문제집이 아닌 인터넷으로 문제를 풀고 자동으로 채점하며 모의고사, 오답 노트, 해설까지 제공하는
무료 기출문제 학습 프로그램으로 실제 상설검정에서 사용하는 OMR 형식의 CBT를 제공합니다.


최신 전산응용토목제도기능사 필기 기출문제 : [다운로드]

1과목 : 토목제도(CAD)


1. 슬래브에서 응력을 분포시킬 목적으로 주철근에 직각 또는 직각에 가까운 방향으로 배치하는 보조철근은?
     1. 배력철근
     2. 스터럽
     3. 부철근
     4. 정철근

     정답 : []
     정답률 : 74%

2. 굳지 않은 콘크리트의 성질 중 거푸집에 쉽게 다져 넣을 수 있고 거푸집을 제거하면 천천히 형상이 변하기는 하지만 허물어지거나 재료가 분리되지 않는 성질은?
     1. 워커빌리티
     2. 성형성
     3. 피니셔빌리티
     4. 반죽질기

     정답 : []
     정답률 : 64%

3. 현장치기 콘크리트의 최소 피복두께에 관한 설명으로 옳은 것은?
     1. 수중에서 치는 콘크리트의 최소 피복두께는 50㎜이다.
     2. 흙에 접하여 콘크리트를 친 후 영구히 흙에 묻혀 있는 콘크리트의 최소 피복두께는 80㎜이다.
     3. 옥외의 공기나 흙에 직접 접하지 않는 콘크리트로 슬래브에서는 D35를 초과하는 철근의 경우 D35를 이하의 철근에 비해 피복두께가 더 작다.
     4. 흙에 접하거나 옥외의 공기에 직접 노출되는 콘크리트의 D29 이상 철근에 대한 최소 피복두께는 40㎜이다.

     정답 : []
     정답률 : 59%

4. 콘크리트를 친 후 시멘트와 골재알이 가라앉으면서 물이 떠오르는 현상을 무엇이라 하는가?
     1. 풍화
     2. 레이턴스
     3. 블리딩
     4. 경화

     정답 : []
     정답률 : 93%

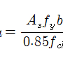
5. 그림과 같이 b=300㎜, d=400㎜, As=2580㎜2인 단철근 직사각형 보의 중립축 위치 C는? (단, ƒck=29MPa, ƒy=400MPa이다.)(오류 신고가 접수된 문제입니다. 반드시 정답과 해설을 확인하시기 바랍니다.)

   

     1. 145㎜
     2. 170㎜
     3. 215㎜
     4. 240㎜

     정답 : []
     정답률 : 33%
     <문제 해설>
아래와 같은 오류 신고가 있었습니다.
여러분들의 많은 의견 부탁 드립니다.
추후 여러분들의 의견을 반영하여 정답을 수정하도록 하겠습니다.
참고로 정답 변경은 오류 신고 5회 이상일 경우 수정합니다.

[오류 신고 내용]

ƒck=29MPa =>fck=28MPa

As*fy/0.85*fck*b = 2580*400/0.85*28*300=a

C=a/β = ㅁ144.5/0.85

6. 직경 150mm의 원주형 공시체를 사용한 콘크리트의 압축강도 시험에서 최대압축하중이 225KN이었다. 압축강도는 약 얼마인가?
     1. 10.0MPa
     2. 100MPa
     3. 12.7MPa
     4. 127MPa

     정답 : []
     정답률 : 62%
     <문제 해설>
압축강도 (fc) = 최대하중(N)/시험체의 단면적 = 225000/{3.14*(150/2)^2} = 12.7MPa
[해설작성자 : 동일공업고등학교 10605 김수연]

7. 휨부재에서 서로 접촉되지 않게 겹침이음된 철근은 횡방향으로 소요 겹침이음길이의 얼마 또는 150㎜ 중 작은 값 이상 떨어지지 않아야 하는가?
     1. 1/4
     2. 1/5
     3. 1/6
     4. 1/10

