자격증 필기 기출문제



전자기능사 필기 기출문제(해설) 및 CBT 2010년10월03일(5회)(6843)

최강 자격증 기출문제 전자문제집 CBT : www.comcbt.com


전자문제집 CBT란?

종이 문제집이 아닌 인터넷으로 문제를 풀고 자동으로 채점하며 모의고사, 오답 노트, 해설까지 제공하는
무료 기출문제 학습 프로그램으로 실제 상설검정에서 사용하는 OMR 형식의 CBT를 제공합니다.


최신 전자기능사 필기 기출문제 : [다운로드]

1과목 : 전기전자공학


1. 정류회로에서 직류전압이 100[V]이고 리플전압이 0.2[V]이었다. 이 회로의 맥동률은 몇 [%]인가?
     1. 0.2
     2. 0.3
     3. 0.5
     4. 0.8

     정답 : []
     정답률 : 66%
     <문제 해설>
맥동률=(0.2/100)*100=0.2%
(리플전압/직류전압)*100%
따라서 1번
[해설작성자 : DIMS 5기]

2. 평활회로에서 초크입력형과 콘덴서 입력형에 대한 설명으로 옳지 않은 것은?
     1. 초크 입력형은 콘덴서 입력형보다 직류출력전압이 높다.
     2. 초크입력형은 부하전류의 변화에 따라 전압변동률이 적다.
     3. 콘덴서 입력형은 비교적 소전력용이다.
     4. 콘덴서 입력형인 경우 리플을 감소시키기 위해서는 부하저항을 크게 하여야 한다.

     정답 : []
     정답률 : 34%
     <문제 해설>
                            콘덴서 입력형 [] 쵸크 입력형
직류 출력전압:        높다                         낮다
전압 변동률:            크다                         작다
역전압:                     높다                         낮다
맥동률:                     적다        부하전류가 작을수록 크다
용도:                     소 전력용             대 전력용
*외워두면 엄청 편리하니 꼭 외워두기
[해설작성자 : comcbt.com 이용자]

3. AM변조에서 과변조를 행하였을 때 일어나는 현상이 아닌 것은?
     1. 수신할 때 검파출력이 일그러져 나타난다.
     2. 변조도는 1보다 커진다.
     3. 고조파가 많이 복사되게 된다.
     4. 점유 주파수대폭이 좁아진다.

     정답 : []
     정답률 : 55%

4. 그림과 같은 회로에서 VCC=6[V], VBE=0.6V[V], RB=300[kΩ]일 때 Ib는 몇 [μA]인가?

   

     1. 6
     2. 12
     3. 18
     4. 24

     정답 : []
     정답률 : 60%

5. AM 변조에서 변조도가 100[%]보다 적어지면 적어질수록 반송파가 점유하는 전력은? (단, 비변조파의 전력은 일정할 때의 경우임)
     1. 동일하다.
     2. 커진다.
     3. 적어진다.
     4. 없다.

     정답 : []
     정답률 : 63%

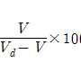
6. 어떤 전원의 부하를 연결했을 때 직류전압이 100[V]이고, 부하가 없을 때 직류전압이 110[V]였다면, 전압변동률은 몇[%]인가?
     1. 5
     2. 10
     3. 11
     4. 12

     정답 : []
     정답률 : 84%
     <문제 해설>
[(무부하시 전압-직류 전압)/직류 전압] X100
[해설작성자 : comcbt.com 이용자]

7. 다음 중 부궤환 증폭회로에 대한 설명으로 적합하지 않은 것은?
     1. 증폭도가 저하된다.
     2. 안정도가 감소한다.
     3. 주파수 특성이 개선된다.
     4. 입출력 임피던스가 궤환에 의해 변화된다.

     정답 : []
     정답률 : 54%
     <문제 해설>
부궤한 증폭회로는 증도가 저하되고 주파수 특성과 안정도가 개선됩니다!
[해설작성자 : comcbt.com 이용자]

8. 그림과 같은 회로의 기능은?

