자격증 필기 기출문제



전자캐드기능사 필기 기출문제(해설) 및 CBT 2016년04월02일(2회)(6900)

최강 자격증 기출문제 전자문제집 CBT : www.comcbt.com


전자문제집 CBT란?

종이 문제집이 아닌 인터넷으로 문제를 풀고 자동으로 채점하며 모의고사, 오답 노트, 해설까지 제공하는
무료 기출문제 학습 프로그램으로 실제 상설검정에서 사용하는 OMR 형식의 CBT를 제공합니다.


최신 전자캐드기능사 필기 기출문제 : [다운로드]

1과목 : 전기전자공학(대략구분)


1. 집적회로(Integrated Circuit)의 장점이 아닌 것은?
     1. 신뢰성이 높다.
     2. 대량 생산할 수 있다.
     3. 회로를 초소형으로 할 수 있다.
     4. 주로 고주파 대전력용으로 사용된다.

     정답 : []
     정답률 : 82%
     <문제 해설>
IC (집적회로)의 장점
1. 경박단소(가볍고, 얇고, 짧고, 작게)를 실현. 심지어 초경량, 초박형, 초소형을 실현. (IC를 사용하면 제품 크기가 작아지고, 가벼워진다는 뜻.)
2. 전력 소비가 적다.
3. 온도에 따라 회로정수가 요동치지 않는다. (회로 부품들이 같이 패키지되어 있으니까.)
4. 경제적이다. (=가격이 싸다. TR이 10,000개 들어 있는 IC가 1,000원이라면, 정말 싸다는 걸 알 수 있다. TR 10,000개 가격은?)
5. 대량생산에 적합하다. (주문자 생산 IC의 경우, 같은 회로를 기판에 TR, R, C 등으로 납땜하는 것보다, IC화 하면 대량생산 하기에 용이하다.)
6. 고속, 고성능, 고효율이 실현된다.
7. 신뢰성이 높다 (IC를 쓰면 전체 회로가 간단해지고 납땜점,배선 등이 줄어들어 고장 가능성이 줄어든다. IC 자체도 고장이 잘 안난다.)
[해설작성자 : 장호진]

2. 3단자 레귤레이터 정전압 회로의 특징이 아닌 것은?
     1. 발진 방지용 커패시터가 필요하다.
     2. 소비 전류가 적은 전원 회로에 사용한다.
     3. 많은 전력이 필요한 경우에는 적합하지 않다.
     4. 전력소모가 적어 방열대책이 필요 없는 장점이 있다.

     정답 : []
     정답률 : 73%
     <문제 해설>
높은 전압을 연결하면 열이 상당히 많이 발생하여 방열 대책이 필요합니다.
[해설작성자 : mumu092]

3. 다음 정전압 안정화 회로에서 제너다이오드 ZD의 역할은? (단, 입력전압은 출력전압보다 높다.)

   

     1. 정류작용
     2. 기준전압 유지 작용
     3. 제어작용
     4. 검파작용

     정답 : []
     정답률 : 65%
     <문제 해설>
제너다이오드에는 제너전압보다 높을 때 역방향전류가 흘러
거의 일정한 제너전압을 만든다. 즉, 기준전압 유지 작용을 한다.
[해설작성자 : 할렐루야]

4. 연산증폭기의 연산의 정확도를 높이기 위해 요구되는 사항이 아닌 것은?
     1. 좋은 차단 특성을 가져야 한다.
     2. 큰 증폭도와 좋은 안정도를 필요로 한다.
     3. 많은 양의 부궤환을 안정하게 걸 수 있어야 한다.
     4. 높은 주파수의 발진출력을 지속적으로 내야 한다.

     정답 : []
     정답률 : 63%
     <문제 해설>
연산 증폭기는 저주파입니다. 참고 하세요
[해설작성자 : 대가리]

5. 전자기파에 대한 설명 중 틀린 것은?
     1. 전자기파는 수중의 표면에서 일어나 는 현상을 관찰하는 데 이용된다.
     2. 전자기파란 주기적으로 세기가 변화 하는 전자기장이 공간으로 전파해 나가는 것을 말한다.
     3. 전자기파는 우주공간에서 전파의 전달이 불가능하다.
     4. 전자기파는 매질이 없어도 진행할 수 있다.

     정답 : []
     정답률 : 75%
     <문제 해설>
우주비행사들이 우주에서 대화가 가능한 것은 전자기파 때문입니다.
[해설작성자 : comcbt.com 이용자]

전자기파=전기파+자기파 인데 이중 전기파의 전계와 관련있는 유전율과 전자파의 자계와 관련있는 투자율의 기준(비 유전/투자율)이 공기=진공=1입니다. 매질이 없는 진공에서도 공기와 같은 속도로 진행할 수 있습니다.
[해설작성자 : comcbt.com 이용자]

6. 단급 푸시풀 증폭기에 대한 설명으로 옳은 것은?
     1. 효율이 낮은 대신 왜곡이 거의 없다.
     2. 무선 통신에서 고주파인 반송파 전력 증폭회로에 사용된다.
     3. A급 전력증폭회로에 비해 전력효율이 좋다.
     4. 교차 일그러짐 현상이 없다.

