자격증 필기 기출문제



공조냉동기계산업기사 필기 기출문제(해설) 및 CBT 2013년03월10일(7538)

최강 자격증 기출문제 전자문제집 CBT : www.comcbt.com


전자문제집 CBT란?

종이 문제집이 아닌 인터넷으로 문제를 풀고 자동으로 채점하며 모의고사, 오답 노트, 해설까지 제공하는
무료 기출문제 학습 프로그램으로 실제 상설검정에서 사용하는 OMR 형식의 CBT를 제공합니다.


최신 공조냉동기계산업기사 필기 기출문제 : [다운로드]

1과목 : 공기조화


1. 통과풍량이 320m3/min일 때 표준 유닛형 에어필터(통과풍속 1.4m/s, 통과면적 0.30m2)의 수는 약 몇 개인가? (단, 유효면적은 80% 이다.)
     1. 13개
     2. 14개
     3. 15개
     4. 16개

     정답 : []
     정답률 : 70%
     <문제 해설>
Q(풍량)=A(면적).V(속도).n(개수). Q=320m^3/min / 60=5.33m/s.
5.33=0.3*1.4*0.8*n. n=5.33/0.3*1.4*0.8=15.86=16개
[해설작성자 : 풍경소리]

2. 난방 방식 중 낮은 실온에서도 균등한 쾌적감을 얻을 수 있는 방식은?
     1. 복사난방
     2. 대류난방
     3. 증기난방
     4. 온풍로난방

     정답 : []
     정답률 : 92%

3. 다음과 같은 습공기선도상의 상태에서 외기부하를 나타내고 있는 것은?

   

     1. G(i3-i4)
     2. G(i5-i4)
     3. G(i3-i2)
     4. G(i2-i5)

     정답 : []
     정답률 : 80%

4. 냉방부하 종류 중에 현열로만 이루어진 부하로 맞는 것은?
     1. 조명에서의 발생열
     2. 인체에서의 발생열
     3. 문틈에서의 틈새바람
     4. 실내기구에서의 발생열

     정답 : []
     정답률 : 88%

5. HEPA 필터에 적합한 효율 측정법은?
     1. weight법
     2. NBS법
     3. dust spot법
     4. DOP법

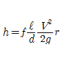
     정답 : []
     정답률 : 91%

6. 냉방 시 침입외기가 200m3/h일 때 침입외기에 의한 손실 부하는 약 얼마인가? (단, 외기는 32℃ DB, 0.018 kg/kg DA, 실내는 27℃ DB, 0.013kg/kg DA이며, 침입외기 밀도 1.2kg/m3, 건공기 정압비열 1.01kJ/h, 물의 증발잠열 2501kJ/kg이다.)
     1. 3001kJ/h
     2. 1215kJ/h
     3. 4213kJ/h
     4. 5655kJ/h

     정답 : []
     정답률 : 59%
     <문제 해설>
q=200*1.2*{1.01(32-27)+2501*(0.018-0.013)}
[해설작성자 : 헤린쓰]

위의 해설을 쉽게 풀면
①현열qs=200*1.2*1.01*(32-27)=1,212KJ/h
②잠열qL=200*1.2*2501*(0.018-0.013)=3,001.2KJ/h
①+②=1212+3001.2=4,213.2KJ/h
[해설작성자 : 열혈수험생]

7. 다음 그림의 방열기 도시기호 중 ‘W-H'가 나타내는 의미는 무엇인가?

   

     1. 방열기 쪽수
     2. 방열기 높이
     3. 방열기 종류(형식)
     4. 연결배관의 종류

     정답 : []
     정답률 : 91%
     <문제 해설>
상단; 10쪽수, 중앙; 벽걸이, 수평형. 하단; 유입관 15, 유출관 15.
[해설작성자 : 공조 9수 생]

8. 열동식 트랩에 대한 설명 중 옳은 것은?
     1. 방열기에 생긴 응축수를 증기와 분리하여 보일러에 환수시키는 역할을 한다.
     2. 방열기내에 머무르는 공기만을 분리하여 제거하는 역할을 한다.
     3. 열동식 트랩은 열역학적 트랩의 일종이다.
     4. 방열기에서 발생하는 응축수는 분리하여 방열기에 오랫동안 머무르게 하고 증기를 배출하는 역할을 한다.

     정답 : []
     정답률 : 67%
     <문제 해설>
열동식 트랩은 방열기에 생긴 응축수를 증기와 분리하여, 보일러에 환수시키는 역할을 하는 친구다.
[해설작성자 : 합격시켜줘]

9. 공기조화를 위한 사무실의 외기온도 -10℃, 실내온도 22℃일 때 면적 20m2을 통하여 손실되는 열량은 얼마인가? (단, 구조체의 열관류율은 2.1kcal/m2h℃이다.)
     1. 41kcal/h
     2. 504kcal/h
     3. 820kcal/h
     4. 1344kcal/h

     정답 : []
     정답률 : 61%
     <문제 해설>
Q = KFdT.     Q = 2.1*20*(22-(-10)) = 1344
[해설작성자 : 풍경소리]

10. 공기조화 설비방식의 일반 열원방식 중 2중 효용 흡수식 냉동기와 보일러를 사용하여 구성되는 공조방식의 관련된 장치가 아닌 것은?
     1. 발생기, 흡수기, 입형보일러
     2. 응축기, 증발기, 관류보일러
     3. 재생기, 응축기, 노통연관보일러
     4. 응축기, 압축기, 수관보일러

     정답 : []
     정답률 : 73%
     <문제 해설>
흡수식 냉동기는 압축 과정이 없다.
[해설작성자 : comcbt.com 이용자]

흡수식냉동기: 재생기, 응축기, 흡수기, 증발기    
[해설작성자 : 백호]