   

     1. 비안정 멀티바이브레이터
     2. 단안정 멀티바이브레이터
     3. 쌍안정 멀티바이브레이터
     4. 슈미트 트리거 회로

     정답 : []
     정답률 : 48%
     <문제 해설>
사진 오른쪽 위 Vcc 화살표가 오른쪽으로 향하고 있다 그러므로 단안정 멀티브레이터 이다 만약 화살표가 위로 향한다면 비안정 멀티브레이터이다
[해설작성자 : 공마고 이하민]

9. 펄스폭 Tw가 1초, 반복주기 Tr이 5초이면 반복주파수는 몇 [㎐]인가?
     1. 0.2
     2. 0.25
     3. 1
     4. 1.5

     정답 : []
     정답률 : 69%
     <문제 해설>
f = 1/Tr = 1/5 = 0.2
[해설작성자 : 공마고 임채윤]

10. 입력전압이 500[mV]일 때 5[V]가 출력되었다면 전압증폭도는?
     1. 9배
     2. 10배
     3. 90배
     4. 100배

     정답 : []
     정답률 : 72%
     <문제 해설>
500[mV] -> 0.5[V] -> 10 x 0.5 = 5[V]
[해설작성자 : 포철]

출력/입력
-> 5/500x10^-3 = 10
[해설작성자 : 공마 ㅈㅅㅇ]

11. 수정진동자가 발진하기 위해서는 어떠한 리액턴스를 가져야 하는가?
     1. 유도성
     2. 용량성
     3. 지향성
     4. 유도성, 용량성이 교대

     정답 : []
     정답률 : 61%

12. 다음 중 이상적인 연산증폭기의 특성에 대한 설명으로 적합하지 않은 것은?
     1. 입력저항이 무한대이다.
     2. 출력저항이 무한대이다.
     3. 주파수 대역폭이 무한대이다.
     4. 개루프 전압이득이 무한대이다.

     정답 : []
     정답률 : 72%
     <문제 해설>
이상적인 연산 증폭기는 출력 저항이 0이다
[해설작성자 : 공주마이스터고등학교 b]

13. 다음 연산증폭기의 출력 전압 VO는?

    

     1. -2[V]
     2. -5[V]
     3. -6[V]
     4. -10[V]

     정답 : []
     정답률 : 37%
     <문제 해설>
저 회로 이름은 반전증폭기 임
Vout = -(R1/R2)Vin
인데 저 그림에선 Vout을 Vo라고 적었고 Vin을 Vs라고 적었으니까
Vout을 Vo로 치환하고 Vin은 Vs로 치환해서 계산하면 됨
참고로 연산증폭기 회로라고 검색하면 잘 정리된거 많아
[해설작성자 : 여기 왤케 해석 없는게 많아... 불편하게 시리]

Vo=-(R2/R1)Vin 입니다
즉, Vo=-(50x10^3/10x10^3)x2=-10 입니다
[해설작성자 : 수도 전자 ]

14. 베이스접지 증폭회로에서 컬렉터 전류 IC는? (단, IE는 이미터전류, ICO는 컬렉터 차단전류, α는 전류증폭률을 나타낸다.)
     1. IE+αICO
     2. IE-αICO
     3. αIE+ICO
     4. αIE-ICO

     정답 : []
     정답률 : 50%

15. 다음 중 정류회로의 종류가 아닌 것은?
     1. 브리지 정류회로
     2. 반파 정류회로
     3. 전파 정류회로
     4. 정전압 정류회로

     정답 : []
     정답률 : 65%

2과목 : 전자계산기일반


16. A급 트랜지스터 전력증폭회로의 최대효율을 몇 [%]인가?
     1. 25[%]
     2. 50[%]
     3. 78.5[%]
     4. 100[%]

     정답 : []
     정답률 : 70%
     <문제 해설>
A급:50%
B급:78%이하
C급:78.5%이상
AB급:70%이상
C>B>AB>A 순서로 크기가 나옴
[해설작성자 : 청주공고도제반20191005]

17. T플립플롭에 대한 설명으로 옳은 것은?
     1. 클록펄스가 인가되면 출력은 0이다.
     2. JK 플립플롭을 이용하여 구현할 수 없다.
     3. 클록펄스 인가 시 출력은 항상 1이다.
     4. 클록펄스가 인가되면 출력은 반전된다.