     정답 : []
     정답률 : 40%

8. 조립률을 구하는데 사용되는 체가 아닌 것은?
     1. 40㎜
     2. 10㎜
     3. 1.2㎜
     4. 0.5㎜

     정답 : []
     정답률 : 52%

9. 지간 10m인 철근콘크리트 보에 등분포하중이 작용할 때 최대 허용하중은? (단, 보의 설계모멘트가 25KN·m이고, 하중계수와 강도감소계수는 고려하지 않는다.)
     1. 1.0KN/m
     2. 1.7KN/m
     3. 2.0KN/m
     4. 2.4KN/m

     정답 : []
     정답률 : 47%

10. 그림과 같은 단철근 직사각형 보의 철근비가 0.02일 때, 철근량 As 는 얼마인가?

    

     1. 10cm2
     2. 16cm2
     3. 20cm2
     4. 26cm2

     정답 : []
     정답률 : 54%

11. 설계 전단강도는 전단력의 강도감소 계수 Ø를 곱하여 구한다. 이 때, 전단력에 대한 강도감소 계수 Ø값은?
     1. 0.70
     2. 0.75
     3. 0.80
     4. 0.85

     정답 : []
     정답률 : 49%

12. 콘크리트의 동해방지를 위한 대책으로 가장 효과적인 것은?
     1. 밀도가 작은 경량골재 콘크리트로 시공한다.
     2. 물-시멘트비를 크게 하여 시공한다.
     3. AE 콘크리트로 시공한다.
     4. 흡수율이 큰 골재를 사용하여 시공한다.

     정답 : []
     정답률 : 74%

13. 정모멘트 철근이 정착된 연속부재에서 정모멘트 철근이 12개일 때 부재의 같은 면을 따라 받침부까지 연장해야 할 철근의 개수는?
     1. 6개 이상
     2. 5개 이상
     3. 4개 이상
     4. 3개 이상

     정답 : []
     정답률 : 23%
     <문제 해설>
연속부재: 정모멘트 철근의 1/4 이상을 부재의 같은면을 따라 받침부까지 연장
[해설작성자 : 김노가다]

14. D10 철근의 180° 표준갈고리에서 구부림의 최소 내면 반지름은 약 얼마인가?
     1. 20㎜
     2. 30㎜
     3. 40㎜
     4. 50㎜

     정답 : []
     정답률 : 37%

15. 철근을 상단과 하단에 2단 이상으로 배치된 경우, 상하 철근의 순간격은 얼마 이상으로 하여야 하는가?
     1. 10㎜ 이상
     2. 15㎜ 이상
     3. 20㎜ 이상
     4. 25㎜ 이상

     정답 : []
     정답률 : 60%

16. 압축부재의 철근 배치 및 철근 상세에 관한 설명으로 옳지 않은 것은?
     1. 축방향 주철근 단면적은 전체 단면적의 1~8%로 하여야 한다.
     2. 띠철근의 수직간격은 축방향 철근지름의 16배 이하, 띠철근 지름의 48배 이하, 또한 기둥단면의 최소치수 이하로 하여야 한다.
     3. 띠철근 기둥에서 축방향 철근의 순간격은 40㎜ 이상, 또한 철근 공칭지름의 1.5배 이상으로 하여야 한다.
     4. 압축부재의 축방향 주철근의 최소 개수는 삼각형으로 둘러싸인 경우 4개로 하여야 한다.

     정답 : []
     정답률 : 49%

17. 휨 부재에 대하여 강도 설계법으로 설계할 경우에 기본 가정으로서 옳지 않은 것은?
     1. 보에 휨을 받기 전에 생각한 임의의 단면은 휨을 받아 변형을 일으킨 뒤에도 그대로 평면을 유지한다.
     2. 보가 파괴를 일으킬 때의 압축측의 표면에 나타나는 콘크리트의 극한 변형율은 0.005로 가정한다.
     3. 항복강도 fy 이하의 철근의 응력은 그 변형률의 ES배로 본다.
     4. 보의 극한 상태에서의 휨 모멘트를 계산할 때에는 콘크리트의 인장 강도를 무시한다.