11. 공기조화방식의 분류 중 전공기 방식에 해당되지 않는 것은?
     1. 유인유닛 방식
     2. 정풍량 단일덕트 방식
     3. 2중덕트 방식
     4. 변풍량 단일덕트 방식

     정답 : []
     정답률 : 82%
     <문제 해설>
유인유닉방식 : 수-공기방식
[해설작성자 : comcbt.com 이용자]

12. 습공기의 상태를 나타내는 요소에 대한 설명 중 맞는 것은?
     1. 상대습도는 공기 중에 포함된 수분의 량을 계산하는데 사용한다.
     2. 수증기 분압에서 습공기가 가진 압력(보통 대기압)은 그 혼합성분인 건공기와 수증기가 가진 분압의 합과 같다.
     3. 습구온도는 주위공기가 포화증기에 가까우면 건구온도와의 차는 커진다.
     4. 엔탈피는 0℃ 건공기의 값을 593 kcal/kg으로 기준하여 사용한다.

     정답 : []
     정답률 : 63%
     <문제 해설>
1. 절대습도에 대한 설명이다
2. 대기압=건공기분압+습공기분압
3. 포화공기는 건구온도, 습구온도가 같다
4. 0도씨의 건공기 엔탈피는 0kcal/kg 이다.
[해설작성자 : 금성]

13. 구조체에서의 손실부하 계산시 내벽이나 중간층 바닥의 손실부하를 구하고자 할 때 적용하는 온도차를 구하는 공식은? (단, tr : 실내의 온도, to : 실외의 온도)
     1.
     2.
     3.
     4.

     정답 : []
     정답률 : 61%
     <문제 해설>
적용온도를 구하는 방법이다.

적용온도 = 실내온도 - 평균온도
[해설작성자 : comcbt.com 이용자]

14. 인텔리전트 빌딩과 같이 냉방부하가 큰 건물이나 백화점과 같이 잠열부하가 큰 건물에서 송풍량과 덕트 크기를 크게 늘리지 않고자 할 때, 공조방식으로 적합한 것은?
     1. 바닥취출 공조방식
     2. 저온공조방식
     3. 팬코일 유닛방식
     4. 재열코일방식

     정답 : []
     정답률 : 68%
     <문제 해설>
저온공조방식
공조기의 냉수온도를 낮추어 저온의 급기를 공급하여 송풍량을 줄임으로써 덕트 크기 및 층고를 줄이는 방식
[해설작성자 : comcbt.com 이용자]

15. 열교환기를 구조에 따라 분류하였을 때 판형 열교환기의 종류에 해당하지 않는 것은?
     1. 플레이트식 열교환기
     2. 캐틀형 열교환기
     3. 플레이트핀식 열교환기
     4. 스파이럴형 열교환기

     정답 : []
     정답률 : 72%
     <문제 해설>
판형 열교환기의 종류
1. 플레이트식
2. 플레이트핀식
3. 스파이럴식
[해설작성자 : comcbt.com 이용자]

16. 직교류형 냉각탑과 대향류형 냉각탑을 비교하였다. 직교류형 냉각탑의 특징으로 틀린 것은?
     1. 물과 공기 흐름이 직각으로 교차한다.
     2. 냉각탑 설치 면적은 크고, 높이는 낮다.
     3. 대향류형에 비해 효율이 좋다.
     4. 냉각탑 중심부로 갈수록 온도가 높아진다.

     정답 : []
     정답률 : 76%
     <문제 해설>
대항류형 냉각탑은 공기를 아래에서 위로 흐리게 하므로 직교형 냉각탑보다 효율이 높다
[해설작성자 : comcbt.com 이용자]

17. 기화식(증발식) 가습장치의 종류로 옳은 것은?
     1. 원심식, 초음파식, 분무식
     2. 전열식, 전극식, 적외선식
     3. 과열증기식, 분무식, 원심식
     4. 회전식, 모세관식, 적하식

     정답 : []
     정답률 : 80%
     <문제 해설>
기화식 기습장치
1.젖은 표면에 공기를 통과시켜 습기를 증발시키는 방식
2.증발판이나 증발 소자의 청소가 필요하다
3.결로나 불순물의 비산이 적다
4가습량을 제어하기 쉽다
5.가습장치가 큰편이고 난방시 효과가 좋다
[해설작성자 : comcnt.com 이용자]

18. 증기난방의 장점으로 틀린 것은?
     1. 열의 운반능력이 크고, 예열시간이 짧다.
     2. 한량지에서 동결의 우려가 적다.
     3. 환수관의 내부부식이 지연되어 간관의 수명이 길다.
     4. 온수난방에 비하여 방열기의 방열면적이 작아진다.

     정답 : []
     정답률 : 67%
     <문제 해설>
증기난방은 고온고압의 증기를 만들기때문에 배관이 작아야하는데 고온고압의 유체는 배관의 부식을 촉진시킵니다

19. 공기 세정기의 구조에서 앞부분에 세정실이 있고 물방울의 유출을 방지하기 위해 뒷부분에는 무엇을 설치하는가?
     1. 배수관
     2. 유닛 히트
     3. 유량조절밸브
     4. 엘리미네이터

     정답 : []
     정답률 : 86%
     <문제 해설>
공기세정기는 분문수와 공기를 접촉시키는 세정실과 출구쪽에 물방울이 급기와 함께 혼합되지 않도록 엘리미네이터를 설치한다
[해설작성자 : comcbt.com 이용자]

20. A상태에서 B상태로 가는 냉방과정에서 현열비는?

    

     1.
     2.
     3.
     4.

