자격증 필기 기출문제



건축기사 필기 기출문제(해설) 및 CBT 2017년05월09일(7169)

최강 자격증 기출문제 전자문제집 CBT : www.comcbt.com


전자문제집 CBT란?

종이 문제집이 아닌 인터넷으로 문제를 풀고 자동으로 채점하며 모의고사, 오답 노트, 해설까지 제공하는
무료 기출문제 학습 프로그램으로 실제 상설검정에서 사용하는 OMR 형식의 CBT를 제공합니다.


최신 건축기사 필기 기출문제 : [다운로드]

1과목 : 건축계획


1. 백화점의 진열장 배치에 관한 설명으로 옳지 않은 것은?
     1. 직각배치는 매장 면적의 이용률을 최대로 확보할 수 있다.
     2. 사행배치는 주통로 이외의 제2통로를 상하교통계를 향해서 45° 사선으로 배치한 것이다.
     3. 사행배치는 많은 고객이 매장구석까지 가기 쉬운 이점이 있으나 이행의 진열장이 필요하다.
     4. 자유유선 배치는 확일성을 탈피할 수 있으며, 변화와 개성을 추구할 수 있고 시설비가 적게든다.

     정답 : []
     정답률 : 82%
     <문제 해설>
자유유선 배치는 시설비가 많이 든다

아래와 같은 오류 신고가 있었습니다.
여러분들의 많은 의견 부탁 드립니다.
추후 여러분들의 의견을 반영하여 정답을 수정하도록 하겠습니다.
참고로 정답 변경은 오류 신고 5회 이상일 경우 수정합니다.

[오류 신고 내용]
이행이 아니라 이형 입니다

2. 다음의 주요 사례에서 전시공간의 융통성을 가장 많이 부여하고 있는 것은?
     1. 과천 현대 미술관
     2. 파리 퐁피두 센터
     3. 파리 루브르 박물관
     4. 뉴욕 구겐하임 미술관

     정답 : []
     정답률 : 87%
     <문제 해설>
퐁피두 센터는 프랑스 국립미술관으로서 넓은 무주 공간이라 전시공간의 융통성을 가장 많이 부여 하고 있다.
[해설작성자 : vru]

3. 극장의 프로시니엄에 관한 설명으로 옳은 것은?
     1. 무대배경용 벽을 말하며 쿠펠 호리존트라고도 한다.
     2. 조명기구나 사이크로라마를 설치한 연기부분 무대의 후면 부분을 일컫는다.
     3. 무대의 천장 밑에 설치되는 것으로 배경이나 조명기구 등을 매다는데 사용된다.
     4. 그림에 있어서 액자와 같이 관객의 시선을 무대에 쏠리게 하는 시각적 효과를 갖는다.

     정답 : []
     정답률 : 83%
     <문제 해설>
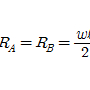
극장평면분류에 따른 기출문제 답만정리한 키워드
1.애리나:배경없음,경제적,많은관객수용
2.프로시니엄:배우가 관객을 일정방향으로 봄,한폭의 그림
*표정및동작(15미터),일차허용(22미터),2차허용(35미터)
[해설작성자 : 고찬]

4. 백화점 계획에서 매장 부분의 외관을 무창으로 하는 이유로 옳지 않은 것은?
     1. 실내의 조도를 일정하게 하기 위해서
     2. 벽면에 상품 전시공간을 확보하기 위해서
     3. 인접건물의 화재시 백화점으로의 인화를 방지하기 위해서
     4. 창으로부터의 역광이 없도록 하여 디스플레이(display)를 유리하게 하기 위해서

     정답 : []
     정답률 : 86%
     <문제 해설>
방화의 목적은 없습니당
[해설작성자 : 기로짜]

5. 능률적인 작업용량으로서 10만 권을 수장할 도서관 서고의 면적으로 가장 알맞은 것은?
     1. 350m2
     2. 500m2
     3. 800m2
     4. 950m2

     정답 : []
     정답률 : 92%
     <문제 해설>
바닥면적 1m^2당 150 ~250권

6. 병원건축의 병동배치형식 중 집중식(block type)에 관한 설명으로 옳지 않은 것은?
     1. 재난 시 환자의 피난이 용이하다.
     2. 병동에서의 조망을 확보할 수 있다.
     3. 대지를 효과적으로 이용할 수 있다.
     4. 공조설비가 필요하게 되어 설비비가 높다.

     정답 : []
     정답률 : 81%
     <문제 해설>
화재 및 재난시 피난이 어려우므로 별도의 대피시설이 요구된다.
[해설작성자 : comcbt.com 이용자]

해설이 좀 부족한거같아서 풀어씁니다.
집중식=한곳에 모여있는건데 화재같은 대형재난이 발생했을때 한곳에 모여있으면 다 같이 대피한다고 압사 같은 2차재난이 발생할 위험이있죠?
즉 집중식은 재난시 환자의 피난에 용이하지 않습니다.
[해설작성자 : 이승빈]

좀 더 간단하게 말하자면,
분관식은 층이 높지 않고 넓게 퍼져있으니, 피난 상황이오면 금방 밖으로 나갈 수 있지만

집중식은 고층밀집이기 때문에 엘레베이터를 타거나 계단을 엄청 많이 내려와야하죠
오래걸리니까 피난이 어렵죠
[해설작성자 : 쿼카코꾸멍]

7. 사무소 건축에서 엘리베이터 계획 시 고려사항으로 옳지 않은 것은?
     1. 수량 계산 시 대상 건축물의 교통수요량에 적합해야한다.
     2. 승객의 층별 대기시간은 평균 운전간격 이상이 되게 한다.
     3. 군 관리 운전의 경우 동일 군내의 서비스 층은 같게 한다.
     4. 초고층, 대규모 빌딩인 경우는 서비스 그룹을 분할(조닝)하는 것을 검토한다.

     정답 : []
     정답률 : 95%
     <문제 해설>
승객의 층별 대기시간은 평균 운전간격 이하가 되게한다.

8. 다음의 건축물과 양식의 연결이 옳지 않은 것은?
     1. 판테온 - 로마 양식
     2. 파르테논 신전 - 그리스 양식
     3. 성 소피아 성당 - 비잔틴 양식
     4. 노트르담 성당 - 로마네스크 양식

     정답 : []
     정답률 : 67%
     <문제 해설>
노트르담 성당 - 고딕양식
[해설작성자 : 흥지]

노르트담의 고딥추(곱추)
[해설작성자 : ㅇ]

9. 일반주택의 동선계획에 관한 설명으로 옳지 않은 것은?
     1. 하중이 큰 가사노동의 동선은 길게 처리한다.
     2. 동선에는 공간이 필요하고 가구를 둘 수 없다.
     3. 일반적으로 동선의 3요소라 함은 속도,빈도,하중을 의미한다.
     4. 개인, 사회, 가사노동권의 3개 동선은 서로 분리하는 것이 바람직하다.

     정답 : []
     정답률 : 93%
     <문제 해설>
1. 속도 : 얼마나 빠를 수 있느냐의 정도.
2. 빈도 : 얼마나 많이 통행하느냐의 정도(공간적 두께)
3. 하중 : 동선을 따라 이동하는 대상이 어느 정도의 무게감을 가졌느냐의 정도로 하중이 큰 가사 노동과 같은 동선은 짧게 처리한다.
                    (무거운 짐들고 먼거리 가면 힘들다.)

10. 아파트의 평면형식 중 계단실 형에 관한 설명으로 옳은 것은?
     1. 대지에 관한 이용률이 가장 높은 유형이다.
     2. 동행을 위한 공용 면적이 크므로 건물의 이용도가 낮다.
     3. 각 세대가 양쪽으로 개구부를 계획할 수 있는 관계로 통풍이 양호하다.
     4. 엘리베이터를 공용으로 사용하는 세대가 많으므로 엘리베이터의 효율이 높다.

     정답 : []
     정답률 : 77%
     <문제 해설>
1. 대지에 대한 이용률이 가장 높은 유형은 집중형이다.
2. 통행을 위한 공용면적이 작으므로 건물의 이용도가 높다.
4. 엘리베이터를 공용으로 사용하는 세대가 적으므로 엘리베이터의 효율이 낮다.

11. 주거단지의 도로형식에 관한 설명으로 옳지 않은 것은?
     1. 격자형은 가로망의 형태가 단순·명료하고, 가구 및 확지 구성상 택지의 이용효율이 높다.
     2. 쿨데삭(Cul-de-sac)형은 각 가구와 관계없는 자동차의 진입을 방지할 수 있다는 장점이 있다.
     3. 루프(Loop)형은 우회도로가 없는 쿨데삭형의 결점을 개량하여 만든 패턴으로 도로율이 높아지는 단점이 있다.
     4. T자형 도로의 교차방식을 주로 T자 교차로한 형태로 통행거리가 짧아 보행자 전용도로와 병용이 불필요하다.

     정답 : []
     정답률 : 81%
     <문제 해설>
t형은 주행속도를 줄이고 통과교통을 배제하려고 교차방식을 t모양으로 만든건데,
보행자 입장에서는 통행거리가 길고 불편해서 보행자 전용도로랑 병용하는게 필요한 방식이에요
[해설작성자 : 기로짜]

12. 한국건축에 관한 설명으로 옳지 않은 것은?
     1. 대부분의 한국건축은 인간적 척도 개념을 나타내는 특징이 있다.
     2. 기둥의 안쏠림으로 건축의 외관에 시지각적인 안정감을 느끼게 하였다.
     3. 한국건축은 서양건축과 달리 박공면이 정면이 되고 지붕면이 측면이 된다.
     4. 한국건축은 공간의 위계성이 있어 각 공간의 관계가 주(主)와 종(從)의 관계를 갖는다.