     정답 : []
     정답률 : 58%
     <문제 해설>
단급 푸시풀 증폭기는 B급 푸시풀 증폭기라고도 불린다
즉 단급 = B만 기억하고 A급으로 찍자
[해설작성자 : 만점 맞고싶어ㅠㅠ]

7. LC 발진기에서 일어나기 쉬운 이상 현상이 아닌 것은?
     1. 기생 진동(Parasitic Oscillator)
     2. 자왜(磁番) 현상
     3. 블로킹 (Blocking) 현상
     4. 인입 현상(Pull-in Phenomenon)

     정답 : []
     정답률 : 70%
     <문제 해설>
[LC 발진기의 이상 현상] - 간헐 진동,기생 진동,인입 현상,블로킹 현상
"간 기 인 블" 기억하고 기억하자
[해설작성자 : 만점 맞고싶어ㅠㅠ]

8. 다음 중 광전변환소자가 아닌 것은?
     1. 포토 트랜지스터
     2. 태양전지
     3. 홀 발전기
     4. CCD(Charge Coupled Device) 센서

     정답 : []
     정답률 : 62%
     <문제 해설>
홀효과란 도체가 자기장 속에 놓여 있을 때 그 자기장에 직각방향으로 전류를 흘려주면 자기장과 전류 모두에 수직인 방향으로 전위차가 발생하는 현상
[해설작성자 : 음]

9. 적분기 회로를 구성하기 위한 회로는?
     1. 저역통과 RC회로
     2. 고역통과 RC회로
     3. 대역통과 RC회로
     4. 대역소거 RC회로

     정답 : []
     정답률 : 70%
     <문제 해설>
적분기 회로는 저역통과 RC회로 입니다.
[해설작성자 : 비전동전기남]

10. 정격전압에서 100[W]의 전력을 소비하는 전열기에 정격전압의 60[%] 전압을 가할 때의 소비전력은 몇 [W]인가?
     1. 36
     2. 40
     3. 50
     4. 60

     정답 : []
     정답률 : 54%
     <문제 해설>
                    V^2                                 V^2
W = IV = ---    = 100[W] , R = ---                                                                    
                    R                                    100    

                                                                                                    

                                                        (0.6V)^2
60%의 전압을 가했을 때 : W =    ----                        100x0.36xV^2
                                                         V^2        =        ------------------- = 36[W]
                                                        ---                                    V^2    
                                                        100            
[해설작성자 : 포철공고 이석훈]

11. 다음과 같은 회로의 명칭은?

    

     1. 미분회로
     2. 적분회로
     3. 가산기형 D/A 변환회로
     4. 부호 변환회로

     정답 : []
     정답률 : 64%
     <문제 해설>
미분기와 적분기는 콘덴서가 들어가니 아닙니다.
[해설작성자 : Yogusaron 톡디 14007485]

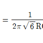
12. 실제적인 R-L-C 병렬공진회로에서 R이 2[Ω], L은 400[μH], C는 250[pF] 일 경우에 공진 주파수는 약 몇 [kHz]인가?
     1. 200
     2. 300
     3. 450
     4. 500

     정답 : []
     정답률 : 45%
     <문제 해설>
Xc=XL,
f(공진주파수) = 1/{2ㅠ(파이)*루트(L*C)}

13. 단상 전파정류기의 DC 출력전압은 단상 반파정류기 DC 출력전압의 몇 배인가?
     1. 2
     2. 3
     3. 4
     4. 5

     정답 : []
     정답률 : 67%
     <문제 해설>
단상 반파 * 2 = 단상 전파
3상 반파 * 2 = 3상 전파
[해설작성자 : 비전동전기남]

14. 커패시터 중에서 고주파회로와 바이패스(Bypass) 용도로 많이 사용되며 비교적 가격이 저렴한 커패시터는?
     1. 세라믹 커패시터
     2. 마일러 커패시터
     3. 탄탈 커패시터
     4. 전해 커패시터

     정답 : []
     정답률 : 67%
     <문제 해설>
세라믹 커패시터는 종이의 재질로 되어있는 마일러, 전해 커패시터보다 작은터는 종이의 재질로 되어있고 마일러, 전해 커패시터보다 작습니다.
크기도 작은 만큼 가장 저렴하죠
[해설작성자 : 비전동전기남]

15. 다음 중 N형 반도체를 만드는 데 사용되는 불순물의 원소는?
     1. 인듐(In)
     2. 비소(As)
     3. 갈륨(Ga)
     4. 알루미늄(Al)

     정답 : []
     정답률 : 78%
     <문제 해설>
N형 반도체 불순물
인(P) 비소(As) 안티모니(SB)
[해설작성자 : 맘마미아!]

p형 반도체를 만들기 위해서는 IN(인듐),Ga(갈륨),B(붕소),Al(알루미늄) 등이 필요하다
N형 반도체의 P(인)과 똑같으니 영어 약자도 외우시길 추천
[해설작성자 : 만점 맞고싶어ㅠㅠ]

2과목 : 전자계산기일반(대략구분)


16. 10진수 0~9를 식별해서 나타내고 기억하는 데에는 몇 비트의 기억 용량이 필요한가?
     1. 2비트
     2. 3비트
     3. 4비트
     4. 5비트

     정답 : []
     정답률 : 72%
     <문제 해설>
2의n승 0~10= 10비트 필요
2의2승=숫자 4개
2의3승=숫자 8개
2의4승=숫자 16개
[해설작성자 : .]