     정답 : []
     정답률 : 72%
     <문제 해설>
SHF = qs/qs+ql = 현열/전열

B-C = 현열
A-C = 전열
[해설작성자 : comcbt.com 이용자]

B-C = 현열
A-C = 잠열
[해설작성자 : 열혈수험생]

2과목 : 냉동공학


21. 다음 조건을 갖는 수냉식 응축기의 전열 면적은 약 얼마인가? (단, 응축기 입구의 냉매가스의 엔탈피는 450kcal/kg, 응축기 출구의 냉매약의 엔탈피는 150kcal/kg, 냉매 순환량은 100kg/h, 응축온도는 40℃, 냉각수 평균온도는 33℃, 응축기의 열관류율은 800kcal/m2h℃이다.)
     1. 3.86m2
     2. 4.56m2
     3. 5.36m2
     4. 6.76m2

     정답 : []
     정답률 : 55%
     <문제 해설>
K * A * dT = G * dh
[해설작성자 : 서반형아]

다행히,단위는 서로 같으므로 변환안해도된다
800x면적x(40-33)=100x(450-150)
[해설작성자 : 책안사고 영상보고 알아냄]

22. 0.02kg의 기체에 100J의 일을 가하여 단열 압축하였을 때 기체 내부에너지 변화는 약 얼마인가?
     1. 1.87kcal/kg
     2. 1.54kcal/kg
     3. 1.39kcal/kg
     4. 1.19kcal/kg

     정답 : []
     정답률 : 53%
     <문제 해설>
1Kcal=4.18KJ
100J=0.1KJ
0.1KJ/0.02kg=5 kJ/kg

5/4.18=1.19 Kcal/kg
[해설작성자 : 양갱]

23. 흡수식냉동기의 구성품 중 왕복동 냉동기의 압축기와 같은 역할을 하는 것은?
     1. 발생기
     2. 증발기
     3. 응축기
     4. 순환펌프

     정답 : []
     정답률 : 80%
     <문제 해설>
흡수식 냉동기
증기 압축식 냉동기의 구동원인 압축기 대신 흡수기와 발생기를 설치하고 저온상태에서는 서로 용해가 잘되고
고온에서는 분리가 잘되는냉매와 흡수제를 사용하여 이 중 냉매가 실제냉방을 하는 방식
[해설작성자 : comcbt.com 이용자]

24. 냉동장치의 액분리기에 대한 설명 중 맞는 것으로만 짝지어진 것은?

    

     1. ①, ②
     2. ③, ④
     3. ①, ③
     4. ②, ③

     정답 : []
     정답률 : 80%
     <문제 해설>
3. 냉동부하의 변동이 심한 장치에는 사용한다.
4. 냉매액이 압축기로 유입되는 것을 방지하기 위해 사용한다.
[해설작성자 : 폴리텍 광주캠퍼스 24학번 산설과 1학년 학생]

25. 이상 기체를 정압하에서 가열하면 체적과 온도의 변화는 어떻게 되는가?
     1. 체적증가, 온도상승
     2. 체적일정, 온도일정
     3. 체적증가, 온도일정
     4. 체적일정, 온도상승

     정답 : []
     정답률 : 82%

26. 온도식 팽창밸브(Thermostatic expansion valve)에 있어서 과열도란 무엇인가?
     1. 고압측 압력이 너무 높아져서 액냉매의 온도가 충분히 낮아지지 못할 때 정상시와의 온도차
     2. 팽창밸브가 너무 오랫동안 작용하면 밸브 시이트가 뜨겁게 되어 오동작 할 때 정상시와의 온도차
     3. 흡입관내의 냉매가스 온도와 증발기내의 포화온도 와의 온도차
     4. 압축기와 증발기속의 온도보다 1℃ 정도 높게 설정되어 있는 온도와의 온도차

     정답 : []
     정답률 : 67%
     <문제 해설>
과열도 증발기 출구(압축기 흡입관)의 냉매가스 온도와 증발기 내의 증발온도(포화온도)와의 차이
[해설작성자 : comcbt.com 이용자]

27. 10kW의 모터를 1시간 동안 작동시켜 어떤 물체를 정지시켰다. 이 때 사용된 에너지는 모두 마찰열로 되어 t=20℃의 주위에 전달되었다면 엔트로피의 증가는 약 얼마인가?
     1. 29.4 kcal/kg K
     2. 39.4 kcal/kg K
     3. 49.4 kcal/kg K
     4. 59.4 kcal/kg K

     정답 : []
     정답률 : 43%
     <문제 해설>
엔트로피 dS= dQ/T
(10*860)/(20+273)

T= 절대온도('K)
Q= 열량(Kcal/Kg)

* 1Kw=860Kcal
[해설작성자 : 양갱]

28. 암모니아 냉동기에서 유분리기의 설치위치로 가장 적당한 곳은?
     1. 압축기와 응축기 사이
     2. 응축기와 팽창변 사이
     3. 증발기와 압축기 사이
     4. 팽창변과 증발기 사이

     정답 : []
     정답률 : 74%
     <문제 해설>
유분리기 설치위치
암모니아 냉동기:압축기와 응축기 사이의 응축기 가까운 토출관지점
[해설작성자 : comcbt.com 이용자]

29. 압축기의 용량제어 방법 중 왕복동 압축기와 관계가 없는 것은?
     1. 바이패스법
     2. 회전수 가감법
     3. 흡입 베인 조절법
     4. 클리어런스 증가법

     정답 : []
     정답률 : 54%
     <문제 해설>
흡인베인 조절법은 원심식(터보) 냉동기 용량제어 방법임
[해설작성자 : 풍경소리]

30. 프레온 냉동장치에 수분이 혼입됐을 때 일어나는 현상이라고 볼 수 있는 것은?
     1. 수분과 반응하는 양이 매우 적어 뚜렷한 영향을 나타내지 않는다.
     2. 수분이 혼입되면 황산이 생성된다.
     3. 고온부의 냉동장치에 동 부착(도금)현상이 나타난다.
     4. 유탁액(emulsion)현상을 일으킨다.