     정답 : []
     정답률 : 66%
     <문제 해설>
T플립플롭 이면 T가 Toggle(반전)의 앞글자 딴거라고
생각하시면 외우기 편해요 그래서 답은 4번
[해설작성자 : 공마 ㅈㅅㅇ]

18. 기억장치에 기억된 명령이 순서대로 중앙처리장치에서 실행될 수 있도록 그 주소를 지정해주는 레지스터는?
     1. 프로그램 카운터(PC)
     2. 누산기(AC)
     3. 명령 레지스터(IR)
     4. 스택 포인터(SP)

     정답 : []
     정답률 : 65%

19. 프로그램에 대한 설명으로 잘못된 것은?
     1. 컴퓨터가 이해할 수 있는 언어를 프로그래밍 언어라 한다.
     2. 프로그램을 작성하는 일을 프로그래밍이라 한다.
     3. 프로그래밍 언어에는 C, 베이직, 포토샵 등이 있다.
     4. 컴퓨터가 행동하도록 단계적으로 지시하는 명령문의 집합체를 프로그램이라 한다.

     정답 : []
     정답률 : 81%
     <문제 해설>
포토샵은 사진편집....
[해설작성자 : 동아마이스터고 전기전자제어과]

20. 문자를 삽입할 때 필요한 연산은?
     1. OR 연산
     2. ROTATE 연산
     3. AND 연산
     4. MOVE 연산

     정답 : []
     정답률 : 53%
     <문제 해설>
문자를 제거할 때는 AND
문자를 삽입할 때는 OR 이라고 기억하시면 됩니다.
[해설작성자 : 우리 모두 시험 합격합시다]

21. 10진수 0.9375를 8진수로 변환하면?
     1. (0.73)8
     2. (0.74)8
     3. (0.76)8
     4. (0.77)8

     정답 : []
     정답률 : 57%
     <문제 해설>
0.9375를 8진수로 변환하는 방법: 소수점의 자리를 8로 곱하여 소수점의 자리가 0이 될 때까지 곱하면 된다.
[해설작성자 : comcbt.com 이용자]

22. 순서도 기호 중에서 비교, 판단 등을 나타내는 기호는?
     1.
     2.
     3.
     4.

     정답 : []
     정답률 : 84%
     <문제 해설>
1번은 미리 정의된 처리(미리 정의된 처리로 옮길 때 사용)
2번은 판단(참, 거짓의 조건에 따라 판단)
3번은 수동입력(콘솔에 의한 입력)
4번은 입출력(데이터의 입력과 출력)
[해설작성자 : comcbt.com 이용자]

23. 간접주소지정(indirect addressing)의 설명으로 옳은 것은?
     1. 대상주소의 데이터가 실제 데이터가 있는 주소가 되는 방식
     2. 주소지정방식은 인덱스 레지스터를 사용
     3. 데이터를 직접 레지스터에 더하거나 가져오거나 하는 방식
     4. 어드레스의 번지에 따라 변동성을 가지고 있는 방식

     정답 : []
     정답률 : 55%

24. 캐시 기억장치(cache memory)가 위치하는 곳은?
     1. 입력장치와 출력장치 사이
     2. 주기억장치와 보조기억장치 사이
     3. 중앙처리장치와 보조기억장치 사이
     4. 중앙처리장치와 주기억장치 사이

     정답 : []
     정답률 : 63%
     <문제 해설>
CPU 와 RAM 사이 입니다
즉 중앙처리장치와 주기억장치 사이입니다.

주기억장치가 HDD ,SSD 와 같은 저장공간 아니냐고 분이 간혹 계십니다.
HDD 와 SSD 는 보조기억장치입니다. 기억하세요
[해설작성자 : 가오충 박찬]

25. 컴퓨터의 주변장치에 해당되는 것은?
     1. 연산장치
     2. 제어장치
     3. 주기억장치
     4. 보조기억장치

     정답 : []
     정답률 : 78%

26. 숫자나 문자 등의 키보드입력을 2진코드로 부호화하는 데 사용되는 것은?
     1. 인코더(encoder)
     2. 디코더(decoder)
     3. 멀티플렉서(multiplexer)
     4. 디멀티플렉서(demultiplexer)

     정답 : []
     정답률 : 51%

27. 다음 진리표를 만족시키는 회로는?

    

     1. 전가산기
     2. 반감산기
     3. XOR gate
     4. OR gate

     정답 : []
     정답률 : 57%

28. 다음 논리식 중 틀린 것은?
     1.
     2.
     3.
     4.

