자격증 필기 기출문제



소방설비기사(기계분야) 필기 기출문제(해설) 및 CBT 2015년05월31일(7067)

최강 자격증 기출문제 전자문제집 CBT : www.comcbt.com


전자문제집 CBT란?

종이 문제집이 아닌 인터넷으로 문제를 풀고 자동으로 채점하며 모의고사, 오답 노트, 해설까지 제공하는
무료 기출문제 학습 프로그램으로 실제 상설검정에서 사용하는 OMR 형식의 CBT를 제공합니다.


최신 소방설비기사(기계분야) 필기 기출문제 : [다운로드]

1과목 : 소방원론


1. 플래시 오버(Flash over)현상에 대한 설명으로 틀린 것은?
     1. 산소의 농도와 무관하다.
     2. 화재공간의 개구율과 관계가 있다.
     3. 화재공간내의 가연물의 양과 관계가 있다.
     4. 화재실내의 가연물의 종류와 관계가 있다.

     정답 : []
     정답률 : 81%
     <문제 해설>
O 플래쉬오버 = 화재로 인하여 실내의 온도가 급격히 상승하여 화재가 순간적으로 실내 전체에 확되어 연소되는 현상을 말하며, 화재발생후 5~6분만에 발생하며, 발생시점은 성장기-최성기(성장기에서 최성기로 넘어가는 분기점)에서 발생, 그때의 실내온도는 800~900도에 이른다.
O 플래쉬오버에 영향을 미치는것 = 개구율(구멍의 크기), 내장재료, 화원의 크기, 가연물의 양, 가연물의 종류 등과 관계됨

[해설작성자 : walldam]

2. 화재강도(Fire intensity)와 관계가 없는 것은 무엇인가?
     1. 가연물의 비표면적
     2. 발화원의 온도
     3. 화재실의 구조
     4. 가연물의 발열량

     정답 : []
     정답률 : 65%
     <문제 해설>
화재강도에 영향을 미치는 인자
가연물 비표면적
화재실 구조
가연물 배열상태(발열량)
[해설작성자 : comcbt.com 이용자]

3. 건축물의 방재계획 중에서 공간적 대응 계획에 해당되지 않는 것은?
     1. 도피성 대응
     2. 대항성 대응
     3. 회피성 대응
     4. 소방시설방재 대응

     정답 : []
     정답률 : 73%
     <문제 해설>
건축물의 방재계획중 공간적인 대응계획은 화재 등의 각종 위해(危害) 요소들로부터 불특정 다수를 재해 공간에서 조기에 쉽게 피난시키고 동시에 화재 진압에 필요한 사항으로 저항성, 회피성, 도피성 의 3가지 기능을 갖추어야 한다.
[해설작성자 : walldam]

4. 버너의 불꽃을 제거한 때부터 불꽃을 올리며 연소하는 상태가 끝날 때까지의 시간은?
     1. 10초 이내
     2. 20초 이내
     3. 30초 이내
     4. 40초 이내

     정답 : []
     정답률 : 62%
     <문제 해설>
법령 - 소방시설 설치 유지 및 안전관리에 관한 법률 시행령
제20조(방염대상물품 및 방염성능기준) 2항 1과 2에는 다음과 같다.
1. 버너의 불꽃을 제거한 때부터 불꽃을
     올리며 연소하는 상태가 그칠 때까지 시간은 20초 이내일 것
2. 버너의 불꽃을 제거한 때부터 불꽃을
     올리지 아니하고 연소하는 상태가 그칠 때까지 시간은 30초 이내일 것

5. 전기에너지에 의하여 발생되는 열원이 아닌 것은?
     1. 저항가열
     2. 마찰 스파크
     3. 유도가열
     4. 유전가열

     정답 : []
     정답률 : 70%
     <문제 해설>
[전기에너지] 유도열, 유전열, 저항열, 아크열, 정전기열, 낙뢰에 의한 열
[기계에너지] 압축열, 마찰열, 마찰 스파크
[화학에너지] 연소열, 용해열, 분해열, 생성열, 자연발화열
[해설작성자 : comcbt.com 이용자]

6. 이산화탄소 소화설비의 적용대상이 아닌 것은?
     1. 가솔린
     2. 전기설비
     3. 인화성 고체 위험물
     4. 니트로셀룰로오스

     정답 : []
     정답률 : 65%
     <문제 해설>
5류 위험물     초기 물로 냉각소화    . 진행후 자연소화
[해설작성자 : comcbt.com 이용자]

7. 화재 시 이산화탄소를 방출하여 산소농도를 13 vol.%로 낮추어 소화하기 위한 공기 중의 이산화탄소의 농도는 약 몇 vol.%인가?
     1. 9.5
     2. 25.8
     3. 38.1
     4. 61.5

     정답 : []
     정답률 : 80%
     <문제 해설>
CO2 방사후의 농도 = 대기중 O2 농도(% )- 대기중 O2 농도(%)×(방사된 CO2 농도(%)) / 100
(대기중 O2 농도=21%)
∴ O2 농도 = 21 - 21×(CO2 (%))/100
∴ CO2 (%) = 21- O2 (%)/21*100
즉 CO2(%) = 21 - 13%/21*100 = 38.1

8. 목조건축물에서 발생하는 옥내출화 시기를 나타낸 것으로 틀린 것은?
     1. 천장 속, 벽 속 등에서 발염 착화할 때
     2. 창, 출입구 등에 발염 착화할 때
     3. 가옥의 구조에는 천장 면에 발염 착화할 때
     4. 불연 벽체나 불연 천장인 경우 실내의 그 뒷면에 발염 착화할 때

     정답 : []
     정답률 : 67%
     <문제 해설>
옥외출화
- 창,출입구 등 발염착화한 경우
- 목재사용 가옥에서는 벽,추녀밑의 판자나 목재에 발염착화한 경우
옥내출화
- 천장 속, 벽 속 등에서 발염착화한 경우
- 가옥구조시에는 천장판에 발염착화한 경우
- 불연벽체나 칸막이의 불연천장인 경우 실내에서는 그 뒤판에 발염착화한 경우
[해설작성자 : comcbt.com 이용자]

9. 유류탱크 화재 시 기름 표면에 물을 살수하면 기름이 탱크 밖으로 비산하여 화재가 확대되는 현상은?
     1. 스롭 오버(Slop over)
     2. 보일 오버(Boil over)
     3. 프로스 오버(Froth over)
     4. 블레비(BLEVE)

     정답 : []
     정답률 : 67%
     <문제 해설>
슬롭오버와 보일오버는 둘다 유류화재와 관련되어 있으나 발생원인에 따라 구별된다.
1. 보일오버 = 유류탱크에 화재가 발생하였을때 기름의 표면이 가열되어 뜨거워지다가 바닥면에 까지 이르게 되는데 이때 수분이 100도 이상으로 가열될 경우 물이 수증기가 되면서 부피가 커져 기름을 위로 몰아내게 되는데 이때 화재를 동반하면서 기름통 밖으로 튀어나가는 현상
2. 슬롭오버 = 유류탱크에 불이 붙었을때 화재진압을 위해 물을 뿌릴경우 물이 뜨거운 기름에 닿을 경우 끓게 되면서 수증기가 되는데 이때 팽창에 의해 주변의 기름이 밖으로 밀려나면서 화재를 동반하는 현상임
[해설작성자 : walldam]

10. 이산화탄소 소화약제의 주된 소화효과는 무엇인가?
     1. 제거소화
     2. 억제소화
     3. 질식소화
     4. 냉각소화

     정답 : []
     정답률 : 85%

11. 저팽창포와 고팽창포에 모두 사용할 수 있는 포 소화약제는?
     1. 단백포 소화약제
     2. 수성막포 소화약제
     3. 불화단백포 소화약제
     4. 합성계면활성제포 소화약제

     정답 : []
     정답률 : 73%
     <문제 해설>
* 수성막포와 분말소화약제 겸용가능
* 합성계면활성제포와 저팽창포, 고팽창포 모두 사용가능
[해설작성자 : comcbt.com 이용자]

12. 제 6류 위험물의 공통성질이 아닌 것은?
     1. 산화성 액체이다.
     2. 모두 유기화합물이다.
     3. 불연성 물질이다.
     4. 대부분 비중이 1보다 크다.

