자격증 필기 기출문제



소방설비산업기사(전기) 필기 기출문제(해설) 및 CBT 2004년09월05일(7691)

최강 자격증 기출문제 전자문제집 CBT : www.comcbt.com


전자문제집 CBT란?

종이 문제집이 아닌 인터넷으로 문제를 풀고 자동으로 채점하며 모의고사, 오답 노트, 해설까지 제공하는
무료 기출문제 학습 프로그램으로 실제 상설검정에서 사용하는 OMR 형식의 CBT를 제공합니다.


최신 소방설비산업기사(전기) 필기 기출문제 : [다운로드]

1과목 : 소방원론


1. 콘크리트에 대한 설명 중 틀린 것은?
     1. 콘크리트와 강재의 열팽창률은 거의 같다.
     2. 콘크리트의 열전도율은 목재보다 적다.
     3. 콘크리트는 장시간 화재에 노출되면 강도는 저하한다.
     4. 콘크리트는 인장력에 대하여 아주 약하다.

     정답 : []
     정답률 : 48%

2. 연소시 전형적인 분해연소의 특성을 보여주는 것은?
     1. 목재
     2. 나프탈렌
     3. 휘발유
     4. 흑연

     정답 : []
     정답률 : 78%

3. 초기화재의 소화용으로 사용되지 않는 것은?
     1. 스프링클러설비
     2. 소화기
     3. 옥내소화전설비
     4. 연결송수관설비

     정답 : []
     정답률 : 93%
     <문제 해설>
연결송수관 설비는 소화활동설비로 소방관들이 사용하는 설비이다.
[해설작성자 : ㅇㅇㅈ]

4. 가연성 증기를 발생하는 액체 또는 고체와 공기의 계에 있어서 기체상 부분에 다른 불꽃이 닿았을 때 연소가 일어나는데 필요한 액체 또는 고체의 최저온도가 존재한다. 이 온도를 어떤 점이라 하는가?
     1. 발화점(ignition point)
     2. 인화점(flash point)
     3. 연소점(fire point)
     4. 산화점(oxidation point)

     정답 : []
     정답률 : 74%

5. 중질유의 석유탱크에서 장시간 조용히 연소하다 탱크내의 잔존기름이 갑자기 분출하는 현상을 무엇이라고 하는가?
     1. 프로스오버(Froth over)
     2. 슬롭오버(Slop over)
     3. 플래시오버(Flash over)
     4. 보일오버(Boil over)

     정답 : []
     정답률 : 70%

6. 건축물의 주요구조부에 해당하는 것은?
     1. 작은 보
     2. 옥외계단
     3. 지붕틀
     4. 최하층 바닥

     정답 : []
     정답률 : 76%
     <문제 해설>
벽, 기둥, 바닥, 보, 지붕, 주계단
여기서 "보"란 수직구조물인 기둥위에 인장력이 강한 구조물을 수평으로 설치하는 구조재이다.

7. 다음 원소 중에서 난연 성능이 없는 것은?
     1. 인(P)
     2. 안티몬(Sb)
     3. 아연(Zn)
     4. 비소(As)

     정답 : []
     정답률 : 43%

8. 불티가 바람에 날리거나 또는 화재 현장에서 상승하는 열기류 중심에 휩쓸려 원거리 가연물에 착화하는 현상을 무엇이라 하는가?
     1. 비화
     2. 전도
     3. 대류
     4. 복사

     정답 : []
     정답률 : 62%

9. 다음은 LNG에 대한 설명이다. 잘못된 것은?
     1. 투명하면서 무색의 기체로 누설시 쉽게 인지하기 위하여 부취제를 첨가한다.
     2. 증기비중이 낮기 때문에 누설시 창문틈 등을 통하여 밖으로 배출된다.
     3. 탄소와 수소로 이루어진 기체 탄화수소이다.
     4. 프로판과 부탄이 주성분이다.

