자격증 필기 기출문제



건축기사 필기 기출문제(해설) 및 CBT 2004년03월07일(7129)

최강 자격증 기출문제 전자문제집 CBT : www.comcbt.com


전자문제집 CBT란?

종이 문제집이 아닌 인터넷으로 문제를 풀고 자동으로 채점하며 모의고사, 오답 노트, 해설까지 제공하는
무료 기출문제 학습 프로그램으로 실제 상설검정에서 사용하는 OMR 형식의 CBT를 제공합니다.


최신 건축기사 필기 기출문제 : [다운로드]

1과목 : 건축계획


1. 론헤론의 움직이는 도시의 계획안은 어느 건축운동과 관계가 깊은 것인가?
     1. CIAM
     2. ARCHIGRAM
     3. POST-MODERNISM
     4. BAUHAUS

     정답 : []
     정답률 : 50%

2. 사무소 건축의 실단위 계획의 특징에 대한 설명으로 옳지 않은 것은?
     1. 개실 시스템은 독립성과 쾌적감의 이점이 있다.
     2. 개방식 배치는 개실 시스템보다 공사비가 저렴하다.
     3. 오피스 랜드스케이프(Office Landscape)는 개실 시스템을 위한 실단위계획이다.
     4. 개방식 배치는 전면적을 유용하게 사용할 수 있다.

     정답 : []
     정답률 : 79%

3. 상점계획에 대한 설명 중 옳지 않은 것은?
     1. 고객의 동선은 일반적으로 짧을수록 좋다.
     2. 점원의 동선과 고객의 동선은 서로 교차되지 않는 것이 바람직하다.
     3. 대면판매형식은 일반적으로 시계, 귀금속, 의약품 상점 등에서 쓰여진다.
     4. 진열케이스, 진열대, 진열장 등이 입구에서 안을 향하여 직선적으로 구성된 평면배치는 주로 침구코서, 식기코너, 서점 등에서 사용된다.

     정답 : []
     정답률 : 85%
     <문제 해설>
고객의 동선이 길어야됩니다 동선이 길어야 손님이 상점에 들어갔을때 뭐가 있는지 천천히 둘러보죠
[해설작성자 : 이승빈]

4. 건축 계획에서 동선(動線)이 가지는 요소와 가장 관계가 먼 것은?
     1. 하중
     2. 빈도
     3. 속도
     4. 폭(너비)

     정답 : []
     정답률 : 53%
     <문제 해설>
동선계획
-단순 명쾌(짧게)
- 종류별 분리
- 독립성
- 공간필요
- 동선의 3요소 -속도,빈도,하중
[해설작성자 : 유봉삼]

5. 공동주택의 이점이 아닌 것은?
     1. 세대당 건설비, 유지비를 절감할 수 있다.
     2. 생활 협동체를 구성할 수 있다.
     3. 공동 시설을 설치할 수 있다.
     4. 생활의 변화에 대해 자유롭게 대응할 수 있다.

     정답 : []
     정답률 : 89%

6. 렌터블(rentable)비가 높다라는 말을 설명한 것으로 가장 적절한 것은?
     1. 서비스를 보다 좋게 할 수 있다.
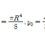
     2. 임대료 수입이 더 증가할 수 있다.
     3. 코어부분에 대한 면적을 보다 많이 확보할 수 있다.
     4. 주차장 공간을 보다 많이 확보할 수 있다.

     정답 : []
     정답률 : 78%

7. 대규모 미술관의 채광 방식으로 가장 적당치 않은 것은?
     1. 정측광창 방식(top side light monitor)
     2. 고측광창 방식(clerestory)
     3. 정광창 방식(top light)
     4. 측광창 방식(side light)

     정답 : []
     정답률 : 46%
     <문제 해설>
측광창방식은 소규모 전시
[해설작성자 : 요다]

8. 다음의 병원 계획에 관한 설명 중 옳지 못한 것은?
     1. 수술실 앞에 통로, 홀 등을 설치하지 않는다.
     2. 입원환자와 외래환자의 출입구는 분리시킨다.
     3. 병실 출입구는 외여닫이로 하되, 1.15m 이상으로 한다.
     4. 종합병원의 간호 단위는 50병상 정도이다.

     정답 : []
     정답률 : 73%
     <문제 해설>
간호의 단위 25베드가 이상적이며 보통 30~40베드
[해설작성자 : comcbt.com 이용자]

9. Closed system의 외래진료부 계획에 대한 설명으로 부적당한 것은?
     1. 환자의 이용이 편리하도록 2층 이하에 두도록 한다.
     2. 내과 계통은 소진료실을 다수 설치한다.
     3. 중앙주사실, 약국은 정면 출입구에서 멀리 떨어진 곳에 둔다.
     4. 외과계통의 각과는 1실에서 여러 환자를 돌볼 수 있도록 크게 한다.

     정답 : []
     정답률 : 87%
     <문제 해설>
Closed system (클로즈드 시스템) : 대규모의 각종 과를 필요로 하고 환자가 매일 병원에 출입하는 형식
-환자의 이용이 편리하도록 1층에 두는것이 좋다.
-내과 계통은 소진료실을 다수 설치한다./ 부속 진료시설을 인접하게 한다.
-중앙주사실, 약국은 정면 출입구 근처에 설치한다.
[해설작성자 : 챔채미]

10. 공장건축의 지붕형에 대한 기술 중 옳지 않은 것은?
     1. 뾰족지붕 - 직사광선을 어느 정도 허용하는 결점이있다.
     2. 솟을지붕 - 채광, 환기에 적합한 방법이다.
     3. 톱날지붕 - 북향의 채광창으로 하루종일 변함 없는 조도를 유지할 수 있다.
     4. 샤렌지붕 - 기둥이 많이 소요되는 단점이 있다.

     정답 : []
     정답률 : 69%
     <문제 해설>
샤렌지붕- 기둥 적게 소요되므로 상당한 이용 가치가 있다
[해설작성자 : 하기싫어이]

11. 초등학교 건축계획에 관련된 사항 중 적절한 것은?
     1. 저학년 교실은 달턴형이 적합하며 옥외 공간과 연결하는 것이 좋다.
     2. 시청각관계실은 각 교과에 널리 이용되기 때문에 일반교실, 특별교실 등에 가까운 것이 좋다.
     3. 교사를 위한 공간은 사무의 능률을 높이기 위해 크게 하나의 공간으로 하는 것이 바람직하다.
     4. 도서실은 폐가식으로 하며 학교의 모든 곳으로부터 편리한 위치에 배치하는 것이 좋다.