     정답 : []
     정답률 : 65%

29. 동축케이블로 전달되는 초단파대의 전력측정에 사용되는 전력계는?
     1. 의사 부하법
     2. C-C형 전력계
     3. C-M형 전력계
     4. 볼로미터 전력계

     정답 : []
     정답률 : 50%

30. 지침형 주파수계의 동작원리에 다른 분류에 속하지 않는 것은?
     1. 진동편형
     2. 가동철편형
     3. 편위형
     4. 전류력계형

     정답 : []
     정답률 : 47%

3과목 : 전자측정


31. 미소전류로 동작되며 일반적으로 고주파 전류측정에 많이 사용되고 있는 계기는?
     1. 가동철편형
     2. 전류력계형
     3. 유동형
     4. 열전대형

     정답 : []
     정답률 : 41%
     <문제 해설>
고주파 전류는 주로 열전형 전류계로 측정한다.
TMI:측정할 수 있는 주파수의 범위는 휴대용이 5[MHz]정도이고, 기기 장치용은 100[MHz] 정도까지이다.
[해설작성자 : 공주마고 ㅈㅅㅂ]

32. 소인(sweep) 발진기의 주용도로 옳은 것은?
     1. 주파수 특성측정
     2. 전압측정
     3. 전류측정
     4. 위상측정

     정답 : []
     정답률 : 60%
     <문제 해설>
소인 발진기는 오실로스코프와 조합하여 각종 무선 주파 회로의 주파수 특성을 직시하기 위해 사용하는 것으로, 수신기의 중간주파 특성, FM 수신기의 주파수 변별기 또는 광대역 증폭기 등의 조정에 많이 사용됩니다.
[해설작성자 : 김맹고]

33. 절연물의 유전체 손실각을 측정하는 데 쓰이는 브리지는?
     1. 헤이 브리지(Hay bridge)
     2. 셰링 브리지(Schering bridge)
     3. 맥스웰 브리지(Maxwell bridge)
     4. 하트숀 브리지(Hartshorn bridge)

     정답 : []
     정답률 : 72%

34. 기준 전압이 1[V]일 때, 측정전압이 10[V]이면 몇 [dB]인가?
     1. 0[dB]
     2. 10[dB]
     3. 14[dB]
     4. 20[dB]

     정답 : []
     정답률 : 56%

35. 증폭기의 일그러짐률 측정법이 아닌 것은?
     1. 필터법
     2. 공진브리지법
     3. 검류계법
     4. 왜율계법

     정답 : []
     정답률 : 44%
     <문제 해설>
증폭기의 왜율(일그러짐률)의 측정법 3가지    
- 필터법
- 공진브리지법
- 왜율계
[해설작성자 : 공주마고 jsb]

36. 전류계의 측정범위를 확대하기 위하여 전류계와 병렬로 접속하는 저항기는?
     1. 배율기
     2. 분류기
     3. 분압기
     4. 변류기

     정답 : []
     정답률 : 59%
     <문제 해설>
병렬-전압계-분류기
직렬-전류계-배율기
[해설작성자 : 공주마이스터고 b]

37. 그림에서 a=15[mm], b=13[mm]라 하면 수직, 수평 두 전압의 위상차는?

    

     1. 약 30°
     2. 약 45°
     3. 약 60°
     4. 약 75°

     정답 : []
     정답률 : 52%
     <문제 해설>
아크 탄젠트 13/15=60
[해설작성자 : 평택마이스터고]

아래와 같은 오류 신고가 있었습니다.
여러분들의 많은 의견 부탁 드립니다.
추후 여러분들의 의견을 반영하여 정답을 수정하도록 하겠습니다.
참고로 정답 변경은 오류 신고 5회 이상일 경우 수정합니다.