     정답 : []
     정답률 : 53%

10. 다음 위험물 중에서 물을 사용하여 소화하면 더 위험해지는 것은?
     1. 피크린산
     2. 질산암모늄
     3. 알루미늄분
     4. 질화면

     정답 : []
     정답률 : 52%

11. 프로판가스는 소방안전관리상 위험하다. 그 이유로 가장 적당한 것은?
     1. 프로판가스는 상온에서 기체상태로 존재하며 폭발범위가 수소보다 넓다.
     2. 프로판가스는 연소하한계 값이 높아 화재위험성이 낮다.
     3. 프로판가스의 비중은 공기보다 무거워 바닥에 가라 앉는다.
     4. 프로판가스는 도시가스보다 비중이 가볍다.

     정답 : []
     정답률 : 53%

12. 내화구조에 해당되는 것은?
     1. 철망 모르타르 바르기로 그 두께가 2cm인 것
     2. 시멘트 모르타르 위에 타일을 붙여 그 두께가 2.5cm인 것
     3. 철골에 두께 5cm의 콘크리트를 덮은 것
     4. 무근 콘크리트조로서 그 두께가 5cm인 것

     정답 : []
     정답률 : 58%

13. 건축물에 있어서 화재시 연소의 확대를 방지하기 위하여 방화구획을 설정하고 있다. 이때 방화 구획의 구획기준이 아닌 것은?
     1. 피난구획
     2. 수평구획
     3. 수직구획
     4. 용도구획

     정답 : []
     정답률 : 61%

14. 지하 주차장에 사용할 수 있는 법정 분말 소화약제는?
     1. 인산염계
     2. 탄화수소나트륨계
     3. 탄화수소칼륨계
     4. 탄화수소칼륨과 요소계

     정답 : []
     정답률 : 63%

15. 분말소화약제 중 A, B, C급의 어떤 화재에도 사용할 수 있는 것은?
     1. 제3종 분말소화약제
     2. 제1종 분말소화약제
     3. 제2종 분말소화약제
     4. 제4종 분말소화약제

     정답 : []
     정답률 : 77%

16. 건물의 굴뚝효과(stack effect)에 관한 설명 중 옳지 않은 것은?
     1. 평상시 건물내의 기류분포를 지배하는 중요한 요소이며, 화재시 연기의 이동에 큰 영향을 미친다.
     2. 실내 온도가 실외 온도보다 높은 경우, 저층부에서는 외부에서 실내 방향으로 공기의 흐름이 생긴다.
     3. 고층건물에서는 잘 나타나지 않고 주로 저층 건물에서 나타나는 효과이다.
     4. 온도에 따른 공기의 밀도차 때문에 발생되는 공기의 흐름 현상이다.

     정답 : []
     정답률 : 88%

17. 화재시 연기가 인체에 영향을 미치는 요인 중 가장 나쁜 것은?
     1. 연기 중의 부유물질
     2. 일산화탄소의 증가와 산소의 감소
     3. 연기 중의 고정탄소의 양
     4. 연기 속에 포함된 수분의 양

     정답 : []
     정답률 : 89%

18. 가스화재 진압시 최우선적으로 취해야 하는 조치는?
     1. 가스 누출원을 차단한다.
     2. 누출된 가스를 안전하게 확산시킨다.
     3. 용기, 탱크 등을 식힌다.
     4. 경계구역을 설정한다.

     정답 : []
     정답률 : 83%

19. 다음 설명 중 잘못된 것은?
     1. 발열량은 고발열량과 저발열량으로 나눈다.
     2. 발열량이란 단위량의 연료가 25℃, 1atm하에서 완전연소될 때 발생하는 열량을 말한다.
     3. 실질적으로 사용되는 발열량은 저발열량이다.
     4. 저발열량은 연소시 생성된 수증기의 증발잠열을 제외한 값이다.