     정답 : []
     정답률 : 49%

12. 병원건축계획에 관한 기술 중 가장 부적당한 것은?
     1. 도심부에 병원건축을 계획할 경우 블록타입(blocktype) 보다는 파빌리온 타입(pavillion type)이 유리하다.
     2. 중앙진료부는 외래부와 병동부의 중간에 위치하는 편이 좋다.
     3. 병동부의 전체면적에 대한 비율은 40% 정도가 적당하다.
     4. 심근,협심증환자를 대상으로 집중치료하는 간호단위를 C.C.U(Coronary Care Unit)라 한다.

     정답 : []
     정답률 : 73%
     <문제 해설>
1. 도심부에 병원건축을 계획할 경우 동선이 짧은 것이 좋다. 따라서 동선이 길게 되는 파빌리온 타입보다는 블록타입이 유리하다.
[해설작성자 : 15학번 공민구]

13. 쇼핑센터의 몰(mall)의 계획에 대한 설명으로 옳지 않은것은?
     1. 전문점들과 중심 상점의 주출입구는 몰에 면하도록 한다.
     2. 중심상점들 사이의 몰의 길이는 150m를 초과하지 않아야 하며, 길이 40~50m 마다 변화를 주는 것이 바람직하다.
     3. 몰에는 자연광을 끌어들여 외부공간과 같은 성격을 갖게 한다.
     4. 다층으로 계획할 경우, 다층 및 각층간의 시야의 개방감이 적극적으로 고려되어야 한다.

     정답 : []
     정답률 : 68%
     <문제 해설>
Mall의 폭은 6~12m가 일반적이며 중심상점들 사이의 Mall의 길이는 240m를 초과하지 않아야 하며, 길이 20~30m마다 변화를 주어 단조로운 느낌이 들지 않도록 한다.
[해설작성자 : 가니]

14. 무대 주위의 벽에 6-9m 높이로 설치되는 좁은 통로를 무엇이라고 하는가?
     1. 그린룸
     2. 호리존트
     3. 플라이 갤러리
     4. 슬라이딩 스테이지

     정답 : []
     정답률 : 76%

15. 다음의 한국 근대건축 중 로마네스크 양식을 취하고 있는것은?
     1. 명동성당
     2. 정관헌
     3. 서울 성공회성당
     4. 정동교회

     정답 : []
     정답률 : 46%
     <문제 해설>
아래와 같은 오류 신고가 있었습니다.
여러분들의 많은 의견 부탁 드립니다.
추후 여러분들의 의견을 반영하여 정답을 수정하도록 하겠습니다.
참고로 정답 변경은 오류 신고 5회 이상일 경우 수정합니다.

[오류 신고 내용]
2번, 3번 둘다 로마네스크 양식임.

[오류신고 반론]
정관헌은 절충식입니다.

16. 극장의 객석 계획에 관한 설명 중 잘못된 것은?
     1. 인형극 등을 관람하기에 적합한 가시거리는 15m이다.
     2. 객석의 세로통로는 무대를 중심으로 하는 방사선상이 좋다.
     3. 좌석을 엇갈리게 배열(stagger seats)하는 방법은 객석의 바닥구배가 완만할 경우에는 사용할 수 없으며 통로 폭이 좁아지는 단점이 있다.
     4. 객석은 무대의 중심 또는 스크린의 중심을 중심으로 하는 원호의 배열이 이상적이다.

     정답 : []
     정답률 : 73%

17. 페리(C.A.Perry)의 근린주구 이론의 기초가 되는 시설이 아닌 것은?
     1. 초등학교
     2. 병원
     3. 도서관
     4. 파출소

     정답 : []
     정답률 : 54%

18. 다음 주택의 세부계획 중 거실에 대한 설명으로 옳지 않은 것은?
     1. 주택의 각 실은 거실에서부터 발전 분화되어야 한다.
     2. 거실은 정원과 유기적으로 시각적으로 연결되는 것이 좋다.
     3. 거실의 넓이는 실내거주인수에 소요되는 면적만으로 정해진다.
     4. 거실은 가족 공동생활의 중심이 되는 장소이다.

     정답 : []
     정답률 : 87%

19. 아파트의 형식 중 메조네트형에 대한 설명으로 옳지 않은 것은?
     1. 주택내의 공간의 변화가 있으며 유효면적이 증가한다
     2. 주거단위면적의 규모에는 영향을 받지 않으나 피난계단 계획에 어려움이 따른다.
     3. 트리플렉스형은 하나의 주거단위가 3층형으로 구성되는 것이다.
     4. 양면개구에 의한 일조, 통풍 및 전망이 좋다.

     정답 : []
     정답률 : 63%
     <문제 해설>
메조네트 형의 경우에는 소규모 주택의 경우에는 안에 계단을 두어야 함으로 비경제적임. 따라서 규모에 영향을 받음
[해설작성자 : 하기싫어이]

20. 미술관 계획에 대한 설명으로 부적당한 것은?
     1. 연속 순회형식은 중심부에 하나의 큰 홀을 두고 그 주위에 각 전시실을 배치하여 자유로이 출입하는 형식으로 대규모의 전시실에 적합하다.
     2. 갤러리 형식은 복도에서 각 실에 직접 들어갈 수 있으며 필요시 독립적으로 폐쇄할 수 있다.
     3. 이용자의 출입구는 직원출입구와 구분한다.
     4. 동선에는 이용자, 직원 등의 사람동선과 전시자료 등의 물건동선이 있다.

     정답 : []
     정답률 : 76%

2과목 : 건축시공


21. 유리공사에 관한 설명으로 옳지 않은 것은?
     1. 망입유리는 방화, 방도용으로 사용된다.
     2. 복층유리는 단열목적 유리이다.
     3. 열선흡수유리는 실내의 냉방효과를 좋게하기 위해 사용된다.
     4. 보통유리는 요양소에서 사용된다.