     정답 : []
     정답률 : 68%
     <문제 해설>
① 상온에서 액체이고 산화성이 강하다.
② 부식성이 강하며 유독성의 증기가 발생하기 쉽다.
③ 자신은 불연성이나 강산화제로 연소를 돕는다.
④ 물에 잘 녹으며 물과 만나면 발열한다.(과산화수소 제외)
[해설작성자 : comcbt.com 이용자]

유기화합물과 혼합 시 산화시킨다.
[해설작성자 : comcbt.com 이용자]

13. 화재 시 분말 소화약제와 병용하여 사용할 수 있는 포 소화약제는?
     1. 수성막포 소화약제
     2. 단백포 소화약제
     3. 알코올형포 소화약제
     4. 합성계면활성제포 소화약제

     정답 : []
     정답률 : 62%
     <문제 해설>
☐ 수성막포의 장점
석유류 표면에 신속히 피막을 형성하여 유류증발을 억제한다
안전성이 좋아 장기보존이 가능하다
내약품성이 좋아 타약제와 겸용사용도 가능하다

14. 분말 소화약제의 열분해 반응식 중 옳은 것은?
     1. 2KHCO3 -> KCO3 + 2CO2 + H2O
     2. 2NaHCO3 -> NaCO3 + 2CO2 + H2O
     3. NH4H2PO4 -> HPO3 + NH3 + H2O
     4. 2KHCO3 + (NH2)2CO -> K2CO3 + NH2 + CO2

     정답 : []
     정답률 : 73%
     <문제 해설>
2NaHCO2→ Na2CO3+H2O+CO2
NH4H2PO4→ NH3+H2O+HPO3

15. 방화구조의 기준이 아닌 것은?
     1. 심벽에 흙으로 맞벽치기한 것
     2. 철망모르타르로서 그 바름 두께가 2cm이상인 것
     3. 시멘트모르타르 위에 타일을 붙인 것으로서 그 두께의 합계가 1.5cm이상인 것
     4. 석고판 위에 시멘트모르타르 또는 회반죽을 바른 것으로서 그 두께의 합계가 2.5cm이상 인 것

     정답 : []
     정답률 : 72%
     <문제 해설>
방화구조란? 화염의 확산을 막을 수 있는 성능을 가진 구조로서 다음의 어느 하나에 해당하는 것을 말한다.
① 철망모르타르로서 그 바름두께가 2㎝ 이상인 것
② 석고판위에 시멘트모르타르 또는 회반죽을 바른 것으로서 그 두께의 합계가 2.5㎝ 이상인 것
③ 시멘트모르타르위에 타일을 붙인 것으로서 그 두께의 합계가 2.5㎝ 이상인 것
④ 심벽에 흙으로 맞벽치기한 것
⑤ 「산업표준화법」에 따른 한국산업표준이 정하는 바에 따라 시험한 결과 방화 2급 이상에 해당하는 것
연면적이 1천m2 이상인 목조의 건축물은 그 외벽 및 처마밑의 연소할 우려가 있는 부분을 방화구조로 하되, 그 지붕은 불연재료(不然材料)로 하여야 한다.
[해설작성자 : walldam]

16. 위험물안전관리법령상 가연성 고체는 제 몇 류 위험물인가?
     1. 제 1류
     2. 제 2류
     3. 제 3류
     4. 제 4류

     정답 : []
     정답률 : 78%
     <문제 해설>
① 제1류 위험물 - 산화성 고체
② 제2류 위험물 - 가연성 고체
③ 제3류 위험물 - 금수성 및 자연발화성 물질
④ 제4류 위험물 - 인화성 액체
⑤ 제5류 위험물 - 자기반응성 물질
⑥ 제6류 위험물 - 산화성 액체

17. 소화약제로서 물에 관한 설명이 아닌 것은?
     1. 수소결합을 하므로 증발잠열이 작다.
     2. 가스계 소화약제에 비해 사용 후 오염이 크다.
     3. 무상으로 주수하면 중질유 화재에도 사용할 수 있다.
     4. 타 소화약제에 비해 비열이 크기 때문에 냉각효과가 우수하다.

     정답 : []
     정답률 : 79%
     <문제 해설>
물 소화약재의 장점
-냉각, 질식효과가 매우 높음.
-수소와 산소의 결합으로 인체에 무해.
-변질의 우려가 없고 장기간 보관 가능.
-비압축성유체로 쉽게 펌핑 및 이송 가능.
-소화효과 증진 첨가제 및 주수방법 가능.
-구하기 쉬워 경제적.

단점
-영하에서는 동파, 응고현상으로 사용 제한.
-금수성, C급 화재에는 적응성이 떨어짐.
-소화 후 물에 의한 2차 피해 발생.
-수손피해가 크다.

[추가 해설]
비열 [ specific heat, 比熱 ] : 어떤 물질 1g의 온도를 1℃만큼 올리는 데 필요한 열량이다.
[해설작성자 : 나대로]

18. 표준상태에서 메탄가스의 밀도는 몇 g/L인가?
     1. 0.21
     2. 0.41
     3. 0.71
     4. 0.91

     정답 : []
     정답률 : 57%
     <문제 해설>
아래와 같은 오류 신고가 있었습니다.
여러분들의 많은 의견 부탁 드립니다.
추후 여러분들의 의견을 반영하여 정답을 수정하도록 하겠습니다.
참고로 정답 변경은 오류 신고 5회 이상일 경우 수정합니다.

[오류 신고 내용]

메탄 밀도 : 0.656kg/m3


[오류신고 반론]
메탄 ch4의 분자량 = 16g
이상기체의 부피 = 22.4 L

메탄의 밀도 = 16÷22.4 =0.714


[오류신고 반론]
정답 3번 0.71 맞습니다.

반론하신분 설명이 맞는겁니다.

19. 분진폭발을 일으키는 물질이 아닌 것은?
     1. 시멘트 분말
     2. 마그네슘 분말
     3. 석탄 분말
     4. 알루미늄 분말

     정답 : []
     정답률 : 79%
     <문제 해설>
분진폭발을 일으키지 않는 물질

1)시멘트
2)석회석
3)탄산칼슘(CaCO3)
4)산화칼슘(CaO) = 생석회

20. 가연물이 공기 중에서 산화되어 산화열의 축적으로 발화되는 현상은?
     1. 분해연소
     2. 자기연소
     3. 자연발화
     4. 폭굉

     정답 : []
     정답률 : 73%
     <문제 해설>
01. 자연발화의 종류[산.분.흡.중.미]
① 산화열에 의한 발화
② 분해열에 의한 발화
③ 흡착열에 의한 발화
④ 중합열에 의한 발화
⑤ 발효열(미생물)에 의한 발화

2과목 : 소방유체역학


21. 피토관으로 파이프 중심선에서의 유속을 측정할 때 피토관의 액주높이가 5.2m, 정압튜브의 액주높이가 4.2m를 나타낸다면 유속은 약 몇 m/s인가? (단, 물의 밀도 1000kg/m3이다.)