     정답 : []
     정답률 : 81%
     <문제 해설>
3. 한국 건축은 지붕면이 정면이 되고 박공면이 측면이다.
[해설작성자 : comcbt.com 이용자]

다들 한옥 보신 적 있으시죠? 집 들어가면 기왓장이 있는 지붕면 아래에 문 있고 마루 보이고 합니다. 그래서 한국집은 지붕면이 정면.
반대로 어릴 때 집 그리라고 하면 그렸던 굴뚝 달린 서양집을 그림으로 그린다고 생각해봅시다. 보통 △삼각 지붕에 굴뚝 그려주고 그 아래에 □네모나게 집 본체 그려준 뒤에 문 달아주고 하죠? 이 그림 생각하면 서양집은 박공면이 정면임을 기억할 수 있습니다.
[해설작성자 : 추언은연기나는건기]

13. 초기 기독교 시기의 바실라카 양식의 본당의 평면도에서 회랑의 중앙부분을 나타내는 용어는?
     1. 아일(Aisle)
     2. 네이브(Nave)
     3. 아트리움(Atrium)
     4. 페디먼트(Pediment)

     정답 : []
     정답률 : 62%
     <문제 해설>
1. 아일 : 측면회랑
2. 네이브 : 중앙회랑
3. 아트리움 : 중정
4. 페디먼트 : 그리스 신전의 지붕 장식물
[해설작성자 : 세종대건축공만세]

14. 극장에서 인형극이나 아동극 및 연극과 같이 배우의 표정과 동작을 자세히 감상할 필요가 있는 공연에 적한 가시거리의 한계는?
     1. 10m
     2. 15m
     3. 22m
     4. 38m

     정답 : []
     정답률 : 90%
     <문제 해설>
1. A구역 : 15M - 배우의 표정이나 동작을 상세히 감상할수 있는거리
2. 1차 허용 한도 : 22M - 될수 있는 한 많은 관객을 수용하기 위한 적당한 가시거리(국악, 신극, 신내악)
3. 2차 허용 한도 : 35M - 배우의 일반적인 동작만 보이면 감상하는데 별 지장이 없는 거리 (발레, 뮤지컬 등)

15. 호텔 건축에 관한 설명으로 옳은 것은?
     1. 호텔의 동선에서 물품동선과 고객동선은 교차시키는 것이 좋다.
     2. 프런트 오피스는 수평동선이 수직동선으로 전이되는 공간이다.
     3. 현관은 퍼블릭 스페이스의 중심으로 로비, 라운지와 분리하지 않고 통합시킨다.
     4. 주식당은 숙박객 및 외래객을 대상으로 하여, 외래객이 편리하게 이용할 수 있도록 출입구를 별도로 설치하는 것이 좋다.

     정답 : []
     정답률 : 83%
     <문제 해설>
4.    주식당은 숙박객 및 외래객을 대상으로 하여, 외래객이 편리하게 이용할 수 있도록 출입구를 별도로 설치하는 것이 좋다
[해설작성자 : comcbt.com 이용자]

1. 물품동선과 고객동선은 분리
3. 현관은 호텔의 외부 접객장소로 로비 및 라운지와는 분리한다
[해설작성자 : 고찬]


2. 수평동선과 수직동선으로 전이되는 공간은 로비이다.
3. 로비는 퍼블릭 스페이스의 중심으로 휴식공간등 다목정공간으로사용
[해설작성자 : 국립창원대]

16. 건축공간의 치수계획에서 “압박감을 느끼지 않을 만큼의 천장 높이 결정”은 다음 중 어디에 해당하는가?
     1. 물리적 스케일
     2. 생리적 스케일
     3. 심리적 스케일
     4. 입면적 스케일

     정답 : []
     정답률 : 93%
     <문제 해설>
물리적 스케일 : 출입구의 크기가 인간이나 물체의 물리적 크기에 의해 결정됨
생리적 스케일 : 실내의 창문크기가 필요환기량으로 결정됨
심리적 스케일 : 압박감을 느끼지 않을 정도에서 천장높이가 결정됨
[해설작성자 : 기로짜]

17. 공장건축의 레이아웃(layout)에 관한 설명으로 옳지 않은 것은?
     1. 제품 중심의 레이아웃은 대량생산에 유리하여 생산성이 높다.
     2. 레이아웃은 장래 공장 규모의 변화에 대응한 융통성이 있어야 한다.
     3. 공정중심의 레이아웃은 다품종 소량생산이나 주문생산에 적합한 형식이다.
     4. 고정식 레이아웃은 기능이 동일하거나 유사한 공정, 기계를 접합하여 배치하는 방식이다.

     정답 : []
     정답률 : 82%
     <문제 해설>
고정식레이아웃:재료가 작업장서에 고정된것,사람이나 기계가 이동하여 작업하는 방식임
4번은 공정중심 레이아웃 이에용
[해설작성자 : 고찬]

18. 2층 단독주택에서 1층에 부모가, 2층에 자녀들이 거주할 경우 가족의 단란에 가장 영향을 줄 수 있는 요소는?
     1. 계단의 배치
     2. 침실의 방위
     3. 건물의 층고
     4. 식당과 부엌의 연결방법

     정답 : []
     정답률 : 85%
     <문제 해설>
접근성, 원활한 동선계획이 필요하다. 따라서, 계단배치가 정답.
[해설작성자 : Leeeeeeee]

19. 학교운영방식 중 플래툰 형에 관한 설명으로 옳은 것은?
     1. 교실수는 학급수와 동일하다.
     2. 초등학교 저학년에 가장 적합한 형식이다.
     3. 교과 담임제와 학급 담임제를 병용할 수 있는 형식이다.
     4. 모든 교실이 특정한 교과 수업을 위해 만들어진 형식으로, 일반교실은 없다.

     정답 : []
     정답률 : 76%
     <문제 해설>
플래툰형
전학급을 2분단으로 하고, 한분단이 일반교실을 사용할 때 다른분단은 특별 교실을 사용하는 방식.
[해설작성자 : comcbt.com 이용자]

1. 종합교실형(U형)
2. 종합교실형(U형)
4. 교과교실형(V형)
[해설작성자 : 엔시리위시]

20. 사무소 건축의 기준층 평면형태 결정요소와 가장 거리가 먼 것은?
     1. 방화구획상 면적
     2. 구조상 스팬의 한도
     3. 대피상 최소 피난거리
     4. 덕트, 배선, 배관 등 설비 시스템상의 한계

     정답 : []
     정답률 : 57%
     <문제 해설>
1. 구조상 스팬의 한도
2. 동선상의 거리
3. 각종 설비시스템 ( 덕트,배선,배관등 )
4. 방화구획상 면적
5. 자연광에 의한 조명한계
6. 대피상 최대 피난거리
[해설작성자 : yoonmmmmm]

2과목 : 건축시공


21. 공사현장의 가설건축물에 관한 설명으로 옳지 않은 것은?
     1. 하도급자 사무실은 후속공정에 지장이 없는 현장사무실과 가까운 곳에 둔다.
     2. 시멘트 창고는 통풍이 되지 않도록 출입구 이외는 개구부 설치를 금하고, 벽, 천장, 바닥에는 방수, 방습처리한다.
     3. 변전소는 안전상 현장사무실에서 가능한 멀리 위치한다.
     4. 인화성 재료저장소는 벽, 지붕, 천장의 재료를 방화구조 또는 불연구조로 하고 소화설비를 갖춘다.

     정답 : []
     정답률 : 84%
     <문제 해설>
변전소는 비상시 대비 사무실이랑 가깝게 배치한다
[해설작성자 : 기로짜]

22. 페인트칠의 경우 초벌과 재벌 등을 도장할 때마다 색을 약간씩 다르게 하는 주된 이유는?
     1. 희망하는 색을 얻기 위하여
     2. 색이 진하게 되는 것을 방지하기 위하여
     3. 착색안료를 낭비하지 않고 경제적으로 사용하기 위하여
     4. 초벌, 재벌 등 페인트칠 횟수를 구별하기 위해서

     정답 : []
     정답률 : 92%

23. 건설공사 기획부터 설계, 입찰 및 구매, 시공, 유지관리의 전 단계에 있어 업무절차의 전자화를 추구하는 종합건설정보망체계를 의미하는 것은?
     1. CALS
     2. BIM
     3. SCM
     4. B2B

     정답 : []
     정답률 : 79%
     <문제 해설>
1.CALS :    기획부터 설계 개발 구매 제조 판매 재고 유지 보수에 이르기까지 기업들이 갖고 있는 모든 정보를 표준에 맞춰 디지털화한 뒤 기업 내는 물론 기업간, 나아가 국제간에 공유하는 기업정보화 시스템이다.
2.BIM : 정보를 공유함으로써 각종 도면의 중복제작이나 전달과정의 왜곡 등에서 비롯되는 비효율을 줄일 수 있는 시스템으로 통한다.
3.SCM : 컴퓨터 네트워크를 이용하여 자동화되고 통합된 ㅣ상호교환 환경으로 변환시키는 경영전략이다.

24. 지질조사를 통한 주상도에서 나타나는 정보가 아닌 것은?
     1. N치
     2. 투수계수
     3. 토층별 두께
     4. 토층의 구성

     정답 : []
     정답률 : 82%
     <문제 해설>
주상도를 통한 주요 정보
-지반조사 지역
-조사일자 및 작성자
-boring 방법
-sampling 방법
-표준관입시험에 의한 N치
-지하수위의 위치
-토층별 구성상태 및 두께

25. 목재에 사용하는 방부재에 해당하지 않는 것은?
     1. 크레오소트 유(Creosote oil)
     2. 콜타르(Coal tar)
     3. 카세인(Casein)
     4. P.C.P(Penta Chloro Phenol)

     정답 : []
     정답률 : 50%
     <문제 해설>
카세인은 목재 접합제

[추가 해설]

유사문제로..목재 접착제가 아닌 것은을 묻는 문제가 나옵니다. 이때 답은 "폴리스티렌"입니다.

[해설작성자 : 고찬]

26. 철골부재용접 시 겹침이용, T자이용 등에 사용되는 용접으로 목두께의 방향이 모재의 면과 45° 또는 거의 45°의 각을 이루는 것은?
     1. 완전용입 맞댐용접
     2. 모살용접
     3. 부분용입 맞댐용접
     4. 다층용접

     정답 : []
     정답률 : 88%

27. 실비정산보수가산계약 제도의 특징이 아닌 것은?
     1. 설계와 시공의 중첩이 가능한 단계별 시공이 가능하다.
     2. 복잡한 변경이 예상되거나 긴급을 요하는 공사에 적합하다.
     3. 계약체결시 공사비용의 최대값을 정하는 최대보증한도 실비정산보수가산계약이 일반적으로 사용된다.
     4. 공사금액을 구성하는 물량 또는 단위공사 부분에 대한 단가만을 확정하고 공사 완료시 실시수량의 확정에 따라 정산하는 방식이다.

     정답 : []
     정답률 : 68%
     <문제 해설>
4번은 단가도급방식 입니다.
도급방식은 1.도급금액결정방식 2.공사실시에의한방식 이 있는데요.
1.도급금액결정방식에는 가.정액 나.단가. 다.실비 방식이 있어용
[해설작성자 : 고찬]

시험문제 키워드..
실비방식:중첩,긴급,비용최대산정
단가방식:간단한공사적합,착공빠름,단가
[해설작성자 : 고찬]

28. 특수콘크리트 공사에 관한 설명으로 옳지 않은 것은?
     1. 하루의 평균기온이 4°C 이하가 예상되는 조건일 때 한중콘크리트로 시공한다.
     2. 하루의 평균기온이 25°C를 초과하는 것이 예상되는 경우 서중콘크리트로 시공한다.
     3. 매스콘크리트로 다루어야 할 하단이 구속된 벽조의 경우 두께 0.8m 이상으로 한다.
     4. 섬유보강 콘크리트의 시공은 품질이 얻어지도록 재료, 배합, 비비기 설비 등에 대하여 충분히 고려한다.

