자격증 필기 기출문제



소방설비산업기사(기계) 필기 기출문제(해설) 및 CBT 2016년10월01일(7767)

최강 자격증 기출문제 전자문제집 CBT : www.comcbt.com


전자문제집 CBT란?

종이 문제집이 아닌 인터넷으로 문제를 풀고 자동으로 채점하며 모의고사, 오답 노트, 해설까지 제공하는
무료 기출문제 학습 프로그램으로 실제 상설검정에서 사용하는 OMR 형식의 CBT를 제공합니다.


최신 소방설비산업기사(기계) 필기 기출문제 : [다운로드]

1과목 : 소방원론


1. 100℃의 액체 물 1g을 100℃의 수증기로 만드는 데 필요한 열량은 약 몇cal/g인가?
     1. 439
     2. 539
     3. 639
     4. 739

     정답 : []
     정답률 : 77%

2. 화재를 발생시키는 열원 중 기계적 원인은?
     1. 저항열
     2. 압축열
     3. 분해열
     4. 자연발열

     정답 : []
     정답률 : 85%

3. 화씨온도 122℉는 섭씨온도는 몇 ℃ 인가?
     1. 40
     2. 50
     3. 60
     4. 70

     정답 : []
     정답률 : 82%
     <문제 해설>
122=1.8℃+32
1.8℃=122-32
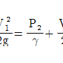
1.8℃=90
℃=90/1.8=50
[해설작성자 : 차주태]

4. 청정소화약제의 물성을 평가하는 항목 중 심장의 역반응(심장 장애현상)이 나타나는 최저 농도를 무엇이라 하는가?
     1. LOAEL
     2. NOAEL
     3. ODP
     4. GWP

     정답 : []
     정답률 : 65%
     <문제 해설>
1. 역반응이 일어나는 최저 (L=Low)농도
2.역반응이 일어나지 않는 (N=No) 최대 온도
3.오존 파괴 지수 (O=Ozone)
4.지구 온난화 지수 (W=Warm)
[해설작성자 : 소방업체재직]

5. 제연방식의 종류가 아닌 것은?
     1. 자연제연방식
     2. 기계제연방식
     3. 흡입기계방식
     4. 스모크타워 제연방식

     정답 : []
     정답률 : 77%

6. 건축물 내부 화재 시 연기의 평균 수평이동속도는 약 몇 m/s 인가?
     1. 0.5~1
     2. 2~3
     3. 3~5
     4. 10

     정답 : []
     정답률 : 77%
     <문제 해설>
수평 0.5~1m/s
수직 2~3m/s
계단실 3~5m/s
[해설작성자 : 소방업체재직]

7. 상온, 상압에서 액체 상태인 할로겐화합물 소화약제는?
     1. 할론 2402
     2. 할론 1301
     3. 할론 1211
     4. 할론 1400

     정답 : []
     정답률 : 62%

8. 제4류 위험물 중 제1석유류, 제2석유류, 제3석유류, 제4석유류를 각 품명별로 구분하는 분류의 기준은?
     1. 발화점
     2. 인화점
     3. 비중
     4. 연소범위

     정답 : []
     정답률 : 87%

9. 화재의 분류 중 B급 화재의 종류로 옳은 것은?
     1. 금속화재
     2. 일반화재
     3. 전기화재
     4. 유류화재

     정답 : []
     정답률 : 92%
     <문제 해설>
A급 : 일반화재
B급 : 유류화재
C급 : 전기화재
D급 : 금속화재
[해설작성자 : 가즈아]

10. 분진폭발의 발생 위험성이 가장 낮은 물질은?
     1. 석탄가루
     2. 밀가루
     3. 시멘트
     4. 금속분류

     정답 : []
     정답률 : 82%

11. 대기중에 대량의 가연성 가스가 유출하거나 대량의 가연성 액체가 유출하여 그것으로부터 발생하는 증기가 공기와 혼합해서 가연성 혼합기체를 형성하고 발화원에 의하여 발생하는 폭발현상은?
     1. BLEVE
     2. SLOP OVER
     3. UVCE
     4. FIRE BALL

     정답 : []
     정답률 : 55%
     <문제 해설>
UVCE (Unconfined Vapor Cloud Explosion, 비제한 증기운 폭발)
대량의 가연성 가스 또는 액체가 유출 → 증발 → 공기와 혼합 → 폭발범위 농도 형성 → 점화원에 의해 폭발 발생
특징: 대기 중에서 제한 없이 일어나며, 폭발 시 매우 큰 압력파를 발생
주로 정유공장, 석유화학단지, LNG 저장소 등에서 발생할 수 있음.
[해설작성자 : 스노우맨69]

12. 이산화탄소 소화약제가 공기중에 34vol.% 공급되면 산소의 농도는 약 몇voL.% 가 되는가?
     1. 12
     2. 14
     3. 16
     4. 18

     정답 : []
     정답률 : 71%
     <문제 해설>
34 = (21 - X) / 21
X = 14
[해설작성자 : 스노우맨69]

13. 산소와 질소의 혼합물인 공기의 평균 분자량은? (단, 공기는 산소 21vol%, 질소 79vol%로 구성되어 있다고 가정한다.)
     1. 30.84
     2. 29.84
     3. 28.84
     4. 27.84