     정답 : []
     정답률 : 65%

18. 공장제품용 콘크리트의 촉진양생법에 속하는 것은?
     1. 오토클레브 양생
     2. 수중양생
     3. 살수양생
     4. 매트양생

     정답 : []
     정답률 : 64%

19. 콘크리트의 시방배합에서 잔골재는 어느 상태를 기준으로 하는가?
     1. 5㎜체를 전부 통과하고 표면건조포화상태인 골재
     2. 5㎜체에 전부 남고 표면건조포화상태인 골재
     3. 5㎜체를 전부 통과하고 공기중건조상태인 골재
     4. 5㎜체에 전부 남고 공기중건조상태인 골재

     정답 : []
     정답률 : 70%

20. 수밀 콘크리트를 만드는데 적합하지 않은 것은?
     1. 단위수량을 되도록 크게 한다.
     2. 물-결합재비를 되도록 적게 한다.
     3. 단위 굵은 골재량을 되도록 크게 한다.
     4. AE제를 사용함을 원칙으로 한다.

     정답 : []
     정답률 : 47%

2과목 : 철근콘크리트


21. 철근과 콘크리트가 그 경계 면에서 미끄러지지 않도록 저항하는 것을 무엇이라 하는가?
     1. 부착
     2. 정착
     3. 철근 이음
     4. 스터럽

     정답 : []
     정답률 : 56%

22. 일반 구조용 압연 강재에 해당하는 것은?
     1. SS 400
     2. SM 400A
     3. SM 490YA
     4. SMA 41

     정답 : []
     정답률 : 54%

23. 기둥과 같이 압축력을 받는 부재가 압축력에 의해 부재의 축방향에 대해 직각 방향으로 휘어져 파괴되는 현상은?
     1.
     2. 비틀림
     3. 틀어짐
     4. 좌굴

     정답 : []
     정답률 : 68%

24. 철근 콘크리트의 대한 특징에 설명으로 옳지 않은 것은?
     1. 구조물의 파괴, 해체가 어렵다.
     2. 구조물에 균열이 생기기 쉽다.
     3. 구조물의 검사 및 개조가 어렵다.
     4. 압축력에 약해 철근으로 압축력을 보완해야 한다.

     정답 : []
     정답률 : 68%

25. 도로설계기준에 의하면 표준트럭하중 DB-18로 설계되는 교량을 몇 등급 교량으로 분류 하는가?
     1. 1등교
     2. 2등교
     3. 3등교
     4. 4등교

     정답 : []
     정답률 : 53%

26. 콘크리트 속에 철근을 배치하여 양자가 일체가 되어 외력을 받게 한 구조는?
     1. 합성 구조
     2. 플라스틱 구조
     3. 철근콘크리트 구조
     4. 프리스트레스트 콘크리트 구조

     정답 : []
     정답률 : 69%

27. 강재로 이루어지는 구조를 강구조라 하는데 이 구조에 대한 설명으로 옳지 않은 것은?
     1. 부재의 치수를 작게 할 수 있다.
     2. 공사 기간이 긴 것이 단점이다.
     3. 콘크리트에 비하여 균질성을 가지고 있다.
     4. 지간이 긴 교량을 축조하는 데에 유리하다.

     정답 : []
     정답률 : 60%

28. PS 강재에 필요한 성질에 대한 설명으로 틀린 것은?
     1. 인장강도가 커야 한다.
     2. 릴랙세이션이 커야 한다.
     3. 적당한 연성과 인성이 있어야 한다.
     4. 응력 부식에 대한 저항성이 커야 한다.