2비트 : 0~3
3비트 : 0~7
4비트 : 0~15
7비트 : 0~63
기억합시다 !
[해설작성자 : 만점 맞고싶어ㅠㅠ]

17. 컴퓨터의 주기억장치와 주변장치 사이에서 데이터를 주고받을 때, 둘 사이의 전송 속도 차이를 해결하기 위해 전송할 정보를 임시로 저장하는 고속 기억장치는?
     1. Address
     2. Buffer
     3. Channel
     4. Register

     정답 : []
     정답률 : 65%
     <문제 해설>
주기억장치 - 주변장치 = Buffer
CPU - 입출력장치 = Channel
[해설작성자 : 상]

18. 데이터베이스를 사용할 때, 데이터베이스에 접근할 수 있는 하부 언어로 구조적 질의어라고도 하는 언어는?
     1. 포트란(FORTRAN)
     2. C
     3. 자바(Java)
     4. SQL

     정답 : []
     정답률 : 56%
     <문제 해설>
언어 문제가 나오면
1.포트란 : 과학계산기용으로 주로 사용되는 언어
2.C : 운영체제나 언어처리계 등의 시스템 기술에 적합한 프로그래밍(C언어)
3. 자바 : 인터넷 환경에서 가장 활발히 사용되는 프로그래밍 언어(자바 스크립트)
[해설작성자 : 만점 맞고싶어ㅠㅠ]

Structured Query Language 구조화 질의어. 관계형 데이터 베이스 관리시스템(RDBMS)의 데이터를 관리하기 위해 설계된 특수 목적의 프로그래밍 언어라고 합니다.
[해설작성자 : comcbt.com 이용자]

19. 레지스터와 유사하게 동작하는 임시저장 장소로써 다음 실행할 명령어의 주소를 기억하는 기능을 하는 것은?
     1. 레지스터
     2. 프로그램 카운터
     3. 기억장치
     4. 플립플롭

     정답 : []
     정답률 : 60%
     <문제 해설>
다음 실행 할 명령어의 주소를 기억하는 기능을 하는 것은 PC라고 불리는 프로그램 카운터 입니다.
[해설작성자 : 비전동전기남]

20. (1011010)2를 8진수와 16진수로 변환하면?
     1. (132)8, (5A)16
     2. (132)8. (5B)16
     3. (131)8, (5A)16
     4. (131)8, (50)16

     정답 : []
     정답률 : 65%
     <문제 해설>
8진수는 3비트를. 16진수는 4비트를 사용합니다.
_ _ _ _
8 4 2 1    이렇게 되는데요
만약에 101이다 라고하면 0은 생략하고 1이 있는 4과 1을 더해 5가 됩니다.
그리고 1011이라고하면 8+2+1 = 11이 됩니다.
8비트는 소수점이 있는곳에서 부터 3개씩 끊고 16비트는 소수점에서부터 4개씩 끊습니다.
[해설작성자 : 비전동전기남]

21. 2진수 10101 에 대한 2의 보수는?
     1. 11001
     2. 01010
     3. 01011
     4. 11000

     정답 : []
     정답률 : 74%
     <문제 해설>
1의 보수=01010
2의 보수=01010+1=01011
[해설작성자 : ㅋ]

2의 보수는 1의 보수에서 1만 더해주시면 됩니당~
[해설작성자 : ㅍㅊㄱㄱ ㅇㅅㅁ]

22. 마이크로프로세서에서 가산기를 주축으로 구성된 장치는?
     1. 제어장치
     2. 입출력장치
     3. 산술논리 연산장치
     4. 레지스터

     정답 : []
     정답률 : 78%
     <문제 해설>
가산기는 계산하는거니 산술논리적으로
[해설작성자 : 윤상아보고있냐]

23. 다음 중 제어장치의 역할이 아닌 것은?
     1. 명령을 해독한다.
     2. 두 수의 크기를 비교한다.
     3. 입출력을 제어한다.
     4. 시스템 전체를 감시 제어한다.

     정답 : []
     정답률 : 73%
     <문제 해설>
두 수의 크기를 비교하는 것은 연산장치가 해야 할 일이죠?
[해설작성자 : 콜드카우]

24. 비수치적 연산에서 하나의 레지스터에 기억된 데이터를 다른 레지스터로 옮기는 데 사용되는 연산은?
     1. OR
     2. AND
     3. SHIFT
     4. MOVE

     정답 : []
     정답률 : 77%
     <문제 해설>
옮기다는 MOVE입나다
[해설작성자 : 예찬조]

25. 순서도(Flowchart)의 특징이 아닌 것은?
     1. 프로그램 코딩 (Coding) 의 기초 자료 가 된다.
     2. 프로그램 코딩 전 기초 자료가 된다.
     3. 오류 수정(Debugging)이 용이하다,
     4. 사용하는 언어에 따라 기호. 형태도 달라진다.