     정답 : []
     정답률 : 78%
     <문제 해설>
O2분자량 : 32g
N2분자량 : 28g
32*0.21+28*0.79=28.84
[해설작성자 : 김가네이씨부인]

14. 할론 1301 소화약제를 사용하여 소화할 때 연소열에 의하여 생긴 열분해 생성가스가 아닌 것은?
     1. HF
     2. HBr
     3. Br2
     4. CO2

     정답 : []
     정답률 : 72%

15. 인화점에 대한 설명 중 틀린 것은?
     1. 인화점은 공기 중에서 액체를 가열하는 경우 액체표면에서 증기가 발상하여 점화원에서 착화하는 최저온도를 말한다.
     2. 인화점 이하의 온도에서는 성냥불을 접근해도 착화하지 않는다.
     3. 인화점 이상 가열하면 증기를 발생하여 성냥불이 접근하면 착화한다.
     4. 인화점은 보통 연소점 이상, 발화점 이하의 온도이다.

     정답 : []
     정답률 : 76%

16. 니트로셀룰로오스의 용도, 성상 및 위험성과 저장·취급에 대한 설명 중 틀린 것은?
     1. 질화도가 낮을수록 위험성이 크다.
     2. 운반 시 물, 알코올을 첨가하여 습윤시킨다.
     3. 무연화약의 원료로 사용된다.
     4. 햇빛에서 황갈색으로 변하고 물에 녹지 않지만 아세톤, 초산에스터, 니트로벤젠에 녹는다.

     정답 : []
     정답률 : 73%

17. 질식소화 방법과 가장 거리가 먼 것은?
     1. 건조 모래로 가연물을 덮는 방법
     2. 불활성 기체를 가연물에 방출하는 방법
     3. 가연성 기체의 농도를 높게 하는 방법
     4. 불연성 포소화약제로 가연물을 덮는 방법

     정답 : []
     정답률 : 76%

18. 건축법상 건축물의 주요 구조부에 해당되지 않는 것은?
     1. 지붕틀
     2. 내력벽
     3. 주계단
     4. 최하층 바닥

     정답 : []
     정답률 : 83%

19. 청정소화약제의 명명법은 Freon-XYZBA로 표현한다. 이 중 Y가 의미하는 것은?
     1. 불소 원자의 수
     2. 수소 원자의 수 - 1
     3. 탄소 원자의 수 - 1
     4. 수소 원자의 수 + 1

     정답 : []
     정답률 : 58%
     <문제 해설>
Freon(냉매/청정소화약제) 번호 표기 R-XYZ에서

X = 탄소 수 − 1

Y = 수소 수 + 1

Z = 플루오르(불소) 수
남는 결합수는 염소로 채웁니다.

예) HFC-125(= R-125): C2H1F5 → X=2−1=1, Y=1+1=2, Z=5.
따라서 Y는 “수소 원자 수 + 1”을 의미합니다.
[해설작성자 : 스노우맨69]

20. 멜라민수지, 모, 실크, 요소수지 등과 같이 질소성분을 함유하고 있는 가연물의 연소 시 발생하는 기체로 눈, 코, 인후등에 매우 자극적이고 역한 냄새가 나는 유독성 연소가스는?
     1. 아크로레인
     2. 시안화수소
     3. 일산화질소
     4. 암모니아

     정답 : []
     정답률 : 74%

2과목 : 소방유체역학


21. 밀도가 769kg/m3, 동점계수가 0.001m2/s인 액체의 점성계수는 몇 Pa·s인가?
     1. 1.3
     2. 13
     3. 0.0769
     4. 0.769

     정답 : []
     정답률 : 62%
     <문제 해설>
동점성계수(v) = 점성계수/밀도,    점성계수 = 밀도 x 동점성계수
점성계수 = 769 Kg/m^3 x 0.001 m^2/s = 0.769 Pa.s

22. 체적이 2m3인 밀폐용기 속에 15℃, 0.8MPa의 공기가 들어 있다. 압력이 1MPa로 상승하였을 때, 온도 변화량은?
     1. 63K
     2. 72K
     3. 87K
     4. 90K

     정답 : []
     정답률 : 53%

23. 그림과 같이 고정된 노즐에서 균일한 유속 V=40m/s, 유량 Q=0.2m3/s로 물이 분출되고 있다. 분류와 같은 방향으로 u=10m/s의 일정 속도로 운동하고 이는 평판에 분사된 물이 수직으로 충돌 할 때 분류가 평판에 미치는 충격력은 몇 kN인가?

    

     1. 4.5
     2. 6
     3. 44.1
     4. 58.8

     정답 : []
     정답률 : 46%
     <문제 해설>
아래와 같은 오류 신고가 있었습니다.
여러분들의 많은 의견 부탁 드립니다.
추후 여러분들의 의견을 반영하여 정답을 수정하도록 하겠습니다.
참고로 정답 변경은 오류 신고 5회 이상일 경우 수정합니다.