     정답 : []
     정답률 : 75%

29. 토목 구조물의 특징이 아닌 것은?
     1. 다량 생산이 아니다.
     2. 구조물의 수명이 길다.
     3. 대부분이 개인의 목적으로 건설된다.
     4. 건설에 많은 비용과 시간이 소요된다.

     정답 : []
     정답률 : 81%

30. 그림과 같이 슬래브에 놓이는 하중이 지간이 긴 A1 보와, A2 보에 의해 지지되는 구조는?

    

     1. 1방향 슬래브
     2. 2방향 슬래브
     3. 3방향 슬래브
     4. 4방향 슬래브

     정답 : []
     정답률 : 58%

31. 확대 기초의 크기가 3m×2m이고, 허용 지지력이 300KN/m2 일 때 이 기초가 받을 수 있는 최대 하중은?
     1. 1000KN
     2. 1200KN
     3. 1800KN
     4. 2400KN

     정답 : []
     정답률 : 80%
     <문제 해설>
3x2x300
[해설작성자 : 노원구폭격기]

32. 철근 콘크리트 보와 일체로 된 연속 슬래브에서 활하중에 의한 경간 중앙의 부모멘트 값은 산정된 값의 얼마만을 취할 수 있는가?
     1. 1/2
     2. 1/3
     3. 1/4
     4. 1/5

     정답 : []
     정답률 : 31%
     <문제 해설>
활하중에 의해 계산된 경간 중앙의 부모멘트는 산정된 값의 1/2만을 취한다
[해설작성자 : comcbt.com 이용자]

33. 콘크리트 구조물에 일정한 힘을 가한 상태에서 힘은 변화하지 않는데 시간이 지나면서 점차 변형이 증가되는 성질을 무엇이라 하는가?
     1. 탄성
     2. 크랙
     3. 소성
     4. 크리프

     정답 : []
     정답률 : 76%

34. 프리스트레스트 콘크리트에 사용하는 콘크리트의 성질과 거리가 먼 것은?
     1. 압축 강도가 커야 한다.
     2. 건조 수축이 작아야 한다.
     3. 물-시멘트비가 커야 한다.
     4. 크리프가 작아야 한다.

     정답 : []
     정답률 : 60%

35. 벽으로 부터 전달되는 하중을 분포시키기 위하여 연속적으로 만들어진 확대 기초는?
     1. 말뚝 기초
     2. 벽 확대 기초
     3. 연결 확대 기초
     4. 독립 확대 기초

     정답 : []
     정답률 : 54%

36. A열의 제도용지 중 A3의 규격(㎜)으로 옳은 것은?
     1. 210×297
     2. 297×420
     3. 420×594
     4. 594×841

     정답 : []
     정답률 : 83%

37. 물체를 다음 그림과 같이 나타냈을 때 투상법으로 맞는 것은?

    

     1. 제1각법
     2. 제3각법
     3. 사투상도
     4. 등각 투상도

     정답 : []
     정답률 : 62%

38. 내부의 보이지 않는 부분을 나타낼 때 물체를 절단하여 내부 모양을 나타낸 모양은?
     1. 단면도
     2. 전개도
     3. 투상도
     4. 입체도

     정답 : []
     정답률 : 79%

39. 건설 재료의 단면 중 어떤 단면 표시인가?

    

     1. 강철
     2. 유리
     3. 잡석
     4. 벽돌

     정답 : []
     정답률 : 82%

40. 건설재료 중 콘크리트의 단면 표시로 옳은 것은?
     1.
     2.
     3.
     4.

     정답 : []
     정답률 : 88%
     <문제 해설>
1 - 모래
2 - 콘크리트
3 - 벽돌
4 - 석재
[해설작성자 : 테오]

41. 윤곽선은 최소 몇 ㎜ 이상 두께의 실선으로 그리는 것이 좋은가?
     1. 0.1㎜
     2. 0.3㎜
     3. 0.4㎜
     4. 0.5㎜

     정답 : []
     정답률 : 78%

42. 도면의 문자 제도 방법으로 옳지 않은 것은?
     1. 문자의 크기는 원칙적으로 높이에 의한 호칭에 따라 표시한다.
     2. 영자는 주로 로마자의 소문자를 사용한다.
     3. 숫자는 주로 아라비아 숫자를 사용한다.
     4. 한글자의 서체는 활자체에 준하는 것이 좋다.