     정답 : []
     정답률 : 73%
     <문제 해설>
동부착 현상
프레온 냉동장치에서 수분과 프레온이 작용하여 산이생성되고,나아가 침입한 공기 중의 산소와    반응된 다음 냉매순환
계통 중의 동을 침식시키고,침식된 동이 냉동장치를 순환하다가 압축기 고온부에 동이 부착되는 현상
[해설작성자 : comcbt.com 이용자]

4. 유탁액 현상은 암모니아 냉동기에 해당
[해설작성자 : 미소냉동에의하면]

31. 50RT의 브라인 쿨러에서 입구온도 -15℃일 때 브라인의 유량이 0.5m3/min이라면 출구의 온도는 약 몇 ℃인가? (단, 브라인의 비중은 1.27, 비열은 0.66kcal/kg℃, 1RT는 3320kcal/h 이다.)
     1. -20.3℃
     2. -21.6℃
     3. -11℃
     4. -18.3℃

     정답 : []
     정답률 : 56%
     <문제 해설>
50*3320=0.5*1000*60*1.27*0.66*(-15-x)
x=-15-[(50*3320)/(0.5*1000*60*1.27*0.66)]
[해설작성자 : 양갱]

Q = G x C x dT

Q = 50 x 3320
G = 0.5 x 1000 x 60 x 1.27
        (min → h = 60, 1m3 → 1000L)
C = 0.66

50x3320 = 0.5x1000x60x1.27x0.66x(?-15)
? = 166000 / 25146
? = 6.6

dT = (-15-6.6) = -21.6
따라서 답은 2번이 된다.
[해설작성자 : 단위변환 힘들다..]

32. 온도식 자동팽창밸브 감온통의 냉매충전 방법이 아닌 것은?
     1. 액충전
     2. 벨로스충전
     3. 가스충전
     4. 크로스충전

     정답 : []
     정답률 : 54%
     <문제 해설>
감온통의 가스 충전방식
액충전
가스충전
크로스충전
[해설작성자 : comcbt.com 이용자]

33. 액체 냉매를 가열하면 증기가 되고 더 가열하면 과열증기가 된다. 단위열량을 공급할 때 온도상승이 가장 큰 것은?
     1. 과냉액체
     2. 습증기
     3. 과열증기
     4. 포화증기

     정답 : []
     정답률 : 76%
     <문제 해설>
아래와 같은 오류 신고가 있었습니다.
여러분들의 많은 의견 부탁 드립니다.
추후 여러분들의 의견을 반영하여 정답을 수정하도록 하겠습니다.
참고로 정답 변경은 오류 신고 5회 이상일 경우 수정합니다.

[오류 신고 내용]
공조냉동산업기사 책 해설에선 4번 포화증기가 정답으로 되어있습니다 확인 부탁드립니다
[해설작성자 : 서성빈]

[추가 오류 신고]
4번 포화증기가 정답입니다.
[해설작성자 : 나중소]

[관리자 입니다.
문제지 사진원본 확인해 봤는데
정답은 3번이네요.
다른 문제집 확인 가능한분 계시면 확인 부탁 드립니다.
신고시 출판사명까지 기제 부탁 드립니다.]

[오류신고 반론]
구민사 정답3번 입니다

[오류신고 반론]
엔플북스 정답 3번 과열증기로 나와있습니다

[오류신고 반론]
엔플북스 정답 3번 과열증기.

[오류신고 반론]
성안당 정답 3번 입니다.
[해설작성자 : 오류신고 발론]

34. 흡수식 냉동기에 관한 설명 중 옳은 것은?
     1. 초저온용으로 사용된다.
     2. 비교적 소용량 보다는 대용량에 적합하다.
     3. 열 교환기를 설치하여도 효율은 변함없다.
     4. 물-LiBr식에서는 물이 흡수제가 된다.

     정답 : []
     정답률 : 79%

35. 자동제어의 목적이 아닌 것은?
     1. 냉동장치 운전상태의 안정을 도모한다.
     2. 냉동장치의 안전을 유지한다.
     3. 경제적인 운전을 꾀한다.
     4. 냉동장치의 냉매 소비를 절감한다.

     정답 : []
     정답률 : 74%
     <문제 해설>
자동제어의 목적은 냉동기 조작자의 안전과 장치의 안정성 그리고 냉동기의 경제적인운전 것에 중점은 두고있습니다

36. 다음 중 냉매의 구비조건으로 틀린 것은?
     1. 전기저항이 클 것
     2. 불활성이고 부식성이 없을 것
     3. 응축 압력이 가급적 낮을 것
     4. 증기의 비체적이 클 것

     정답 : []
     정답률 : 71%
     <문제 해설>
가스의 비체적이 작을것
[해설작성자 : comcbt.com 이용자]

37. 프레온 냉동장치에서 압축기 흡입배관과 응축기 출구배관을 접촉시켜 열 교환 시킬 때가 있다. 이 때 장치에 미치는 영향으로 옳은 것은?
     1. 압축기 운전 소요동력이 다소 증가한다.
     2. 냉동 효과가 증가한다.
     3. 액백(liquid back)이 일어난다.
     4. 성적계수가 다소 감소한다.