[오류 신고 내용]
제가 알기로는 F=pQV 로 해서 1000*0.2*(40-10) 하면 6000N = 6kN 으로 답이 2번으로 계속 나오네요....
어떻게 하면 1번 답이 나오는지 아니면 답이 잘못 작성되어 있는지 확인 부탁드립니다....
[해설작성자 : 귭]

[오류신고 반론]
F=pA(V-u)2(제곱) 입니다. A=Q/V = 0.005=0.2/40
1000*0.005*(40-10)2(제곱)=4500 =4.5KN
[해설작성자 : 계산선생님]

[오류신고 반론]
움직이느 평판의 작용하는 힘은
f=밀도*면적(유속-평판의 속도)^2이기 때문에 답은 정확히4500 → 4.5kpa 가 나옵니다
[해설작성자 : 책을 뒤벼라]

24. 안지름 25㎝인 원관으로 수평거리1500m 떨어진 곳에 2.36m/s로 물을 보내는 데 필요한 압력은 약 몇 kPa인가? (단, 관마찰계수는 0.035이다.)
     1. 485
     2. 585
     3. 620
     4. 670

     정답 : []
     정답률 : 67%
     <문제 해설>
마찰손실수두 = f x L/D x u^2/2g = 0.035 x 1500m/0.25m x (2.36m/s)^2/2x9.8m/sec^2 = 59.67m

59.67mH2O x 101.325kPa/10.332mH2O = 585kPa

25. 100mm 관로를 통하여 물을 정확히 10분 동안 탱크에 공급하였다. 탱크의 늘어난 무게가 95.3kN이다. 이 관로를 흐르는 평균유량은 약 몇 m3/s인가? (단, 물의 밀도는 ρ=1000kg/m3이다.)
     1. 0.0162
     2. 0.0972
     3. 0.162
     4. 0.972

     정답 : []
     정답률 : 42%
     <문제 해설>
95300N / 9800 N/m^3 = 9.7245 m^3
9.7245 m^3 / 600 sec = 0.0162 m^3/sec

26. 20℃의 물 10L를 대기압에서 110℃의증기로 만들려면, 공급해야 하는 열량은 약 몇 kJ인가? (단, 대기압에서 물의 비열은 4.2kJ/kg℃, 증발 잠열은2260kJ/kg, 증기의 정압비열은 2.1kJ/kg℃이다.)
     1. 26380
     2. 26170
     3. 22600
     4. 3780

     정답 : []
     정답률 : 58%

27. 다음 그림에서 단면 1의 관지름은 50㎝ 이고 단면 2의 관지름은 30㎝ 이다. 단면 1과2의 압력계의 읽음이 같을 때 관을 통과하는 유량은 몇 m3/s인가? (단, 관로의 모든 손실은 무시한다.)

    

     1. 0.474
     2. 0.671
     3. 4.74
     4. 9.71

     정답 : []
     정답률 : 34%

28. 원관에서 유체가 완전히 발달된 층류로 흐를 때 속도분포는?
     1. 전단면에서 일정하다.
     2. 관벽에서 0이고, 중심까지 직선적으로 증가한다.
     3. 관 중심에서 0이고, 관벽까지 직선적으로 증가한다.
     4. 포물선부포로 관벽에서 속도는 0이고, 관 중심에서 속도는 최대가 된다.

     정답 : []
     정답률 : 49%

29. 펌프의 공동현상(cavitation) 방지대책으로 가장 적절한 것은?
     1. 펌프를 수원보다 되도록 높게 설치한다.
     2. 흡입 속도를 증가시킨다.
     3. 흡입 압력을 낮게 한다.
     4. 양쪽 흡입한다.

     정답 : []
     정답률 : 61%

30. 유체 속에 완전히 잠김 경사 평면에 작용하는 압력힘의 작용점은?
     1. 경사 평면의 도심보다 밑에 있다.
     2. 경사 평면의 도심에 있다.
     3. 경사 평면의 도심보다 위에 있다.
     4. 경사 평면의 도심과는 관계가 없다.

     정답 : []
     정답률 : 76%

31. 다음 중 무차원인 것은?
     1. 표면장력
     2. 탄성계수
     3. 비열
     4. 비중

     정답 : []
     정답률 : 62%

32. 송풍기의 전압공기동력 Lat를 옳게 나타낸 것은? (단, g는 중력가속도, pt는 송풍기 전압, Q는 체적유량, 는 공기의 비중량을 나타낸다.)
     1.
     2.
     3.
     4.

     정답 : []
     정답률 : 42%

33. 동일한 사양의 소방펌프를 1대로 운전하다가, 2대로 병렬 연결하여 동시에 운전할 경우에 나타나는 현상으로 옳은 것은? (단, 펌프형식은 원심펌프이고, 배관마찰손실 및 낙차 등은 고려하지 않는다.)
     1. 동일한 양정에서 유량이 2배로 된다.
     2. 동일한 유량에서 양정이 항상 2배로 된다.
     3. 유량과 양정이 모두 2배가 된다.
     4. 유량과 양정이 변화하지 않는다.