     정답 : []
     정답률 : 46%

20. 특수가연물에 해당되지 않는 것은?
     1. 면화류
     2. 사류
     3. 볏짚류
     4. 메틸알코올

     정답 : []
     정답률 : 74%

2과목 : 소방전기회로


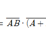
21. 불대수의 정리가 틀린 것은?
     1.
     2. X+1=1
     3. X+XY=X
     4. X+Y=XY

     정답 : []
     정답률 : 51%

22. 계전기 접점의 불꽃을 소거할 목적으로 사용되는 반도체 소자는?
     1. 바리스터
     2. 더미스터
     3. 바랙터 다이오드
     4. 터널 다이오드

     정답 : []
     정답률 : 71%

23. 그림과 같은 회로의 명칭은?

    

     1. 정지우선 자기유지회로
     2. 한시접점회로
     3. 인터록회로
     4. 플립플롭회로

     정답 : []
     정답률 : 64%

24. 전압 200V, 주파수 60Hz, 4극 10HP인 3상 유도전동기의 동기속도는 몇 rpm인가? (단, 이때 전동기의 역률은 0.85라고 한다.)
     1. 1200
     2. 1800
     3. 2400
     4. 3600

     정답 : []
     정답률 : 57%

25. 내부저항이 무한대인 전압계로 그림 A-B간의 전압을 측정하면 몇 V가 되는가?

    

     1. 0
     2. 1.5
     3. 2
     4. 3

     정답 : []
     정답률 : 65%

26. 0.5H인 코일의 리액턴스가 753.6Ω일 때 주파수는 몇 Hz인가?
     1. 60
     2. 120
     3. 240
     4. 360

     정답 : []
     정답률 : 50%

27. 자체인덕턴스가 각각 250mH, 360mH인 두코일이 있다. 두 코일 사이의 상호인덕턴스가 210mH라면 결합계수는 얼마인가?
     1. 0.3
     2. 0.5
     3. 0.7
     4. 0.8

     정답 : []
     정답률 : 49%

28. 100kVA 변압기 2대로 공급할 수 있는 3상전력은 최대 몇 kVA인가?
     1. 150
     2. 173
     3. 200
     4. 300

     정답 : []
     정답률 : 75%

29. 단면적이 5cm2인 도체가 있다. 이 단면을 3초 동안 30C의 전하가 이동하면 전류는 몇 A인가?
     1. 2
     2. 10
     3. 20
     4. 90

     정답 : []
     정답률 : 64%
     <문제 해설>
Q = It
I = Q/t = 30/3 =10A
[해설작성자 : comcbt.com 이용자]

30. 자동제어 분류에서 제어량에 의한 분류가 아닌 것은?
     1. 프로세스제어
     2. 자동조정
     3. 서보기구
     4. 정치제어

     정답 : []
     정답률 : 33%

31. 목표값이 미리 정해진 시간적 변화를 하는 경우 제어량을 그것에 추종시키기 위한 제어는?
     1. 추종제어
     2. 정치제어
     3. 비율제어
     4. 프로그래밍제어

     정답 : []
     정답률 : 34%

32. 소비전력이 가장 큰 것은?
     1. 100V의 전압에 8A의 전류가 흐를 때
     2. 110V의 전압에 10A의 전류가 흐를 때
     3. 220V의 전압에 3A의 전류가 흐를 때
     4. 380V의 전압에 2A의 전류가 흐를 때

     정답 : []
     정답률 : 68%

33. 조절부와 조작부로 이루어진 것을 무엇이라 하는가?
     1. 제어요소
     2. 제어대상
     3. 피드백요소
     4. 기준입력요소

     정답 : []
     정답률 : 65%

34. 전기계기에서 측정하려는 전기적인 양에 비례하는 구동토크를 일으키는 장치로서 가동 부분을 동작시키는 장치는?
     1. 구동장치
     2. 제어장치
     3. 제동장치
     4. 반발장치

     정답 : []
     정답률 : 67%

35. 선간전압이 220V인 3상 전원에 임피던스가 Z=8+j6[Ω]인 3상 Y부하를 연결할 경우 상전류는 몇 A인가?
     1. 5
     2. 12.7
     3. 18.4
     4. 22

     정답 : []
     정답률 : 62%

36. 개루프 시스템의 주된 장점이 아닌 것은?
     1. 원하는 출력을 얻기 위해서 보정을 해 줄 필요가 없다.
     2. 시스템을 구성하기가 쉽다.
     3. 시스템의 구성단가가 낮다.
     4. 보수 및 유지관리가 간단하다.