    

     1. 2.8
     2. 3.5
     3. 4.4
     4. 5.8

     정답 : []
     정답률 : 70%
     <문제 해설>
V=루트2gH
=루트2*9.8*(5.2-4.2)
=4.4
[해설작성자 : comcbt.com 이용자]

22. 비중 0.6인 물체가 비중 0.8인 기름 위에 떠 있다. 이 물체가 기름 위에 노출되어 있는 부분은 전체 부피의 몇 %인가?
     1. 20
     2. 25
     3. 30
     4. 35

     정답 : []
     정답률 : 67%
     <문제 해설>
1-(0.6/0.8)=0.25
[해설작성자 : comcbt.com 이용자]

23. 열전도계수가 0.7 W/m·℃인 5mx6m 벽돌 벽의 안팎의 온도가 20℃, 5℃일 때, 열손실을 1kW이하로 유지하기 위한 벽의 최소 두께는 몇 cm인가?
     1. 1.05
     2. 2.10
     3. 31.5
     4. 64.3

     정답 : []
     정답률 : 65%
     <문제 해설>
q = K A ΔT        q=단위시간당 열량 즉 1000w
        ------        K=열전도율
             L            ΔT= T2-T1[K] 인데 이문제에서는 공식에 15K바로 적용 가능합니다.
                            L= 두께
이렇게 계산하면 31.5cM 나옵니다.
[해설작성자 : 마이클신]

아래와 같은 오류 신고가 있었습니다.
여러분들의 많은 의견 부탁 드립니다.
추후 여러분들의 의견을 반영하여 정답을 수정하도록 하겠습니다.
참고로 정답 변경은 오류 신고 5회 이상일 경우 수정합니다.

[오류 신고 내용]
열전도 계수 단위의 분모부분에 ℃라고 되어있으므로 ΔT값에 15k가 아닌 15℃로 계산하는 것이 맞습니다 ㅎㅎ
풀이에 지장은 없지만 잘 살펴보아야 하는 부분이라 정정신고합니다!
[해설작성자 : 빅맥만먹음]

24. 원심 팬이 1700rpm으로 회전할 때의 전압은 1520Pa, 풍량은 240m3/min이다. 이 팬의 비교회전도는 약 몇m3/min,m,rpm 인가? (단, 공기의 밀도는 1.2kg/m3 이다.)
     1. 502
     2. 652
     3. 687
     4. 827

     정답 : []
     정답률 : 44%
     <문제 해설>
N =. ( N * 루트 Q ) / H ^ (3/4).     (1700 * 루트240 ) / 129.35^(3/4). = 687.03.    H =    P / (비중량*중력가속도) = 1520 / 1.2* 9.8. = 129.25

25. 초기에 비어있는 체적이 0.1m3 인 견고한 용기 안에 공기(이상기체)를 서서히 주입한다. 이때 주위 온도는 300K이다. 공기 1kg을 주입하면 압력 [kPa]이 얼마인가?(단, 기체상수=0.287 kJ/kgK이다.)
     1. 287
     2. 300
     3. 348
     4. 861

     정답 : []
     정답률 : 61%
     <문제 해설>
PV=nRT
P=nRT/V
[해설작성자 : Kch]

P=nRT/V 에서 n=질량/분자량 이 됩니다. 또한 기체상수=R/분자량 이 됩니다.
따라서 P=1*0.287*300/0.1=861kPa
[해설작성자 : 빅맥만먹음]

26. 물질의 온도변화 형태로 나타나는 열에너지는 무엇인가?
     1. 현열
     2. 잠열
     3. 비열
     4. 증발열

     정답 : []
     정답률 : 65%
     <문제 해설>
현열 [ sensible heat ]
- 물체의 온도를 변화시키는 데 필요한 열량. 감열이라고도 함. 물질의 상태 변화 없음.
- 물질의 상태변화와 무관하게 전달되는 열. 물질의 온도를 변화시킴. 그 변화 정도는 물질의 고유 특성인 비열에 따라 결정됨.

잠열 : 온도 변화 없고, 상태 변화에 사용되는 열
[해설작성자 : 나대로]

27. 압력 200kPa, 온도 400K의 공기가 10m/s의 속도로 흐르는 지름 10cm의 원관이 지름 20cm인 원관이 연결된 다음 압력 180kPa, 온도 350K로 흐른다. 공기가 이상기체라면 정상 상태에서 지름 20cm인 원관에서의 공기의 속도 [m/s]는?
     1. 2.43
     2. 2.50
     3. 2.67
     4. 4.50

     정답 : []
     정답률 : 32%
     <문제 해설>
관경 변화에도 유량은 불변하는 그리고 압력과 온도에 따라 밀도가 변하는 성질을 이용해서,

P = ρRT 에서 ρ= P / RT
ρ1 =    P1 / (R x T1) = 200 / (R x 400) = 0.5 x 1/R
ρ2 =    P2 / (R x T2) = 180 / (R x 350) = 0.514285714 x 1/R = 1.028571429 x ρ1

중량 유량 Qg = ρ1 x g x A1 x u1 = ρ2 x g x A2 x u2 에서
u2 = ρ1 x g x A1 x u1 / (ρ2 x g x A2) 이고, g와 ρ1, 그리고 면적에서 π/4는 약분이 되므로
     = 0.1^2[m2] x 10[m/s] / (1.028571429 x 0.2^2)[m2]
     = 2.430555556[m/s]
[해설작성자 : 나대로]

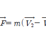
28. 단면적이 일정한 물 분류가 속도 20m/s, 유량 0.3m3/s 로 분출되고 있다. 분류와 같은 방향으로 10m/s의 속도로 운동하고 있는 평판에 이 분류가 수직으로 충돌할 경우 판에 작용하는 충격력은 몇 N인가?(오류 신고가 접수된 문제입니다. 반드시 정답과 해설을 확인하시기 바랍니다.)
     1. 1500
     2. 2000
     3. 2500
     4. 3000

     정답 : []
     정답률 : 24%
     <문제 해설>
[관리자 입니다.
본 문제는 논란이 있는 문제입니다.
논란이 된 문제는 추후 가능하면 동일한 문제가 출제되지 않습니다.

정답이 1번이라고 하는 출판사와 4번이라는 하는 출판사가 혼재하고 있네요.

자세한 내용은 아래 내용을 참고 부탁 드리며
이곳에서는 시험 시행처에서 공개한 1번을 정답으로 처리 합니다.]


아래와 같은 오류 신고가 있었습니다.
여러분들의 많은 의견 부탁 드립니다.
추후 여러분들의 의견을 반영하여 정답을 수정하도록 하겠습니다.
참고로 정답 변경은 오류 신고 5회 이상일 경우 수정합니다.

[추가 오류 신고]
F=밀도*유량*속도
F=1000*0.3*(20-10)=3000
[해설작성자 : 지나가다]

[오류신고 반론]
정답은 1번입니다.
힘은 밀도 x 단면적 x 속도의 제곱 입니다.
헷갈려들 하시는데,
밀도 1000[kg/m3]의 그리고 단면적 0.015[m2]의 물줄기가 10[m/s]의 속도로 평판을 때리는 것이지,
밀도 1000의 물줄기가 20[m/s]의 속도를 가진 유량으로 10[m/s]의 속도로 평판에 충돌하는 것이 아닙니다.
참 이렇듯 적기에도 어색하네요.
[해설작성자 : 나대로]

[추가 오류 신고]
F=pAv^2 = pQv    같은거고 20으로 물이 날라가 10으로 움작이는 판에 충돌하는겁니다
물줄기 단면적은 왜 구하시는건지...ㅎ
[해설작성자 : 오뭉]

[오류신고 반론]
20이 10으로 달아나는 판에 부딪히면 그 20은 부딪힘 당하는 판 입장에서는 10이죠. OTL..
[해설작성자 : 나대로]

[추가 오류 신고]
정답4번입니다
성안당 2020 7개년 과년도문제집(공하성 저자)
15.5월 28번문제인데 답4번이라 적혀있네요
[해설작성자 : 권의훈]

[추가 오류 신고]
F = pQV
p = 1000 / Q = 0.3 / V = (20-10)
F = 1000 * 0.3 * 10 = 3000
[해설작성자 : Ba]

[추가 오류 신고]
"힘은 밀도 x 단면적 x 속도의 제곱 입니다." 위에 답 적으신 분 전제부터 틀렸습니다.
밀도 [kg/m3] * 단면적 [m2] * 속도의 제곱 [m2/s2] 를 단위계산 해 보면 [kg*m/s2] 으로 힘의 단위가 나오긴 하지만
이 문제에서 적용해야할 공식은 밀도 [kg/m3] * 유량 [m3/s] * 속도의 변화량 [m/s] 입니다.
물 분류의 방향과 평판의 이동 방향이 서로 같으므로 힘 F는
밀도 [kg/m3] * 유량 [m3/s] * 속도의 변화량 [m/s] = 1000 * 0.3 * (20 -10) = 3000N 입니다.
성안당 2022 공하성 소방설비(기계)기사 과년도 기출 문제집 참고 하였습니다.
[해설작성자 : 쌍기사]

[관리자 입니다.
성안당은 4번을 정답으로 인정하는듯 합니다.
다른 문제집 확인 가능한분 계시면 확인 부탁 드립니다.
신고시 출판사명까지 기제 부탁 드립니다.]