     정답 : []
     정답률 : 63%

34. 500℃와20℃의 두 열원 사이에 설치되는 열기관이 가질 수 있는 최대의 이론 열효율은 약 몇 %인가?
     1. 48
     2. 58
     3. 62
     4. 96

     정답 : []
     정답률 : 37%

35. 수면으로부터 15m의 깊이에 있는 잠수부가 물속으로 숨을 내쉬려면 그 압력은 몇 kPa 이상이 되어야 하는가? (단, 대기압은 98kPa이다.)
     1. 210
     2. 245
     3. 270
     4. 320

     정답 : []
     정답률 : 58%
     <문제 해설>
p = ρgh
ρ:1000, g:9.8, h:15
1000 * 9.8 * 15 = 147000Pa = 147kPa + 98kPa = 245kPa
[해설작성자 : P2KKA]

36. 물방울(20℃)의 내부압력이 외부압력보다 1kPa 만큼 더 큰 압력을 유지하도록 하려면 물방울의 지름은 약 몇 mm로 해야 하는가? (단, 20℃에서 물의 표면장력은 0.0727N/m이다.)
     1. 0.15
     2. 0.3
     3. 0.6
     4. 0.9

     정답 : []
     정답률 : 43%
     <문제 해설>
1)표면장력구하는 공식 : 0.0727 = (1000 x D)/4
2)D = 0.0002908m
3)0.0002908m x 1000 = 0.2908mm = 0.3mm
[해설작성자 : sherpa]

37. 관 상당길이를 구할 때 사용되는 식으로 옳은 것은?
     1. Hagen-Williama 식
     2. Torricelli 식
     3. Darcy-Weisbach 식
     4. Reynolds 식

     정답 : []
     정답률 : 63%

38. 계기압력이 25kPa에서 85kPa로 높아졌을 때 절대압력이 50% 증가했다면 국소 대기압은 몇 kPa 인가?
     1. 105
     2. 100
     3. 95
     4. 90

     정답 : []
     정답률 : 47%
     <문제 해설>
국소대기압 x(단위 kpa)로 놓으면

계기압력 = 절대압력 - 국소대기압 이므로
계기압력 + 국소대기압 = 절대압력

25kpa의 절대압력 = 25kpa+x
85kpa의 절대압력 = 85kpa+x
25kpa의 절대압력이 50% 증가했을때 압력이 85kpa 절대압력과 같으므로
1.5(25kpa+x)=85kap+x
위 방정식을 풀어보면 X=95kpa
[해설작성자 : 소방업체재직]

39. 배관 내 유체유량을 직접 측정할 수 있는 기기가 아닌 것은?
     1. 마노미터
     2. 벤투리미터
     3. 로터미터
     4. 오리피스미터

     정답 : []
     정답률 : 52%

40. 두께 10cm인 벽의 내부 표면의 온도는 20℃이고 외부 표면의 온도는 0℃이다. 외부 벽은 온도가 -10℃인 공기에 노출되어 있어 대류 열전달이 일어난다. 외부 표면에서의 대류 열전달계수가 200W/(m2·K)라면 정상상태에서 벽의 열전도율은 몇W/(m2·K)인가? (단, 복사열전달은 무시한다.)(오류 신고가 접수된 문제입니다. 반드시 정답과 해설을 확인하시기 바랍니다.)
     1. 10
     2. 20
     3. 30
     4. 40

     정답 : []
     정답률 : 33%
     <문제 해설>
아래와 같은 오류 신고가 있었습니다.
여러분들의 많은 의견 부탁 드립니다.
추후 여러분들의 의견을 반영하여 정답을 수정하도록 하겠습니다.
참고로 정답 변경은 오류 신고 5회 이상일 경우 수정합니다.

[오류 신고 내용]
보기로 주어져있는 값들이 오류가 있네요.. 1번 3780 2번 3800 3번 3820 4번 3840 입니다..

[추가 오류 신고]
문제가 완전히 잘못되어있습니다
저런문제는없습니다
[해설작성자 : comcbt.com 이용자]

[관리자 입니다.
다른 문제집 확인 가능한분 계시면 확인 부탁 드립니다.
신고시 출판사명까지 기제 부탁 드립니다.]

[추가 오류 신고]
외부 표면 온도가 0도인데 20도로 되어있네요 수정해야할것같아요. 출판사 성안당입니다.
[해설작성자 : comcbt.com 이용자]

[관리자 입니다.
현재 외부표면온도 0로도 되오 있는데요.. 온도가 3군데 나오는데..
비전공자인 제가 전체적으로 문제를 교정할수 있게 정확하게 오류신고 부탁 드립니다.]

[추가 오류 신고]
책이없어서 기출과 같은문제인지는 여부는 모르겠으나 현재 문제를 풀어봤을때 문제 자체는 오류없이 답이 10이 나옵니다.
하나 틀린거라고는 열전도율의 단위는 w/m*k 가 되어야합니다.
[해설작성자 : 콘트넘]

[오류신고 반론]
대류(경막)열전달계수 h는 [W/m^2 * k]이고 고체의 열전도율 k는 [W/m * k]입니다.

3과목 : 소방관계법규


41. 특정소방대상물 중 지하구에 대한 기준으로 다음 ( )안에 들어갈 내용으로 알맞은 것은?