     정답 : []
     정답률 : 68%

38. 염화나트륨 브라인의 공정점은 몇 ℃ 인가?
     1. -55℃
     2. -42℃
     3. -36℃
     4. -21℃

     정답 : []
     정답률 : 69%
     <문제 해설>
염화나트륨 -21.2
염화마그네슘 -33.6
염화칼슘 -55

39. 주위압력이 750mmHg인 냉동기의 저압 gauge가 100mmHgv를 나타내었다. 절대압력은 약 몇 kgf/cm2인가?
     1. 0.5
     2. 0.73
     3. 0.88
     4. 0.96

     정답 : []
     정답률 : 56%
     <문제 해설>
*절대압력=대기압-진공압력/1기압=1.0332kg/cm^2
대기압=750/760*1.0332kg/cm^2=1.0196
진공압력=100/760*1.0332 =0.1359
1.0196-0.1359=0.884
[해설작성자 : 풍경소리]

40. 암모니아 냉동기의 증발온도 -20℃, 응축온도 35℃일 때 이론 성적계수(①)와 실제 성적계수(②)는 약 얼마인가? (단, 팽창밸브 직전의 액온도는 32℃, 흡입가스는 건포화증기이고, 체적효율은 0.65, 압축효율은 0.80, 기계효율은 0.9로 한다.)

    

     1. ①0.5, ②3.8
     2. ①3.5, ②2.5
     3. ①3.9, ②2.8
     4. ①4.3, ②2.8

     정답 : []
     정답률 : 75%
     <문제 해설>
이론성적계수 (h2-h1)/(h1-h4)
실제 성적게수 (h2-h1)/(h1-h4)*압축효율*기계효율
[해설작성자 : comcbt.com 이용자]

아래와 같은 오류 신고가 있었습니다.
여러분들의 많은 의견 부탁 드립니다.
추후 여러분들의 의견을 반영하여 정답을 수정하도록 하겠습니다.
참고로 정답 변경은 오류 신고 5회 이상일 경우 수정합니다.

[오류 신고 내용]
위에 해설 이론성적계수 오류해설입니다.

이론성적계수 (h1-h4)/(h2-h1)
실제성적계수 (h1-h4)/(h2-h1)*압축효율*기계효율
[해설작성자 : 낌날두]

3과목 : 배관일반


41. 급탕 주관의 배관길이가 300m, 환탕 주관의 배관길이가 50m 일 때 강제순환식 온수순환 펌프의 전 양정은 얼마인가?
     1. 5m
     2. 3m
     3. 2m
     4. 1m

     정답 : []
     정답률 : 58%
     <문제 해설>
0.01(300/2+50)=2

42. 배관지지 금속 중 리스트레인트(restraint)에 속하지 않는 것은?
     1. 행거
     2. 앵커
     3. 스토퍼
     4. 가이드

     정답 : []
     정답률 : 73%
     <문제 해설>
리스트레인트 (Restraint) - 열팽창에 의한 배관의 좌우, 상하이동을 구속하고 제한하는 것
행거 : 배관의 하중을 위에서 걸어당겨 지지하는 것
[해설작성자 : 과천사람]

43. 동관의 이음으로 적합하지 않은 것은?
     1. 납땜 이음
     2. 플레어 이음
     3. 플랜지 이음
     4. 타이튼 이음

     정답 : []
     정답률 : 67%
     <문제 해설>
타이튼이음-주철관
동관이음
압축이음(플레어이음),플랜지이음,납땜이음
[해설작성자 : comcbt.com 이용자]

44. 배수관이나 통기관의 배관 후 누설 검사방법으로 적당하지 않은 것은?
     1. 수압시험
     2. 기압시험
     3. 연기시험
     4. 통관시험

     정답 : []
     정답률 : 65%
     <문제 해설>
배수 및 통기 배관 시험
수압시험,기압시험,연기시험,박하시험,통수시험
[해설작성자 : comcbt.com 이용자]

45. 배관 내 마찰 저항에 의한 압력 손실의 설명으로 옳은 것은?
     1. 관의 유속에 비례한다.
     2. 관 내경의 2승에 비례한다.
     3. 관 내경의 5승에 비례한다.
     4. 관의 길이에 비례한다.

     정답 : []
     정답률 : 59%

46. 고층 건물이나 기구수가 많은 건물에서 입상관까지의 거리가 긴 경우, 루프통기관의 효과를 높이기 위해 설치된 통기관은?
     1. 도피 통기관
     2. 결합 통기관
     3. 공용 통기관
     4. 신정 통기관

     정답 : []
     정답률 : 73%
     <문제 해설>
도피 통기관
배수 및 통기 양 계통간의 공기유통을 원활하게 하기위해 설치한다.루프통기관의 원활한 통기를 위해서 수직배수관
바로 앞에 설치한다
[해설작성자 : comcbt.com 이용자]

47. 다음 중 냉ㆍ온수 헤더에 설치하는 부속품이 아닌 것은?
     1. 압력계
     2. 드레인관
     3. 트랩장치
     4. 급수관

     정답 : []
     정답률 : 77%

48. 냉매배관 설계 시 잘못된 것은?
     1. 2중 입상관(Riser)사용시 트랩을 크게 한다.
     2. 과도한 압력강하를 방지한다.
     3. 압축기로 액체 냉매의 유입을 방지한다.
     4. 압축기를 떠난 윤활유가 일정비율로 다시 압축기로 되돌아 오게 한다.

     정답 : []
     정답률 : 80%
     <문제 해설>
2중 입상관의 트랩부는 가능한 작게하여 최소부하 시에도 오일을 회수할수 있도록 한다
[해설작성자 : 붉음돼지]

49. 압축공기 배관시공 시 일반적인 주의사항으로 틀린 것은?
     1. 공기 공급배관에는 필요한 개소에 드레인용 밸브를 장착한다.
     2. 주관에서 분기관을 취출할 때에는 관의 하단에 연결하여 이물질 등을 제거한다.
     3. 용접개소는 가급적 적게 하고 라인의 중간 중간에 여과기를 장착하여 공기중에 섞인 먼지 등을 제거한다.
     4. 주관 및 분기관의 관 끝에는 과잉의 압력을 제거하기 위한 불어내기(blow)용 게이트 밸브를 달아준다.