     정답 : []
     정답률 : 63%
     <문제 해설>
50CM이상

[추가 해설]

매스콘크리트 험 키워드
1.수하열 낮은것 사용 2.초가강도약함 3.붓기속도 작!당!히! 3.평판ㄱ 조0.8 벽조구조0.5(m)
[해설작성자 : 고찬]

29. 건설클레임과 분쟁에 관한 설명으로 옳지 않은 것은?
     1. 클레임의 예방대책으로는 프로젝트의 모든 단계에서 시공의 기술과 경험을 이용한 시공성 검토가 있다.
     2. 작업범위 관련 클레임은 주로 예상치 못했던 지하구조물의 출현이나 지반 형태로 인해 시공자가 작업 수행을 위해 입찰 시 책정된 예정 가격을 초과 부담해야 할 경우에 발생한다.
     3. 분쟁은 발주자와 계약자의 상호 이견 발생 시 조정, 중재, 소송의 개념으로 진행되는 것이다.
     4. 클레임의 접근절차는 사전평가단계, 근거자료확보단계, 자료분석단계, 문서작성단계, 청구금액산출단계, 문서제출단계 등으로 진행된다.

     정답 : []
     정답률 : 71%
     <문제 해설>
계약도서와 현장조건상이에 따른 클레임을 설명하고 있으며, 공사현장의 상태가 설계서상의 공사현장 여건으로 예측되었던 것보다 대폭으로 다른 것, 또는 설계서와 현장상태와의 불일치로 인해 발생하는 클레임이다.
[해설작성자 : 지구오]

작업범위클래임:계약이외의 작업을 요구, 계약조간 업무중 명확히 정의되 있지 않아 내역서에 포함 시킬수 앖었던 업무를 수행할때 제기하는 것
[해설작성자 : 고찬]

건설 클레임의 원인으로는 1. 공사지연 2. 공기촉진 3. 공사범위 4, 현장조건 상이가 있음.
선지 2번은 현장조건 상이에 의한 클레임발생임.
[해설작성자 : 세동누님]

30. 블록조 벽체에 와이어메시를 가로줄눈에 묻어 쌓기도 하는데 이에 관한 설명 중 옳지 않은 것은?
     1. 전단작용에 대한 보강이다.
     2. 수직하중을 분산시키는데 유리하다.
     3. 블록과 모르타르의 부착성능의 증진을 위한 것이다.
     4. 교차부의 균열을 방지하는데 유리하다.

     정답 : []
     정답률 : 76%
     <문제 해설>
와이어베시 사용 목적
- 수직하중의 분산, 횡력에 대한 전단 보강
- 모서리 및 교차부 벽체의 보강

31. 콘크리트의 크리프에 관한 설명으로 옳지 않은 것은?
     1. 습도가 높을수록 크리프는 크다.
     2. 물-시멘트 비가 클수록 크리프는 크다.
     3. 콘크리트의 배합과 골재의 종류는 크리프에 영향을 끼친다.
     4. 하중이 제거되면 크리프 변형은 일부 회복된다.

     정답 : []
     정답률 : 70%
     <문제 해설>
크리프는 하중의 증가 없이 일정한 하중이 장기간 작용하여 변형이 점차로 증가하는 현상을 말하며 다음과 같은 경우에 커진다.
-재령이 짧을수록,
-응력이 클수록, - 부재치수가 작을수록 -대기의 습도가 작을수록 - 대기의 온도가 높을수록    크리프는 커진다
[해설작성자 : 동사니 ]

32. 건축물에 사용되는 금속제품과 그 용도가 바르게 연결되지 않은 것은?
     1. 피벗 : 문의 하부 발이 닿는 부분에 대하여 문짝이 손상되는 것을 방지하는 철물
     2. 코너비드:벽, 기둥 등의 모서리에 대는 보호용 철물
     3. 논슬립:계단에 사용하는 미끄럼 방지 철물
     4. 조이너 : 천장, 벽 등의 이음새 감추기용 철물

     정답 : []
     정답률 : 71%
     <문제 해설>
피벗:회전시키기 위한 철물
[해설작성자 : 고찬]

피봇힌지 : 문짝 손상 보호
[해설작성자 : 트럼프 미쳤다]

피봇힌지 = 피벗 = 문 회전용 철물
문짱 손상 방지 = 도어스톱, 도어홀더
[해설작성자 : comcbt.com 이용자]

33. 건축물 외벽공사 중 커튼월 공사의 특징으로 옳지 않은 것은?
     1. 외벽의 경량화
     2. 공업화 제품에 따른 품질 제고
     3. 가설비계의 증가
     4. 공기단축

     정답 : []
     정답률 : 87%
     <문제 해설>
커튼월공사는 양중기를 사용 하여 공사하므로 비계설치 면적이 줄어 든다.

34. 콘크리트에 사용되는 혼화재 중 플라이애시의 사용에 따른 이점으로 볼 수 없는 것은?
     1. 유동성의 개선
     2. 초기강도의 증진
     3. 수화열의 감소
     4. 수밀성의 향상

     정답 : []
     정답률 : 79%
     <문제 해설>
초기강도는 오히려 감소 하고 장기 강도가 증가 한다.

35. 방수 공사에서 안방수와 바깥방수를 비교한 설명으로 옳지 않은 것은?
     1. 바탕 만들기에서 안방수는 따로 만들 필요가 없으나 바깥방수는 따로 만들어야한다.
     2. 경제성(공사비)에서는 안방수는 비교적 저렴한 편인 방면 바깥방수는 고가인 편이다.
     3. 공사시기에서 안방수는 본공사에 선행해야 하나 바깥방수는 자유로이 선택할 수 있다.
     4. 안방수는 바깥방수에 비해 시공이 간편하다.

     정답 : []
     정답률 : 70%
     <문제 해설>
비교 항목                            안방수                                        바깥방수

바탕만들기                따로만들 필요가 없음            따로 만들어야함
공사 용이성             간단하다.                                 상당한 어려움이 있다.
본공사 추진             자유롭다.                                 본공사에 선행 된다.
경제성                        비교적 저가이다.                    비교적 고가이다.
보호누름                    필요하다.                                 없어도 무방하다.

[해설작성자 :        ]

36. 벽돌벽에서 장식적으로 구멍을 내어 쌓는 벽돌쌓기 방식은?
     1. 불식쌓기
     2. 영롱쌓기
     3. 무늬쌓기
     4. 층단떼어쌓기

     정답 : []
     정답률 : 75%
     <문제 해설>
영롱쌓기: 벽돌벽에 삼각형, 사각형, 십잫형 등의 구멍을 벽면 중간에 규칙적으로 만들어 쌓는 방식
무늬쌓기: 줄눈에 효과를 주기 위한 변화, 의장적 효과로서 벽돌면에 무늴르 넣어 쌓는것
엇모쌓기: 벽면에 음영효과를 낼 수 있고, 변화감을 줄 수 있는 45도 각도로 모서리면이 나오도록 쌓는 방식
공간쌓기: 바깥벽의 방습, 방한, 방서, 방염 등을 위하여 벽 중간에 공간을 두고 쌓는 방식
[해설작성자 : 이현호]

37. 시멘트 액체방수에 관한 설명으로 옳은 것은?
     1. 모체 표면에 시멘트 방수제를 도포하고 방수모르타르를 덧발라 방수층을 형성하는 공법이다.
     2. 구조체 균열에 대한 저항성이 매우 우수하다.
     3. 시공은 바탕처리→ 혼합→ 바르기→ 지수→ 마무리 순으로 진행된다.
     4. 시공 시 방수층의 부착력을 위하여 방수할 콘크리트 바탕면은 충분히 건조시키는 것이 좋다.

     정답 : []
     정답률 : 49%
     <문제 해설>
2. 방수층 자체의 수축성으로 인해 균열이 발생하기 때문에 외기의 영향을 많이 받는 옥상 등의 부위에는 적당하지 않지만 지하실 방수나 소규모의 차양등에는 많이 사용하며 결함 발생 시 보수가 용이한 편이다.
3. 방수액 침투 -> 시멘트풀-> 방수액 침투-> 시멘트모르타르 위와 같은 공정을 2~3회 정도 반복한 후 표면을 보호장수모르타르로 마무리 한다.
4. 시멘트 방수층은 아스팔트 방수층에 비해 신축성이 거의 없어 모체에 균열이 발생하면 방수가 되지 않으므로 바탕면을 깨끗하게 정리하고 물청소한다.
[해설작성자 : comcbt.com 이용자]

시멘트 액체방수 시험 키워드만..
1. 새벽/저녁시간 능률 up 2.작업전 물축임 충분히(아스팔트방수는 물축임 안됨) 3.표면에 방수제바르고 이후 방수몰탈 덧바름
[해설작성자 : 고찬]

+시멘트 모르타르는 부착력 증진을 위해 완전건조가 아닌 고름 모르타르의 반건조 상태에서 표면처리 후
방수층 시공합니다.
[해설작성자 : 아키]

38. 고층건축물 공사의 반복작업에서 각 작업조의 생산성을 기울기로 하는 직선으로 각 반복작업의 진행을 표시하여 전체공사를 도식화 하는 기법은?
     1. CPM
     2. PERT
     3. PDM
     4. LOB

     정답 : []
     정답률 : 79%
     <문제 해설>
시험 키워드만 정리
1.LOB : 반복작업
2.PERT : 공기맞춤,더미,신규무겅함자가능,화살선
3.CPM : 최소비용,유경험자,원형
4.PDM(아직 문제에 안나온것 같음) : 전반적으로 다하는것
[해설작성자 : 고찬]

LOB : LINE OF BALANCE

39. 토공사에 적용되는 체적환산계수 L의 정의로 옳은 것은?
     1. 흐트러진 상태의 체적(m2), 자연상태의 체적(m2)
     2. 흐트러진 상태의 체적(m2), 다져진 상태의 체적(m2)
     3. 다져진 상태의 체적(m2), 자연상태의 체적(m2)
     4. 자연상태의 체적(m2), 다져진 상태의 체적(m2)

     정답 : []
     정답률 : 80%
     <문제 해설>
체적환산계수의 정의를 구해보흐자
[흐] 흐트러진 상태의 제적
[자] 연상태의 체적
[해설작성자 : 역시트레이너십니다 형님]

다져진 =    압축 = Compression
흐트러진 = 퍼진 = Loose.
[해설작성자 : 인국공간다.]