    

     1. ㉠ 1.8, ㉡ 2.0, ㉢ 50
     2. ㉠ 2.0, ㉡ 2.0, ㉢ 500
     3. ㉠ 2.5, ㉡ 3.0, ㉢ 600
     4. ㉠ 3.0, ㉡ 5.0, ㉢ 700

     정답 : []
     정답률 : 62%

42. 특수가연물의 저장 및 취급 기준은 무엇으로 정하는가?
     1. 대통령령
     2. 총리령
     3. 시·도의 조례
     4. 국민안전처장관령

     정답 : []
     정답률 : 64%

43. 특정소방대상물에 소방시설을 설치하는 경우 국민안전처장관이 정하는 내진설계 기준에 맞게 설치해야 하는 설비가 아닌 것은?
     1. 옥내소화설비
     2. 연결살수설비
     3. 스프링클러설비
     4. 물분무등소화설비

     정답 : []
     정답률 : 68%

44. 국민안전처장관, 소방본부장 또는 소방서장은 소방특별조사를 하려면 관계인에게 조사대상, 조사기간 및 조사사유 등을 서면으로 며칠 전에 알려야 하는가? (단, 긴급하게 조사할 필요가 있는 경우와 사전에 통지하면 조사목적을 달성할 수 없다고 인정되는 경우는 제외한다.)
     1. 3
     2. 7
     3. 10
     4. 14

     정답 : []
     정답률 : 62%
     <문제 해설>
특별조사 7일
소방훈련 10일

단골문제입니다
[해설작성자 : 소방업체재직]

45. 옥외저장탱크의 주위에 그 저장 또는 취급하는 위험물의 최대수량이 지정수량의 1000배 초과 2000배 이하인 경우 옥외저장탱크의 측면으로부터 몇 m 이상이어야 하는가? (단, 위험물을 이송하기 위한 배관 그 밖에 이에 준하는 공작물은 제외한다.)
     1. 9
     2. 7
     3. 5
     4. 3

     정답 : []
     정답률 : 41%

46. 소방기본법상 소방대상물에 해당되지 않는 것은?
     1. 건축물
     2. 항해 중인 선박
     3. 차량
     4. 산림

     정답 : []
     정답률 : 87%

47. 특수가연물의 품명과 수량기준이 옳게 연결된 것은?
     1. 면화류 - 200kg 이상
     2. 대팻밥 - 300kg 이상
     3. 가연성 고체류 - 1000kg 이상
     4. 합성수지류(발포시킨 것) - 10m3 이상

     정답 : []
     정답률 : 74%
     <문제 해설>
나무껍질 대팻밥 - 400kg 이상
넝마 및 종이부스러기 - 1000kg 이상
볏집류 - 1000kg 이상
가연성고체류 - 3000kg 이상
가연성 액체류 - 2m3 이상
합성수지류 - 발포시킨것 20m3 이상(그 밖의 것 3000kg 이상)
[해설작성자 : .소방 합격.]

48. 위험물 제조소에 환기설비를 설치할 경우 바닥면적이 100m2이면 급기구의 면적은 몇 cm2이상이어야 하는가?
     1. 150
     2. 300
     3. 450
     4. 600

     정답 : []
     정답률 : 61%
     <문제 해설>
바닥면적 90 - 120 제곱미터 미만에 해당되면 급기구의 면적은 450cm 2 이상이어야 한다.
[해설작성자 : P9]

49. 방염성능기준 이상의 실내장식물 등을 설치하여야 하는 특정소방대상물에 해당 되지 않는 것은?
     1. 근린생활시설 중 체력단련장
     2. 의료시설 중 종합병원
     3. 숙박이 가능한 수련시설
     4. 층수가 16층 이상인 아파트

     정답 : []
     정답률 : 81%

50. 소방시설관리업의 등록을 하지않고 영업을 한자에 대한 벌칙기준은?(2023년 07월 04일 개정된 규정 적용됨)
     1. 300만원 이하의 벌금
     2. 1년 이하의 징역 또는 1000만원 이하의 벌금
     3. 3년 이하의 징역 또는 3000만원 이하의 벌금
     4. 5년 이하의 징역 또는 3000만원 이하의 벌금

     정답 : []
     정답률 : 59%
     <문제 해설>
소방시설 설치 및 관리에 관한 법률 ( 약칭: 소방시설법 )
[시행 2023. 7. 4.] [법률 제19160호, 2023. 1. 3., 일부개정]
제57조(벌칙) 다음 각 호의 어느 하나에 해당하는 자는 3년 이하의 징역 또는 3천만원 이하의 벌금에 처한다.
1. 제12조제2항, 제15조제3항, 제16조제2항, 제20조제2항, 제23조제6항, 제37조제7항 또는 제45조제2항에 따른 명령을 정당한 사유 없이 위반한 자
2. 제29조제1항을 위반하여 관리업의 등록을 하지 아니하고 영업을 한 자
3. 제37조제1항, 제2항 및 제10항을 위반하여 소방용품의 형식승인을 받지 아니하고 소방용품을 제조하거나 수입한 자 또는 거짓이나 그 밖의 부정한 방법으로 형식승인을 받은 자
4. 제37조제3항을 위반하여 제품검사를 받지 아니한 자 또는 거짓이나 그 밖의 부정한 방법으로 제품검사를 받은 자
5. 제37조제6항을 위반하여 소방용품을 판매ㆍ진열하거나 소방시설공사에 사용한 자
6. 제40조제1항 및 제2항을 위반하여 거짓이나 그 밖의 부정한 방법으로 성능인증 또는 제품검사를 받은 자
7. 제40조제5항을 위반하여 제품검사를 받지 아니하거나 합격표시를 하지 아니한 소방용품을 판매ㆍ진열하거나 소방시설공사에 사용한 자
8. 제45조제3항을 위반하여 구매자에게 명령을 받은 사실을 알리지 아니하거나 필요한 조치를 하지 아니한 자
9. 거짓이나 그 밖의 부정한 방법으로 제46조제1항에 따른 전문기관으로 지정을 받은 자