     정답 : []
     정답률 : 56%

22. 공사계약 방식에는 전통적인 계약방식과 업무범위에 따른 계약방식이 있는데 다음 중 업무범위에 따른 계약방식의 종류가 아닌 것은?
     1. 공동도급 계약방식(Joint Venture Contract)
     2. 턴키 계약방식(Turn-key Contract)
     3. 공사관리 계약방식(Construction Management Contract)
     4. 프로젝트관리 계약방식(Program Management or Project Management Contract)

     정답 : []
     정답률 : 49%

23. 다음 기술 중 QC 활동의 도구가 아닌 것은?
     1. 특성요인도
     2. 파레토그램
     3. 층별
     4. 기능계통도

     정답 : []
     정답률 : 63%

24. 모르타르 또는 콘크리트의 시공에 있어서 상당량 포함되어도 유해(有害)하지 않은 물질은?
     1. 당류
     2. 유지류
     3. 희염산
     4. 규조토

     정답 : []
     정답률 : 61%

25. 말뚝시공법 중 제자리말뚝에서 기계굴삭공법이 아닌 것은?
     1. 리버스서큘레이션공법
     2. 관입공법
     3. 보아홀공법
     4. 심초공법

     정답 : []
     정답률 : 45%

26. 유리섬유, 합성섬유 등의 망상포를 적층하여 도포하는 도막방수 공법은?
     1. 코팅공법
     2. 라이닝공법
     3. 멤브레인공법
     4. 루핑공법

     정답 : []
     정답률 : 50%

27. 길이4.6m, 높이3.4m의 벽을 두께1.0B와 0.5B로 각각 쌓을때의 벽돌(표준형) 구입량의 조합으로 알맞는 수량은?(오류 신고가 접수된 문제입니다. 반드시 정답과 해설을 확인하시기 바랍니다.)
     1. 1.0B - 2,447매 0.5B - 1,232매
     2. 1.0B - 2,331매 0.5B - 1,173매
     3. 1.0B - 2,401매 0.5B - 1,208매
     4. 1.0B - 2,464매 0.5B - 1,207매

     정답 : []
     정답률 : 23%
     <문제 해설>
1.0B 쌓기, 표준형
= (4.6 x 3.4) x 149매 x 1.05
= 2446.8 약 2447매

0.5B 쌓기, 표준형
= (4.6 x 3.4) x 75매 x 1.05
= 1231.6 약 1232매
[해설작성자 : 공부하는 현상이 (출처 해설지)]

아래와 같은 오류 신고가 있었습니다.
여러분들의 많은 의견 부탁 드립니다.
추후 여러분들의 의견을 반영하여 정답을 수정하도록 하겠습니다.
참고로 정답 변경은 오류 신고 5회 이상일 경우 수정합니다.

[오류 신고 내용]

시멘트 벽돌 할증기준이 1.05%.
문제에 시멘트벽돌이 명시되거나
붉은벽돌 할증률인 1.03 적용되야함.

28. 콘크리트의 이어붓기에 관한 기술 중 부적당한 것은 어느것인가?
     1. 보는 단부에서 이어치기 한다.
     2. 보와 상판(바닥슬래브)은 이어치기를 하지 않고 동시에 칠 필요가 있다.
     3. 상판은 될 수 있는 한 중앙부근에서 수직으로 이어친다.
     4. 기둥의 이어치기는 하단에서 한다.

     정답 : []
     정답률 : 35%

29. 콘크리트의 반죽질기 시험방법이 아닌 것은?
     1. 블리딩시험
     2. 슬럼프시험
     3. 관입시험
     4. 리몰딩시험

     정답 : []
     정답률 : 34%

30. 철근 콘크리트 건축물 6m × 10m 평면에 높이가 4m 일 때 동바리 소요량은 몇 공 m3가 되는가?
     1. 21.6
     2. 216
     3. 240
     4. 264

     정답 : []
     정답률 : 56%
     <문제 해설>
동바리량은 높이의 90%만 적용, 6m*10m*(4m*90%) = 216
[해설작성자 : 봉봉]

31. 돌의 맞댐면에 모르타르 또는 콘크리트를 깔고 뒤에는 잡석다짐으로 하는 견치돌 석축쌓기 방법은?
     1. 귀갑쌓기
     2. 건쌓기
     3. 찰쌓기
     4. 모르타르 사춤쌓기

     정답 : []
     정답률 : 44%

32. 유성페인트의 정벌칠에서 광택과 내구력을 증가시키는데 좋은 것은 다음 중 어느 것인가?
     1. 드라이어
     2. 건성유(보일드유)
     3. 스티풀
     4. 캐슈

     정답 : []
     정답률 : 61%

33. 건축공사는 시공 전에 수립하는 시공계획이 공사의 성패를 좌우한다 할 수 있다. 다음 중 시공 계획의 원칙이라할 수 없는 항목은?
     1. 작업량을 최소화 한다.
     2. 각 작업 또는 설비는 가능한 한 장기간 균일한 작업량을 할 수 있게 한다.
     3. 기계설비에 다소 비용을 요해도 인건비를 절감하는 방안을 모색한다.
     4. 설비의 공비시간(空費時間)을 크게 한다.

     정답 : []
     정답률 : 62%

34. 포졸란(pozzolan)을 사용한 콘크리트의 효과 중 옳지 않은 기술은?
     1. 수밀성이 커진다.
     2. 경화작용이 늦어지므로 장기강도가 낮아진다.
     3. 해수 등에 화학적 저항이 크다.
     4. 워어커빌리티(workability)가 좋아지고 블리이딩(bleeding) 및 재료 분리가 감소된다.

     정답 : []
     정답률 : 63%

35. 흙의 함수비에 관한 설명 중 옳지 않은 것은?
     1. 함수비를 감소시키기 위해서는 Sand Drain 공법이 사용된다.
     2. 함수비가 크면 전단강도가 적어진다.
     3. 모래지반에서 함수비가 크면 내부마찰력이 감소된다.
     4. 점토지반에서 함수비가 크면 점착력이 증가한다.

     정답 : []
     정답률 : 65%

36. 지붕공사에 주로 사용하는 방수 재료로 옳은 것은?(오류 신고가 접수된 문제입니다. 반드시 정답과 해설을 확인하시기 바랍니다.)
     1. 아스팔트 콤파운드
     2. 스트레이트 아스팔트
     3. 아스팔트 피치
     4. 블로운 아스팔트

     정답 : []
     정답률 : 25%
     <문제 해설>
아래와 같은 오류 신고가 있었습니다.
여러분들의 많은 의견 부탁 드립니다.
추후 여러분들의 의견을 반영하여 정답을 수정하도록 하겠습니다.
참고로 정답 변경은 오류 신고 5회 이상일 경우 수정합니다.