[추가 오류 신고]
2022 에듀파이어 한끝소 소방설비기사 기계필기책 기출문제에서도 정답 3000으로 했네요
[해설작성자 : 미상]


[추가 오류 신고]
F = 밀도 X 유량 X ( V2 -V 1) = 3000 정답입니다,
출저 성안당    
[해설작성자 : 자격증따고싶은 40대]

[오류신고 반론]
F= 밀도*면적*속도의 제곱
문제에서 20m/s로 유량 0.3[m^3/s]이 나간다고 했습니다.
여기서 이 유량에는 20m/s의 속도가 들어가 있습니다.
평판은 10m/s로 같은 방향으로 운동하고 있다고 하니 평판에 가해지는 힘은 줄어듭니다.
밀도*유량*속도 = 밀도*면적*속도 이 공식이 성립할려면 정지된 평판일 경우에만 성립이 가능하다고 생각이 됩니다.(뇌피셜)
그러므로 F=밀도*면적*[ (20-10)의 제곱 ] 답은 1500입니다.    
[다산에듀에서도 필기 기출로 답 1번(1500)으로 되어있음]
[해설작성자 : 해설은 뇌피셜 답은 다산에듀에서 가져 옴]

29. 기름이 0.02m3/s 의 유량으로 직경 50cm인 주철관 속을 흐르고 있다. 길이 1000m에 대한 손실수두는 약 몇 m인가? (단, 기름의 점성계수는 0.103 N·s/m2 , 비중은 0.9이다.)
     1. 0.15
     2. 0.3
     3. 0.45
     4. 0.6

     정답 : []
     정답률 : 54%
     <문제 해설>
h=flv^2 / 2gd
Q=AV
f=64/Re
Re=ρυd/η
(υ = 유속, d = 유로의 지름, ρ = 유체의 밀도, η = 유체의 점성계수)
ρ=비중*1000

30. 펌프로부터 분당 150L의 소방용수가 토출되고 있다. 토출 배관의 내경이 65mm일 때 레이놀즈수는 약 얼마인가? (단, 물의 점성계수는 0.001kg/m·s로 한다.)
     1. 1300
     2. 5400
     3. 49000
     4. 82000

     정답 : []
     정답률 : 63%
     <문제 해설>
Re = du/ν = duρ/μ
(u = 유속, d = 유로의 지름, ρ = 유체의 밀도, μ = 유체의 점성계수)
[해설작성자 : 나대로]

31. 유체 내에서 쇠구슬의 낙하속도를 측정하여 점도를 측정하고자 한다. 점도가 μ1 그리고 μ2인 두 유체의 밀도가 각각 ρ1 과 ρ2(>ρ1)일 때 낙하속도 U2=1/2(U1) 이면 다음 중 맞는 것 은? (단, 항력은 Stokes의 법칙을 따른다.)
     1. μ2 / μ1 < 2
     2. μ2 / μ2 = 2
     3. μ2 / μ1 > 2
     4. 주어진 정보만으로는 결정할 수 없다.

     정답 : []
     정답률 : 44%

32. 직경 4cm이고 관마찰계수가 0.02인 원관에 부차적 손실계수가 4인 밸브가 장치되어 있을 때 이 밸브의 등가길이(상당길이)는 몇 m인가?
     1. 4
     2. 6
     3. 8
     4. 10

     정답 : []
     정답률 : 68%
     <문제 해설>
k=(f*l)/d
0.02+4=(0.02*x)/0.04
x=8.04
[해설작성자 : comcbt.com 이용자]

관지름d, 관마칠계수f, 부차적손실계수k, 관의 상당길이l
l=kd/f = 4*0.04/0.02 = 8
[해설작성자 : K]

33. 액체 분자들 사이의 응집력과 고체면에 대한 부착력의 차이에 의하여 관내 액체표면과 자유표면 사이에 높이 차이가 나타나는 것과 가장 관계가 깊은 것은?
     1. 관성력
     2. 점성
     3. 뉴턴의 마찰법칙
     4. 모세관현상

     정답 : []
     정답률 : 77%
     <문제 해설>
응집력과 부착력의 차이에서 발생하는 접촉각에 의 발생
[해설작성자 : comcbt.com 이용자]

34. 그림에서 점 A의 압력이 B의 압력보다 6.8kPa 크다면, 경사관의 각도 θ (°)는 얼마인가? (단, S는 비중을 나타낸다.)

    

     1. 12
     2. 19.3
     3. 22.5
     4. 34.5

     정답 : []
     정답률 : 48%
     <문제 해설>
Pa + Sw x γw x 0.3 = Pb + Sw x γw x 3 x sinθ 에서,
Pa - Pb = 6.8 = 1.0 x 9.806 x 3 x sinθ - 1.0 x 9.806 x 0.3
29.418 x sinθ = 6.8 + 2.9418 = 9.7418
sinθ = 0.331150996
θ = 0.337523135[rad] = 19.33865115˚
[해설작성자 : 나대로]

PA = s1 * rw * h1 = 0.7 * 9.8[kN/m^3] * 0.3[m] = 2.058[kN/m^2]
PB = PA - 6.8[kPa] = 2.058[kN/m^2] - 6.8[kN/m^2] = -4.742[kN/m^2]
PC (임의의 점) = s1 * rw * h1 + s2 * rw * h2 = 0.7 * 9.8[kN/m^3] * 0.3[m] + 1 * 9.8[kN/m^3] * 0.3[m] = 4.998[kN/m^2]
PD (임의의 점) = PC - PB = 4.998[kN/m^2] -    (-4.742[kN/^2]) = 9.74[kN/m^2]
PD = s2 * rw * h3 ☞ h3 = PD / s2 * rw = 9.74[kN/m^2] / 1 * 9.8[kN/m^3] = 0.994[m]

Lsin@ = 0.994[m]
sin@ = 0.994[m] / 3[m]
@ = sin^-1 ( 0.994/3 ) = 19.35º
[해설작성자 : a.k.a. GA(D)USS]

35. 저수조의 소화수를 빨아올릴 때 펌프의 유효흡입양정(NPSH)으로 적합한 것은?(단, Pa : 흡입수면의 대기압, Pv : 포화증기압, γ : 비중량, Ha : 흡입실양정, HL : 흡입손실수두)
     1. NPSH = Pa/γ + Pv/γ – Ha - hL
     2. NPSH = Pa/γ - Pv/γ + Ha - hL
     3. NPSH = Pa/γ - Pv/γ – Ha - hL
     4. NPSH = Pa/γ - Pv/γ – Ha + hL

     정답 : []
     정답률 : 55%

36. 안지름이 30cm이고 길이가 800m인 관로를 통하여 300ℓ/s의 물을 50m 높이까지 양수하는데 필요한 펌프의 동력은 약 몇 kW인가? (단, 관마찰계수는 0.03이고 펌프의 효율은 85%이다.)
     1. 173
     2. 259
     3. 398
     4. 427

     정답 : []
     정답률 : 38%
     <문제 해설>
달시 웨버 공식에 의한 손실수두 h = 0.03 x 800 x 4.244^2 / (2 x 9.806 x 0.3) = 73.47605494[m]
H = h + 50 = 123.5[m]
P = 0.163 x Q x H / 0.85 = 0.163 x 18[m3/min] x 123.5[m] / 0.85 = 426.2929412[kW]
[해설작성자 : 나대로]