51. 다음에 해당하는 자에 대한 벌칙기준으로 벌금이 가장 큰 경우는?
     1. 소방안전관리자를 선임하지 아니한 자
     2. 변경허가를 받지 아니하고 제조소등을 변경한 자
     3. 위험물의 운반에 관한 중요기준을 따르지 아니한 자
     4. 방염성능검사에 합격하지 아니한 물품에 합격표시를 위조하거나 변조하여 사용한 자

     정답 : []
     정답률 : 38%
     <문제 해설>
2번 1500만원벌금/ 3번 1000만원 답 2번 맞습니다
[해설작성자 : comcbt.com 이용자]

아래와 같은 오류 신고가 있었습니다.
여러분들의 많은 의견 부탁 드립니다.
추후 여러분들의 의견을 반영하여 정답을 수정하도록 하겠습니다.
참고로 정답 변경은 오류 신고 5회 이상일 경우 수정합니다.

[오류 신고 내용]
1번은 소방시설법 50조에 따라 300만원 이하의 벌금
2번은 위험물법 36조에 따르면 벌금 500만원 이하의 벌금
3번은 위험물법 37조에 따라 벌급 1천만원 이하의 벌금
4번은 소방시설법 시행령 50조에 따라 300만원 이하의 벌금
따라서 정답은 3번입니다.

[관리자 입니다.
관련 규정이 개정 되었을 경우 개정된 법령집 내용 및 링크 삽입부탁 드립니다.
그외 다른 문제집 확인 가능한분 계시면 확인 부탁 드립니다.
신고시 출판사명까지 기제 부탁 드립니다.]

52. 제연설비를 설치해야 하는 특정소방대상물의 기준으로 틀린 것은?
     1. 운동시설로서 무대부의 바닥면적이 200m2이상인 것
     2. 지하가(터널은 제외한다.)로서 연면적1000m2이상인 것
     3. 휴게시설로서 지하층의 바닥면적이500m2이상인 것
     4. 문화 및 집회시설 중 영화상영관으로서 수용인원이 100명 이상인 것

     정답 : []
     정답률 : 46%
     <문제 해설>
3. 바닥면적 500m2 -> 바닥면적 1000m2 이상인 것
[해설작성자 : .소방 합격.]

53. 휴대용 비상조명등을 설치해야 하는 특정소방 대상물이 아니 것은?
     1. 숙박시설
     2. 지하가 중 지하상가
     3. 판매시설 중 대규모점포
     4. 수용인원 100인 이상의 도서관

     정답 : []
     정답률 : 56%

54. 적당한 사유 없이 소방대가 현장에 도착할 때까지 사람을 구출하는 조치 또는 불을 끄거나 불이 번지지 아니하도록 하는 조치를 하지 아니한 사람에 대한 벌칙은?
     1. 1년 이하의 징역
     2. 100만원 이하의 벌금
     3. 500만원 이하의 벌금
     4. 1000만원 이하의 벌금

     정답 : []
     정답률 : 76%
     <문제 해설>
화재 오인 출동 20만원
구조 조치 미이행 및 불을 끄지 않음 100만원
타고남은 재 처리 위반 200만원
[해설작성자 : 소방업체재직]

55. 지정수량의 몇 배 이상의 위험물을 취급하는 제조소에는 피뢰침을 설치해야하는가? (단, 제6류 위험물을 취급하는 위험물제조소는 제외한다.)
     1. 5배
     2. 10배
     3. 50배
     4. 100배

     정답 : []
     정답률 : 70%

56. 다음 중 소방활동 종사 면령권을 가진 사람은 누구인가?
     1. 국민안전처장관
     2. 소방대장
     3. 시·도지사
     4. 관계인

     정답 : []
     정답률 : 78%

57. 운송책임자의 감독·지원을 받아 운송해야 하는 위험물은?
     1. 알카리토금속
     2. 칼륨
     3. 유기과산화물
     4. 알칼리튬

     정답 : []
     정답률 : 58%
     <문제 해설>
알킬알루미늄 및 알킬리튬
감독지원 운송 필요
[해설작성자 : 소방업체재직]

58. 소방시설 중 소화활동설비에 해당하지 않는 것은?
     1. 제연설비
     2. 연소방지설비
     3. 비상경보설비
     4. 무선통신보조설비

     정답 : []
     정답률 : 57%

59. 소방시설의 하자 발생 통보를 받은 공사업자는 며칠 이내에 하자를 보수하거나 보수 일정을 기록한 하자보수계획을 관계인에게 서면으로 알려야 하는가?
     1. 1일
     2. 2일
     3. 3일
     4. 7일

     정답 : []
     정답률 : 66%

60. 소방본부장이나 소방서장이 소방시설공사 완공검사를 위한 현장확인 대상 특정소방 대상물의 범위에 해당하지 않는 것은?
     1. 운동시설
     2. 노유자시설
     3. 판매시설
     4. 업무시설