40. 건축재료의 수량 산출시 적용하는 함증률이 옳지 않은 것은?
     1. 유리 : 1%
     2. 단열재 : 5%
     3. 붉은벽돌 : 3%
     4. 이형철근 : 3%

     정답 : []
     정답률 : 83%
     <문제 해설>
단열재 10%
[해설작성자 : 동사니 ]

[추가 해설]

할증율 출제 키워드 정리
3% 이형철근
5% 볼트
7% 대형형강
10% 단열재
[해설작성자 : 고찬]

3과목 : 건축구조


41. 다음 그림과 같은 단순보에 변등분포 하중이 작용할 때 전단력이 ‘0’이 되는 점에 대하여 A점으로부터의 거리를 구하면?

    

     1.
     2.
     3.
     4.

     정답 : []
     정답률 : 75%
     <문제 해설>
ΣMb= 0
Va*L-L*x*1/2*L/3=0    Va= wL/3
전단력이 0인 지점의 위치를 x에서 하중이 y이면,
L:w=x:y 이므로 y= xw/L 이다.
이제 전단력이 0이 되는 거리 x를 구한다.
ΣV=0; wL/6 - 1/2 * x * xw/L = 0
x^2 = L^2/3 이므로
x= L/(root3) 이 된다.
[해설작성자 : 건기슈윳]

42. 그림과 같은 보에서 A점에서 200kN m의 모멘트가 작용하였을 때 B점이 지지하는 모멘트 및 수직반력은?

    

     1. MA= 200kN · m, VB= 100kN
     2. MBA 200kN · m, VB = 50 kN
     3. MBA=100kN · m, VB = 100kN
     4. MBA=100kN · m, VB = 50kN

     정답 : []
     정답률 : 53%
     <문제 해설>
Ma가 200KN*M이므로 Mb는 Ma의 1/2인 100KN*M이다.
그러면 총 +방향으로 300Kn*M가 작용하고 있는데 그렇기 위해서 반대 방향으로 모멘트가 작용하여야한다.
Va는 - Vb는 + 쪽으로 작용해야지 된다. 휨모멘트 300/거리3M 를 하게되면 양쪽의 수직 반력이 나오게 되므로
Vb는 100Kn*M 가 작용하고 있다
[해설작성자 : 제발 제발 붙어랏]

43. 다음 구조물의 부정정 차수의 합은?

    

     1. 9
     2. 10
     3. 11
     4. 12

     정답 : []
     정답률 : 65%
     <문제 해설>
부정정 차수 = 반력수 + 강절점 수 + 부재수 -(2*절점 수)
왼쪽 = 4+4+2-2*5 = 4
오른쪽 = 6+5+10-2*8 = 5
[해설작성자 : 콩크리트]

아래와 같은 오류 신고가 있었습니다.
여러분들의 많은 의견 부탁 드립니다.
추후 여러분들의 의견을 반영하여 정답을 수정하도록 하겠습니다.
참고로 정답 변경은 오류 신고 5회 이상일 경우 수정합니다.

[오류 신고 내용]
부정정 차수 = 반력수 + 강절점 수 + 부재수(변) -(2*절점 수(꼭지점))
왼 : 4+2+4-(2*5)=0
오 : 6+10+9-(2*8)=9
[해설작성자 : 이게 맞음]

[추가 오류 신고]
왼쪽 4-3 + -1 = 0(정정)
오른쪽 6-3 + 3+3 =9(9차부정정)
총 9차 부정정
(한솔아카데미 건축구조)
[해설작성자 : 건축구조]

44. 부등침하의 원인과 거리가 먼 것은?
     1. 건물이 경사지반에 근접되어 있을 경우
     2. 건물이 이질지반에 걸쳐 있을 경우
     3. 이질의 기초구조를 적용했을 경우
     4. 건물의 강도가 불균등할 경우

     정답 : []
     정답률 : 73%
     <문제 해설>
연약층, 경사지반, 이질지층 , 낭떠러지, 증축, 지하수위변경, 지하 구멍, 메운땅흙막이, 이질 지정, 일부지정

[추가 해설]

-부동침하는 건물의 강도가 뷸균등한 것과는 무관하다.
[해설작성자 : 동사니 ]

45. 그림과 같은 보에서 C점의 처짐은? (단, I는 전 경간에 걸쳐 일정하다.)

    

     1.
     2.
     3.
     4.

     정답 : []
     정답률 : 63%
     <문제 해설>
처짐각 = 면적
처짐 = 면적 x 중심거리 !
이 정도 개념이면 쉽게 풀수 있습니당.

C에 하중P값이니 A까지는 P * L/2 임.
삼각형 그려보면 (BMD) A변에 PL/2라는 거 쉽게 알 수 있음. 쉽게 1/2라고 표기하겠습니다.

그렇다면 높이 1/2 * 밑변 1/2 (L/2를 1/2로 그냥 표기하겠습니다.)
넓이는 1/2 * 1/2 * 1/2 = 1/8
여기까지 이해하기 힘드시다면 직접 그려보고 면적 구해보세요!
처짐각이었으면 정답이었겠지만 처짐이니깐 중심거리를 표시한 뒤 C점까지 거리를 구하세요.
1/8 * (2/3=중심거리) * 1/2(L/2 A~C까지 거리) = 1/24
뚜둥!!! 대한민국 건축직 파이팅!
[해설작성자 : 인국공간다.]

캔틸레버보 하중이 끝단 B점(길이가 L일 때)에서 발생할 때, 최대처짐=PL^3/3EI
따라서, 길이가 2/L일 때 P(2/L)^3/3EI=PL^3/24EI
[해설작성자 : ㅇㅈㅇ]

46. 1방향 철근콘크리트 슬래브에서 철근의 설계기준항복강도가 500MPa인 경우 콘크리트 전체 단면적에 대한 수축·온도 철근비는 최소 얼마 이상이어야 하는가? (단, KCI2012기준, 이형철근 사용)
     1. 0.0015
     2. 0.0016
     3. 0.0018
     4. 0.0020

     정답 : []
     정답률 : 53%
     <문제 해설>
수축, 온도 철근 철근비

fy = 400 이하
철근비 = 0.002

fy = 400 초과
철근비 0.002 * 400/fy → 0.0016
[해설작성자 : 현팔]

47. 그림과 같은 부정정 라멘에서 A점의 MB는?(오류 신고가 접수된 문제입니다. 반드시 정답과 해설을 확인하시기 바랍니다.)

    

     1. 0kN·m
     2. 20kN·m
     3. 40kN·m
     4. 60kN·m

     정답 : []
     정답률 : 60%
     <문제 해설>
B점 모멘트(양쪽 고정단) = wL^2/12 =10*12^2/12 =120kN.m
분배율 1/(1+2) =1/3
Mba=120/3 = 40
Mav= 40/2 =20kN.m
[해설작성자 : 롱롱이]

아래와 같은 오류 신고가 있었습니다.
여러분들의 많은 의견 부탁 드립니다.
추후 여러분들의 의견을 반영하여 정답을 수정하도록 하겠습니다.
참고로 정답 변경은 오류 신고 5회 이상일 경우 수정합니다.

[오류 신고 내용]
문제 지문 Mb 아니라 Mab 구하는 겁니다.
[해설작성자 : 찐해설]

[추가 오류 신고]
Mb 아닌 Mab 구하는 것이 맞음.
[해설작성자 : 우송건공화이팅]

[관리자 입니다.
다른 문제집 확인 가능한분 계시면 확인 부탁 드립니다.
신고시 출판사명까지 기제 부탁 드립니다.]

48. 고력볼트 F10T(M20) 1면전단 일 때 볼트 한 개당 설계전단강도(øRu)를 구하면? (단, 고력볼트의 Fu = 1000MPa, ø=0.75, Fnu =0.5Fu임)
     1. 117.8kN
     2. 94.2kN
     3. 58.8kN
     4. 47.1kN

     정답 : []
     정답률 : 56%
     <문제 해설>
설계전단강도
파이*0.5*fu*볼트 단면적*갯수

[추가 해설]
설계전단강도
ΦRu= Φ*0.5Fu*(볼트의 면적)
        = 0.75*0.5*1000*π*20/4
        =117750N    (1KN=1000N)
        =117.75KN
[해설작성자 : 붙어버리러 가자~~]

0.75*0.5*1000*π*20^2/4
                                    ----
지름제곱이 빠짐
원형 단면적
반지름r 파이*반지름r^2
지름D 파이*지름D^2/4
[해설작성자 : 기리보이]

49. 강구조에서 규정된 별도의 설계하중이 없는 경우 접합부의 최소 설계강도 기준은? (단, 연결재, 새그로드 또는 띠장은 제외)
     1. 30kN 이상
     2. 35kN 이상
     3. 40kN 이상
     4. 45kN 이상

     정답 : []
     정답률 : 48%
     <문제 해설>
모든 접합부는 존재응력과 상관없이 반드시 45KN 이상을 지하도록 설계되어야 한다.
[해설작성자 : 동사니 ]

50. 그림과 같은 강재가 전단력을 받아 점선과 같이 변형되었을 때 이강재의 전단변형률은?

    

     1. 0.00006 rad
     2. 0.0001 rad
     3. 0.00125 rad
     4. 0.00075 rad

     정답 : []
     정답률 : 61%
     <문제 해설>
0.03/30=0.001
[해설작성자 : 이현호]

변형 길이/원래 길이
[해설작성자 : ㅇ]

0.03÷300=0.0001 (cm를mm로 환산)
[해설작성자 : 용문]

51. 강구조 필릿용접에 관한 설명으로 옳지 않은 것은?
     1. 필릿용접의 유효면적은 유효길이에 유효목두께를 곱한 것으로 한다.
     2. 필릿용접의 유효길이는 필릿용접의 총길이에서 2배의 필릿사이즈를 공제한 값으로 하여야 한다.
     3. 필릿용접의 유효목두께는 용접루트로부터 용접표면까지의 최단거리로 한다. 단, 이음면이 직각인 경우에는 필릿사이즈의 √2배로 한다.
     4. 구멍필릿과 슬롯필릿용접의 유효길이는 목두께의 중심을 잇는 용접중심선의 길이로 한다.