     정답 : []
     정답률 : 75%
     <문제 해설>
순서도는 프로그래밍 언어의 종류와 와 관계 없이 동일합니다.

26. 주변장치의 입출력방법이 아닌 것은?
     1. 데이지체인방법
     2. 트랩방법
     3. 인터럽트방법
     4. 풀링방법

     정답 : []
     정답률 : 52%
     <문제 해설>
인터럽트 방식: 메인에서 입출력을 주고 받는 방법으로 H/W, S/W중에서 자체적으로 입출력을 받을 때, 메인함수에 끼어들어(인터럽트) 분기함수를 실행.
데이지체인방법: 데이지체인(빨랫줄에 물건을 주렁주렁 매단형상) 하드웨어적으로 직렬로 연결된 인터럽트 우선순위판별 방식.
Polling: 소프트웨어적으로 인터럽트 우선순위를 판별하는 방식으로 입출력시 해당 인터럽트 함수의 상태 레지스터의 비트를 변경한다.
[해설작성자 : comcbt.com 이용자]

27. CPU와 입출력 사이에 클록신호에 맞추어 송·수신하는 전송제어방식을 무엇이라 하는가?
     1. 직렬 인터페이스(Serial Interface)
     2. 병렬 인터페이스(Parallel Interface)
     3. 동기 인터페이스(Synchronous Inter- face)
     4. 비동기 인터페이스(Asynchronous Interface)

     정답 : []
     정답률 : 68%
     <문제 해설>
클록신호는 동기식
[해설작성자 : 구전공공유]

28. 입출력장치와 CPU 사이에 존재하는 속도 차를 줄이기 위해 사용하는 것은?
     1. Bus
     2. Channel
     3. Buffer
     4. Device

     정답 : []
     정답률 : 54%
     <문제 해설>
속도차이 줄인다고 버퍼로 많이 생각하시는데
입시채널(입 출력 + C PU) 라고 생각하시면 되요
[해설작성자 : comcbt.com 이용자]

CPU와 입출력장치의 속도의 차이를 극복하기 위한 장치가 Channel입니다
[해설작성자 : 만점 맞고싶어ㅠㅠ]

29. 도면 작성 시 기본 단위로 옳은 것은?
     1.
     2.
     3. m
     4.

     정답 : []
     정답률 : 85%
     <문제 해설>
도면은 mm
cm는 애매하고 m는 너무    크고 km도 너무 크고
가장 적당한 mm가 좋다
[해설작성자 : 기여미혀니꿍]

30. 다음 그림의 기호를 가진 부품은?

    

     1. 트랜지스터
     2. 크리스탈
     3. 레귤레이터
     4. Buzzer

     정답 : []
     정답률 : 73%
     <문제 해설>
트랜지스터(TR)은 3핀으로 되어있는 것은 같지만 베이스(B) 이미터(E) 컬렉터(C)로 되어있습니다.
크리스탈은 유리이고요
위의 기호는 3핀의 레귤레이터 입니다.
부저(Buzzer)는 2핀으로 되어있고, 여자되면 소리가 납니다.
[해설작성자 : 비전동전기남]

31. 다음 논리게이트 기호로 맞는 것은?

    

     1. AND Gate
     2. OR Gate
     3. NAND Gate
     4. NOR Gate

     정답 : []
     정답률 : 85%
     <문제 해설>
AND게이트 + NOT게이트 = NAND 게이트
[해설작성자 : 북딱]

32. 회로의 개방, 단락 등의 오배선을 검사하여 오류를 화면이나 텍스트 파일로 보여 주는 것은?
     1. Clean Up
     2. Set
     3. Quit
     4. ERC

     정답 : []
     정답률 : 77%
     <문제 해설>
*그냥 쉽게 외우는 팁*
오류가 영어로 Error 입니다.
첫 글자 E를 딴 ERC가 답이 됩니다.
[해설작성자 : 비전동전기남]

ERC는 Electronic Rule Check라는 의미입니다.
검사=check
[해설작성자 : ㅍㅊㄱㄱ ㅇㅅㅁ]

ERC는 Electronic Rule Check라는 의미가 아니라
DRC(Design Rules Check) 입니다.
[해설작성자 : PADS]

Electrical Rule Check: 전기적 규칙 검사. Schematic 회로도 프로그램에서 오배선을 검사합니다. 제도만 목적이면 검도만 거치고 ERC를 안해도 크게 상관없지만, SPICE 시뮬레이션을 한다면 반드시 시행해야 합니다.
Design Rule Check: 설계 규칙 검사. PCB 설계 프로그램에서 미리 설정한 규정(패턴간격, Copper 면적등)을 검사합니다. DRC가 좀더 개념범위가 커서 ERC를 포함한다고 생각합니다.
[해설작성자 : comcbt.com 이용자]

33. 다음 심볼이 나타내는 부품은?