     정답 : []
     정답률 : 76%
     <문제 해설>
로마자 대문자
[해설작성자 : 윤또리]

43. 암거 도면의 작도법에 대한 설명으로 옳은 것은?
     1. 단면도는 실선으로 치수에 관계없이 임의로 작도한다.
     2. 단면도에 배근된 철근 수량과 간격은 대략적으로 작도한다.
     3. 단면도에는 철근 기호, 철근 치수 등을 생략한다.
     4. 측면도에는 단면도에서 표시된 철근 간격이 정확하게 표시되어야 한다.

     정답 : []
     정답률 : 72%

44. CAD로 아래의 정삼각형(ΔABC)을 그리기 위하여 명령어를 입력하고자 한다. ( )에 알맞은 명령은? (단, 그리는 순서는 A → B → C → A이다.)

    

     1. 50,20
     2. @50,20
     3. @60,0
     4. @50<0

     정답 : []
     정답률 : 36%
     <문제 해설>
아래와 같은 오류 신고가 있었습니다.
여러분들의 많은 의견 부탁 드립니다.
추후 여러분들의 의견을 반영하여 정답을 수정하도록 하겠습니다.

[오류 신고 내용]
그리기 순서 A>C>B 순서로해야 정답이 맞습니다.

[추가 오류 신고]

B랑 C랑 위치 바뀌고 가로로 된 치수선 길이 50

[추가 오류 신고]

B점을 그릴수 있는 정답이 없습니다
B점 위치가 잘못 되있습니다

45. 재료 단면의 경계 표시는 무엇을 나타내는가?

    

     1. 암반면
     2. 지반면
     3. 일반면
     4. 수면

     정답 : []
     정답률 : 87%

46. CAD 시스템을 이용한 설계의 특징으로 볼 수 없는 것은?
     1. 다중작업으로 업무가 효율적이다.
     2. 도면 작성 시간을 단축시킬 수 있다.
     3. CAD 시스템에서의 치수값은 부정확하나 간결한 표현이 가능하다.
     4. 설계제도의 표준화와 규격화로 경쟁력을 향상시킬 수 있다.

     정답 : []
     정답률 : 78%

47. CAD 시스템을 이용한 설계의 특징으로 볼 수 없는 것은?(문제복원 오류로 보기 내용이 정확하지 않습니다. 정확한 내용을 아시는분께선는 오류신고를 통하여 내용 작성 부탁 드립니다. 정답은 3번 입니다.)
     1. 다중작업으로 업무가 효율적이다.
     2. 도면작성 시간을 단축시킬 수 있다.
     3. CAD 시스템에서의 치수값은 부정확하나 간결한 표현이 가능하다.
     4. 설계제도의 표준화와 규격화로 경쟁력을 향상시킬 수 있다.

     정답 : []
     정답률 : 80%
     <문제 해설>
문제복원 오류로 보기 내용이 정확하지 않습니다. 정확한 내용을 아시는분께선는 오류신고를 통하여 내용 작성 부탁 드립니다. 정답은 3번 입니다. 현재 46번 문제와 중복

48. 철근에 대한 표시 방법에 대한 설명으로 옳지 않은 것은?
     1. R13 : 반지름 13㎜인 이형철근
     2. ø13: 지름 13㎜인 원형철근
     3. D13 : 지름 13㎜인 이형철근
     4. H13 : 지름 13㎜인 이형(고강도) 철근

     정답 : []
     정답률 : 41%

49. 한국산업규격에서 토목제도의통칙의 분류 기호는?
     1. KS A
     2. KS C
     3. KS E
     4. KS F