     정답 : []
     정답률 : 58%

61. 주방용 자동소화장치의 설치기준 중 가스차단장치는 주방배관의 개폐밸브로부터 최대 몇 m 이하의 위치에 설치해야 하는가?(관련 규정 개정전 문제로 기존 정답은 2번 이었습니다. 여기서는 2번을 누르면 정답처리 됩니다. 자세한 내용을 해설을 참고하세요.)
     1. 1
     2. 2
     3. 3
     4. 4

     정답 : []
     정답률 : 82%
     <문제 해설>
2017년 4월 11일 화재안전기준 개정으로 인하여 맞지 않는 문제임

62. 할로겐화합물 소화약제 가압용 가스용기의 충전가스로 옳은 것은?
     1. NO2
     2. O2
     3. N2
     4. H2

     정답 : []
     정답률 : 85%

63. 스프링클러설비 교차배관의 최소구경은 몇 mm 이상이어야 하는가? (단, 패들형 유수검지장치를 사용하는 경우는 제외한다.)
     1. 13
     2. 25
     3. 32
     4. 40

     정답 : []
     정답률 : 61%
     <문제 해설>
배관의 구경
교차배관 : 40mm이상
수직배수배관 : 50mm이상
[해설작성자 : comcbt.com 이용자]

64. 하나의 배관에 부착하는 살수헤드의 개수가 7개인 경우 연결살수설비 배관의 최소 구경은 몇 ㎜ 인가? (단, 연결살수설비 전용헤드를 사용하는 경우이다.)
     1. 32
     2. 40
     3. 50
     4. 80

     정답 : []
     정답률 : 58%
     <문제 해설>
1개 32mm
2개 40mm
3개 50mm
4~5개 65mm
6~10개 80mm
[해설작성자 : 소방업체재직]

65. 공기포 소화약제의 혼합방식 중 펌프와 발포기의 중간에 설치된 벤추리관의 벤추리작용에 따라 포 소화약제를 흡입·혼합하는 방식은?
     1. 라인 푸로포셔너 방식
     2. 프레져 푸로포셔너 방식
     3. 펌프 푸로포셔너 방식
     4. 프레져사이드 푸로포셔너 방식

     정답 : []
     정답률 : 62%
     <문제 해설>
혼합기+농도조절- 펌프 프로포셔너
벤추리관 - 라인 프로포셔너
벤추리관 + 가압 - 프레저 프로포셔너
압입기 = 프레져사이드 프로포셔너
[해설작성자 : 소방업체재직]

66. 평상시 최고 주위온도가 110℃이며 높이가 3.8m 인 공장에 설치하는 폐쇄형스프링클러헤드의 표시온도로 옳은 것은?
     1. 79℃ 미만
     2. 79℃ 이상 121℃ 미만
     3. 121℃ 이상 162℃ 미만
     4. 162℃ 이상

     정답 : []
     정답률 : 50%

67. 분말소화설비 저장용기의 설치기준으로 옳은 것은?
     1. 저장용기의 충전비는 0.7이상으로 할 것
     2. 가압식의 분말소화설비는 사용압력 범위를 표시한 지시압력계를 설치할 것
     3. 축압식은 용기의 내압시험압력의 1.8배 이하의 압력에서 작동하는 안전벨브를 설치할 것
     4. 저장용기에는 저장용기의 내부압력이 설정압력으로 되었을 때 주벨브를 개방하는 정압작동장치를 설치할 것

     정답 : []
     정답률 : 60%
     <문제 해설>
1번: 충전비 0.8 이상
2번: 축압식
3번: 내압 시험압력 0.8배 이하
[해설작성자 : comcbt.com 이용자]

68. 물분무소화설비의 수원 저수량 기준으로 옳은 것은?
     1. 특수가연물을 저장하는 또는 취급하는 특정소방대상물 또는 그 부분에 있어서 그 바닥 면적 1m2에 대하여 20L/min로 20분간 방수할 수 있는 양 이상으로 할 것
     2. 주차장은 그 바닥면적 1m2에 대하여 10L/min로 20분간 방수할 수 있는 양 이상으로 할 것
     3. 케이블트레이드는 투영된 바닥면적 1m2에 대하여 10L/min로 20분간 방수할 수 있는 양 이상으로 할 것
     4. 케이블덕트는 투영된 바닥면적 1m2에 대하여 12L/min로 20분간 방수할 수 있는 양 이상으로 할 것

     정답 : []
     정답률 : 54%
     <문제 해설>
1. 특수가연물 10L/min 20분
2. 차고 또는 주차장 20L/min 20분
3. 케이블트레이, 덕트 12L/min 20분
[해설작성자 : .소방 합격.]