[오류 신고 내용]
아크 탄젠트가 아니라 아크 사인이 맞지 않나요?
아크 탄젠트 13/15는 40.9가 나오고 아크 사인 13/15는 60 나오던데
[해설작성자 : 수도 전자]

38. 지시계기의 구비조건으로 옳지 않은 것은?
     1. 확도가 낮고, 오차가 적을 것
     2. 응답도가 좋을 것
     3. 취급하기가 편리하고, 튼튼할 것
     4. 절연 및 내구성이 높을 것

     정답 : []
     정답률 : 67%
     <문제 해설>
확도가 높아야 됩니다

39. 우연오차에 대한 설명으로 옳은 것은?
     1. 측정자의 버릇에 기인하는 오차
     2. 측정조건이 갑자기 변화하거나 측정자의 주의력에 동요되는 오차
     3. 계기 눈금을 잘못 읽어서 생기는 오차
     4. 측정값을 잘못 기록하여 생기는 오차

     정답 : []
     정답률 : 69%

40. 시간에 따라서 직선적으로 증가하는 전압은?
     1. 비교 전압
     2. 계수 전압
     3. 직류 전압
     4. 램프 전압

     정답 : []
     정답률 : 62%

41. 다음 중 음압의 단위는?
     1. [N/C]
     2. [μbar]
     3. [㎐]
     4. [Neper]

     정답 : []
     정답률 : 83%

42. 그림과 같이 복합유전체를 선택가열하는 경우 온도가 높은 순서로 옳은 것은? (단, 그림은 3개의 비커를 축이 일치하도록 하여 전극판 사이에 놓고 유전가열하는 경우로서 주파수는 20[㎒]로 하며, 식염수는 0.1[%] NaCl이다.)

    

     1. 식염수>지방>물
     2. 물>식염수>지방
     3. 지방>식염수>물
     4. 식염수>물>지방

     정답 : []
     정답률 : 77%

43. 주파수 특성의 표현법과 관계없는 것은?
     1. 벡터 궤적
     2. 나이퀴스트 선도
     3. 보드 선도
     4. 스칼라 궤적

     정답 : []
     정답률 : 61%

44. VHS 방식 VTR 테이프의 처음과 끝부분에 자성체가 없는 투명한 폴리에스테르 필름이 있는데, 이것의 용도는 무엇인가?
     1. 처음과 끝부분의 육안식별
     2. 빛센서에 의한 종단부 검출
     3. 자성체 유무에 의한 종단부 검출
     4. 장력에 의한 자동 리와인드 및 자동정지

     정답 : []
     정답률 : 55%

45. 수신기의 종합특성에 해당되지 않는 것은?
     1. 감도
     2. 충실도
     3. 선택도
     4. 변조도

     정답 : []
     정답률 : 63%

46. 선박이 A 무선표지국이 있는 항구에 입항하려고 할 때, 그 전파의 방향, 즉 진북에 대한 α도의 방향을 추적함으로써, A 무선표지국이 있는 항구에 직선으로 도달하는 것을 무엇이라고 하는가?

    

     1. 로란 (Loran)
     2. 데카 (Decca)
     3. 호밍 (Homing)
     4. 센스결정 (Sence determination)

     정답 : []
     정답률 : 75%

47. AVC 회로에 R=3[MΩ], C=0.05[μF]가 사용되고 있다. R=5[MΩ]로 증가시키면 시정수는 얼마로 변하는가?
     1. 0.15에서 0.25초로
     2. 0.25에서 0.15초로
     3. 0.15에서 1초로
     4. 0.25에서 1초로

     정답 : []
     정답률 : 58%
     <문제 해설>
AVC 회로에서 R이 3에서 5로 1.67배 증가되었기 때문에 시정수도 1.67배 증가시키면 됩니다. 따라서, 0.15(RC)에 1.67를 곱하면 0.25가 되므로 정답은 1번이 됩니다.
[해설작성자 : comcbt.com 이용자]

48. 다음 중 고주파 유전가열 장치로서 가공되는 것은?
     1. 금속의 용접
     2. 금속의 열처리
     3. 강철의 표면처리
     4. 플라스틱(Plastic)의 접착

     정답 : []
     정답률 : 60%

49. 서보기구라 함은 다음 중 어느 자동제어 장치를 나타내는 것인가?
     1. 온도
     2. 유량이나 압력
     3. 위치나 각도
     4. 시간

     정답 : []
     정답률 : 70%

50. 전자냉동에 대한 설명으로 가장 옳지 않은 것은?
     1. 온도조절이 용이하다.
     2. 대용량에 더욱 효율이 좋다.
     3. 소음이 없고 배관도 필요 없다.
     4. 전류방향만 바꾸어 냉각과 가열을 쉽게 변환할 수 있다.