     정답 : []
     정답률 : 62%
     <문제 해설>
압축공기 배관 시공 시 모든 지관 또는 분기관은 주관의 상부로부터 취출하여야 한다.
[해설작성자 : 과천사람]

50. 도시가스 내 부취제의 액체 주입식 부취설비 방식이 아닌 것은?
     1. 펌프 주입 방식
     2. 적하 주입 방식
     3. 미터연결 바이패스 방식
     4. 위크식 주입 방식

     정답 : []
     정답률 : 70%
     <문제 해설>
증발 주입식
1. 위크식 주입법
2. 바이패스 주입법
3. 증발식 주입법
[해설작성자 : 제주도 홀쭉이]

51. 열을 잘 반사하고 확산하므로 난방용 방열기 표면 등의 도장용으로 사용되는 도료는?
     1. 광명단 도료
     2. 산화철 도료
     3. 합성수지 도료
     4. 알루미늄 도료

     정답 : []
     정답률 : 73%

52. 개별식 급탕법에 비해 중앙식 급탕법의 장점으로 적합하지 않은 것은?
     1. 배관의 길이가 짧아 열손실이 적다.
     2. 탕비 장치가 대규모이므로 열효율이 좋다.
     3. 초기시설비가 비싸지만 경상비가 적어 대규모 급탕에는 경제적이다.
     4. 일반적으로 다른 설비기계류와 동일한 장소에 설치되므로 관리상 유효하다.

     정답 : []
     정답률 : 65%
     <문제 해설>
배관의 길이가 짧아 열손실이 적은 것은 개별식 급탕법의 장점이다.
[해설작성자 : comcbt.com 이용자]

53. 방열기의 환수구에 설치하여 증기와 드레인을 분리하여 환수시키고 공기도 배출시키는 트랩은?
     1. 열동식 트랩
     2. 플로트 트랩
     3. 상향식 버킷트랩
     4. 충격식 트랩

     정답 : []
     정답률 : 55%
     <문제 해설>
열동식 트랩
휘발성 액체가 봉입된 금속제의 벨로즈를 내장한 트랩으로 소형이고 공기배출이 용이하여 많이 사용되고 있다
트랩내의 온도변화에 의하여 벨로즈를 신축시켜 배수밸브를 자동적으로 개폐하는 형식이다
[해설작성자 : comcbt.com 이용자]

54. 증기 또는 온수난방에서 2개 이상의 엘보를 이용하여 배관의 신축을 흡수하는 신축이음쇠는?
     1. 스위블형 신축이음쇠
     2. 벨로우즈형 신축이음쇠
     3. 볼 조인트형 신축이음쇠
     4. 슬리이브형 신축이음쇠

     정답 : []
     정답률 : 79%
     <문제 해설>
스위블형 신축이음쇠
2개 이상의 나사엘보를 사용하여 이음부 나사의 회전을 이용하여 배관의 신축을 흡수하는 것으로 주로 온수 또는 저압의 증기난방 등의 방열기 주위 배관용으로 사용된다
[해설작성자 : comcbt.com 이용자]

55. 배수설비에 대한 설명으로 틀린 것은?
     1. 건물 내에서 나오는 오수와 잡수 등을 배출한다.
     2. 펌프 유무에 따라 중력식과 기계식으로 분류한다.
     3. 정화조에서 정화되어 나오는 것은 처리할 수 없다.
     4. 오수, 잡수 등을 모아서 내 보내는 합류식이 있다.

     정답 : []
     정답률 : 81%
     <문제 해설>
3.정화조에서 정화되어 나오는 것은 처리할 수 없다.(처리할 수 있다)
[해설작성자 : comcbt.com 이용자]

56. 증기난방의 응축수 환수방법이 아닌 것은?
     1. 중력 환수식
     2. 기계 환수식
     3. 상향 환수식
     4. 진공 환수식

     정답 : []
     정답률 : 69%
     <문제 해설>
증기의 공급방식 : 상향 및 하향 공급식
[해설작성자 : comcbt.com 이용자]

57. 고온 배관용 탄소강관은 몇 ℃의 고온 배관에 사용되는가?
     1. 230℃이하
     2. 250 ~ 270℃
     3. 280 ~ 310℃
     4. 350℃이상

     정답 : []
     정답률 : 80%

58. 배관 재료에서의 열응력 요인이 아닌 것은?
     1. 열팽창에 의한 응력
     2. 열간가공에 의한 응력
     3. 용접에 의한 응력
     4. 안전밸브의 분출에 의한 응력

     정답 : []
     정답률 : 70%
     <문제 해설>
안전밸브의 분출에 의한 응력은 열 응력 요인이 아닌 유체의 내부압력에 의한 요인이다.

59. 급수설비에서 수격작용 방지를 위하여 설치하는 것은?
     1. 에어챔버(air chamber)
     2. 앵글밸브(angle valve)
     3. 서포트(support)
     4. 볼탭(ball tap)

     정답 : []
     정답률 : 84%

60. 보일러를 장기간 사용하지 않을 때 부식방지를 위하여 내부에 충진하는 가스로 적합한 것은?
     1. 이산화탄소
     2. 아황산가스
     3. 질소가스
     4. 산소가스

     정답 : []
     정답률 : 82%

61. 미리 정해진 프로그램에 따라 제어량을 변화시키는 것을 목적으로 한 제어는?
     1. 정치제어
     2. 추종제어
     3. 프로그램제어
     4. 비례제어

     정답 : []
     정답률 : 77%

62. 전력선, 전기기기 등 보호대상에 발생한 이상상태를 검출하여 기기의 피해를 경감시키거나 그 파급을 저지하기 위하여 사용되는 것은?
     1. 보호계전기
     2. 보조계전기
     3. 전자접촉기
     4. 시한계전기

     정답 : []
     정답률 : 83%

63. 자동제어를 분류할 때 제어량에 의한 분류가 아닌 것은?
     1. 정치제어
     2. 서보기구
     3. 프로세스제어
     4. 자동조정

     정답 : []
     정답률 : 47%
     <문제 해설>
제어량에 의한 분류
프로세스 제어,서보기구,자동조정

목표값의 시간적변화에 의한 분류
정치제어,추치제어
[해설작성자 : comcbt.com 이용자]

64. 서미스터에 대한 설명으로 옳은 것은?
     1. 열을 감지하는 감열 저항체 소자이다.
     2. 온도상승에 따라 전자유도현상이 크게 발생되는 소자이다.
     3. 구성은 규소, 아연, 납 등을 혼합한 것이다.
     4. 화학적으로는 수소화물에 해당된다.