[오류 신고 내용]
블로운 아스팔트가 옥상, 지붕공사에 가장 많이 사용됩니다. 아스팔트 콤파운드의 경우 블로운 아스팔트의 결점을 보완한 것임.
[해설작성자 : 구국단국]

37. 생콘크리트 측압에 대한 기술로 옳은 것은?
     1. 슬럼프값이 크고, 빈배합일수록 크다.
     2. 벽두께가 두껍고, 부어넣는 속도가 느릴수록 크다.
     3. 시공연도가 좋고, 진동기를 사용하면 측압이 증가된다.
     4. 부어넣기 높이가 기둥에서 1.5m, 벽에서 1m의 경우 측압의 증가는 없다.

     정답 : []
     정답률 : 40%

38. 다음 중 철골조 기둥에서 주각부에 대한 설명으로 틀린 것은?
     1. 주각부의 인장력은 주각의 연결 Rivet이 부담한다.
     2. 기둥의 직압력을 기초에 전달할 수 있도록 Base Plate를 기둥 하부에 단다.
     3. 주각부의 Base Plate의 두께는 휨응력에 저항할 수 있는 두께를 설치한다.
     4. 주각부에 사용한 Anchor Bolt는 φ 9∼32mm가 많이 쓰인다.

     정답 : []
     정답률 : 37%
     <문제 해설>
강구조 처음 배울때 인장재에서 볼트 배우죠?
그게 볼트가 인장력을 부담해서 그렇습니다
[해설작성자 : Snow]

39. 다음중 건축 공사비의 예측을 위한 형태에 의한 단가의 분류로서 바르게 구성된 것은?
     1. 재료단가, 노무단가, 복합단가, 공종단가
     2. 재료단가, 노무단가, 복합단가, 외주단가
     3. 재료단가, 노무단가, 복합단가, 합성단가
     4. 재료단가, 노무단가, 부위단가, 외주단가

     정답 : []
     정답률 : 24%

40. 웰포인트 (Well point)공법에 관한 설명 중에서 틀린 것은?
     1. 흙막이의 토압이 줄어든다.
     2. 웰포인트는 비교적 지하 수위가 얕은 모래지반의 배수에 유리하다.
     3. 인접지반에 침하를 야기시키기 쉽다.
     4. 모래지반 보다 점토질 지반에서 탈수효과가 크다.

     정답 : []
     정답률 : 62%
     <문제 해설>
웰포인트 기법은 점토지반다 사실지반에서 사용
[해설작성자 : 잉아]

3과목 : 건축구조


41. 강도설계법에서 휨부재 설계시 인장철근비에 대한 설명으로 옳은 것은?
     1. 균형철근보로 설계한다.
     2. 과다철근보로 설계한다.
     3. 균형철근비의 75% 이하인 과소철근보로 설계한다.
     4. 균형철근비의 80% 이하인 과소철근보로 설계한다.

     정답 : []
     정답률 : 40%

42. 목구조에 관한 설명 중 옳지 않은 것은?
     1. 왕대공 지붕틀이 연직하중만을 받을 경우 왕대공은 압축재이다.
     2. 가새는 목조벽체를 수평력에 견디게 한다.
     3. 왕대공 지붕틀의 간사이는 20m 정도까지는 할 수 있으나 보통 10m 정도로 한다.
     4. 층도리는 2층 마루바닥이 있는 부분에 수평으로 대는 가로재이다.

     정답 : []
     정답률 : 30%

43. 강도설계법에서 그림과 같은 띠철근을 가진 기둥의 설계 축하중 ø Pn의 최대값은 약 얼마인가? (단, fy=400MPa(=4000kgf/cm2), fck=21MPa(=210kgf/cm2), 강도저감계수 ø =0.7, 주근 : 8-D22(Ast=3096mm2), 띠철근 : D10@300, 보조띠철근 : D10@900)

    

     1. 2585kN(=258500kgf)
     2. 2423kN(=242300kgf)
     3. 2262kN(=226200kgf)
     4. 1984kN(=198400kgf)

     정답 : []
     정답률 : 44%
     <문제 해설>
설계 축하중 = 강도저감계수 x 0.8 x {0.85xfckx(Ag-Ast)+Astxfy}
= 0.7 x 0.8 x {0.85x21x(400^2-3096)+3096*400}
= 2261916N * 10^-3 = 2261.9kN = 2262kN
[해설작성자 : 갱갱]

44. 철근콘크리트 건물에 있어서 신축줄눈(expansion joint)을 설치해야 하는 위치로 부적당한 것은?
     1. 기존건물과 증축건물과의 접합부
     2. 저층의 긴 건물과 고층건물과의 접속부
     3. 길이 30m를 넘는 긴 건물
     4. 두 고층 사이에 있는 긴 저층건물

     정답 : []
     정답률 : 39%

45. 벽돌구조에 관한 사항 중 옳지 않은 것은?
     1. 각 층의 대린벽으로 구획된 벽에서는 문꼴의 나비의 합계는 그 벽길이의 1/2 이하로 한다.
     2. 문꼴 위와 그 바로 위의 문꼴과의 수직거리는 60cm이상으로 한다.
     3. 내력벽으로 둘러싸인 부분의 바닥면적은 60m2 를 넘을 수 없다.
     4. 나비 180cm가 넘는 문꼴의 상부에는 철근콘크리트 인 방보를 설치한다.

     정답 : []
     정답률 : 33%
     <문제 해설>
내력벽으로 둘러싸인 부분의 바닥면적은 80m2 를 넘을 수 없다.
[해설작성자 : --]

46. 독립기초가 모래지반 위에 놓여 있을 때 중심 압축력에 대한 지반 반력의 분포로서 합당한 것은?
     1.
     2.
     3.
     4.