     정답 : []
     정답률 : 58%

37. 각종 소방설비의 표시등에 많이 사용되는 발광다이오드[L.E.D]에 대한 설명이다. 잘못된 것은 어느 것인가?
     1. 전구에 비해 수명이 길고 진동에 강하다.
     2. PN 접합에 순방향 전류를 흘림으로써 발광시킨다.
     3. 표시등 중에서 응답속도가 가장 느리다.
     4. 발광다이오드의 재료로 GaAs, GaP 등이 사용된다.

     정답 : []
     정답률 : 77%

38. 이상적인 연산증폭기(OP-Amp)의 특징이 아닌 것은?
     1. 고입력 임피던스
     2. 넓은 주파수 특성
     3. 저출력 임피던스
     4. 낮은 개루프 이득

     정답 : []
     정답률 : 59%

39. 30F의 콘덴서 3개를 직렬로 연결하면 합성 정전 용량은 몇 F인가?
     1. 10
     2. 30
     3. 60
     4. 90

     정답 : []
     정답률 : 46%

40. 기전력이 각각 E1 및 E2인 전지를 그림과 같이 접속했을 때 A, B간의 전류가 0이 되기 위한 조건은?

    

     1. R1E1=E2E2
     2. R1E2=R2E1
     3. R1E2=R1E2
     4. R1E2=R2

     정답 : []
     정답률 : 51%

3과목 : 소방관계법규


41. 화재예방, 소방활동, 소방훈련을 위하여 사용되는 소방신호의 종류와 방법은 무엇으로 정하는가?
     1. 지방자치령
     2. 대통령령
     3. 행정안전부령
     4. 치안본부령

     정답 : []
     정답률 : 57%

42. 화재경계지구의 지정대상지역이 아닌 것은?
     1. 공장이 밀집한 지역
     2. 고층건물이 많은 지역
     3. 위험물의 저장 및 처리시설이 밀집한 지역
     4. 소방시설 또는 소방출동로가 없는 지역

     정답 : []
     정답률 : 64%

43. 소방본부장 또는 소방서장이 화재예방이나 소화 활동을 위하여 명령할 수 있는 사항이 아닌 것은 어느 것인가?
     1. 불장난, 흡연의 금지 또는 제한
     2. 화기가 있을 우려가 있는 재의 처리
     3. 방치되어 있는 위험물의 이동
     4. 연소의 우려가 있는 소유자 불명의 물질에 대한 폐기

     정답 : []
     정답률 : 43%

44. 화재의 현장에 소방활동구역을 설정하여 그 구역의 출입을 제한시킬 수 있는 사람은?
     1. 소방안전관리자
     2. 소방대상물의 관계인
     3. 구역내에 있는 소방대상물의 근무자
     4. 소방대장

     정답 : []
     정답률 : 75%

45. 소방신호의 종류 중에서 타종신호방법이 난타인 신호는?
     1. 경계신호
     2. 발화신호
     3. 해제신호
     4. 훈련신호

     정답 : []
     정답률 : 60%

46. 소방청장, 소방본부장 또는 소방서장이 실시하는 소방특별조사의 서면통지일로 옳은 것은?
     1. 24시간 전
     2. 24시간 후
     3. 7일 전
     4. 7일 후

     정답 : []
     정답률 : 71%

47. 소방시설관리사가 되고자 하는 사람은 누가 실시하는 시험에 합격하여야 하는가?
     1. 소방청장
     2. 소방서장
     3. 경찰서장
     4. 고용노동부장관

     정답 : []
     정답률 : 59%

48. 소화활동설비에 해당되는 것은?
     1. 상수도소화용수설비
     2. 비상콘센트설비
     3. 옥내소화전설비
     4. 비상방송설비