     정답 : []
     정답률 : 65%
     <문제 해설>
전자냉동은 대용량에 효율이 좋지 않고, 소용량에 효율이 좋습니다!
[해설작성자 : comcbt.com 이용자]

51. 초음파 응용기기의 기능을 이용하는 데 알맞지 않은 곳은?
     1. 공기 속
     2. 물 속
     3. 기름 속
     4. 진공인 곳

     정답 : []
     정답률 : 69%

52. 슈퍼헤테로다인 수신기에서 중간주파수가 455[㎑]일 때 710[㎑]의 전파를 수신하고 있다. 이때 수신될 수 있는 영상주파수는 몇 [㎑]인가?
     1. 910
     2. 1165
     3. 1420
     4. 1620

     정답 : []
     정답률 : 54%
     <문제 해설>
아래와 같은 오류 신고가 있었습니다.
여러분들의 많은 의견 부탁 드립니다.
추후 여러분들의 의견을 반영하여 정답을 수정하도록 하겠습니다.
참고로 정답 변경은 오류 신고 5회 이상일 경우 수정합니다.

[오류 신고 내용]
영상주파수는 (국부발진주파수+중간주파수)인데 그럼 답 2번아닌가요?
[해설작성자 : kmj]

[오류신고 반론]
영상 주파수는 (국부발진 + 중간 x 2 )입니다
[해설작성자 : ㅇ]

[오류신고 반론]
영상주파수는 수신주파수+(중간주파수*2) 입니다.
따라서 710+(455*2)=1620 이므로 4번이 정답입니다
[해설작성자 : 이번주 필기 4개]

53. FM 수신기의 고주파 증폭에 전계효과 트랜지스터가 사용되는 주된 이유는?
     1. 입력 임피던스가 높기 때문에
     2. 증폭률이 높기 때문에
     3. 고주파 특성이 우수하기 때문에
     4. 회로 설계가 용이하기 때문에

     정답 : []
     정답률 : 46%

54. 무선 수신기의 공중선 회로를 밀 결합했을 때 생길 수 있는 현상은?
     1. 발진을 일으킨다.
     2. 동조점이 2개 나온다.
     3. 내부잡음이 많아진다.
     4. 영상혼신이 없어진다.

     정답 : []
     정답률 : 57%

55. 무선 표지방식에서 소형 선박을 대상으로 방향 탐색기를 설치하지 않은 소형 선박에서 라디오수신기와 같은 간단한 수신설비로서 표시전파를 수신하여 방위를 결정하는 방법은?
     1. 무지향성 무선 표지
     2. 회전식 무선 표지
     3. AN식 레인지 비컨
     4. VOR와 DME

     정답 : []
     정답률 : 51%

56. 다음 녹음기의 녹음헤드(HEAD)의 특징이 아닌 것은?
     1. 투자율이 높은 합금의 박판을 사용한다.
     2. 공극의 형상에 따라 녹음주파수 특성이 달라진다.
     3. 공극의 길이는 녹음파장에 비하여 충분히 넓은 것이 요망된다.
     4. 특수 퍼멀로이나 페라이트 등의 자성합금을 이용한다.

     정답 : []
     정답률 : 52%

57. 사이클링(cycling)을 일으키는 제어는?
     1. ON-OFF 제어
     2. 비례적분제어
     3. 적분제어
     4. 비례제어

     정답 : []
     정답률 : 59%

58. 도래 전파가 8[mV]이고, 입력 회로에서 반사되는 전압이 4[mV]일 때 정재파비(SWR)는?
     1. 1
     2. 2
     3. 3
     4. 4

     정답 : []
     정답률 : 40%
     <문제 해설>
| Vmax |        8 + 4        12
| ---- | =    ----- = ---- = 3
| Vmin |        8 - 4        4
(절댓값)
[해설작성자 : ㅁㄴㅇㄹ]

59. 다음 중 태양전지에 대한 설명으로 옳지 않은 것은?
     1. 축전장치가 필요하다.
     2. 장치가 간단하고 보수가 편하다.
     3. 대전력용은 부피가 크고, 가격이 비싸다.
     4. 빛의 방향에 따라 발생출력이 변하지 않는다.