37. 물이 들어 있는 탱크에 수면으로부터 20m깊이에 지름 50mm의 오리피스가 있다. 이 오리피스에서 흘러나오는 유량은 약 몇 m3/min인가? (단, 탱크의 수면 높이는 일정하고 모든 손실은 무시한다.)
     1. 1.3
     2. 2.3
     3. 3.3
     4. 4.3

     정답 : []
     정답률 : 56%
     <문제 해설>
압력*단면적*60    10.332mH2O=101.325Kpa
[해설작성자 : comcbt.com 이용자]

38. 회전날개를 이용하여 용기 속에서 두 종류의 유체를 섞었다. 이 과정 동안 날개를 통해 입력된 일은 5090kJ이며 탱크의 방열량은 1500kJ이다. 용기 내 내부 에너지 변화량 [kJ]은?
     1. 3590
     2. 5090
     3. 6590
     4. 15000

     정답 : []
     정답률 : 50%

39. 다음 중 크기가 가장 큰 것은?
     1. 19.6N
     2. 질량 2kg인 물체의 무게
     3. 비중 1, 부피 2m3인 물체의 무게
     4. 질량 4.9kg인 물체가 4m/s2 의 가속도를 받을 때의 힘

     정답 : []
     정답률 : 60%
     <문제 해설>
보기 3번은 나머지 보기들과 달리 1,000배 더 크기가 큽니다.
[해설작성자 : 나대로]

40. 2m 깊이로 물(비중량 9.8kN/m3)이 채워진 직육면체 모양의 열린 물탱크 바닥에 지름 20cm의 원형 수문을 달았을 때 수문이 받는 정수력의 크기는 약 몇 kN인가?
     1. 0.411
     2. 0.616
     3. 0.784
     4. 2.46

     정답 : []
     정답률 : 50%

3과목 : 소방관계법규


41. 시·도지사가 소방시설업의 등록취소처분이나 영업정지처분을 하고자 할 경우 실시하여야 하는 것은?
     1. 청문을 실시하여야 한다.
     2. 징계위원회의 개최를 요구하여야 한다.
     3. 직권으로 취소 처분을 결정하여야 한다.
     4. 소방기술심의위원회의 개최를 요구하여야 한다.

     정답 : []
     정답률 : 76%

42. 소방자동차의 출동을 방해한 자는 5년 이하의 징역 또는 얼마 이하의 벌금에 처하는가?(관련 규정 개정전 문제로 여기서는 기존 정답인 3번을 누르면 정답 처리 됩니다. 자세한 내용은 해설을 참고하세요.)
     1. 1천5백만원
     2. 2천만원
     3. 3천만원
     4. 5천만원

     정답 : []
     정답률 : 65%
     <문제 해설>
법이 개정되었습니다. 정답은 4번 입니다.
기본법 50조
5년 이하의 징역 또는 5000만원 이하의 벌금
1.소방자동차의 출동 방해
2.사람구출 방해
3.소방용수시설 또는 비상소화장치의 효용 방해

43. 고형알코올 그 밖에 1기압 상태에서 인화점이 40℃미만인 고체에 해당하는 것은?
     1. 가연성고체
     2. 산화성고체
     3. 인화성고체
     4. 자연발화성물질

     정답 : []
     정답률 : 68%
     <문제 해설>
(1) 과산화수소: 농도 36wt% 이상.
(2) 유황: 순도 60wt% 이상.
(3) 질산: 비중 1.49 이상.
[해설작성자 : 마틴2017]

44. “무창층”이라 함은 지상층 중 개구부 면적의 합계가 해당 층의 바닥면적의 얼마 이하가 되는 층인가?
     1. 1/3
     2. 1/10
     3. 1/30
     4. 1/300

     정답 : []
     정답률 : 64%
     <문제 해설>
[지하층] 바닥에서 지표면까지 평균높이가 해당 층 높이의 1/2 이상
[무창층] 개구부 면적의 합계가 해당 층의 바닥 면적의 1/30 이하
[해설작성자 : comcbt.com 이용자]

45. 위험물 제조소등에 자동화재탐지설비를 설치하여야 할 대상은?
     1. 옥내에서 지정수량 50배의 위험물을 저장·취급하고 있는 일반취급소
     2. 하루에 지정수량 50배의 위험물을 제조하고 있는 제조소
     3. 지정수량의 100배의 위험물을 저장·취급하고 있는 옥내저장소
     4. 연면적 100m2 이상의 제조소

     정답 : []
     정답률 : 50%
     <문제 해설>
자동화재탐지설비 설치 대상
1. 연면적 500m^2 이상
2. 옥내에서 지정수량 100배 이상 취급
[해설작성자 : 망고빵]

46. 제4류 위험물로서 제1석유류인 수용성 액체의 지정수량은 몇 리터인가?
     1. 100
     2. 200
     3. 300
     4. 400

     정답 : []
     정답률 : 53%

47. 다음 중 스프링클러설비를 의무적으로 설치하여야 하는 기준이 아닌 것은?(관련 규정 개정전 문제로 여기서는 기존 정답인 3번을 누르면 정답 처리 됩니다. 자세한 내용은 해설을 참고하세요.)
     1. 숙박시설로 11층 이상인 것
     2. 지하가로 연면적이 500m2 이상인 것
     3. 판매시설로 수용인원이 300인 이상인 것
     4. 복합건축물로 연면적 5000m2 이상인 것

     정답 : []
     정답률 : 73%
     <문제 해설>
아래와 같은 오류 신고가 있었습니다.
여러분들의 많은 의견 부탁 드립니다.
추후 여러분들의 의견을 반영하여 정답을 수정하도록 하겠습니다.

[오류 신고 내용]
답은2번과3번 입니다        

2.    지하가로 연면적이 500m2 이상인 것     (1000m2)
3.    판매시설로 수용인원이 300인 이상인 것     (500인)

[추가 오류 신고]
답은 2번과3번입니다...        
        
         1.    숙박시설로 11층 이상인 것
         2.    지하가로 연면적이 500m2(1000m2) 이상인 것
         3.    판매시설로 수용인원이 300인(500인) 이상인 것
         4.    복합건축물로 연면적 5000m2 이상인 것

[추가 오류 신고]

공하성 도서 참고

2번 보기가 잘못된거 같습니다.

지하가로 연면적이 1000m2 이상인 것    <== 변경되어야 합니다.

그럼 정답 3번이 맞습니다.

[추가 오류 신고]

보기 1번 11층 ==> 6층 이상인것으로 수정되어야 합니다.

[추가 오류 신고]

정답) 2, 3번임.

지하가로 1,000m2이상
판매시설 수용인원 500이상

48. 소방대상물이 아닌 것은?
     1. 산림
     2. 항해중인 선박
     3. 건축물
     4. 차량

     정답 : []
     정답률 : 81%
     <문제 해설>
'항구에 매어둔 선박'이 소방대상물에 해당
[해설작성자 : 안토니오 발렌시아]

49. 특정소방대상물 중 노유자시설에 해당되지 않는 것은?
     1. 요양병원
     2. 아동복지시설
     3. 장애인직업재활시설
     4. 노인의료복지시설

     정답 : []
     정답률 : 56%
     <문제 해설>
요양병원 - 의료시설
[해설작성자 : 디미타르 베르바토프]

[노유자 시설]
1. 노인관련시설
2. 아동관련시설
3. 장애인관련시설
4. 정신질환자관련시설
5. 노숙인관련시설
[해설작성자 : comcbt.com 이용자]

50. 다음 중 소방용품에 해당되지 않는 것은?
     1. 방염도료
     2. 소방호스
     3. 공기호흡기
     4. 휴대용비상조명등

     정답 : []
     정답률 : 65%

51. 제1류 위험물 산화성고체인 것은?(오류 신고가 접수된 문제입니다. 반드시 정답과 해설을 확인하시기 바랍니다.)
     1. 질산염류
     2. 특수인화물
     3. 과염소산
     4. 유기과산화물

     정답 : []
     정답률 : 66%
     <문제 해설>
산화성고체(제1류)
-아염소산염류
-염소산염류
-과염소산염류
-질산염류
-무기과산화물

아래와 같은 오류 신고가 있었습니다.
여러분들의 많은 의견 부탁 드립니다.
추후 여러분들의 의견을 반영하여 정답을 수정하도록 하겠습니다.
참고로 정답 변경은 오류 신고 5회 이상일 경우 수정합니다.