    

     1. 가변용량 다이오드
     2. 제너 다이오드
     3. 발광 다이오드
     4. 정류 다이오드

     정답 : []
     정답률 : 85%
     <문제 해설>
이것 그냥 외워야 한다
2번
[해설작성자 : 시험공부 그만 하고 싶다]

Z랑 비슷하게 생겼죠?
Zㅔ너 다이오드 입니다
[해설작성자 : comcbt.com 이용자]

34. 반도체 소자 중 전압의 크기에 따라 저항값이 변하는 성질이 있는 소자는?
     1. 배리스터
     2. 서미스터
     3. 트랜지스터
     4. 다이오드

     정답 : []
     정답률 : 56%
     <문제 해설>
배리스터:전압의 크기에 따라 저항값이 변화
서미스터:저항의 온도에 따라 저항값이 변화
[해설작성자 : KMS]

35. 한국산업표준(KS)의 전자제도통칙에 대한 설명으로 틀린 것은?
     1. 전자기기나 제품의 제도에는 특수한 방법이나 기호 등을 사용한다.
     2. 기하학적 도법에 기초를 둔 것으로 기 기 구조의 표시방법은 기계제도와 동 일하다.
     3. 설계된 기기의 모양이나 치수 또는 시 설의 배치회로의 결선 등을 도면으로 정확하게 표시해야 한다.
     4. 한국산업표준에 규정된 사용방법을 따르며 도면은 임의로 그려도 된다.

     정답 : []
     정답률 : 71%
     <문제 해설>
도면도 당연히 KS에 따라야 하죠.
[해설작성자 : 비전동전기남]

36. 국제표준화기구의 규격기호는?
     1. ANSI
     2. KS
     3. DIN
     4. ISO

     정답 : []
     정답률 : 82%
     <문제 해설>
ANSI:미국표준협회
KS:한국산업표준
DIN:독일국가표준
ISO:국제표준화기구

37. 설계도면에 적용한 축척이 1:5일 때 실제 길이가 1[㎝]인 객체는 도면상에 몇 [㎝]로 표현되는가?
     1. 0.2
     2. 1
     3. 2
     4. 5

     정답 : []
     정답률 : 68%
     <문제 해설>
1:5는 1을 5로 나눈것이기 때문에 0.2가 답이다
[해설작성자 : 2sky]

38. 다음 소자 중 3단자 반도체 소자가 아닌 것은?
     1. SCR
     2. Diode
     3. FET
     4. UJT

     정답 : []
     정답률 : 74%
     <문제 해설>
다이오드(Diode)는 2단자 입니다.
[해설작성자 : 비전동전기남]

39. 능동소자에 속하는 것은?
     1. 저항
     2. 코일
     3. 트랜지스터
     4. 커패시터

     정답 : []
     정답률 : 72%
     <문제 해설>
보통 여러가지 경우가 있지만, '능사수삼'의 원리를 따르면 3번 트랜지스터가 능동소자이다.
저항, 코일, 커패시터(콘덴서)는 수동소자이다.
[해설작성자 : Surface Mount Technology]

40. 한국산업규격(KS)의 제정 목적으로 틀린 것은?
     1. 국제경쟁력 강화
     2. 품질 상
     3. 생산품의 독점
     4. 소비자 보호

     정답 : []
     정답률 : 78%
     <문제 해설>
한국산업규격은 나라에서 하는거니까 나쁜짓하면 안대쥬? 그니깐 독점을 하면 안댐
[해설작성자 : 구전공 응애]

41. 회로도 작성 시 선과 선이 전기적으로 접속 되는 지점에 표시하는 것은?
     1. Bus Entry
     2. Junction
     3. No Connect
     4. Alias

     정답 : []
     정답률 : 68%
     <문제 해설>
Junction 은 교차로 나들목 이라는 뜻이므로
[해설작성자 : 금까마귀]

42. 저항의 컬러코드가 좌측부터 적색-보라색-갈색-금색으로 되어 있다. 저항값은 얼마인가?
     1. 270[Ω]
     2. 2.7[KΩ]
     3. 27.0[Ω]
     4. 2.71[MΩ]

     정답 : []
     정답률 : 68%
     <문제 해설>
검은색:0
갈색:1
빨간색:2
주황색:3
노란색:4
초록색:5
파란색:6
보라색:7
회색:8
백색:9
금색:오차범위 5%
은색:오차범위 10%
없음:오차범위 20%
[해설작성자 : LEEWONHO]

43. 포토플로터(Photo Plotter)를 이용하여 직 접 그려낸 아트워크 필름은?
     1. 마스터 필름
     2. 디아조 필름
     3. 폴리에스테르 필름
     4. 감광 필름

     정답 : []
     정답률 : 49%
     <문제 해설>
포토플로터를 이용한 필름은 마스터 필름입니다.
[해설작성자 : 비전동전기남]

44. PCB에 2,000[Ω]의 저항을 배치하고 기판의 표면에 그 값을 표시한 것 중 가장 적절한 표시방법은?
     1. 2,000,000[Ω]
     2. 2,000[KΩ]
     3. 2[μΩ]
     4. 2[KΩ]

     정답 : []
     정답률 : 83%
     <문제 해설>
1000[Ω] = 1[KΩ]
[해설작성자 : 합격기원]