     정답 : []
     정답률 : 44%
     <문제 해설>
-소화활동설비-
연결송수관설비
연결살수설비
비상콘센트설비
제연설비
무선통신보조설비
[해설작성자 : 문정시설설비]

49. 제연설비는 어느 설비에 해당하는가?
     1. 소화설비
     2. 소화활동설비
     3. 경보설비
     4. 피난설비

     정답 : []
     정답률 : 57%

50. 옥외소화전설비를 설치하여야 할 소방대상물은 지상 1층 및 2층의 바닥면적의 합계가 몇 m2 이상인 것인가?
     1. 3000
     2. 6000
     3. 9000
     4. 12000

     정답 : []
     정답률 : 28%

51. 층수가 몇 층 이상인 관광호텔에는 반드시 인명 구조기구를 설치하여야 하는가?
     1. 5
     2. 7
     3. 9
     4. 11

     정답 : []
     정답률 : 45%

52. 운동시설로서 무대부의 바닥면적이 몇 m2 이상인 경우 제연설비를 설치하여야 하는가?
     1. 200
     2. 300
     3. 400
     4. 500

     정답 : []
     정답률 : 38%

53. 비상경보설비를 설치하여야 할 특정소방대상물 중 잘못된 것은?
     1. 50인 이상의 근로자가 작업하는 옥내작업장
     2. 지하가 중 터널로서 길이가 500m 이상인 것
     3. 연면적이 500m2 이상인 것
     4. 지하층 또는 무창층의 바닥면적이 150m2 이상인 것

     정답 : []
     정답률 : 40%

54. 근린생활시설, 위락시설, 숙박시설 등은 연면적 몇 m2 이상인 경우에 자동화재탐지설비를 설치 하여야 하는가?
     1. 400
     2. 600
     3. 800
     4. 1000

     정답 : []
     정답률 : 67%

55. 소방공사감리업의 종류별 구분으로 옳은 것은?
     1. 제1종 소방공사감리업 및 제2종 소방공사감리업
     2. 갑종 소방공사감리업 및 을종 소방공사감리업
     3. 일반 소방공사감리업 및 특수 소방공사감리업
     4. 전문 소방공사감리업 및 일반 소방공사감리업

     정답 : []
     정답률 : 53%

56. 소방시설업자가 등록사항의 변경을 신고하지 않아도 되는 것은?
     1. 영업소의 소재지
     2. 사무실 임대계약 금액
     3. 상호 또는 명칭
     4. 기술인력

     정답 : []
     정답률 : 79%

57. 전문소방시설설계업을 등록하고자 할 때 주된 기술인력에 대한 기준에 맞는 것은?
     1. 기계분야 또는 전기분야 소방설비기사 자격자 1명 이상
     2. 기계분야 소방설비기사 자격자 1명 이상 과 전기분야 소방설비산업기사 자격자 1명이상
     3. 기계분야와 전기분야를 겸하여 취득한 경우에는 겸하여 취득한 소방설비기사 자격자 1명 이상
     4. 소방기술사 1명 이상

     정답 : []
     정답률 : 65%

58. 1급 소방안전관리대상물에 두어야 할 소방안전관리자로 선임될 수 없는 사람은?
     1. 위험물기능사 자격을 가진 사람으로서 위험물 안전관리자로 선임된 사람
     2. 소방공무원으로 7년 이상 근무한 경력이 있는 사람
     3. 소방설비기사 또는 소방설비산업기사의 자격을 가진 사람
     4. 경위 이상의 경찰공무원으로 3년 이상 근무한 경력이 있는 사람

     정답 : []
     정답률 : 62%

59. 위험물 옥내저장소에 6류 위험물을 저장할 경우 하나의 저장창고 바닥면적은 몇 m2 이하로 하여야 하는가?
     1. 300
     2. 500
     3. 800
     4. 1000