     정답 : []
     정답률 : 51%

47. 철근콘크리트보에서 전단보강철근으로 볼 수 없는 것은?
     1. 부재의 축에 직각인 스터럽
     2. 주인장철근에 30° 각도로 구부린 굽힘철근
     3. 스터럽과 굽힘철근의 조합
     4. 주인장철근에 30° 각도로 설치되는 스터럽

     정답 : []
     정답률 : 21%

48. 강도설계법으로 설계하는 경우 균형단면의 직사각형보에 서 fck=24MPa(=240㎏f/㎝2 ), fy=350MPa(=3500㎏f/㎝2 ) 일 때 균형철근비ρ b 값은? (단, Es=2.0×105MPa(=2.0×106㎏f/㎝2 )임)
     1. 2.41%
     2. 2.72%
     3. 3.13%
     4. 3.54%

     정답 : []
     정답률 : 34%

49. 직경 24mm의 봉강에 6.5tf의 인장력이 작용할 때 인장응력의 크기는 약 얼마인가?
     1. 1280kgf/cm2
     2. 1360kgf/cm2
     3. 1440kgf/cm2
     4. 1500kgf/cm2

     정답 : []
     정답률 : 45%

50. 벽돌벽의 균열원인과 가장 거리가 먼 것은?
     1. 문꼴의 불균형배치
     2. 기초의 부동침하
     3. 하중의 불균등분포
     4. 벽돌벽의 공간쌓기

     정답 : []
     정답률 : 62%

51. 그림과 같은 겔버보에서 B점의 휨모멘트는?

    

     1. -2.25 tf· m
     2. -4.5 tf· m
     3. -9 tf· m
     4. 0 tf· m

     정답 : []
     정답률 : 36%

52. 인장철근량 As=1500mm2 인 단철근 장방향보에서 사각형 응력분포깊이 a는 약 얼마인가? (단, fck = 24MPa(240㎏f/cm2), fy = 300MPa(3000㎏f/cm2),b = 300mm, d = 500mm)
     1. 6.5㎝
     2. 7.4㎝
     3. 8.2㎝
     4. 5.0㎝

     정답 : []
     정답률 : 55%

53. 그림과 같은 트러스에서 압축재의 수는 몇 개인가?

    

     1. 8개
     2. 9개
     3. 7개
     4. 10개

     정답 : []
     정답률 : 37%

54. 그림과 같은 캔틸레버보에 집중하중 P가 작용할 때 휨모멘트도로 맞는 것은?

    

     1.
     2.
     3.
     4.

     정답 : []
     정답률 : 34%

55. 그림과 같은 기초의 정사각형 저면에 생기는 접지압응력도의 분포도로 올바른 것은? (단, 편심거리ℓ = L/6 으로 한다.)

    

     1.
     2.
     3.
     4.

     정답 : []
     정답률 : 41%

56. 그림과 같은 단면의 단면계수는 약 얼마인가?

    

     1. 2333cm3
     2. 2556cm3
     3. 3000cm3
     4. 42000cm3

     정답 : []
     정답률 : 38%
     <문제 해설>
단면계수=I/(h/2)인데
여기서 I=(20*30^3)/12-(10+20^3)/12,
             h=30    이므로
단면계수 Z=2555.55555...=2556cm^3입니다
[해설작성자 : 민죠스키]

57. 벽돌내쌓기에 대한 설명 중 옳지 못한 것은?
     1. 벽체에 마루를 놓거나 또는 방화벽으로 처마부분을 가리기 위해 벽돌을 벽면에서 부분적 또는 길게 내쌓는 것을 말한다.
     2. 보통 1/8B 1켜씩 또는 1/4B 2켜씩 내쌓는다.
     3. 내미는 한도는 최대 1.5B로 한다.
     4. 내쌓기는 마구리쌓기로 하는 것이 좋다.

     정답 : []
     정답률 : 36%
     <문제 해설>
내미는 한도는 최대 2.0B
[해설작성자 : 갱갱]

58. 그림과 같은 구조에서 기둥 부재에 휨모멘트가 생기지 않게 하려면 캔틸레버의 내민 길이 X의 값은?

    

     1. 3.0 m
     2.
     3. 1.5 m
     4.

     정답 : []
     정답률 : 24%
     <문제 해설>
M(bc) = 2*3*3/12 (고정단 모멘트 = wL^2/12)
M(ab) = 2*X*X/2
M(bc) = M(ab)일 때 기둥 부재에 휨모멘트가 생기지 않으므로
X = 루트1.5
[해설작성자 : Leon]

59. 목조의 토대에 관한 기술 중 옳지 않은 것은?
     1. 토대는 기초 위에 가로놓아 상부에서 오는 하중을 기초에 전달한다.
     2. 토대의 크기는 보통 기둥과 같이 하거나 다소 적게 한다.
     3. 토대의 모서리, T자형, +자형으로 접합되는 요소에 는 귀잡이토대를 설치한다.
     4. 토대와 토대의 이음은 턱걸이주먹장이음 또는 엇걸이 산지이음 등으로 한다.

     정답 : []
     정답률 : 53%

60. 그림에서 인장력 N이 작용할 때 F8T, 4-M16를 사용한 경우 허용전단력의 크기는?

    

     1. 4.82tf
     2. 19.29tf
     3. 2.41tf
     4. 9.65tf

     정답 : []
     정답률 : 28%

4과목 : 건축설비


61. 전기배선설비에 있어 금속관에 부설되는 전선의 절연 피복을 포함한 총 단면적은 금속관내 단면적의 최대 얼마이하가 되도록 하는가?
     1. 10%
     2. 20%
     3. 30%
     4. 40%

     정답 : []
     정답률 : 19%

62. 겨울철 실내 유리창 표면에 발생하기 쉬운 결로를 방지할수 있는 방법이 아닌 것은?
     1. 실내에서 발생하는 가습량을 억제한다.
     2. 실내공기의 움직임을 억제한다.
     3. 이중유리로 하여 유리창의 단열성능을 높인다.
     4. 난방기기를 이용하여 유리창 표면온도를 높인다.