     정답 : []
     정답률 : 87%
     <문제 해설>
KS A -> 기본
KS C -> 전기전자
KS E -> 광산
KS F -> 토건(토목, 건축)
[해설작성자 : 테오]

50. 제도에 대한 일반적인 설명으로 옳지 않는 것은?
     1. 그림은 간단히 하고, 중복을 피한다.
     2. 대칭적인 것은 중심선의 한쪽을 외형도, 반대쪽을 단면도로 표시하는 것을 원칙으로 한다.
     3. 경사면을 가진 구조물에서 그 경사면의 모양을 표시하기 위하여 경사면 부분의 보조도를 넣을 수 있다.
     4. 도면은 될 수 있는 대로 파선으로 표시하고, 다양한 종류의 선을 이용하여 단조로움을 피한다.

     정답 : []
     정답률 : 82%

51. 투상선이 모든 투상면에 대하여 수직으로 투상되는 것은?
     1. 정투상법
     2. 투시 투상법
     3. 사투상법
     4. 축측 투상도법

     정답 : []
     정답률 : 72%

52. 선의 종류와 주요 용도가 바르게 짝지어진 것은?
     1. 굵은 실선 - 중심선
     2. 가는 일점 쇄선 - 외형선
     3. 파선 - 보이지 않는 외형선
     4. 가는 실선 - 가상 외형선

     정답 : []
     정답률 : 75%

53. 그림은 평면도상에서 어떤 지형의 절단면 상태를 나타낸 것인가?

    

     1. 절토면
     2. 성토면
     3. 수준면
     4. 물매면

     정답 : []
     정답률 : 77%

54. 토목 제도에서 도면을 접을 때 표준이 되는 크기는?
     1. A1
     2. A2
     3. A3
     4. A4

     정답 : []
     정답률 : 87%

55. 다음 중 도면작도 시 유의할 사항으로 틀린 것은?
     1. 구조물의 외형선, 철근 표시선 등 선의 구분을 명확히 한다.
     2. 화살표시는 도면마다 다른 모양으로 한다.
     3. 도면은 가능한 간단하게 그리며 중복을 피한다.
     4. 도면에는 오류가 없도록 한다.

     정답 : []
     정답률 : 88%

56. 다음 중 형강의 일반적인 치수 표시 방법으로 옳은 것은?
     1. 단면모양, 높이×너비×두께-길이
     2. 단면모양, 너비×높이×두께-길이
     3. 단면모양, 두께×너비×높이-길이
     4. 단면모양, 길이×너비×높이-길이

     정답 : []
     정답률 : 59%

57. 투상도법에서 원근감이 나타나는 것은?
     1. 정투상법
     2. 투시도법
     3. 사투상법
     4. 표고 투상법

     정답 : []
     정답률 : 53%

58. 인출선에 관한 설명으로 옳은 것은?
     1. 치수선을 그리기 위해 보조적 역할을 한다.
     2. 치수, 가공법, 주의사항 등을 기입하기 위하여 사용한다.
     3. 일점쇄선으로 표기하는 것이 일반적이다.
     4. 원이나 호의 치수는 인출선으로 한다.

     정답 : []
     정답률 : 48%

59. 치수 기호에서 두께를 나타내는 것은?
     1. R
     2. ø
     3. t
     4. C

     정답 : []
     정답률 : 79%

60. 시스템 소프트웨어(system software)가 아닌 것은?
     1. 운영체제
     2. 언어 프로그램
     3. CAD 프로그램
     4. 유틸리티 프로그램