     정답 : []
     정답률 : 25%

60. 공사를 수행중인 소방시설공사업자에게 등록의 취소 또는 영업의 정지처분 등이 있는 경우에는 지체없이 누구에게 알려야 하는가?
     1. 해당 지역의 소방본부장 또는 소방서장
     2. 등록하였던 해당 관청
     3. 공사중인 특정소방대상물의 관계인
     4. 해당 지역의 소방안전협회

     정답 : []
     정답률 : 40%

61. 옥내소화전설비의 표시등에 대한 설명으로 옳은 것은?
     1. 위치표시등과 기동표시등은 모두 불이 켜진 상태로 있어야 한다.
     2. 위치표시등과 기동표시등은 모두 불이 켜지지 않은 상태로 있어야 한다.
     3. 위치표시등은 평상시 불이 켜지지 않은 상태로 있어도 된다.
     4. 기동표시등은 평상시 불이 켜지지 않은 상태로 있어야 한다.

     정답 : []
     정답률 : 44%

62. 자동화재속보설비의 속보기는 화재시에 화재속보를 계속해서 몇 회 이상 속보할 수 있어야 하는가?
     1. 1
     2. 2
     3. 3
     4. 5

     정답 : []
     정답률 : 71%

63. 정온식 감지선형 감지기 설치에서 감지선형 감지기의 굴곡반경은 몇 cm 이상으로 하여야 하는가?
     1. 2
     2. 3
     3. 5
     4. 6

     정답 : []
     정답률 : 64%

64. 자동화재탐지설비의 발신기는 소방대상물의 층마다 설치하되, 해당 소방대상물의 각 부분으로 부터 하나의 발신기까지의 수평거리가 몇 m 이하가 되도록 하여야 하는가?
     1. 15
     2. 20
     3. 25
     4. 30

     정답 : []
     정답률 : 66%

65. 발신기를 분류한 것으로 옳은 것은?
     1. M형
     2. T형
     3. G형
     4. P형

     정답 : []
     정답률 : 62%

66. P형 수신기에 대한 설명 중 틀린 것은?(오류 신고가 접수된 문제입니다. 반드시 정답과 해설을 확인하시기 바랍니다.)
     1. 화재표시 작동시험을 할 수 있을 것
     2. 외부배선의 도통시험을 할 수 있을 것
     3. 예비전원의 양부를 시험할 수 있을 것
     4. 회선수가 5 이하일 것

     정답 : []
     정답률 : 54%
     <문제 해설>
아래와 같은 오류 신고가 있었습니다.
여러분들의 많은 의견 부탁 드립니다.
추후 여러분들의 의견을 반영하여 정답을 수정하도록 하겠습니다.
참고로 정답 변경은 오류 신고 5회 이상일 경우 수정합니다.

[오류 신고 내용]
답 2번입니다. 외부배선이 아니라 수신기와 감지기 사이의 도통시험장치 입니다. 4번 지문은 맞는 말입니다.
[해설작성자 : 전기 공부]

[관리자 입니다.
다른 문제집 확인 가능한분 계시면 확인 부탁 드립니다.
신고시 출판사명까지 기제 부탁 드립니다.]

67. 부착면의 높이가 8m 이상 15m 미만의 장소에는 사용하지 않는 감지기는?
     1. 차동식 분포형
     2. 정온식 스포트형
     3. 이온화식 2종
     4. 광전식 1종

     정답 : []
     정답률 : 41%

68. R형 수신기의 특징으로 틀린 것은?
     1. 선로수가 적게 들어 경제적이다.
     2. 증설 또는 이설이 비교적 용이하다.
     3. 중계기를 거치지 않음으로 신속하다.
     4. 신호의 전달이 정확하다.