     정답 : []
     정답률 : 70%
     <문제 해설>
3. 필릿싸이즈의 0.7배
[해설작성자 : 고찬]

52. f=400MPa 이형철근을 사용한 경우 필요한 철근 인장정착길이가 1000mm이었다. 철근의 강도를 fy=500MPa로 변경하고, 소요철근보다 1.25배 많게 철근을 배근하였을 경우 변경된 철근의 인장정착길이는 얼마인가?
     1. 750mm
     2. 1000mm
     3. 1200mm
     4. 1500mm

     정답 : []
     정답률 : 57%
     <문제 해설>
0.6*db*fy/루트(fck) = 인장이형철근 기본정착길이
0.6*db*400/루트(fck) = 1,000mm
=> db/루트(fck) = 25/6

fy가 500MPa일 때,
0.6*25/6*500 = 1,250mm
여기서 1.25배 많게 배근하였으므로 /1.25 해서 비율을 맞춰준다.
1,250/1.25=1,000mm
[해설작성자 : 비전공자들 화이팅]

53. 강도설계법에서 고정하중 40kN, 활하중 30kN이 작용할 때 계수하중은 얼마인가?
     1. 135kN
     2. 124kN
     3. 116kN
     4. 96kN

     정답 : []
     정답률 : 67%
     <문제 해설>
1.2*40 + 1.6*30 = 96kN
[해설작성자 : 건축6일컷]

54. 철근콘크리트 단근보를 강도설계법으로 설계시 콘크리트의 전압축력으로 옳은 것은? (단, fk=24MPa, 보의 폭 300mm, 응력블록의 깊이 110mm)(오류 신고가 접수된 문제입니다. 반드시 정답과 해설을 확인하시기 바랍니다.)
     1. 750.6kN
     2. 724.4kN
     3. 673.2kN
     4. 650.8kN

     정답 : []
     정답률 : 47%
     <문제 해설>
콘크리트 전압축력=0.85×fck×폭×깊이
[해설작성자 : 고찬]

콘크리트의 전압축력= n * 0.85 * Fck * a * b (a: 응력 블록의 깊이, b: 보의 폭)
                                        
                                         n * 0.85 * Fck * a * b = Fy * As 라는 공식도 있어요~
[해설작성자 : 건축가 지망생]

55. 건축구조기준에 따른 우리나라 지진구역 및 이에 따른 지진구역계수 값이 옳게 연결된 것은?
     1. 지진구역 I : 0.11g, 지진구역 II : 0.07g
     2. 지진구역 I : 0.17g, 지진구역 II : 0.11g
     3. 지진구역 I : 0.11g, 지진구역 II : 0.17g
     4. 지진구역 I : 0.14g, 지진구역 II : 0.22g

     정답 : []
     정답률 : 63%
     <문제 해설>
관련 법규 개정
지진구역I : 0.11g
지진구역II: 0.07g
[해설작성자 : 전기기사.소방기사.산업안전기사 가진자]

56. 건축구조별 특징에 관한 설명 중 옳지 않은 것은?
     1. 가구식 구조는 삼각형보다 사각형으로 조립하면 안정한 구조체를 이룰수 있다.
     2. 조적식 구조는 압축력에는 강하지만 횡력에 취약하다.
     3. 조립식 구조는 부재를 공장에서 생산·가공하여 현장에서 조립하므로 공기가 짧다.
     4. 일체식 구조는 비교적 균일한 강도를 가진다.

     정답 : []
     정답률 : 75%
     <문제 해설>
가구식 구조는 절점이 핀절점이므로 삼각형으로 부재를 조립해야 안정적인 구조체를 이룰 수 있다.
[해설작성자 : 제벨다나]

57. 단근보에서 하중이 재하됨에 동시에 순간처짐이 20mm가 발생되었다. 이 하중이 5년이상 지속되는 경우 총 처짐량은 얼마인가? (단, 이고 지속하중에 의한 시간경과계수 는 2이다.)
     1. 30mm
     2. 40mm
     3. 60mm
     4. 80mm

     정답 : []
     정답률 : 52%
     <문제 해설>
장기처짐 = 탄성처짐*람다
람다 = 시간경과계수/(1+50압축철근비)        압축철근비 = 0
총 처짐 = 탐성처짐 + 장기처짐
[해설작성자 : comcbt.com 이용자]

단근보 압축철근비 = 0
[해설작성자 : 건축6일컷]

58. 그림과 같은 하중을 지지하는 단주의 단면에서 인장력을 발생시키지 않는 거리 x의 한계는?

    

     1. 40mm
     2. 60mm
     3. 80mm
     4. 100mm

     정답 : []
     정답률 : 55%
     <문제 해설>
핵단면적을 벗어나지 않아야함
따라서 x/6 과 y/6의 범위안에 있어야 함
=> 480/6 = 80mm
[해설작성자 : 이현호]

아래와 같은 오류 신고가 있었습니다.
여러분들의 많은 의견 부탁 드립니다.
추후 여러분들의 의견을 반영하여 정답을 수정하도록 하겠습니다.
참고로 정답 변경은 오류 신고 5회 이상일 경우 수정합니다.

[오류 신고 내용]
저거 아니고 -A/P + M/Z 임
[해설작성자 : 항규빈]

[오류신고 반론]
단주 및 기초에서 인장력이 발생하지 않으려면 e가 h/6보다 작거나 같아야 합니다. (e가 h/6보다 커자면 발생) 따라서 480/6 = 80이 됩니다.
[해설작성자 : comcbt.com 이용자]

59. 그림과 같은 구조에서 기둥에 압축력만 발생하게 하려면 A점에서 내민 부재길이 x의 값은?

    

     1. 1m
     2. 1.5m
     3. 2m
     4. 3m

     정답 : []
     정답률 : 58%
     <문제 해설>
우측 등분포하중은 총 6kn, 양측에 3kn씩 분담해준다 생각하고 2kn*x=3 이라는 식으로 간편하게 계산 가능하다.
[해설작성자 : 이현호]

우측 등분포하중은 집중하중 6kN에 상당함. 이걸 점A와 벽체가 각각 3kN씩 나누어 갖는다.
한편, 이 구조물의 아무 점을 선택해도 그 점에서의 모멘트는 0 이므로,
우측 등분포하중의 중점 C에 대하여, 모멘트    Mc=0 을 만족해야 한다.
즉, C점에 걸리는 ⓐ하중 P에 의한 모멘트와 ⓑA점 반력에 의한 모멘트가 상쇄되어야 하므로
2k[N]*(x+3)[m]= 3k[N]*3[m] 를 만족, x가 1.5로 도출된다.

으로 바꾸어 생각해보면 점 A와 우측
우측 등분포하중이 걸리는 보의 임의의 점 어디에서 끊어도 모멘트는 0이 나와야 합니다. 논의의 편의를 위해 우측 보의 중점을 C라고 두면 Mc=0 으로부터
2kN*(x+3m)=
[해설작성자 : JL]

좌측 모멘트와 우측 모멘트 절대값 동일해야함
따라서, P*X= wL^2/12
2*x=1*6^2/12
x=1.5m
[해설작성자 : 롱롱이]

60. 다음 그림과 같은 보 단면에서 정착되는 철근의 수평 순간격을 구하면?

    

     1. 60.7mm
     2. 63.7mm
     3. 66.7mm
     4. 68.7mm

     정답 : []
     정답률 : 42%
     <문제 해설>
보 순간격=(1/그림상 가로로배치된 철근수-1)×(보폭-2(피복두께+늑근두께)-인장철근수×인장철근두께)
[해설작성자 : 고찬]

(피복두께x2)+(철근지름x철근개수)+(스트럽지름x2)+(순간격x3)=보폭
(40x2)+(22x4)+(13x2)+((순간격x3)=400
순간격x3 = 206
206/3 = 68.7
[해설작성자 : 뚜뚜]

4과목 : 건축설비


61. 다음의 스프링클러설비의 화재안전기준 내용 중 ( )안에 알맞은 것은?

    

     1. 80l/min
     2. 90l/min
     3. 110l/min
     4. 130l/min

     정답 : []
     정답률 : 66%
     <문제 해설>
기출문제 답 키워드..
1.스프링쿨러:방수량80, 압력0.1
2.옥내서화전:방수량130, 입력.0.17,특정소방대상물25m
[해설작성자 : 고찬]

62. 3상 대칭 성형(Y)결선에서 상전압이 220[V]일 때 선간전압은 얼마인가?
     1. 110[V]
     2. 220[V]
     3. 380[V]
     4. 440[V]

     정답 : []
     정답률 : 55%
     <문제 해설>
상전압과 선간전압의 관계
Vl = 루트3 Vp

63. 공기조화기 설계에서 사용되는 바이패스 팩터(bypass factor)의 의미로 옳은 것은?
     1. 급기팬을 통과하는 공기 중 건공기의 비율
     2. 공기조화기의 도입외기가 환기(return air)의 비율
     3. 실내로부터의 환기(return air)중 공기조화기로 도입되는 공기의 비율
     4. 냉온수코일의 통과 공기 중 냉온수코일과 접촉하지 않고 통과하는 공기의 비율

     정답 : []
     정답률 : 66%
     <문제 해설>
바이패스 는 고속도로 하이패스
접촉하지않고 통과
[해설작성자 : 망국수]

64. 다음과 같은 조건에 있는 실의 틈새바람에 의한 현열 부하량은?

    

     1. 986W
     2. 1124W
     3. 1347W
     4. 1542W

     정답 : []
     정답률 : 74%
     <문제 해설>
환기량
Q = n * V = (0.5)*(400) = 200m^3/h
단위환산계수 0.337W * h/m^3 * k
현열
Qsh = 0.337 * Q(to-ti) = 0.337(200)(20-0) = 1348

[추가 해설]
비전공자가 처음접하기엔 공식이 어려워서. 공식을 쉽게풀어봅니다
헌열부하량=체적×환기수×실내외온도차이×공기밀도×공기비열×1000÷3600
[해설작성자 : 고찬]

헌열부하량 = 0.337*Q*ΔT         [Q:환기량(m^3/h), n:환기 횟수, V:실의 체적, ΔT:온도차)
                     = 0.337*n*V*ΔT
                     = 0.337*0.5*400*(20-0)
                     = 1348W
[해설작성자 : 건축6일컷]

65. 인터폰설비의 통화망 구성 방식에 속하지 않는 것은?
     1. 모자식
     2. 상호식
     3. 복합식
     4. 프레스토크식

     정답 : []
     정답률 : 63%
     <문제 해설>
모자식 : 모기한개에 자기여러개 결합
상호식 : 여러기계가 임의로 통화가능
복합식 : 모가끼리 모자끼리 통화 가능
[해설작성자 : 고찬]

66. 공기조화방식 중 전공기방식에 속하는 것은?
     1. 패키지 방식
     2. 이중덕트 방식
     3. 유인유닛 방식
     4. 팬코일유닛 방식

     정답 : []
     정답률 : 69%
     <문제 해설>
전공기 방식: 단일덕트 방식, 2중덕트 방식, 멀티존 유닛방식, 덕트병용패키지 방식, 각층 유닛 방식, 멀티존유닛 방식, 덕트병용패키지 방식, 각층유닛방식
전수 방식: 팬코일유닛 방식
공기 - 수 방식: 유인유닛 방식, 덕트병용 팬코일 유닛 방식, 덕트 병용 복사 냉난방 방식.