     정답 : []
     정답률 : 65%
     <문제 해설>
4. 변해요
[해설작성자 : 변해운 드립아님]

60. 전자현미경의 성능을 결정하는 3요소로서 옳지 않은 것은?
     1. 배율
     2. 분해능률
     3. 투과도
     4. 빛의 세기

     정답 : []
     정답률 : 59%
     <문제 해설>
빛의 세기는 광학 현미경과 관련되어 있습니다.
[해설작성자 : comcbt.com 이용자]


정 답 지

1

2

3

4

5

6

7

8

9

10

11

12

13

14

15

16

17

18

19

20

21

22

23

24

25

26

27

28

29

30

31

32

33

34

35

36

37

38

39

40

41

42

43

44

45

46

47

48

49

50

51

52

53

54

55

56

57

58

59

60

전자기능사 필기 기출문제(해설) 및 CBT 2010년10월03일(5회)을 이용해 주셔서 감사합니다.
전자기기능사, 전자기기, 전자, 기기, 기능사, 필기, 기출문제, 전자문제집, CBT, 온라인, 모의테스트, 모의고사



List of Articles
번호 제목 글쓴이 날짜 조회 수
» 전자기능사 필기 기출문제(해설) 및 CBT 2010년10월03일(5회)(6843) 좋은아빠되기 2025.10.07 0
6535 전자기능사 필기 기출문제(해설) 및 CBT 2010년07월11일(4회)(6842) 좋은아빠되기 2025.10.07 0
6534 전자기능사 필기 기출문제(해설) 및 CBT 2010년03월28일(2회)(6841) 좋은아빠되기 2025.10.07 0
6533 전자기능사 필기 기출문제(해설) 및 CBT 2010년01월31일(1회)(6840) 좋은아빠되기 2025.10.07 0
6532 전자기능사 필기 기출문제(해설) 및 CBT 2009년09월27일(5회)(6839) 좋은아빠되기 2025.10.07 0
6531 전자기능사 필기 기출문제(해설) 및 CBT 2009년07월12일(4회)(6838) 좋은아빠되기 2025.10.07 0
6530 전자기능사 필기 기출문제(해설) 및 CBT 2009년03월29일(2회)(6837) 좋은아빠되기 2025.10.07 0
6529 전자기능사 필기 기출문제(해설) 및 CBT 2009년01월18일(1회)(6836) 좋은아빠되기 2025.10.07 0
6528 전자기능사 필기 기출문제(해설) 및 CBT 2008년10월05일(5회)(6835) 좋은아빠되기 2025.10.07 0
6527 전자기능사 필기 기출문제(해설) 및 CBT 2008년07월13일(4회)(6834) 좋은아빠되기 2025.10.07 0
6526 전자기능사 필기 기출문제(해설) 및 CBT 2008년03월30일(2회)(6833) 좋은아빠되기 2025.10.07 0
6525 전자기능사 필기 기출문제(해설) 및 CBT 2008년02월03일(1회)(6832) 좋은아빠되기 2025.10.07 1
6524 전자기능사 필기 기출문제(해설) 및 CBT 2007년09월16일(5회)(6831) 좋은아빠되기 2025.10.07 0
6523 전자기능사 필기 기출문제(해설) 및 CBT 2007년07월15일(4회)(6830) 좋은아빠되기 2025.10.07 0
6522 전자기능사 필기 기출문제(해설) 및 CBT 2007년04월01일(2회)(6829) 좋은아빠되기 2025.10.07 0
6521 전자기능사 필기 기출문제(해설) 및 CBT 2007년01월28일(1회)(6828) 좋은아빠되기 2025.10.07 0
6520 전자기능사 필기 기출문제(해설) 및 CBT 2006년10월01일(5회)(6827) 좋은아빠되기 2025.10.07 0
6519 전자기능사 필기 기출문제(해설) 및 CBT 2006년07월16일(4회)(6826) 좋은아빠되기 2025.10.07 0
6518 전자기능사 필기 기출문제(해설) 및 CBT 2006년04월02일(2회)(6825) 좋은아빠되기 2025.10.07 0
6517 전자기능사 필기 기출문제(해설) 및 CBT 2006년01월22일(1회)(6824) 좋은아빠되기 2025.10.07 0
Board Pagination Prev 1 ... 231 232 233 234 235 236 237 238 239 240 ... 562 Next
/ 562