45. 절대좌표 A(10, 10)에서 B(20, -20)로 개체가 이동하였을 때 상대좌표는?
     1. 10, 20
     2. 10, -20
     3. 10, 30
     4. 10, -30

     정답 : []
     정답률 : 75%
     <문제 해설>
20-10 = 10
-20 - 10= -30
고로 10, -30
[해설작성자 : cbt만 하다가 힘들어요]

46. CAD 프로그램에서 회로도면의 설계 시 정확한 부품의 위치 및 배선결선을 위해 화면상의 점 혹은 선으로 나타낸 가상의 좌표를 나타내는 것은?
     1. 어노테이트(Annotate)
     2. 프리퍼런스(Preference)
     3. 폴리라인(Poly Line)
     4. 그리드(Grid)

     정답 : []
     정답률 : 76%
     <문제 해설>
문제가 설명하고 있는 것이 그리드(Grid)로 기계/전자등 CAD에서는 범용적으로 사용하고 있습니다.
1)어노테이트: 부품의 이름 붙이기
2)프리퍼런스: 부품의 참조값. 보통 E-CAD에서 우클릭후 프리퍼런스 메뉴에서 저항값이나 정밀도를 기입합니다.
3)폴리라인: 여러 개의 굵은 선은 한선으로 표현한 것. 주로 오토캐드에서 사용.
[해설작성자 : comcbt.com 이용자]

47. PCB 패턴 설계 시 부품 배치에 관한 설명 중 옳은 것은?
     1. IC 배열은 가능하다면 'ㄱ' 형태로 배치하는 것이 좋다.
     2. 다이오드 및 전해 콘덴서 종류는 + 방향에 ■형 LAND를 사용한다.
     3. 전해 콘덴서와 같은 방향성 부품은 오른쪽 방향이 1번 혹은 + 극성이 되게끔 한다.
     4. 리드수가 많은 IC 및 커넥터 종류는 가능한 납땜 방향의 수직으로 배열한다.

     정답 : []
     정답률 : 61%
     <문제 해설>
■형 LAND는 통상 방향성이 있는 양단자 부품에 +나 1번의 PAD나 LAND의 형상을 통해 판별할 수 있도록 합니다. 물론 하얀 실크로 부품의 극성을 표현하기도 하는데, 랜드 형상으로 한번더 표시해주는 셈입니다.
[해설작성자 : comcbt.com 이용자]

48. PCB 기판 제조방법의 하나로 대량생산에 적합하고 정밀도가 높으며 내산성 잉크와 물이 잘 혼합되지 않는 점을 이용하여 아연 판을 부식시켜 배선부분만 잉크를 묻게 하 여 제작하는 방법은?
     1. 사진 부식법
     2. 오프셋 인쇄법
     3. 실크스크린법
     4. 단층 촬영법

     정답 : []
     정답률 : 55%
     <문제 해설>
간단하게 시험에 출제된 내용만 다루면
사진부식법: 고정밀, 낮은 생산성
실크스크린법: 저정밀, 높은 생산성
오프셋 인쇄법: 고정밀, 높은 생산성
[해설작성자 : comcbt.com 이용자]

49. 전기적 접속 부위나 빈번한 착탈로 높은 전기적 특성이 요구되는 부위에 부분적으로 실시하는 도금은?
     1. 아연
     2.
     3.
     4. 구리

     정답 : []
     정답률 : 69%
     <문제 해설>
금은 높은 전기적 특성을 가지고 있습니다.
[해설작성자 : 비전동전기남]

재미로 읽고 넘어가세요.
금속의 전기적 특성은 주로 저항률을 보는데, 그러자면 금(Au)보다 구리나 은이 더 좋습니다. 값도 싸구요. 그럼에도 "접촉"을 하는 부분에는 금을 쓰는 이유는 금속의 산화때문입니다. 주로 산소와 접촉하여 고유저항이 높은 산화물을 노출된 표면에 생성하는데, 붉은 구리로 만든 자유의 여신상 푸른녹과 산화되지 않은 은이 생각외로 광택이 엄청난걸 보시면 됩니다. 금은 이러한 산소산화(녹발생), 전기전 산화(전식)에 매우 안정되어 있으므로 도금 및 IC 와이어 본딩에 사용합니다.
[해설작성자 : comcbt.com 이용자]

50. 형상 모델링 중 데이터 구조가 간단하고 처리속도가 가장 빠른 모델링은?
     1. 와이어프레임 모델링
     2. 서피스 모델링
     3. 솔리드 모델링
     4. CSG 모델링

     정답 : []
     정답률 : 58%
     <문제 해설>
와이어프레임 - 서피스 - 솔리드
로 외우세요.
[해설작성자 : Yogusaron 톡디 14007485]

51. 컴퓨터를 이용하여 회로도를 완성한 다음 설계규칙을 검증하는 과정에 관한 설명으로 틀린 것은?
     1. 설계규칙 및 전기적인 규칙에 맞는지 검증하는 단계이다.
     2. 오류 난 부분의 에러 표시를 도면상에 서 보여 준다.
     3. 오류메시지는 레포트로 보여 주지 않는다.
     4. 전기적인 설계규칙 검중환경은 실계 자가 임의로 선택할 수 있다.