67. 압력탱크 급수방식에 관한 설명으로 옳지 않은 것은?
     1. 정전시 급수가 곤란하다.
     2. 급수 압력을 일정하게 유지할 수 있다.
     3. 단수 시 저수조의 물을 사용 할 수 있다.
     4. 탱크를 높은 곳에 설치하지 않아도 된다.

     정답 : []
     정답률 : 60%
     <문제 해설>
압력탱크 급수방식은 건물의 높이에 따라 압력이 다르기 때문에 일정하지가 않음.

68. 3상 유도전동기의 속도제어 방법으로 옳지 않은 것은?
     1. 인버터를 사용하여 주파수를 변화시킨다.
     2. 2선의 접속을 바꿔 회전자계의 방향이 반대로 되도록 한다.
     3. 회전자에 접속되어 있는 저항을 변화시켜 비례추이의 원리로 제어한다.
     4. 독립된 2조의 극수가 서로 다른 고정자 권선을 감아 놓고 필요에 따라 극수를 선택하여 극수를 변화시킨다.

     정답 : []
     정답률 : 53%
     <문제 해설>
주파수 변환에 의한 속도 제어
1차 전압을 제어하여 속도제어
극수 변환: 고정자 권선의 접속을 전환하여 속도 제어
[해설작성자 : comcbt.com 이용자]

69. 건구온도 30°C, 상대습도 60%인 공기를 냉수 코일에 통과시켰을 때 공기의 상태변화로 옳은 것은? (단, 코일 입구 수온 5°C, 코일 출구수온 10°C)
     1. 건구온도는 낮아지고 절대습도는 높아진다.
     2. 건구온도는 높아지고 절대습도는 낮아진다.
     3. 건구온도는 높아지고 상대습도는 높아진다.
     4. 건구온도는 낮아지고 상대습도는 높아진다.

     정답 : []
     정답률 : 79%
     <문제 해설>
냉각시 건구온도 낮아지고 상대습도는 포화수증량 증가로 90 %정도 높아진다
[해설작성자 : 파인이]

냉각/가열 시 절대습도는 절대 변화 없음.
[해설작성자 : 절대합격]

70. 간접가열식 급탕방식에 관한 설명으로 옳지 않은 것은?
     1. 저압보일러를 써도 되는 경우가 많다.
     2. 직접가열식에 비해 소규모 급탕설비에 적합하다.
     3. 급탕용 보일러는 난방용 보일러와 겸용할 수 있다.
     4. 직접가열식에 비해 보일러 내면에 스케일이 발생할 염려가 적다.

     정답 : []
     정답률 : 73%
     <문제 해설>
구분                                     직접가열식                                            간접가열식
가열장소                             온수보일러                                            저탕조
보일러                                 급탕용 보일러, 난방용                     난방용 보일러로 급탕까지 가능
                                             보일러 각각 설치                                
보일러 내의 스케일         많다                                                        거의 없다
압력                                     고압                                                        저압
규모                                     중소규모 건물                                     대규모 건물
저탕조 내 가열코일         불필요                                                    필요
열효율                                 유리                                                        불리

[추가 해설]

간접가열식은 대규모건물에 적용
[해설작성자 : 파인이]

71. 증기난방에 관한 설명으로 옳지 않은 것은?
     1. 계통별 용량제어가 곤란하다.
     2. 한랭지에서 동결의 우려가 적다.
     3. 예열시간이 온수난방에 비하여 짧다.
     4. 부하변동에 따른 실내방열량의 제어가 용이하다.

     정답 : []
     정답률 : 80%
     <문제 해설>
. 부하변동에 따른 실 내방열량이 제어가 곤란하다
[해설작성자 : 김줘]

72. 실내열환경 지표 중 공기의 습도가 고려되지 않은 것은?
     1. 작용온도
     2. 유효온도
     3. 등온지수
     4. 신유효지수

     정답 : []
     정답률 : 42%
     <문제 해설>
1. 작용온도: 기온 기류 주벽표면온도 의 조합과 체감과의 관계
2. 유효온도: 기온 습도 기류 실내온열감각
3. 등온지수: 기온 습도 기류 주벽 표면온도
4. 신유효온도: 유효온도의 습도에 대한 과대평가를 보완
[해설작성자 : comcbt.com 이용자]

작용온도=기온,복사열,기류
등온지수=기온 습도 기류 주벽표면온도
유효온도=기온 습도 기류
[해설작성자 : 은빛매]

73. 주택의 1인 1일 오수량이 0.05m3/인·일이고 오수의 BOD 농도가 260g/m3 일 때 1인 1일당 BOD 부하량은?
     1. 5g/인·일
     2. 13g/인·일
     3. 26g/인·일
     4. 50g/인·일

     정답 : []
     정답률 : 73%
     <문제 해설>
5*26=130=13
[해설작성자 : 11]

BOD 부하량 = 오수량*농도
                     = 0.05*260
                     = 13g/인·일
[해설작성자 : 건축6일컷]

74. 조명기구를 배광에 따라 분류할 경우, 다음과 같은 특징을 갖는 것은?

    

     1. 직접조명기구
     2. 반직접조명기구
     3. 반간접조명기구
     4. 전반확산조명기구

     정답 : []
     정답률 : 69%
     <문제 해설>
직접조명은 하향광속90퍼
간접은 하향광속10퍼로 생각하면된다
[해설작성자 : comcbt.com 이용자]

                        직접조명 l 반직접조명 l 전반확산조명 l 반간접조명 l 간접조명
상향비율            0~10%            10~40%                40~60%                60~90%         90~100%
하향비율         100~90%         90~60%                60~40%                40~10%            10~0%
[해설작성자 : 우송]

75. 유체의 흐름을 한 방향으로만 흐르게 하고 반대방향으로는 흐르지 못하게 하는 밸브는?
     1.
     2. 체크밸브
     3. 게이트밸브
     4. 글로브밸브

     정답 : []
     정답률 : 71%
     <문제 해설>
콕이랑 밸브랑 헷갈려서 찾아본 내용입니다.

콕 : 개폐 기능 ( 신속하게 개폐하는 기능이 필요한 곳에 사용)
밸브 : 개폐 기능 + 유량조절 기능까지 필요한 곳에 사용 (유량을 정교하게 조절가능하나, 완전개방 ~ 완전폐쇄까지 걸리는 시간은 상대적으로 긺!)

즉, 콕은 유로를 급속히 개폐하는 장치라는 .(`점`이라는 걸 표현함)
[해설작성자 : 인국공간다.]

76. 펌프에서 발생하는 공동현상(Cavitation)의 방지 대책으로 가장 알맞은 것은?
     1. 펌프의 설치위치를 높인다.
     2. 펌프의 흡입양정을 낮춘다.
     3. 펌프의 토출양정을 높인다.
     4. 펌프의 토출구경을 확대한다.

     정답 : []
     정답률 : 60%
     <문제 해설>
흡입양정이 너무 높거나 물의 온도가 높아지면 펌프의 흡입구 측에서 물의 일부가 증발하여 기포가 된다.이 기포가 토출구쪽으로 넘어가면 갑자기 압력이 상승되므로 물속으로 다시 소멸되면서 격심한 소음과 진동이 일어나는 현상을 공동 현상이라 한다.

펌프 흡입구에서의 전압을 그 수온에서의 물의 포화수증기압보다 높게 해야 하며 펌흐는 가급적 낮은 위치에 설치하여 흡입양정을 작게 한다.

77. 엘리베이터의 안전장치 중에서 카가 최상층이나 최하층에서 정상 운행위치를 벗어나 그 이상으로 운행하는 것을 방지하는 것은?
     1. 완충기(bufer)
     2. 조속기(governor)
     3. 리미트 스위치(limit switch)
     4. 카운터 웨이트(counter weight)

     정답 : []
     정답률 : 84%
     <문제 해설>
스토핑스위치가 작동하지 않을 때 제 2단의 작동으로 주회로를 차단하는 것으로 카(car)가 최하층이나 최상층에서 정상운행위치를 벗어나 그이상으로 운행하는 것을 방지하기 위한    안전장치
[해설작성자 : 합겨어어엌...]

78. 옥내배선의 전선 굵기 결정 요소에 속하지 않는 것은?
     1. 허용 전류
     2. 배선 방식
     3. 전압 강하
     4. 기계적 강도

     정답 : []
     정답률 : 56%
     <문제 해설>
● 전선 굵기 결정시 고려사항 3가지
1. 허용 전류
2. 전압 강하
3. 기계적 강도
[해설작성자 : 벙그리의도전]

79. 가스설비에 사용되는 거버너(governor)에 관한 설명으로 옳은 것은?
     1. 실내에서 발생되는 배기가스를 외부로 배출시키는 장치
     2. 연소가 원활히 이루어지도록 외부로부터 공기를 받아들이는 장치
     3. 가스가 누설되거나 지진이 발생했을 때 가스 공급을 긴급히 차단하는 장치
     4. 가스공급회사로부터 공급받은 가스를 건물에서 사용하기에 적합한 압력으로 조정하는 장치

     정답 : []
     정답률 : 76%
     <문제 해설>
1=환기설비
2=흡입장치
3=차단밸브
[해설작성자 : 고찬]

거버너=정압기
[해설작성자 : 우송건공화이팅]

80. 일반적으로 실내 환기량의 기준이 되는 것은?
     1. 공기 온도
     2. O 농도
     3. CO2 농도
     4. SO2 농도

     정답 : []
     정답률 : 88%

81. 국토의 계획 및 이용에 관한 법령상 제 2종 전용 주거지역안에서 건축 할 수 있는 건축물에 속하지 않은 것은?
     1. 공동주택
     2. 판매시설
     3. 노유자시설
     4. 교육연구시설 중 고등학교

     정답 : []
     정답률 : 56%
     <문제 해설>
시설별 용도는아래와 같고. 살기위한 시설이니 판매는 안됩니다.
1종전용주거시설:단독주택
2종전용주거시설:공동주택
[해설작성자 : 고찬]

82. 같은 건축물안에 공동주택과 위락시설을 함께 설치하고자 하는 경우, 공동주택의 출입구와 위락시설의 출입구는 서로 그 보행거리가 최소 얼마 이상이 되도록 설치하여야 하는가?
     1. 10m
     2. 20m
     3. 30m
     4. 50m

     정답 : []
     정답률 : 66%
     <문제 해설>
같은 건축물 안에 공동주택과 위락시설을 함께 설치할 때에는 공동주택 등의 출입구와 위락시설 등의 출입구는 서로 그 보행거리가 30m 이상이 되도록 설치해야 한다.
[해설작성자 : 괜찮아딩딩딩]