     정답 : []
     정답률 : 62%

63. 축전지 설비의 주요장치가 아닌 것은?
     1. 충전장치
     2. 제어장치
     3. 보안장치
     4. 청정시스템

     정답 : []
     정답률 : 58%

64. 각 층마다 옥내소화전이 3개씩 설치되어 있는 건물에 필요한 옥내소화전용 물탱크의 최소 필요 용량은 어느 정도인가?
     1. 6.9m3
     2. 7.2m3
     3. 7.5m3
     4. 7.8m3

     정답 : []
     정답률 : 43%

65. 다음 중 점검할 수 없는 은폐 장소에 적당치 않은 옥내배선의 공사방법은?
     1. 애자 사용 공사
     2. 목제 몰드 공사
     3. 합성 수지관 공사
     4. 케이블 공사

     정답 : []
     정답률 : 37%

66. 공기조화방식이 아닌 것은?
     1. 2중 덕트 방식
     2. 팬코일 유니트 방식
     3. 탱크레스 부스터 방식
     4. 패키지 유니트 방식

     정답 : []
     정답률 : 41%
     <문제 해설>
탱크레스 부스터 방식은 급수의 방식
[해설작성자 : MIN]

67. 엘리베이터의 안전장치 중에서 카가 최상층이나 최하층에 서 정상 운행위치를 벗어나 그 이상으로 운행하는 것을방지하는 것은?
     1. 조속기(governor)
     2. 제한 스위치(limit switch)
     3. 카운터 웨이트(counter weight)
     4. 완충기(buffer)

     정답 : []
     정답률 : 62%

68. 다음 급수방식에 대한 설명 중 맞는 것은?
     1. 수도직결방식은 수질오염의 가능성이 적다.
     2. 고가수조방식은 단수시에는 급수가 불가능하다.
     3. 고가수조식은 취급이 어려워 소규모 설비에 사용된다
     4. 압력수조방식은 압력을 항상 일정하게 유지할 수 있다.

     정답 : []
     정답률 : 61%

69. 그림과 같은 방식으로 급수를 하고 있는 주택에서, 2층에 있는 샤워기에 급수가 원활히 이루어지기 위해서 필요한 수도본관의 압력은 최소 어느 정도 필요한가? (단, 샤워기까지의 수도미터, 밸브 및 배관 등에 의한 압력손실은 0.5kg/cm2이고, 샤워기의 최소필요압력은 0.7kg/cm2로 한다.)

    

     1. 1.9kg/cm2
     2. 2.0kg/cm2
     3. 2.1kg/cm2
     4. 2.2kg/cm2

     정답 : []
     정답률 : 30%

70. 감시제어반 설비에 있어서 제어의 종류와 표시법이 잘못 연결된 것은?
     1. 전원표시 - 오렌지색 램프
     2. 고장표시 - 부저 및 벨울림
     3. 정지표시 - 녹색램프
     4. 운전표시 - 적색램프

     정답 : []
     정답률 : 47%

71. 단일 덕트 방식 중 변풍량 방식에 대한 설명으로 옳은 것은?
     1. 송풍온도를 일정하게 하고 실내부하변동에 따라 송풍량을 변화시킨다.
     2. 실내공기의 청정화를 요할 때 적당하다.
     3. 전개형 유니트를 사용하기 때문에 사용하지 않는 방의 송풍을 정지시킬 수 없다.
     4. 연간소비동력, 즉 에너지 소비가 정풍량 방식보다 크다.

     정답 : []
     정답률 : 47%

72. 난방에 대한 설명이 옳게 된 것은?
     1. 증기난방은 증기의 유량 제어가 어려우므로 실온 조절이 곤란하다.
     2. 증기난방은 온수난방에 비해 소음이 적다.
     3. 증기난방에서 버킷의 자중과 그 부력과의 차에 의해밸브를 개폐하는 트랩을 플로트 트랩이라 한다.
     4. 밀폐식 팽창탱크는 저온수 난방에 주로 사용된다.

     정답 : []
     정답률 : 48%

73. 복사 난방에 관한 설명 중 옳지 못한 것은?
     1. 실내의 온도분포가 균등하고 쾌감도가 높다.
     2. 방열기를 설치하지 않아 실내 바닥면의 이용도가 높다.
     3. 천장이 높은 실의 난방에는 사용할 수 없다.
     4. 구조체를 따뜻하게 하므로 예열시간이 길고 일시적인 난방에는 바람직하지 않다.

     정답 : []
     정답률 : 60%

74. 용어와 단위를 짝지은 것 중에서 틀린 것은?
     1. 음의 세기의 레벨 - dB
     2. 음압 - dyne/cm2
     3. 광속 - ℓ m/m2
     4. 열관류율 - kcal/m2h℃

     정답 : []
     정답률 : 39%
     <문제 해설>
광속의 단위는 [lm]
[해설작성자 : 위대한두츠비]

75. 증기난방설비에서 방열기의 소요방열면적이 100m2에서 급탕량의 최대가 600ℓ /h, 배관 및 여유부하가 35%인 경우 보일러의 정격출력은? (단, 증기난방 표준방열량은 650kcal/m2· h이며, 급탕의 온도는 70℃, 급수온도는 10℃ 이다.)
     1. 65,000kcal/h
     2. 101,000kcal/h
     3. 123,750kcal/h
     4. 136,350kcal/h

     정답 : []
     정답률 : 30%

76. 특별고압계기용 변성기의 2차측 전로 및 고압용 또는 특별고압용 기계 기구의 철대 및 금속재 외함에 필요한 접지공사의 종류는?
     1. 제1종 접지공사
     2. 제2종 접지공사
     3. 제3종 접지공사
     4. 특별 제3종 접지공사

     정답 : []
     정답률 : 33%

77. 고가수조의 용량을 V(m3)라면 양수펌프의 양수량Q(m3/HR)으로 알맞는 것은?
     1. Q=0.5 V
     2. Q=1.0 V
     3. Q=1.5 V
     4. Q=2.0 V

     정답 : []
     정답률 : 27%

78. 에스컬레이터에 관한 설명으로 틀린 것은?
     1. 경사는 30° 이하로 한다.
     2. 정격속도는 30m/분 이하로 한다.
     3. 기계실이 필요하며 엘리베이터에 비해 점유면적이 크다.
     4. 건축에 걸리는 하중이 최하층에 집중되지 않고 각 층에 분담되어 걸린다.

     정답 : []
     정답률 : 52%

79. 트랩의 봉수파괴 원인 중 자기사이폰 작용에 대한 설명으로 옳지 않은 것은?
     1. 만류, 연속류를 비만류 또는 비연속류화하면 효과적으로 방지할 수 있다.
     2. 윗층의 기구로부터 배수가 배수수직관내를 급속히 흘러 하층 기구의 유출관 부분을 통과할 때 수평주관내부의 공기를 감압시켜 봉수가 파괴되는 현상이다.
     3. 각개통기관을 기구배수관에 접속하여 공기를 유입시키면 자기사이폰 작용을 막을 수 있다.
     4. 기구에 각 단면적비가 큰 트랩을 설치하면 자기사이폰 작용의 방지에 효과적이다.