     정답 : []
     정답률 : 66%
     <문제 해설>
오류메시지를 볼 거냐는 체크 항목이 있습니다. 그것을 체크하시면 레포트를 메모장으로 볼 수 있습니다.
[해설작성자 : 비전동전기남]

52. CAD 시스템의 일부분으로 컴퓨터와 출력 장치의 처리속도 차이에 기인하여 데이터 처리의 완충작용을 위해 필요한 장치는?
     1. 데이터 버퍼
     2. 직렬포트
     3. RS-232C
     4. ROM

     정답 : []
     정답률 : 57%
     <문제 해설>
데이터 처리의 완충작용을 위해 필요한장치 = 데이터 버퍼
[해설작성자 : 캐드2트 하 캐떨이 되기싫다]

53. CAD 시스템 좌표계에서 이전 최종좌표 (점)에서 거리와 각도를 이용하여 이동된 X, Y축의 좌표값을 찾는 방법은?
     1. 절대좌표
     2. 상대좌표
     3.
     4. 상대극좌표

     정답 : []
     정답률 : 48%
     <문제 해설>
원점을 기준으로 → 절대좌표
현재위치를 기준으로 → 상대좌표
거리 값과 각도를 입력하여 점을 지정하는 방법 → 상대극 좌표
[해설작성자 : 경북과기고 조선생]

54. CAD 시스템에 의한 제품 설계 및 도면 작성의 이점으로 볼 수 없는 것은?
     1. 도면의 표준화를 통한 품질 향상
     2. 설계 제약에 따른 도면 수정의 어려움
     3. 설계 요소의 표준화로 원가 절감
     4. 수치 계산 결과의 정확성 증가

     정답 : []
     정답률 : 76%
     <문제 해설>
어려움은 이점, 장점이 될 수 없죠
[해설작성자 : 비전동전기남]

55. 세라믹 인쇄회로기판에 대한 설명 중 틀린 것은?
     1. 가격이 저가이고 치수변화가 많다.
     2. 고절연성 및 고열전도율을 갖는다.
     3. 화학적 안정성이 좋다,
     4. 낮은 유전체 손실을 갖는다,

     정답 : []
     정답률 : 49%
     <문제 해설>
세라믹 기판은 일반적으로 절연성이 우수하며
치수변화가 거의 없는 특수용도로 사용된다.
[해설작성자 : 할렐루야]

56. CAD 시스템의 입력장치가 아닌 것은?
     1. 디지타이저
     2. 태블릿
     3. 플로터
     4. 마우스

     정답 : []
     정답률 : 69%
     <문제 해설>
플로터는 출력장치이다.
[해설작성자 : comcbt.com 이용자]

플로터(FLOATER)의 FLOAT는 '뜨다'라는 영단어 입니다. 뜨다 라는 것은 출력과 연관이 있죠.
[해설작성자 : 비전동전기남]

57. 회로도에 관한 설명으로 가장 옳은 것은?
     1. 장치를 구성하고 있는 부품을 기호로 표현함으로써, 기술의 보조 및 전달이 쉽도록 한 도면
     2. 부품의 위치와 형태를 도면화한 것으로 부품의 실제 크기를 고려하여 작성 한 도면
     3. 장치와 장치 사이의 접속 상태나 기능을 알아보기 쉽게 하기 위해서 기호나 실제의 모양을 배치한 도면
     4. 신호의 흐름 또는 동작 순서대로 그린 도면

     정답 : []
     정답률 : 40%
     <문제 해설>
회로도는 부품을 기호로 표현하면서 전달이 쉽게 되기 위한 도면 입니다.

4번의 신호의 흐름 또는 동작 순서대로 그린 도면은 굳이 말하자면 패턴도가 될 수 있겠네요.
[해설작성자 : 비전동전기남]

58. 다음 단면구조의 PCB 명칭으로 옳은 것은?

    

     1. 비스루홀 도금 PCB
     2. 스루홀 도금 PCB
     3. 플렉시블 PCB
     4. 다층면 PCB

     정답 : []
     정답률 : 59%
     <문제 해설>
폴리에스터나 폴리마이드 필름에 동박(구리막)을 접착한 기판으로 일반적으로 절곡하여 휘어지는 부분에 사용된다
즉,유연성 인쇄회로기판(Flexible PCB) - 유연성이 있으니 절곡하여 휘어지는 부분에 사용이 가능하다고 외우면 편합니다
[해설작성자 : 만점 맞고싶어ㅠㅠ]

59. 배치도를 그릴 때 고려해야 할 사항으로 적합하지 않은 것은?
     1. 균형 있게 배치하여야 한다.
     2. 부품 상호 간 신호가 유도되지 않도록 한다.
     3. IC의 6번 핀 위치를 반드시 표시해야 한다.
     4. 고압회로는 부품 간격을 충분히 넓혀 방전이 일어나지 않도록 배치한다.