     정답 : []
     정답률 : 69%

65. 다음의 논리식 중 다른 값을 나타내는 논리식은?
     1.
     2. X(X+Y)
     3.
     4. X+XY

     정답 : []
     정답률 : 65%

66. 직렬공진 시 RLC 직렬회로에 대한 설명으로 잘못된 것은?
     1. 회로에 흐르는 전류는 최대가 된다.
     2. 회로에는 유효전력이 발생되지 않는다.
     3. 회로의 합성 임피던스가 최소가 된다.
     4. R에 걸리는 전압이 공급전압과 같게 된다.

     정답 : []
     정답률 : 57%
     <문제 해설>
1. 유도성 리액턴스와 용량성 리액턴스가 같게 되므로 임피던스가 최소가 되며 무효전력이 발생하지 않는다
2. 전류가 최대가 되고 유효전력이 최대가 된다
[해설작성자 : comcbt.com 이용자]

67. 금속 도체의 전지저항은 일반적으로 온도와 어떤 관계가 있는가?
     1. 온도 상승에 따라 감소한다.
     2. 온도와는 무관하다.
     3. 저온에서 증가하고 고온에서 감소한다.
     4. 온도 상승에 따라 증가한다.

     정답 : []
     정답률 : 66%
     <문제 해설>
금속도체에 전류가 흐르면 열이 발생 => 저항이 증가. =    온도 상승에 따라 저항도 증가

68. 60[Hz]에서 회전하고 있는 4극 유도전동기의 출력이 10[kW]일 때 전동기의 토크는 약 몇 [Nㆍm]인가?
     1. 48
     2. 53
     3. 63
     4. 84

     정답 : []
     정답률 : 48%
     <문제 해설>
1. 회전수N = 120f/P(극수) = 120*60/4 = 1800[rpm분당회전수]

2. T토크=P전력/w각속도 = P/2πf = P/2πn(rps=초당회전수)
1번 공식의 분당회전수를 이용하여 2번공식의 초당회전수를 구함

즉, T = 10000/ 2π* (1800/60) = 53.05
[해설작성자 : 계산문제패스]

69. 조절부로부터 받은 신호를 조작량으로 바꾸어 제어대상에 보내주는 피드백 제어의 구성요소는?
     1. 궤한신호
     2. 조작부
     3. 제어량
     4. 신호부

     정답 : []
     정답률 : 64%

70. 논리함수 X=B(A+B)를 간단히 하면?
     1. X=A
     2. X=B
     3. X=AㆍB
     4. X=A+B

     정답 : []
     정답률 : 69%
     <문제 해설>
x=B(A+B)
=BA+BB
=BA+B
=B(A+1)
=B*1
=B
[해설작성자 : 오늘이 시험인데 한방에 똭]

71. sin⍵t를 라플라스 변환하면?
     1.
     2.
     3.
     4.

     정답 : []
     정답률 : 72%

72. 정성적 제어에서 전열기의 제어 명령이 되는 신호는 전열기에 흐르는 전류를 흐르게 한다단가 아니면 차단하면 된다. 이와 같은 신호를 무엇이라 하는가?
     1. 목표값 신호
     2. 제어 신호
     3. 2진 신호
     4. 3진 신호

     정답 : []
     정답률 : 68%
     <문제 해설>
정성적 제어에서와 같이 양자 택일의 상태로 구별되는 것, 즉, 0과 1 두 개의 신호로만 되는 것
[해설작성자 : 과천사람]

73. 3상 부하가 Y결선되어 각 상의 임피던스가 Za=3[Ω], Zb=3[Ω], Zc=j3[Ω]이다. 이 부하의 영상임피던스는 몇 [Ω]인가?
     1. 2+j1
     2. 3+j3
     3. 3+j6
     4. 6+j3

     정답 : []
     정답률 : 50%
     <문제 해설>
1/3(3+3+i3)=2+i
[해설작성자 : comcbt.com 이용자]

아래와 같은 오류 신고가 있었습니다.
여러분들의 많은 의견 부탁 드립니다.
추후 여러분들의 의견을 반영하여 정답을 수정하도록 하겠습니다.
참고로 정답 변경은 오류 신고 5회 이상일 경우 수정합니다.