[오류 신고 내용]
과염소산 - 제6류

유기과산화물 - 제5류
[해설작성자 : 나대로]

52. 다음 소방시설 중 하자보수보증기간이 다른 것은?
     1. 옥내소화전설비
     2. 비상방송설비
     3. 자동화재탐지설비
     4. 상수도소화용수설비

     정답 : []
     정답률 : 70%
     <문제 해설>
소방시설 하자보수기간

2년 : 유도등, 무선통신보조설비, 비상방송설비, 비상경보설비, 비상조명등, 유도표지
3년 : 자동식소화기, 자동화재탐지설비, 옥내/외소화전, 상수도소화용수설비, 스프링클러, 간이스프링클러, 물분무, 소화활동설비(무선통신보조설비 제외)
[해설작성자 : DoubleM]

53. 인접하고 있는 시·도간 소방업무의 상호응원협정 사항이 아닌 것은?
     1. 화재조사활동
     2. 응원출동의 요청방법
     3. 소방교육 및 응원출동훈련
     4. 응원출동대상지역 및 규모

     정답 : []
     정답률 : 59%
     <문제 해설>
기본규칙 8조
소방업무의 상호응원협정

1. 다음의 소방활동에 관한 사항
- 화재의 경계 진압활동
- 구조 구급업무의 지원
- 화재조사활동

2. 응원출동 대상지역 및 규모

3. 필요한 경비의 부담에 관한 사항
- 출동대원의 수강 식사 및 의복의 수선
- 소방장비 및 기구의 정비와 연료의 보급

4. 응원출동의 요청방법

5. 응원출동 훈련 및 평가
[해설작성자 : 익명의 제보자]

54. 소방시설업자가 특정소방대상물의 관계인에 대한 통보 의무사항이 아닌 것은?
     1. 지위를 승계한 때
     2. 등록취소 또는 영업정지 처분을 받은 때
     3. 휴업 또는 폐업한 때
     4. 주소지가 변경된 때

     정답 : []
     정답률 : 74%

55. 소방시설 중 화재를 진압하거나 인명구조 활동을 위하여 사용하는 설비로 나열된 것은?
     1. 상수도소화용수설비, 연결송수관설비
     2. 연결살수설비, 제연설비
     3. 연소방지설비, 피난설비
     4. 무선통신보조설비, 통합감시시설

     정답 : []
     정답률 : 55%
     <문제 해설>
화재를 진압하거나 인명구조 활동을 위하여 사용하는 설비 : 소화활동설비

소화활동설비의 종류
1. 연결살수설비
2. 연결송수관설비
3. 제연설비
4. 연소방지설비
5. 비상콘센트설비
6.무선통신보조설비
[해설작성자 : 박지성]

56. 다음 중 특수가연물에 해당되지 않는 것은?
     1. 나무껍질 500kg
     2. 가연성고체류 2000kg
     3. 목재가공품 15m3
     4. 가연성액체류 3m3

     정답 : []
     정답률 : 43%
     <문제 해설>
가연성 고체류 3000kg이상
[해설작성자 : 권의훈]

57. 소화활동을 위한 소방용수시설 및 지리조사의 실시 횟수는?
     1. 주 1회 이상
     2. 주 2회 이상
     3. 월 1회 이상
     4. 분기별 1회 이상

     정답 : []
     정답률 : 74%

58. 비상경보설비를 설치하여야 할 특정소방대상물이 아닌 것은?
     1. 지하가 중 터널로서 길이가 500m 이상인 것
     2. 사람이 거주하고 있는 연면적 400m2 이상인 건축물
     3. 지하층의 바닥면적이 100m2 이상으로 공연장인 건축물
     4. 35명의 근로자가 작업하는 옥내작업장

     정답 : []
     정답률 : 60%
     <문제 해설>
4. 35=>50명
[해설작성자 : 홍인하]

59. 소방대상물에 대한 개수명령권자는 누구인가?
     1. 소방본부장 또는 소방서장
     2. 한국소방안전협회장
     3. 시·도지사
     4. 국무총리

     정답 : []
     정답률 : 67%

60. 다음은 소방기본법의 목적을 기술한 것이다. (가), (나), (다)에 들어갈 내용으로 옳은 것은?

    

     1. (가) 예방, (나) 경계, (다) 복구
     2. (가) 경보, (나) 소화, (다) 복구
     3. (가) 예방, (나) 경계, (다) 진압
     4. (가) 경계, (나) 통제, (다) 진압

     정답 : []
     정답률 : 76%

61. 수원의 수위가 펌프의 흡입구보다 높은 경우에 소화펌프를 설치하려고 한다. 고려하지 않아도 되는 사항은?
     1. 펌프의 토출측에 압력계 설치
     2. 펌프의 성능시험 배관 설치
     3. 물올림 장치를 설치
     4. 동결의 우려가 없는 장소에 설치

     정답 : []
     정답률 : 67%
     <문제 해설>
수면이 펌프 흡임구보다 낮은경우 펌프로 물을 흡입하기 위해선 배관이 항상 진공상태로 있어야 펌프로 물을 끌어올릴 수 있음.
이때 배관을 진공으로 만들려면 물로 채우면되는데 역할을 물 올림 장치가 해줌
[해설작성자 : 부경대 소방공학과]

62. 분말소화설비에 사용하는 압력조정기의 사용목적은 무엇인가?
     1. 분말 용기에 도입되는 가압용가스의 압력을 감압시키기 위함
     2. 분말 용기에 나오는 압력을 증폭시키기 위함
     3. 가압용 가스의 압력을 증대시키기 위함
     4. 약제방출에 필요한 가스의 유량을 증폭시키기 위함

     정답 : []
     정답률 : 74%
     <문제 해설>
[압력조정기]
분말용기에 도입되는 압력을 2.5Mpa 이하로 감압
(할론소화설비 압력조정기 : 2.0Mpa 이하로 감압)
[해설작성자 : comcbt.com 이용자]

63. 이산화탄소소화설비의 기동장치에 대한 기준 중 틀린 것은?
     1. 수동식 기동장치의 조작부는 바닥으로부터 높이 0.8m이상 1.5m이하에 설치한다.
     2. 자동식 기동장치에는 수동으로도 기동할 수 있는 구조로 할 필요는 없다.
     3. 가스압력식 기동장치에서 기동용가스용기 및 당해용기에 사용하는 밸브는 25MPa이상의 압력에 견디어야 한다.
     4. 전기식 기동장치로서 7병 이상의 저장용기를 동시에 개방하는 설비에는 2병 이상의 저장용기에 전자 개방밸브를 설치한다.

     정답 : []
     정답률 : 76%
     <문제 해설>
수동 가능해야 함
[해설작성자 : 마커맨]

64. 폐쇄형스프링클러설비의 방호구역 및 유수검지장치에 관한 설명으로 틀린 것은?
     1. 하나의 방호구역에는 1개 이상의 유수검지장치를 설치한다.
     2. 유수검지장치란 본체내의 유수현상을 자동적으로 검지하여 신호 또는 경보를 발하는 장치를 말한다.
     3. 하나의 방호구역의 바닥면적은 3500m2를 초과하여서는 안된다.
     4. 스프링클러헤드에 공급되는 물은 유수검지장치를 지나도록 한다.