     정답 : []
     정답률 : 59%


정 답 지

1

2

3

4

5

6

7

8

9

10

11

12

13

14

15

16

17

18

19

20

21

22

23

24

25

26

27

28

29

30

31

32

33

34

35

36

37

38

39

40

41

42

43

44

45

46

47

48

49

50

51

52

53

54

55

56

57

58

59

60

전산응용토목제도기능사 필기 기출문제(해설) 및 CBT 2011년07월31일(4회)을 이용해 주셔서 감사합니다.
전산응용토목제도기능사, 토목, 제도, 기능사, 필기, 기출문제, 전자문제집, CBT, 온라인, 모의테스트, 모의고사



List of Articles
번호 제목 글쓴이 날짜 조회 수
5966 전산응용토목제도기능사 필기 기출문제(해설) 및 CBT 2005년10월02일(5회)(6688) 좋은아빠되기 2025.10.07 0
5965 전산응용토목제도기능사 필기 기출문제(해설) 및 CBT 2006년01월22일(1회)(6689) 좋은아빠되기 2025.10.07 0
5964 전산응용토목제도기능사 필기 기출문제(해설) 및 CBT 2006년10월01일(5회)(6690) 좋은아빠되기 2025.10.07 0
5963 전산응용토목제도기능사 필기 기출문제(해설) 및 CBT 2007년01월28일(1회)(6691) 좋은아빠되기 2025.10.07 0
5962 전산응용토목제도기능사 필기 기출문제(해설) 및 CBT 2007년09월16일(5회)(6692) 좋은아빠되기 2025.10.07 0
5961 전산응용토목제도기능사 필기 기출문제(해설) 및 CBT 2008년02월03일(1회)(6693) 좋은아빠되기 2025.10.07 0
5960 전산응용토목제도기능사 필기 기출문제(해설) 및 CBT 2008년07월13일(4회)(6694) 좋은아빠되기 2025.10.07 0
5959 전산응용토목제도기능사 필기 기출문제(해설) 및 CBT 2008년10월05일(5회)(6695) 좋은아빠되기 2025.10.07 0
5958 전산응용토목제도기능사 필기 기출문제(해설) 및 CBT 2009년01월18일(1회)(6696) 좋은아빠되기 2025.10.07 0
5957 전산응용토목제도기능사 필기 기출문제(해설) 및 CBT 2009년07월12일(4회)(6697) 좋은아빠되기 2025.10.07 0
5956 전산응용토목제도기능사 필기 기출문제(해설) 및 CBT 2009년09월27일(5회)(6698) 좋은아빠되기 2025.10.07 0
5955 전산응용토목제도기능사 필기 기출문제(해설) 및 CBT 2010년01월31일(1회)(6699) 좋은아빠되기 2025.10.07 0
5954 전산응용토목제도기능사 필기 기출문제(해설) 및 CBT 2010년07월11일(4회)(6700) 좋은아빠되기 2025.10.07 1
5953 전산응용토목제도기능사 필기 기출문제(해설) 및 CBT 2010년10월03일(5회)(6701) 좋은아빠되기 2025.10.07 1
5952 전산응용토목제도기능사 필기 기출문제(해설) 및 CBT 2011년02월13일(1회)(6702) 좋은아빠되기 2025.10.07 1
» 전산응용토목제도기능사 필기 기출문제(해설) 및 CBT 2011년07월31일(4회)(6703) 좋은아빠되기 2025.10.07 1
5950 전산응용토목제도기능사 필기 기출문제(해설) 및 CBT 2012년02월12일(1회)(6704) 좋은아빠되기 2025.10.07 1
5949 전산응용토목제도기능사 필기 기출문제(해설) 및 CBT 2012년07월22일(4회)(6705) 좋은아빠되기 2025.10.07 1
5948 전산응용토목제도기능사 필기 기출문제(해설) 및 CBT 2012년10월20일(5회)(6706) 좋은아빠되기 2025.10.07 1
5947 전산응용토목제도기능사 필기 기출문제(해설) 및 CBT 2013년01월27일(1회)(6707) 좋은아빠되기 2025.10.07 1
Board Pagination Prev 1 ... 315 316 317 318 319 320 321 322 323 324 ... 618 Next
/ 618