     정답 : []
     정답률 : 59%

69. 제연설비의 비상전원은 제연설비를 몇 분간 유효하게 동작할 수 있어야 하는가? (단, 30층 미만이다.)
     1. 10
     2. 20
     3. 30
     4. 60

     정답 : []
     정답률 : 44%
     <문제 해설>
제연설비 비상전원 20분
30층 이상 40분
[해설작성자 : 2기 송호연]

70. 자동화재탐지설비의 주된 요소가 아닌 것은?
     1. 수신기
     2. 감지기와 배선
     3. 음향장치
     4. 누전경보기

     정답 : []
     정답률 : 57%

71. 비상콘센트설비의 설치기준으로 옳지 않은 것은 어느 것인가?
     1. 지하층을 제외한 층수가 11층 이상의 각층에 설치할 것
     2. 바닥으로부터 높이 0.8m 이상, 1.5m 이하의 위치에 설치할 것
     3. 해당 층의 각 부분으로부터 보행거리 50m이하마다 설치할 것
     4. 단상교류 200V의 것에는 접지형 2극플러그 접속기를 사용할 것

     정답 : []
     정답률 : 29%
     <문제 해설>
비상콘센트 설치기준
해당 층의 각 부분으로부터 수평거리 50m 이하 마다 설치할 것
[해설작성자 : 2기 송호연]

72. 자동화재탐지설비에서 수신기의 조작스위치는 바닥으로부터의 높이가 몇 m 이상, 몇 m 이하인 장소에 설치하여야 하는가?
     1. 0.3m 이상, 0.8m 이하
     2. 0.5m 이상, 1.2m 이하
     3. 0.8m 이상, 1.5m 이하
     4. 1m 이상, 1.8m 이하

     정답 : []
     정답률 : 85%

73. 1급 누전경보기는 경계전로의 정격전류가 몇 A를 초과하는 전로에 설치하는가?
     1. 60
     2. 50
     3. 40
     4. 30

     정답 : []
     정답률 : 72%

74. 주요 구조부를 내화구조로 한 소방대상물에 감지기의 부착높이를 4m 미만으로 부착한 보상식 스포트형 2종 감지기 1개의 감지면적은 몇 m2를 기준하는가?
     1. 90
     2. 70
     3. 40
     4. 25

     정답 : []
     정답률 : 36%

75. 비상방송설비에서 확성기를 실외에 설치하는 경우 확성기의 음성입력은 몇 W 이상이어야 하는가?
     1. 1
     2. 2
     3. 3
     4. 4

     정답 : []
     정답률 : 82%

76. P형 수신기의 감지기회로 배선을 공통선으로 사용한 때에 하나의 공통선은 몇 경계구역 이하로 하여야 하는가?
     1. 3
     2. 5
     3. 7
     4. 15

     정답 : []
     정답률 : 47%

77. 자동화재탐지설비의 수신기 전면에 전압계의 지시치가 0일 경우 그 원인으로 볼 수 없는 것은?
     1. 정류기 고장일 때
     2. 전압계 고장일 때
     3. 전원전압회로의 고장일 때
     4. 감지기 고장일 때

     정답 : []
     정답률 : 50%

78. 비상벨 설비 또는 자동식 사이렌 설비에는 그 설비에 대한 감시상태를 몇 분간 지속한 후 유효하게 10분 이상 경보할 수 있는 축전지설비를 설치 하여야 하는가?
     1. 10
     2. 20
     3. 40
     4. 60

     정답 : []
     정답률 : 72%

79. 유도등과 유도표지는 소방관련법령상 어떤 종류의 소방시설에 포함되는가?
     1. 경보설비에 속한다.
     2. 소방설비에 속한다.
     3. 피난설비에 속한다.
     4. 소화활동설비에 속한다.

     정답 : []
     정답률 : 80%

80. 무선통신보조설비의 누설동축케이블은 소방전용주파수대에서 전파의 전송 또는 복사에 적합한 것으로서 소방전용의 것으로 하여야 한다. 그러나 다른 용도와 겸용할 수 있는 경우가 있는데 그 경우의 기준으로 옳은 것은?
     1. 경찰과 무선연락을 하고자 하는 경우
     2. 민간 구급단체와 교신을 하고자 할 경우
     3. 화재현장의 관계인과 통화를 하고자 할 경우
     4. 소방대 상호간의 무선연락에 지장이 없는 경우