     정답 : []
     정답률 : 27%
     <문제 해설>
2번 내용 ㅇ유인사이폰 작용 내용
[해설작성자 : J2WOONG]

80. 유로(流路)의 패쇄나 유량의 계속적인 변화에 의한 유량조절에 적합한 것으로 스톱 밸브라고도 불리우는 것은?
     1. 앵글밸브(angle valve)
     2. 게이트밸브(gate valve)
     3. 체크밸브(check valve)
     4. 글로브밸브(globe valve)

     정답 : []
     정답률 : 24%

81. 용적률의 기준에 120% 이하의 범위안에서 조례가 정하는 비율로 할 수 있는 규정의 내용과 관계가 없는 것은?
     1. 용도지역
     2. 대지에 접한 도로의 너비와 길이
     3. 대지면적
     4. 건축면적

     정답 : []
     정답률 : 22%

82. 다음 면적, 높이등의 산정방법에 대한 설명 중 틀린것은?
     1. 계단탑 및 옥상에 설치하는 물탱크는 바닥면적에 산입되지 아니한다.
     2. 용적률의 산정에 있어서는 지하층의 면적과 지상층의 주차용으로 사용되는 면적을 연면적에서 제외한다.
     3. 지하 3층, 지상 6층 건축물의 층수는 9층이다.
     4. 공동주택으로서 지상층에 설치한 기계실의 경우에는 당해부분을 바닥면적에 산입하지 아니한다.

     정답 : []
     정답률 : 64%
     <문제 해설>
보기 2번에서 지상층 주차장은 당해 건물이 부속 용도의 경우에만 면적 산입에 제외
[해설작성자 : 캠코간당]

83. 그림과 같은 주차전용 건축물을 건축할 경우 A 점의 최고 높이는?

    

     1. 15m
     2. 18m
     3. 24m
     4. 36m

     정답 : []
     정답률 : 20%

84. 건축선에 관한 내용으로 옳은 것은?
     1. 소요너비에 미달되는 너비의 도로인 경우에는 그 중심선으로부터 당해 소요너비에 상당하는 수평거리를 후퇴한 선으로 한다.
     2. 지상 및 지표하의 건축물은 건축선의 수직면을 넘어서는 아니된다.
     3. 도로면으로부터 높이 5.0m이하에 있는 창문은 개폐시 건축선의 수직면을 넘어서는 아니된다.
     4. 6m 도로가 직각으로 교차하는 도로모퉁이에서의 건축선은 3m씩 후퇴한 2점을 연결한 선으로 한다.

     정답 : []
     정답률 : 28%

85. 용도지역안에서 정할 수 있는 건폐율이 잘못된 것은?
     1. 유통상업지역 - 80%이하
     2. 제2종 전용주거지역 - 60%이하
     3. 보전녹지지역 - 20%이하
     4. 계획관리지역 - 40%이하

     정답 : []
     정답률 : 36%
     <문제 해설>
제2종 전용주거지역 - 50%이하
[해설작성자 : comcbt.com 이용자]

86. 층고 3m, 각 층 바닥면적 1,000m2이며 매층 150m2마다 방화구획으로 구획한 15층 오피스텔에서 최소한의 비상용 승강기의 댓수는?
     1. 1대
     2. 2대
     3. 3대
     4. 필요없다.

     정답 : []
     정답률 : 29%

87. 출구와 입구를 구분하지 않고 주차대수의 규모가 60대인 노외주차장을 설치하는 경우에 당해 주차장 출입구의 최소너비는?
     1. 3.5 m
     2. 4.5 m
     3. 5.5 m
     4. 6.5 m

     정답 : []
     정답률 : 38%

88. 공동주택의 지상층에 설치하면 바닥면적에서 제외되는 부분이 아닌 것은?
     1. 기계실
     2. 조경시설
     3. 종교시설
     4. 어린이놀이터

     정답 : []
     정답률 : 55%

89. 대지의 안전에 관한 기술 중 틀린 것은?
     1. 습한 토지는 성토 또는 지반의 개량 등 필요한 조치를 하여야 한다.
     2. 성토하는 부분의 경사도가 1:1.5 이상으로서 높이가 1m 이상인 부분에는 옹벽을 설치하여야 한다.
     3. 옹벽에는 3m2마다 하나 이상의 배수구멍을 설치하여야 한다.
     4. 대지는 반드시 인접하는 도로면보다 높아야 한다.

     정답 : []
     정답률 : 42%
     <문제 해설>
대지는 도로면보다 낮으면 안 됩니다. 곧, 같거나 높으면 가능
[해설작성자 : 캠코간당]

90. 다음 시설중 지방건축위원회의 심의를 받지 않아도 허가받을 수 있는 건축물은?
     1. 바닥면적의 합계가 6000m2의 종합병원
     2. 17층의 사무소
     3. 연면적 10000m2의 아파트
     4. 16층의 관광호텔

     정답 : []
     정답률 : 30%

91. 건축면적 800m2인 건축물의 층수에 산입되지 아니하는 계단탑의 바닥면적으로서 최대로 할 수 있는 면적은? (단, 사업계획승인 대상인 공동주택중 세대별 전용면적이 85m2이하인 경우는 제외)
     1. 80m2
     2. 100m2
     3. 160m2
     4. 200m2

     정답 : []
     정답률 : 46%

92. 다음 중 노외주차장의 출구와 입구를 설치할 수 있는 곳은?
     1. 횡단 보도에서 5m이내의 도로의 부분
     2. 장애인복지시설의 출입구로부터 20m이내의 도로의 부분
     3. 중학교의 출입구로부터 20m이내의 도로의 부분
     4. 종단구배가 10%를 초과하는 도로

     정답 : []
     정답률 : 45%

93. 건축법령상 1이상의 필지의 일부를 하나의 대지로 할 수 있는 경우가 아닌 것은?
     1. 하천점용허가를 받은 경우 그 허가받은 부분의 토지
     2. 사용승인을 신청하는 때에 분필할 것을 조건으로 하여 건축허가를 하는 경우 그 분필대상이 되는 부분의 토지
     3. 도시계획시설이 결정· 고시된 경우 그 결정· 고시가 있는 부분의 토지
     4. 산지전용허가를 받은 경우 그 허가받은 부분의 토지