     정답 : []
     정답률 : 71%
     <문제 해설>
하나의 방호구역의 바닥면적은 3,000m2를 초과하지 아니할 것. 다만, 폐쇄형스프링클러설비에 격자형배관방식(2이상의 수평주행배관 사이를 가지배관으로 연결하는 방식을 말한다)을 채택하는 때에는 3,700m2 범위 내에서 펌프용량, 배관의 구경 등을 수리학적으로 계산한 결과 헤드의 방수압 및 방수량이 방호구역 범위 내에서 소화목적을 달성하는 데 충분할 것<개정 2011.11.24>
[해설작성자 : 마커맨]

65. 차고 및 주차장에 포소화설비를 설치하고자 할 때 포헤드는 바닥면적 몇 m2 마다 1개 이상 설치해야 하는가?
     1. 6
     2. 8
     3. 9
     4. 10

     정답 : []
     정답률 : 73%
     <문제 해설>
물분무헤드 1m3
포워터 스프링클러헤드 8m2
포헤드 9m2
화재감지용 헤드 20m2

66. 아파트의 각 세대별 주방에 설치되는 주방용자동소화장치의 설치기준으로 틀린 것은?(오류 신고가 접수된 문제입니다. 반드시 정답과 해설을 확인하시기 바랍니다.)
     1. 감지부는 형식승인 받은 유효한 높이 및 위치에 설치
     2. 탐지부는 수신부와 분리하여 설치
     3. 가스차단장치는 주방배관의 개폐밸브로부터 5m이하의 위치에 설치
     4. 수신부는 열기류 또는 습기등과 주위온도에 영향을 받지 아니하고 사용자가 상시 볼 수 있는 장소에 설치

     정답 : []
     정답률 : 73%
     <문제 해설>
3.    가스차단장치는 주방배관의 개폐밸브로부터 5m이하 → 2m이하의     위치에 설치

아래와 같은 오류 신고가 있었습니다.
여러분들의 많은 의견 부탁 드립니다.
추후 여러분들의 의견을 반영하여 정답을 수정하도록 하겠습니다.
참고로 정답 변경은 오류 신고 5회 이상일 경우 수정합니다.

[오류 신고 내용]
공하성 문제집 3번 보기: 차단장치(전기 또는 가스)는 상시 확인 또는 점검이 가능하도록 설치
공하성 문제집에는 위와 같은 3번이 정답.

CBT 보기 3번:가스차단장치는 주방배관의 개폐밸브로부터 5m이하의 위치에 설치

67. 연결살수설비 헤드의 유지관리 및 점검사항으로 해당되지 않는 것은?
     1. 칸막이 등의 변경이나 신설로 인한 살수장애가 되는 곳은 없는지 확인한다.
     2. 헤드가 탈락,이완 또는 변형된 것은 없는지 확인한다.
     3. 헤드의 주위에 장애물로 인한 살수의 장애가 되는 것이 없는지 확인한다.
     4. 방수량과 살수분포 시험을 하여 살수장애가 없는지를 확인한다.

     정답 : []
     정답률 : 72%

68. 준비작동식 스프링클러설비에 필요한 기기로만 열거된 것은?
     1. 준비작동밸브, 비상전원, 가압송수장치, 수원, 개폐밸브
     2. 준비작동밸브, 수원, 개방형 스프링클러, 원격조정장치
     3. 준비작동밸브, 컴프레서, 비상전원, 수원, 드라이밸브
     4. 드라이밸브, 수원, 리타딩챔버, 가압송수장치, 로우에어알람스위치

     정답 : []
     정답률 : 70%
     <문제 해설>
건식=    드라이밸브,로우알람 ,
[해설작성자 : 해곡리]

69. 스모크 타워식 배연방식에 관한 설명 중 틀린 것은?
     1. 고층 빌딩에 적당하다.
     2. 배연 샤프트의 굴뚝 효과를 이용한다.
     3. 배연기를 사용하는 기계배연의 일종이다.
     4. 모든 층의 일반 거실 화재에 이용할 수 있다.

     정답 : []
     정답률 : 54%
     <문제 해설>
스모크 타워식 배연방식은 기계부분이 없어 신뢰성이 높다.
[해설작성자 : 첼시킹]

[제연방식]
(1) 자연제연방식 : 개구부 이용
(2) 스모크타워 제연방식 : 루프 모니터 이용
(3) 기계제연방식
        - 제1종 기계제연방식 : 송풍기+배연기
        - 제2종 기계제연방식 : 송풍기
        - 제3종 기계제연방식 : 배연기
[해설작성자 : comcbt.com 이용자]

70. 연결살수설비 전용 헤드를 사용하는 연결살수설비에서 천장 또는 반자의 각 부분으로부터 하나의 살수헤드까지의 수평거리는 몇 (m)이하인가? (단, 살수헤드의 부착면과 바닥과의 높이가 2.1m 초과이다.)
     1. 2.1
     2. 2.3
     3. 2.7
     4. 3.7

     정답 : []
     정답률 : 58%
     <문제 해설>
살수 전용헤드 : 3.7m 이하
스프링클러헤드 : 2.3m 이하
[해설작성자 : 존슨콘트롤즈 점검팀 KYC]

71. 층수가 16층인 아파트 건축물에 각 세대마다, 12개의 폐쇄형스프링클러헤드를 설치하였다. 이 때 소화펌프의 토출양은 몇 ℓ/min 이상인가?
     1. 800
     2. 960
     3. 1600
     4. 2400

     정답 : []
     정답률 : 42%
     <문제 해설>
아래와 같은 오류 신고가 있었습니다.
여러분들의 많은 의견 부탁 드립니다.
추후 여러분들의 의견을 반영하여 정답을 수정하도록 하겠습니다.

[오류 신고 내용]
아파트 기준갯수 10개 80x10x시간(20) 곱해서 1600 아닌가요?

[오류신고 반론]
수원의 양을 선정하는게 아니라 토출량을 산정해야하기때문에 N 곱하기 80이 맞습니다

[오류신고 반론]
토출량은 펌프가 1분에 물의 공급량을 말하는 것이고,
수원의 양은 펌프가 20분간 물의 공급량을 말하는 것이므로, 800이 맞습니다.
[해설작성자 : 노병래]

추가설명
1. 스프링클러설비의 토출량 Q=80 l/min * N
2. 설치장소별 기준개수(N)
     -지하층제외 10층이하
         - 공장,창고,렉식창고 - 특수가연물(30), 그밖의것(20)
         - 판매시설, 판매시설설치된 복합건축물(30)
         - 근린, 운수, 그밖의 복합건축물(20)
         - 그 밖의것 - 헤드부착높이 8m이상(20), 헤드부착높이 8m미만(10)
     - 지하층제외 11층이상, 지하가, 지하역사(30개)
     - 아파트(10)
[해설작성자 : 오우기]

72. 부속용도로 사용하고 있는 통신기기실의 경우 바닥면적 몇 m2 마다 수동식 소화기 1개 이상을 추가로 비치해야 하는가?
     1. 30
     2. 40
     3. 50
     4. 60

     정답 : []
     정답률 : 70%

73. 이산화탄소소화설비를 설치하는 장소에 이산화탄소 약제의 소요량은 정해진 약제방사시간 이내에 방사되어야 한다. 다음 기준 중 소요량에 대한 약제방사시간이 아닌 것은?
     1. 전역방출방식에 있어서 표면화재 방호대상물은 1분
     2. 전역방출방식에 있어서 심부화재 방호대상물은 7분
     3. 국소방출방식에 있어서 방호대상물은 10초
     4. 국소방출방식에 있어서 방호대상물은 30초

     정답 : []
     정답률 : 57%
     <문제 해설>
이산화탄소소화설비 약제방사시간
전역방출방식 위험물 제조소 : 60초 이내
국소방출방식 일반건축물, 위험물 제조소 : 30초 이내
[해설작성자 : comcbt.com 이용자]

74. 다음 물분무소화설비 배관 등 설치 기준 중 틀린 것은?
     1. 펌프 흡입측 배관은 공기고임이 생기지 않는 구조로 하고 여과장치를 설치한다.
     2. 동결방지조치를 하거나 동결의 우려가 없는 장소에 설치한다.
     3. 연결송수관설비의 배관과 겸용할 경우의 주배관은 구경 100mm 이상으로 한다.
     4. 연결송수관설비의 배관과 겸용할 경우 방수구로 연결되는 배관의 구경은 65mm 이하로 한다.