     정답 : []
     정답률 : 52%


정 답 지

1

2

3

4

5

6

7

8

9

10

11

12

13

14

15

16

17

18

19

20

21

22

23

24

25

26

27

28

29

30

31

32

33

34

35

36

37

38

39

40

41

42

43

44

45

46

47

48

49

50

51

52

53

54

55

56

57

58

59

60

61

62

63

64

65

66

67

68

69

70

71

72

73

74

75

76

77

78

79

80

소방설비산업기사(전기) 필기 기출문제(해설) 및 CBT 2004년09월05일을 이용해 주셔서 감사합니다.
, 필기, 기출문제, 전자문제집, CBT, 온라인, 모의테스트, 모의고사



List of Articles
번호 제목 글쓴이 날짜 조회 수
7367 소방설비산업기사(전기) 필기 기출문제(해설) 및 CBT 2009년05월10일(7705) 좋은아빠되기 2025.10.07 0
7366 소방설비산업기사(전기) 필기 기출문제(해설) 및 CBT 2009년03월01일(7704) 좋은아빠되기 2025.10.07 0
7365 소방설비산업기사(전기) 필기 기출문제(해설) 및 CBT 2008년09월07일(7703) 좋은아빠되기 2025.10.07 0
7364 소방설비산업기사(전기) 필기 기출문제(해설) 및 CBT 2008년05월11일(7702) 좋은아빠되기 2025.10.07 0
7363 소방설비산업기사(전기) 필기 기출문제(해설) 및 CBT 2008년03월02일(7701) 좋은아빠되기 2025.10.07 0
7362 소방설비산업기사(전기) 필기 기출문제(해설) 및 CBT 2007년09월02일(7700) 좋은아빠되기 2025.10.07 0
7361 소방설비산업기사(전기) 필기 기출문제(해설) 및 CBT 2007년05월13일(7699) 좋은아빠되기 2025.10.07 0
7360 소방설비산업기사(전기) 필기 기출문제(해설) 및 CBT 2007년03월04일(7698) 좋은아빠되기 2025.10.07 0
7359 소방설비산업기사(전기) 필기 기출문제(해설) 및 CBT 2006년09월10일(7697) 좋은아빠되기 2025.10.07 0
7358 소방설비산업기사(전기) 필기 기출문제(해설) 및 CBT 2006년05월14일(7696) 좋은아빠되기 2025.10.07 0
7357 소방설비산업기사(전기) 필기 기출문제(해설) 및 CBT 2006년03월05일(7695) 좋은아빠되기 2025.10.07 0
7356 소방설비산업기사(전기) 필기 기출문제(해설) 및 CBT 2005년09월04일(7694) 좋은아빠되기 2025.10.07 0
7355 소방설비산업기사(전기) 필기 기출문제(해설) 및 CBT 2005년05월29일(7693) 좋은아빠되기 2025.10.07 0
7354 소방설비산업기사(전기) 필기 기출문제(해설) 및 CBT 2005년03월06일(7692) 좋은아빠되기 2025.10.07 0
» 소방설비산업기사(전기) 필기 기출문제(해설) 및 CBT 2004년09월05일(7691) 좋은아빠되기 2025.10.07 0
7352 소방설비산업기사(전기) 필기 기출문제(해설) 및 CBT 2004년05월23일(7690) 좋은아빠되기 2025.10.07 0
7351 소방설비산업기사(전기) 필기 기출문제(해설) 및 CBT 2004년03월07일(7689) 좋은아빠되기 2025.10.07 0
7350 소방설비산업기사(전기) 필기 기출문제(해설) 및 CBT 2003년05월25일(7688) 좋은아빠되기 2025.10.07 0
7349 소방설비산업기사(전기) 필기 기출문제(해설) 및 CBT 2003년03월16일(7687) 좋은아빠되기 2025.10.07 0
7348 전기기능장 필기 기출문제(해설) 및 CBT 2018년03월31일(7686) 좋은아빠되기 2025.10.07 0
Board Pagination Prev 1 ... 321 322 323 324 325 326 327 328 329 330 ... 694 Next
/ 694