83. 건축허가 대상 건축물이라 하더라도 건축신고를 하면 건축허가를 받은 것으로 보는 경우에 속하지 않는 것은? ( 단, 층수가 2층인 건축물의 경우)
     1. 바닥면적의 합계가 75m2의 증축
     2. 바닥면적의 합계가 75m2의 재축
     3. 바닥면적의 합계가 75m2의 개축
     4. 연면적의 합계가 250m2인 건축물의 대수선

     정답 : []
     정답률 : 76%
     <문제 해설>
증축 개축 재축은 85m^2이하
대수선의 경우 200m^2이하, 3층미만
소규모 건축물 100m^2이하
건축물 증축 높이 3m이하
공업지역 2층이하 500m^2이하
[해설작성자 : comcbt.com 이용자]

제14조 (건축신고)
1. 바닥면적의 합계 85제곱미터 이내의 증축,개축, 재축
(단 3층 이상 건축물의 경우 증축, 개축, 재축하려는 부분의 바닥면적의 합계가 건축물의 연면적의 10분의 1이내인 경우로 한정
3. 연면적이 200제곱미터 미만이고 3층 미만인 건축물의 대수선

84. 건축물에 설치하는 지하층의 구조 및 설비에 관한 기준 내용으로 옳지 않은 것은?
     1. 거실의 바닥면적의 합계가 1,000m2 이상인 층에는 환기설비를 설치 할 것
     2. 지하층의 바닥면적이 300m2 이상인 층에는 식수공급을 위한 급수전을 1개소 이상 설치 할 것
     3. 거실의 바닥면적이 30m2 이상인 층에는 직통계단 외에 피난층 또는 지상으로 통하는 비상탈출구 및 환기통을 설치할 것
     4. 바닥면적이 1,000m2 이상인 층에는 피난층 또는 지상으로 통하는 직통계단을 관련 규정에 의한 방화구획으로 구획되는 각 부분마다 1개소 이상 설치하되, 이를 피난계단 또는 특별피난계단의 구조로 할 것

     정답 : []
     정답률 : 67%
     <문제 해설>
3. 거실의 바닥 면적이 50m^2이상인 층에는 직통계단 외에 피난층 또는 지상으로 통하는 비상탈출구 및 환기통을 설치 할것.

85. 각 층의 바닥면적이 5,000m2이고 각 층의 거실 면적이 3,000m2인 14층 숙박시설에 설치하여야 하는 승용승강기의 최소 대수는? (단, 24인승 승용승강기를 설치하는 경우)
     1. 6대
     2. 7대
     3. 12대
     4. 13대

     정답 : []
     정답률 : 56%
     <문제 해설>
(면적-3000)/2000+1 8에서 15인승의 경우
24인승은 위의 절반

[추가 해설]
문제해설에 해설들어갑니다..
((6층부터 최상층까지의 거실면적 합계-3000)/2000)+1로 구하며. 문제에 24인숭이라는 조건이 있으면 구한 값에 절반으로 해주면 답이 됩니다
[해설작성자 : 고찬]

숙박시설 승용승강기 15인승 기본 공식은 ((A-3000)/2000)+1이다.
이때 A는 6층이상의 면적이다. 그래서 (5000*6-3000)/2000+1=13.5가 나옴 즉 14라고 생각
근데 24인용이기때문에 절반 줄여서 14/2는 7이다.
[해설작성자 : comcbt.com 이용자]

3000*9=27000
(27000-3000)/2000+1=13
13/2=6.5
반올림 하면 7대
[해설작성자 : comcbt.com 이용자]

86. 도시지역에서 복합적인 토지이용을 증진시켜 도시 정비를 촉진하고 지역 거점을 육성할 필요가 있다고 인정되는 지역을 대상으로 지정하는 용도구역은?
     1. 개발제한구역
     2. 시가화조정구역
     3. 입지규제최소구역
     4. 도시자연공원구역

     정답 : []
     정답률 : 58%
     <문제 해설>
입지규제최소구역으로 지정되기 위한 규모는 토지면적 10,000m2 이상이다.
[해설작성자 : 인국공간다.]

87. 다음 중 건축법령에 따른 용어의 정의가 옳지 않은 것은?
     1. 고층건축물이란 층수가 30층 이상이거나 높이가 120 이상인 건축물을 말한다.
     2. 리빌딩이란 건축물의 노후화를 억제하거나 기능향상 등을 위하여 대수선하거나 일부 증축하는 행위를 말한다.
     3. 지하층이란 건축물의 바닥이 지표면 아래에 있는 층으로서 바닥에서 지표면까지 평균높이가 해당 층 높이의 2분의 1 이상인 것을 말한다.
     4. 발코니란 건축물의 내부와 외부를 연결하는 완충공간으로서 전망이나 휴식 등의 목적으로 건축물 외벽에 접하여 부가적으로 설치되는 공간을 말한다.

     정답 : []
     정답률 : 74%
     <문제 해설>
2번의 설명은 리빌딩이 아닌 리모델링의 설명
[해설작성자 : comcbt.com 이용자]

고층 건축물의 기준은 층수 또는 높이에 따라 나뉩니다.
일반적으로 층수가 30층 이상이거나 높이가 120m 이상인 건축물을 고층 건축물로 정의합니다.
층수가 50층 이상이거나 높이가 200m 이상인 건축물은 초고층 건축물로 분류합니다.
[해설작성자 : 합격하세요]

88. 다음 중 국토의 계획 및 이용에 관한 법령에 따른 용도지역 안에서의 건폐율 최대한도가 가장 높은 것은?
     1. 준주거지역
     2. 중심상업지역
     3. 일반상업지역
     4. 유통상업지역

     정답 : []
     정답률 : 79%
     <문제 해설>
건폐율:(건축면적/대지면적)×100
중심상업지구:90%
녹지지역:20%
[해설작성자 : 고찬]

준주거지역 : 70%
중심상업지역 : 90%
일반상업지역 : 80%
유통상업지역 : 80%
[해설작성자 : 오예내가누구게]

89. 국토의 계획 및 이용에 관한 법령에 따른 용도지구에 속하지 않는 것은?
     1. 경관지구
     2. 방재지구
     3. 보호지구
     4. 도시설계지구

     정답 : []
     정답률 : 50%
     <문제 해설>
[관리자 입니다.
관련규정 개정으로 인하여
3번보기 시설보호지구를, 보호지구로 변경하였습니다.
참고하시기 바랍니다.]

[국토의 계획 및 이용에 관한 법률상의 용도지구]
경관지구, 고도지구, 방화지구, 방재지구, 보호지구, 취락지구, 개발진흥지구, 특정용도제한지구, 복합용도지구
[해설작성자 : 윶인의 발자취]

90. 노상주차장의 구조 및 설비에 관한 기준 내용으로 옳은 것은?
     1. 너비 6m 이상의 도로에 설치하여서는 아니된다.
     2. 종단경사도가 3퍼센트를 초과하는 도로는 설치하여서는 아니된다.
     3. 고속도로, 자동차 전용도로 또는 고가도로에 설치하여서는 아니된다.
     4. 주차대수 규모가 20대인 경우, 장애인 전용주차 구획을 최소 2면 이상 설치하여야 한다.

     정답 : []
     정답률 : 58%
     <문제 해설>
1.6m미만
2.종단경사도가 4%초과 하는 도로 설치 금지
4. 주차대수 규모가 20대인 경우, 장애인 전용주차구획을 최소 1면 이상 설치하여야한다.

91. 건축물의 연면적 중 주차장으로 사용되는 비율이 70퍼센트인 경우, 주차전용건축물로 볼 수 있는 주차장외의 용도에 속하지 않는 것은?
     1. 의료시설
     2. 운동시설
     3. 제1종 근린생활시설
     4. 제2종 근린생활시설

     정답 : []
     정답률 : 65%
     <문제 해설>
건축물의 연면적중 주차장외의 용도
95%이상(단독주택,공동주택,제1종및 제2종 근린생활시설, 문화및집회시설,종교시설,판매시설,운수시설,운동시설,업무시설,창고시설,자동차관련시설이아닌경우)
70%이상(단독주택,공동주택,제1종및제2종 근린생활시설,문화및집회시설,종교시설,판매시설,운수시설,창고시설,자동차관련시설인경우)
의료시설은 포함되지않음.
[해설작성자 : 힘내자]

운동시설 = 70% ↑
[해설작성자 : 헬창]

의료시설이 답이 아닌이유는 의료시설은 제2종근린시설에 포함됨

92. 다음은 일조 등의 확보를 위한 건축물의 높이 제한에 관한 기준 내용이다. ( ) 안에 알맞은 것은?

    

     1. 일반주거지역과 준주거지역
     2. 전용주거지역과 일반주거지역
     3. 중심상업지역과 일반상업지역
     4. 일반상업지역과 근린상업지역

     정답 : []
     정답률 : 71%

93. 건축허가신청에 필요한 설계도서의 종류 중 건축계획서에 표시하여야 할 사항이 아닌 것은?
     1. 주차장규모
     2. 대지의 종·횡 단면도
     3. 건축물의 용도별 면적
     4. 지역·지구 및 도시계획사항

     정답 : []
     정답률 : 56%
     <문제 해설>
건축계획서에 표시하여야 할 사항
1. 개요(위치 대지면적)
2. 지역 지구 및 도시계획사항
3. 건축물의 규모
4. 건축물의 용도별 면적, 주차장 규모
5. 에너지 절약 계획서
6. 노인 및 장애인 등을 위한 편의 시설 설치 계획서

94. 다음의 부설주차장의 설치에 관한 기준 내용 중 밑줄 친 “대통령령으로 정하는 규모”로 옳은 것은?

    

     1. 주차대수 100대의 규모
     2. 주차대수 200대의 규모
     3. 주차대수 300대의 규모
     4. 주차대수 400대의 규모

     정답 : []
     정답률 : 55%
     <문제 해설>
- 주차대수 300대 이하, 시설물의 부지가 12m 이하인 도로에 접하여 있는 경우~~
- 부지인근 범위 : 직선거리 300m 이내, 도보거리 600m 이내
[해설작성자 : 인국공간다.]