     정답 : []
     정답률 : 77%
     <문제 해설>
IC의 1번핀의 위치를 반드시 표시해야한다.
[해설작성자 : 공마고멋남]

60. 고주파 부품에 대한 대책으로 틀린 것은?
     1. 부품을 세워 사용하지 않는다.
     2. 표면실장형(SMD) 부품을 사용하지 않는다.
     3. 부품의 리드는 가급적 짧게 하여 안테나 역할을 하지 않도록 한다.
     4. 고주파 부품은 일반회로 부분과 분리하여 배치한다.

     정답 : []
     정답률 : 61%
     <문제 해설>
가급적이면 표면실장형(SMD)을 사용한다.
[해설작성자 : comcbt.com 이용자]

부품을 세우지 않거나, 리드를 가급적 짧게 하는 방법은 최대한 PCB 부품이 안테나 역할을 하지 않도록 억제하는 것이 목적입니다. 따라서, 표면실장형 부품은 대부분 -Thin- 납작하게 생겼기 때문에 안테나 역할로 고주파를 방사하기 어렵기 때문에 이를 사용하도록 추천하는 것입니다.
[해설작성자 : comcbt.com 이용자]


정 답 지

1

2

3

4

5

6

7

8

9

10

11

12

13

14

15

16

17

18

19

20

21

22

23

24

25

26

27

28

29

30

31

32

33

34

35

36

37

38

39

40

41

42

43

44

45

46

47

48

49

50

51

52

53

54

55

56

57

58

59

60

전자캐드기능사 필기 기출문제(해설) 및 CBT 2016년04월02일(2회)을 이용해 주셔서 감사합니다.
전자캐드기능사, 전자캐드, 전자, 캐드, 기능사, 필기, 기출문제, 전자문제집, CBT, 온라인, 모의테스트, 모의고사



List of Articles
번호 제목 글쓴이 날짜 조회 수
4946 전자캐드기능사 필기 기출문제(해설) 및 CBT 2013년04월14일(2회)(6889) 좋은아빠되기 2025.10.07 0
4945 전자캐드기능사 필기 기출문제(해설) 및 CBT 2013년07월21일(4회)(6890) 좋은아빠되기 2025.10.07 0
4944 전자캐드기능사 필기 기출문제(해설) 및 CBT 2013년10월12일(5회)(6891) 좋은아빠되기 2025.10.07 0
4943 전자캐드기능사 필기 기출문제(해설) 및 CBT 2014년04월06일(2회)(6892) 좋은아빠되기 2025.10.07 0
4942 전자캐드기능사 필기 기출문제(해설) 및 CBT 2014년07월20일(4회)(6893) 좋은아빠되기 2025.10.07 0
4941 전자캐드기능사 필기 기출문제(해설) 및 CBT 2014년10월11일(5회)(6894) 좋은아빠되기 2025.10.07 0
4940 전자캐드기능사 필기 기출문제(해설) 및 CBT 2015년01월25일(1회)(6895) 좋은아빠되기 2025.10.07 0
4939 전자캐드기능사 필기 기출문제(해설) 및 CBT 2015년04월04일(2회)(6896) 좋은아빠되기 2025.10.07 0
4938 전자캐드기능사 필기 기출문제(해설) 및 CBT 2015년07월19일(4회)(6897) 좋은아빠되기 2025.10.07 2
4937 전자캐드기능사 필기 기출문제(해설) 및 CBT 2015년10월10일(5회)(6898) 좋은아빠되기 2025.10.07 1
4936 전자캐드기능사 필기 기출문제(해설) 및 CBT 2016년01월24일(1회)(6899) 좋은아빠되기 2025.10.07 1
» 전자캐드기능사 필기 기출문제(해설) 및 CBT 2016년04월02일(2회)(6900) 좋은아빠되기 2025.10.07 1
4934 전자캐드기능사 필기 기출문제(해설) 및 CBT 2016년07월10일(4회)(6901) 좋은아빠되기 2025.10.07 1
4933 생산자동화기능사 필기 기출문제(해설) 및 CBT 2002년12월08일(5회)(6902) 좋은아빠되기 2025.10.07 1
4932 생산자동화기능사 필기 기출문제(해설) 및 CBT 2003년07월20일(4회)(6903) 좋은아빠되기 2025.10.07 0
4931 생산자동화기능사 필기 기출문제(해설) 및 CBT 2004년07월18일(4회)(6904) 좋은아빠되기 2025.10.07 0
4930 생산자동화기능사 필기 기출문제(해설) 및 CBT 2005년07월17일(4회)(6905) 좋은아빠되기 2025.10.07 0
4929 생산자동화기능사 필기 기출문제(해설) 및 CBT 2006년07월16일(4회)(6906) 좋은아빠되기 2025.10.07 0
4928 생산자동화기능사 필기 기출문제(해설) 및 CBT 2006년10월01일(5회)(6907) 좋은아빠되기 2025.10.07 0
4927 생산자동화기능사 필기 기출문제(해설) 및 CBT 2007년07월15일(4회)(6908) 좋은아빠되기 2025.10.07 0
Board Pagination Prev 1 ... 325 326 327 328 329 330 331 332 333 334 ... 577 Next
/ 577