[오류 신고 내용]
위 해설 이상합니다.
Z/3 = (3+3)+j3/3 = 2*j1
[해설작성자 : 낌날두]

74. 전동기의 회전방향과 전자력에 관계가 있는 법칙은?
     1. 플레밍의 왼손법칙
     2. 플레밍의 오른손법칙
     3. 패러데이의 법칙
     4. 암페어의 법칙

     정답 : []
     정답률 : 71%
     <문제 해설>
전동기의 회전방향:플레밍의 왼손법칙
발전기의 회전방향:플레밍의 오른손법칙
[해설작성자 : comcbt.com 이용자]

75. 서보기구의 제어량에 속하는 것은?
     1. 유량
     2. 압력
     3. 밀도
     4. 위치

     정답 : []
     정답률 : 78%

76. 안정될 필요조건을 갖춘 특성방정식은?
     1. s4+2s2+5s+5=0
     2. s3+s2-3s+10=0
     3. s3+3s2+3s-3=0
     4. s3+6s2+10s+9=0

     정답 : []
     정답률 : 74%
     <문제 해설>
안정조건
1. 모든계의 부호가 동일 할 것.
2. 계수중 어느 하나라도 "0"이 아닐 것.
3. 1열의 부호 변화가 없을 것.
[해설작성자 : 초보]

77. 200[V]의 전압에서 2[A]의 전류가 흐르는 전열기를 2시간 동안 사용했을 때의 소비전력량은 몇 [kWh]인가?
     1. 0.4
     2. 0.6
     3. 0.8
     4. 1.0

     정답 : []
     정답률 : 62%
     <문제 해설>
200*2*2=800(W)
KW=800/1000=0.8
[해설작성자 : 호]

78. 2 전력계법으로 전력을 측정하였더니 P1=4[W], P2=3[W]이었다면 부하의 소비전력은 몇 [W] 인가?
     1. 1
     2. 5
     3. 7
     4. 12

     정답 : []
     정답률 : 69%
     <문제 해설>
1전력계 = 3P1
2전력계 = P1+P2
3전력계 = P1+P2+P3

79. 그림과 같은 RLC 직렬회로에서 직렬공진회로가 되어 전류와 전압의 위상이 동위상이 되는 조건은?

    

     1. XL>XC
     2. XLC
     3. XL-XC=0
     4. XL-XC=R

     정답 : []
     정답률 : 67%

80. 맥동 주파수가 가장 많고 맥동률이 가장 적은 정류방식은?
     1. 단상 반파정류
     2. 단상 전파정류
     3. 3상 반파정류
     4. 3상 전파정류

     정답 : []
     정답률 : 70%


정 답 지

1

2

3

4

5

6

7

8

9

10

11

12

13

14

15

16

17

18

19

20

21

22

23

24

25

26

27

28

29

30

31

32

33

34

35

36

37

38

39

40

41

42

43

44

45

46

47

48

49

50

51

52

53

54

55

56

57

58

59

60

61

62

63

64

65

66

67

68

69

70

71

72

73

74

75

76

77

78

79

80

공조냉동기계산업기사 필기 기출문제(해설) 및 CBT 2013년03월10일을 이용해 주셔서 감사합니다.
, 필기, 기출문제, 전자문제집, CBT, 온라인, 모의테스트, 모의고사



List of Articles
번호 제목 글쓴이 날짜 조회 수
5415 공조냉동기계산업기사 필기 기출문제(해설) 및 CBT 2005년05월29일(7519) 좋은아빠되기 2025.10.07 0
5414 공조냉동기계산업기사 필기 기출문제(해설) 및 CBT 2005년08월07일(7520) 좋은아빠되기 2025.10.07 0
5413 공조냉동기계산업기사 필기 기출문제(해설) 및 CBT 2006년03월05일(7521) 좋은아빠되기 2025.10.07 0
5412 공조냉동기계산업기사 필기 기출문제(해설) 및 CBT 2006년08월16일(7522) 좋은아빠되기 2025.10.07 0
5411 공조냉동기계산업기사 필기 기출문제(해설) 및 CBT 2007년03월04일(7523) 좋은아빠되기 2025.10.07 0
5410 공조냉동기계산업기사 필기 기출문제(해설) 및 CBT 2007년05월13일(7524) 좋은아빠되기 2025.10.07 0
5409 공조냉동기계산업기사 필기 기출문제(해설) 및 CBT 2008년03월02일(7525) 좋은아빠되기 2025.10.07 0
5408 공조냉동기계산업기사 필기 기출문제(해설) 및 CBT 2008년05월11일(7526) 좋은아빠되기 2025.10.07 0
5407 공조냉동기계산업기사 필기 기출문제(해설) 및 CBT 2008년07월27일(7527) 좋은아빠되기 2025.10.07 0
5406 공조냉동기계산업기사 필기 기출문제(해설) 및 CBT 2009년05월10일(7528) 좋은아빠되기 2025.10.07 0
5405 공조냉동기계산업기사 필기 기출문제(해설) 및 CBT 2010년03월07일(7529) 좋은아빠되기 2025.10.07 0
5404 공조냉동기계산업기사 필기 기출문제(해설) 및 CBT 2010년05월09일(7530) 좋은아빠되기 2025.10.07 0
5403 공조냉동기계산업기사 필기 기출문제(해설) 및 CBT 2010년07월25일(7531) 좋은아빠되기 2025.10.07 0
5402 공조냉동기계산업기사 필기 기출문제(해설) 및 CBT 2011년03월20일(7532) 좋은아빠되기 2025.10.07 0
5401 공조냉동기계산업기사 필기 기출문제(해설) 및 CBT 2011년06월12일(7533) 좋은아빠되기 2025.10.07 0
5400 공조냉동기계산업기사 필기 기출문제(해설) 및 CBT 2011년08월21일(7534) 좋은아빠되기 2025.10.07 0
5399 공조냉동기계산업기사 필기 기출문제(해설) 및 CBT 2012년03월04일(7535) 좋은아빠되기 2025.10.07 0
5398 공조냉동기계산업기사 필기 기출문제(해설) 및 CBT 2012년05월20일(7536) 좋은아빠되기 2025.10.07 0
5397 공조냉동기계산업기사 필기 기출문제(해설) 및 CBT 2012년08월26일(7537) 좋은아빠되기 2025.10.07 0
» 공조냉동기계산업기사 필기 기출문제(해설) 및 CBT 2013년03월10일(7538) 좋은아빠되기 2025.10.07 0
Board Pagination Prev 1 ... 355 356 357 358 359 360 361 362 363 364 ... 630 Next
/ 630