95. 급수, 배수, 환기, 난방 설비를 건축물에 설치하는 경우, 건축기계설비기술사 또는 공조냉동기계기술사의 협력을 받아야 하는 대상 건축물에 속하지 않는 것은?
     1. 아파트
     2. 연립주택
     3. 기숙사로서 해당 용도에 사용되는 바닥면적의 합계가 2,000m2인 건축물
     4. 업무시설로서 해당 용도에 사용되는 바닥면적의 합계가 2,000m2인 건축물

     정답 : []
     정답률 : 63%
     <문제 해설>
업무시설 3000 m^2 이상
목욕장 1000 m^2
문화 및 집회시설 교육연구시설 종교시설 장례식장 창고시설을 제외한 모든 용도 10000m^2
[해설작성자 : comcbt.com 이용자]

업연판 3000
기숙유의2000
[해설작성자 : 관동ㄷㅐ]

목욕장 실내수영장 실내물놀이형시설 1000m^2 이상
[해설작성자 : comcbt.com 이용자]

96. 다음의 피난계단의 설치에 관한 기준 내용 중 ( ) 안에 알맞은 것은?

    

     1. 의료시설
     2. 숙박시설
     3. 판매시설
     4. 교육연구시설

     정답 : []
     정답률 : 60%
     <문제 해설>
5층 이상 또는 지하 2층 이하인 층에 설치하는 직통계단은 국토교통부령으로 정하는 기준에 따라 피난계단 또는 특별피난계단으로 설치해야 한다.
이 때, 판매시설의 용도로 쓰는 층으로부터 직통계단은 그 중 1개소 이상을 특별피난계단으로 설치해야 한다.
[해설작성자 : 책보고왔다잉]

97. 공작물을 축조할 때 특별자치시장·특별자치도지사 또는 시장·군수·구청장에게 신고를 하여야 하는 대상 공작물 기준으로 옳지 않은 것은?(단, 건축물과 분리하여 축조하는 경우)(2022년 02월 11일 개정된 규정 적용됨)
     1. 높이 2m를 넘는 옹벽
     2. 높이 4m를 넘는 광고탑
     3. 높이 2m를 넘는 장식탑
     4. 높이 6m를 넘는 굴뚝

     정답 : []
     정답률 : 69%
     <문제 해설>
[기존 규정]
8미터 고가수조
6미터 장식탑 및 굴뚝
4미터 광고
2미터 벽
[해설작성자 : 고찬]

[2022년 02월 11일 개정된 규정]
건축법 시행령
[시행 2022. 2. 11.] [대통령령 제32411호, 2022. 2. 11., 타법개정]
제118조(옹벽 등의 공작물에의 준용) ① 법 제83조제1항에 따라 공작물을 축조(건축물과 분리하여 축조하는 것을 말한다. 이하 이 조에서 같다)할 때 특별자치시장ㆍ특별자치도지사 또는 시장ㆍ군수ㆍ구청장에게 신고를 해야 하는 공작물은 다음 각 호와 같다.    <개정 2014. 10. 14., 2016. 1. 19., 2020. 12. 15.>
1. 높이 6미터를 넘는 굴뚝
2. 삭제    <2020. 12. 15.>
3. 높이 4미터를 넘는 장식탑, 기념탑, 첨탑, 광고탑, 광고판, 그 밖에 이와 비슷한 것
4. 높이 8미터를 넘는 고가수조나 그 밖에 이와 비슷한 것
5. 높이 2미터를 넘는 옹벽 또는 담장
6. 바닥면적 30제곱미터를 넘는 지하대피호
7. 높이 6미터를 넘는 골프연습장 등의 운동시설을 위한 철탑, 주거지역ㆍ상업지역에 설치하는 통신용 철탑, 그 밖에 이와 비슷한 것
8. 높이 8미터(위험을 방지하기 위한 난간의 높이는 제외한다) 이하의 기계식 주차장 및 철골 조립식 주차장(바닥면이 조립식이 아닌 것을 포함한다)으로서 외벽이 없는 것

결론 : 장식탑 6m에서 4m로 개정되어
기존 보기 내용을 4m에서 2m로 바꾸어 중복 답안이 되지 않게 교정하였습니다.

98. 다음은 건축법령상 바닥면적 산정에 관한 기준 내용이다. ( )안에 포함되지 않는 것은?

    

     1. 기계실
     2. 탁아소
     3. 조경시설
     4. 어린이놀이터

     정답 : []
     정답률 : 61%
     <문제 해설>
공동주택의 지상층에 설치한 기계실, 전기실, 어린이놀이터, 조경시설 및 생활폐기물 보관함의 면적은 바닥면적에 산입하지 않는다. 기계실, 전기실 등의 바닥면적 제외의 요건은 다음과 같다.
① 건축물의 용도가 공동주택일 것. 즉, 아파트, 연립주택, 다세대주택, 기숙사가 여기에 해당한다.
② 지상층에 설치할 것. 따라서 지하층에 설치된 기계실이나 전기실의 바닥면적은 제외되지 않는다.

출처 : [네이버 지식백과] 바닥면적 산정의 예외 - 면적 산정 방법 (그림으로 이해하는 건축법, 이재인)

건축법 시행령
[시행 2021. 8. 7.] [대통령령 제30030호, 2019. 8. 6., 일부개정]
제119조(면적 등의 산정방법) ① 법 제84조에 따라 건축물의 면적ㆍ높이 및 층수 등은 다음 각 호의 방법에 따라 산정한다.    
3. 바닥면적: 건축물의 각 층 또는 그 일부로서 벽, 기둥, 그 밖에 이와 비슷한 구획의 중심선으로 둘러싸인 부분의 수평투영면적으로 한다. 다만, 다음 각 목의 어느 하나에 해당하는 경우에는 각 목에서 정하는 바에 따른다.
마. 공동주택으로서 지상층에 설치한 기계실, 전기실, 어린이놀이터, 조경시설 및 생활폐기물 보관함의 면적은 바닥면적에 산입하지 아니한다.

출처 : 국가법령정보센터

아니한 것이기에 답은 탁아소가 맞습니다
[해설작성자 : 시민]

99. 건축법령상 공사 감리자가 수행하여야 하는 감리업무에 속하지 않는 것은?
     1. 공정표의 검토
     2. 상세시공도면의 작성 및 확인
     3. 공사현장에서의 안전관리의 지도
     4. 설계변경의 적정여부의 검토 및 확인

     정답 : []
     정답률 : 84%
     <문제 해설>
공사감리자의 감리업무
1. 공사시공자가 설계도서에 적합하게 시공하는지의 여부 및 건축자재가 기준에 적합한지의 여부 확인
2. 시공계획 및 공사관리의 적정여부 확인, 공사현장의 안전관리 지도
3. 공정표 및 상세시공도면의 검토,확인
4. 구조물의 위치와 규격의 적정여부 검토,확인
5. 품질시험의 실시여부 및 시험성과 검토,확인
6. 설계변경의 적정여부 검토 확인
7. 기타 공사감리계약으로 정하는 사항
[해설작성자 : 옹지]

100. 건축물의 대지는 원칙적으로 최소 얼마 이상이 도로에 접하여야 하는가?
     1. 1m
     2. 2m
     3. 3m
     4. 4m

     정답 : []
     정답률 : 74%
     <문제 해설>
- 원칙적으로 도로와 2m 이상 접해야함!
- 근데 연면적 2000m2이상(공장 3,0002이상)은 폭 6m 이상 도로에 `4m 이상`접해야 함.

잘 구분하시길!
[해설작성자 : 인국공간다.]


정 답 지

1

2

3

4

5

6

7

8

9

10

11

12

13

14

15

16

17

18

19

20

21

22

23

24

25

26

27

28

29

30

31

32

33

34

35

36

37

38

39

40

41

42

43

44

45

46

47

48

49

50

51

52

53

54

55

56

57

58

59

60

61

62

63

64

65

66

67

68

69

70

71

72

73

74

75

76

77

78

79

80

81

82

83

84

85

86

87

88

89

90

91

92

93

94

95

96

97

98

99

100

건축기사 필기 기출문제(해설) 및 CBT 2017년05월09일을 이용해 주셔서 감사합니다.
, 필기, 기출문제, 전자문제집, CBT, 온라인, 모의테스트, 모의고사



List of Articles
번호 제목 글쓴이 날짜 조회 수
3041 건축기사 필기 기출문제(해설) 및 CBT 2012년05월20일(7154) new 좋은아빠되기 2025.10.07 0
3040 건축기사 필기 기출문제(해설) 및 CBT 2012년09월15일(7155) new 좋은아빠되기 2025.10.07 1
3039 건축기사 필기 기출문제(해설) 및 CBT 2013년03월10일(7156) new 좋은아빠되기 2025.10.07 1
3038 건축기사 필기 기출문제(해설) 및 CBT 2013년06월02일(7157) new 좋은아빠되기 2025.10.07 0
3037 건축기사 필기 기출문제(해설) 및 CBT 2013년09월28일(7158) new 좋은아빠되기 2025.10.07 0
3036 건축기사 필기 기출문제(해설) 및 CBT 2014년03월02일(7159) new 좋은아빠되기 2025.10.07 0
3035 건축기사 필기 기출문제(해설) 및 CBT 2014년05월25일(7160) new 좋은아빠되기 2025.10.07 0
3034 건축기사 필기 기출문제(해설) 및 CBT 2014년09월20일(7161) new 좋은아빠되기 2025.10.07 0
3033 건축기사 필기 기출문제(해설) 및 CBT 2015년03월08일(7162) new 좋은아빠되기 2025.10.07 0
3032 건축기사 필기 기출문제(해설) 및 CBT 2015년05월31일(7163) new 좋은아빠되기 2025.10.07 1
3031 건축기사 필기 기출문제(해설) 및 CBT 2015년09월19일(7164) new 좋은아빠되기 2025.10.07 1
3030 건축기사 필기 기출문제(해설) 및 CBT 2016년03월06일(7165) new 좋은아빠되기 2025.10.07 0
3029 건축기사 필기 기출문제(해설) 및 CBT 2016년05월08일(7166) new 좋은아빠되기 2025.10.07 1
3028 건축기사 필기 기출문제(해설) 및 CBT 2016년10월01일(7167) new 좋은아빠되기 2025.10.07 0
3027 건축기사 필기 기출문제(해설) 및 CBT 2017년03월05일(7168) new 좋은아빠되기 2025.10.07 0
» 건축기사 필기 기출문제(해설) 및 CBT 2017년05월09일(7169) new 좋은아빠되기 2025.10.07 0
3025 건축기사 필기 기출문제(해설) 및 CBT 2017년09월23일(7170) new 좋은아빠되기 2025.10.07 1
3024 건축기사 필기 기출문제(해설) 및 CBT 2018년03월04일(7171) new 좋은아빠되기 2025.10.07 0
3023 건축기사 필기 기출문제(해설) 및 CBT 2018년04월28일(7172) new 좋은아빠되기 2025.10.07 0
3022 건축기사 필기 기출문제(해설) 및 CBT 2018년09월15일(7173) new 좋은아빠되기 2025.10.07 0
Board Pagination Prev 1 ... 338 339 340 341 342 343 344 345 346 347 ... 495 Next
/ 495