     정답 : []
     정답률 : 23%

94. 건축물의 높이를 정남방향의 인접대지경계선으로부터 일정거리를 띄어야 하는 경우가 아닌것은?
     1. 정남방향으로 공원· 하천등 건축이 금지된 공지에 접하는 대지인 경우
     2. 도시개발구역인 경우
     3. 택지개발예정지구인 경우
     4. 대지조성사업지구인 경우

     정답 : []
     정답률 : 31%

95. 오피스텔의 개별난방방식에 관한 기술 중 옳지 아니한것은?
     1. 보일러의 연도는 내화구조일 것
     2. 보일러는 거실 외의 곳에 설치할 것
     3. 보일러실의 윗부분에는 0.5m2 이상인 면적의 환기창을 설치할 것
     4. 난방구획마다 내화구조로 된 벽· 바닥과 갑종방화문 을종방화문으로 된 출입문으로 구획할 것

     정답 : []
     정답률 : 61%

96. 도시기본계획의 정비는 몇 년 단위로 하는가?
     1. 5년
     2. 10년
     3. 15년
     4. 20년

     정답 : []
     정답률 : 38%

97. 개별관람석 바닥면적이 1,500m2인 공연장의 관람석 출구의 유효너비를 2.0m로 하는 경우에 출구는 몇 개소이상이 필요하는가?
     1. 3개소
     2. 4개소
     3. 5개소
     4. 6개소

     정답 : []
     정답률 : 33%

98. 국토의 계획 및 이용에 관한 법률상의 시설보호지구의 세분된 내용이 아닌 것은?
     1. 학교시설
     2. 공용시설
     3. 항만의 보호를 위하여 필요한 지구
     4. 중요시설물

     정답 : []
     정답률 : 25%

99. 각각의 지역에서 조례에서도 건축이 허용되지 않는 것은?
     1. 제1종일반주거지역 - 안마시술소
     2. 일반상업지역 - 기숙사
     3. 일반공업지역 - 분뇨 및 쓰레기처리시설
     4. 자연녹지지역 - 아파트형공장

     정답 : []
     정답률 : 28%
     <문제 해설>
2종 근생입니당
[해설작성자 : 땅기]

100. 주차단위구획에 대한 설명 중 옳지 않은 것은?
     1. 평행주차인 일반주차장 - 너비 2.0m이상, 길이 6.5m이상
     2. 직각주차인 일반주차장 - 너비 2.3m이상, 길이 5.0m이상
     3. 지체장애인 전용주차장 - 너비 3.3m이상, 길이 5.0m이상
     4. 주거지역의 보도와 차도의 구분이 없는 도로에서의평행주차 - 너비 2.0m이상, 길이 5.0m이상

     정답 : []
     정답률 : 48%


정 답 지

1

2

3

4

5

6

7

8

9

10

11

12

13

14

15

16

17

18

19

20

21

22

23

24

25

26

27

28

29

30

31

32

33

34

35

36

37

38

39

40

41

42

43

44

45

46

47

48

49

50

51

52

53

54

55

56

57

58

59

60

61

62

63

64

65

66

67

68

69

70

71

72

73

74

75

76

77

78

79

80

81

82

83

84

85

86

87

88

89

90

91

92

93

94

95

96

97

98

99

100

건축기사 필기 기출문제(해설) 및 CBT 2004년03월07일을 이용해 주셔서 감사합니다.
, 필기, 기출문제, 전자문제집, CBT, 온라인, 모의테스트, 모의고사



List of Articles
번호 제목 글쓴이 날짜 조회 수
6828 건축기사 필기 기출문제(해설) 및 CBT 2008년03월02일(7141) 좋은아빠되기 2025.10.07 0
6827 건축기사 필기 기출문제(해설) 및 CBT 2007년09월02일(7140) 좋은아빠되기 2025.10.07 0
6826 건축기사 필기 기출문제(해설) 및 CBT 2007년05월13일(7139) 좋은아빠되기 2025.10.07 0
6825 건축기사 필기 기출문제(해설) 및 CBT 2007년03월04일(7138) 좋은아빠되기 2025.10.07 0
6824 건축기사 필기 기출문제(해설) 및 CBT 2006년09월10일(7137) 좋은아빠되기 2025.10.07 0
6823 건축기사 필기 기출문제(해설) 및 CBT 2006년05월14일(7136) 좋은아빠되기 2025.10.07 0
6822 건축기사 필기 기출문제(해설) 및 CBT 2006년03월05일(7135) 좋은아빠되기 2025.10.07 0
6821 건축기사 필기 기출문제(해설) 및 CBT 2005년09월04일(7134) 좋은아빠되기 2025.10.07 0
6820 건축기사 필기 기출문제(해설) 및 CBT 2005년05월29일(7133) 좋은아빠되기 2025.10.07 0
6819 건축기사 필기 기출문제(해설) 및 CBT 2005년03월06일(7132) 좋은아빠되기 2025.10.07 0
6818 건축기사 필기 기출문제(해설) 및 CBT 2004년09월05일(7131) 좋은아빠되기 2025.10.07 0
6817 건축기사 필기 기출문제(해설) 및 CBT 2004년05월23일(7130) 좋은아빠되기 2025.10.07 0
» 건축기사 필기 기출문제(해설) 및 CBT 2004년03월07일(7129) 좋은아빠되기 2025.10.07 0
6815 건축기사 필기 기출문제(해설) 및 CBT 2003년05월25일(7128) 좋은아빠되기 2025.10.07 0
6814 건축기사 필기 기출문제(해설) 및 CBT 2003년03월16일(7127) 좋은아빠되기 2025.10.07 0
6813 식품안전기사 필기 기출문제(해설) 및 CBT 2018년08월19일(7126) 좋은아빠되기 2025.10.07 0
6812 식품안전기사 필기 기출문제(해설) 및 CBT 2018년04월28일(7125) 좋은아빠되기 2025.10.07 1
6811 식품안전기사 필기 기출문제(해설) 및 CBT 2018년03월04일(7124) 좋은아빠되기 2025.10.07 0
6810 식품안전기사 필기 기출문제(해설) 및 CBT 2017년08월26일(7123) 좋은아빠되기 2025.10.07 0
6809 식품안전기사 필기 기출문제(해설) 및 CBT 2017년05월07일(7122) 좋은아빠되기 2025.10.07 0
Board Pagination Prev 1 ... 272 273 274 275 276 277 278 279 280 281 ... 618 Next
/ 618