     정답 : []
     정답률 : 64%
     <문제 해설>
연결송수관설비의 배관과 겸용할 경우
방수구로 연결되는 배관 : 구경 65mm이상
주배관 : 구경 100mm이상

75. 의료시설에 구조대를 설치하여야 할 층이 아닌 것은? (단, 장례식장을 제외한다.)
     1. 2
     2. 3
     3. 4
     4. 5

     정답 : []
     정답률 : 74%
     <문제 해설>
3층이상 10층이하에 설치

76. 수직강하식 구조대의 구조를 바르게 설명한 것은?
     1. 본체 내부에 로프를 사다리 형으로 장착한 것
     2. 본체에 적당한 간격으로 협축부를 마련한 것
     3. 본체 전부가 신축성이 있는 것
     4. 내림식 사다리의 동쪽에 복대를 씌운 것

     정답 : []
     정답률 : 63%
     <문제 해설>
본체에 적당한 간격으로 협축부를 마련하여 피난자가 안전하게 활강할 수 있도록 만든 구조
[해설작성자 : comcbt.com 이용자]

77. 분말소화설비의 배관 청소용 가스는 어떻게 저장 유지 관리해야 하는가?
     1. 축압용 가스용기에 가산 저장 유지
     2. 가압용 가스용기에 가산 저장 유지
     3. 별도 용기에 저장 유지
     4. 필요시에만 사용하므로 평소에 저장 불필요

     정답 : []
     정답률 : 71%

78. 물분무소화설비의 배수설비에 대한 설명 중 틀린 것은?
     1. 주차장에는 10cm이상 경계턱으로 배수구를 설치한다.
     2. 배수구에는 새어나온 기름을 모아 소화할 수 있도록 길이 30m 이하마다 집수관, 소화핏트 등 기름분리장치를 설치한다.
     3. 주차장 바닥은 배수구를 향하여 100분의 2 이상의 기울기를 가진다.
     4. 배수설비는 가압송수장치의 최대 송수능력의 수량을 유효하게 배수할 수 있는 크기 및 기울기로 한다.

     정답 : []
     정답률 : 74%
     <문제 해설>
제11조(배수설비) 물분무소화설비를 설치하는 차고 또는 주차장에는 다음 각 호의 기준에 따라 배수설비를 하여야 한다. <개정 2012.8.20.>
1. 차량이 주차하는 장소의 적당한 곳에 높이 10㎝ 이상의 경계턱으로 배수구를 설치할 것
2. 배수구에는 새어나온 기름을 모아 소화할 수 있도록 길이 40m 이하마다 집수관·소화핏트 등 기름분리장치를 설치할 것
3. 차량이 주차하는 바닥은 배수구를 향하여 100분의 2 이상의 기울기를 유지할 것
4. 배수설비는 가압송수장치의 최대송수능력의 수량을 유효하게 배수할 수 있는 크기 및 기울기로 할 것
[해설작성자 : 마커맨]

79. 스프링클러설비의 누수로 인한 유수검지장치의 오작동을 방지하기 위한 목적으로 설치되는 것은?
     1. 솔레노이드
     2. 리타딩 챔버
     3. 물올림 장치
     4. 성능시험배관

     정답 : []
     정답률 : 82%

80. 포소화약제의 혼합장치 중 펌프의 토출관에 압입기를 설치하여 포소화약제 압입용 펌프로 포소화약제를 압입시켜 혼합하는 방식은 무엇인가?
     1. 펌프 푸로포셔너 방식
     2. 프레져사이드 푸로포셔너 방식
     3. 라인 푸로포셔너 방식
     4. 프레져 푸로포셔너 방식

     정답 : []
     정답률 : 79%


정 답 지

1

2

3

4

5

6

7

8

9

10

11

12

13

14

15

16

17

18

19

20

21

22

23

24

25

26

27

28

29

30

31

32

33

34

35

36

37

38

39

40

41

42

43

44

45

46

47

48

49

50

51

52

53

54

55

56

57

58

59

60

61

62

63

64

65

66

67

68

69

70

71

72

73

74

75

76

77

78

79

80

소방설비기사(기계분야) 필기 기출문제(해설) 및 CBT 2015년05월31일을 이용해 주셔서 감사합니다.
, 필기, 기출문제, 전자문제집, CBT, 온라인, 모의테스트, 모의고사



List of Articles
번호 제목 글쓴이 날짜 조회 수
6763 소방설비기사(기계분야) 필기 기출문제(해설) 및 CBT 2018년04월28일(7076) 좋은아빠되기 2025.10.07 0
6762 소방설비기사(기계분야) 필기 기출문제(해설) 및 CBT 2018년03월04일(7075) 좋은아빠되기 2025.10.07 0
6761 소방설비기사(기계분야) 필기 기출문제(해설) 및 CBT 2017년09월23일(7074) 좋은아빠되기 2025.10.07 0
6760 소방설비기사(기계분야) 필기 기출문제(해설) 및 CBT 2017년05월07일(7073) 좋은아빠되기 2025.10.07 0
6759 소방설비기사(기계분야) 필기 기출문제(해설) 및 CBT 2017년03월05일(7072) 좋은아빠되기 2025.10.07 0
6758 소방설비기사(기계분야) 필기 기출문제(해설) 및 CBT 2016년10월01일(7071) 좋은아빠되기 2025.10.07 0
6757 소방설비기사(기계분야) 필기 기출문제(해설) 및 CBT 2016년05월08일(7070) 좋은아빠되기 2025.10.07 0
6756 소방설비기사(기계분야) 필기 기출문제(해설) 및 CBT 2016년03월06일(7069) 좋은아빠되기 2025.10.07 0
6755 소방설비기사(기계분야) 필기 기출문제(해설) 및 CBT 2015년09월19일(7068) 좋은아빠되기 2025.10.07 0
» 소방설비기사(기계분야) 필기 기출문제(해설) 및 CBT 2015년05월31일(7067) 좋은아빠되기 2025.10.07 1
6753 소방설비기사(기계분야) 필기 기출문제(해설) 및 CBT 2015년03월08일(7066) 좋은아빠되기 2025.10.07 0
6752 소방설비기사(기계분야) 필기 기출문제(해설) 및 CBT 2014년09월20일(7065) 좋은아빠되기 2025.10.07 0
6751 소방설비기사(기계분야) 필기 기출문제(해설) 및 CBT 2014년05월25일(7064) 좋은아빠되기 2025.10.07 0
6750 소방설비기사(기계분야) 필기 기출문제(해설) 및 CBT 2014년03월02일(7063) 좋은아빠되기 2025.10.07 0
6749 소방설비기사(기계분야) 필기 기출문제(해설) 및 CBT 2013년09월28일(7062) 좋은아빠되기 2025.10.07 0
6748 소방설비기사(기계분야) 필기 기출문제(해설) 및 CBT 2013년06월02일(7061) 좋은아빠되기 2025.10.07 0
6747 소방설비기사(기계분야) 필기 기출문제(해설) 및 CBT 2013년03월10일(7060) 좋은아빠되기 2025.10.07 0
6746 소방설비기사(기계분야) 필기 기출문제(해설) 및 CBT 2012년09월15일(7059) 좋은아빠되기 2025.10.07 0
6745 소방설비기사(기계분야) 필기 기출문제(해설) 및 CBT 2012년06월08일(7058) 좋은아빠되기 2025.10.07 0
6744 소방설비기사(기계분야) 필기 기출문제(해설) 및 CBT 2012년03월04일(7057) 좋은아빠되기 2025.10.07 0
Board Pagination Prev 1 ... 217 218 219 220 221 222 223 224 225 226 ... 560 Next
/ 560