69. 호스릴 이산화탄소 소화설비의 설치기준으로 틀린 것은?
     1. 소화약제 저장용기는 호스릴을 설치하는 장소마다 설치할 것
     2. 노즐은 20℃에서 하나의 노즐마다 40kg/min 이상의 소화약제를 방사할 수 있는 것으로 할 것
     3. 방호대상물의 각 부분으로부터 하나의 호스 접결구까지 수평거리가 15m 이하가 되도록 할 것
     4. 소화약제 저장용기의 개방벨브는 호스의 설치장소에서 수동으로 개폐할 수 있는 것으로 할 것

     정답 : []
     정답률 : 62%
     <문제 해설>
하나의 노즐마다 60kg/min 이상의 소화약제를 방사할 수 있는 것으로 할것.
[해설작성자 : 치노]

70. 최대 방수구역의 바닥면적이 60m2인 주차장에 물분무소화설비를 설치하려고 하는 경우 수원의 최소 저수량은 몇 m3 인가?
     1. 12
     2. 16
     3. 20
     4. 24

     정답 : []
     정답률 : 54%

71. 포소화설비의 화재안전기준에 따른 팽창비의 정의로 옳은 것은?
     1. 최종 발생항 포원액 체적/원래 포원액 체적
     2. 최종 발생한 포수용액 체적/원래 포원액 체적
     3. 최종 발생한 포원액 체적/원래 포수용액 체적
     4. 최종 발생한 포 체적/원래 포수용액 체적

     정답 : []
     정답률 : 51%

72. 제3종 분말소화설비 사용되는 소화약제의 주성분으로 옳은 것은?
     1. 인산염
     2. 탄산수소칼륨
     3. 탄산수소나트륨
     4. 탄산수소칼륨과 요소와의 반응물

     정답 : []
     정답률 : 84%

73. 연소할 우려가 있는 개구부의 스프링클러헤드 설치기준 중 다음 ( ) 안에 알맞은 것은?

    

     1. ㉠ 1.5 ㉡ 15
     2. ㉠ 2.5 ㉡ 15
     3. ㉠ 1.5 ㉡ 20
     4. ㉠ 30 ㉡ 20

     정답 : []
     정답률 : 54%

74. 소화기의 설치기준 중 다음 ( )안에 알맞은 것은? (단, 가연성물질이 없는 작업장 및 지하구의 경우는 제외한다.)

    

     1. ㉠ 20 ㉡ 10
     2. ㉠ 10 ㉡ 20
     3. ㉠ 20 ㉡ 30
     4. ㉠ 30 ㉡ 20

     정답 : []
     정답률 : 71%

75. 제연설비에서 배출풍도 단면의 직경의 크기가 450mm 이하인 경우 배출풍도 강판두께의 기준으로 옳은 것은?
     1. 0.5mm 이상
     2. 0.8mm 이상
     3. 1.0mm 이상
     4. 1.2mm 이상

     정답 : []
     정답률 : 57%
     <문제 해설>
[배출풍도 강판두께 기준]
450mm 이하 - 0.5mm
400mm 초과 750mm 이하 - 0.6mm
750mm 초과 1500mm 이하 - 0.8
1500mm 초과 2250mm 이하 - 1.0mm
2250mm 초과 - 1.2mm
[해설작성자 : .소방 합격.]

76. 옥내소화전 방수구와 연결되는 가지배관의 구경은 최소 몇 mm 이상이어야 하는가?
     1. 40
     2. 50
     3. 65
     4. 100

     정답 : []
     정답률 : 44%
     <문제 해설>
옥내소화전 40mm / 옥외 소화전 50mm
[해설작성자 : 박치현]

77. 완강기의 최대 사용자수는 최대사용하중을 몇 N으로 나누어서 얻는 값으로 해야 하는가?
     1. 600
     2. 700
     3. 1000
     4. 1500

     정답 : []
     정답률 : 78%

78. 연결살수설비의 헤드를 설치하지 아니할 수 있는 장소의 기준으로 틀린 것은?
     1. 천장·반자중 한쪽이 불연재료로 되어있고 천장과 반자사이의 거리가 1m 미만인 부분
     2. 현관 또는 로비등으로서 바닥으로부터 높이가 15m 이상인 장소
     3. 천장과 반자 양쪽이 불연재료 되어 있는 경우로서 천장과 반자사이의 거리가 2m 미만인 부분
     4. 천장과 반자 양쪽이 불연재료로 되어 있는 경우로서 천장과 반자사이의 벽이 불연 재료이고 천장과 반자사이의 거리가 2m 이상으로서 그 사이에 가연물리 존재하지 아니하는 부분

     정답 : []
     정답률 : 41%
     <문제 해설>
2. 15m 이상 -> 20m 이상
[해설작성자 : .소방 합격.]

79. 지하가 중 지하상가에 설치해야 할 인명구조 기구의 종류로 옳은 것은?
     1. 공기호흡기
     2. 구조대
     3. 방열복
     4. 인공소생기

     정답 : []
     정답률 : 69%
     <문제 해설>
방열복, 인공소생기 - 지하층을 포함한 7층 이성 관광호텔 및 5층 이상 병원
[해설작성자 : .소방 합격.]

80. 특별피난계단의 계단실 및 부속실 제연설비에 대한 설명으로 틀린 것은?
     1. 급기구는 급기되는 기류 흐름이 출입문으로 인하여 차단되거나 방해받지 아니하도록 옥내와 면하는 출입문으로부터 가능한 가까운 위치에 설치해야 한다.
     2. 제연설비가 가동되었을 때, 출입구의 개방에 필요한 힘은 110N 이하로 하여야 한다.
     3. 보충량은 부속실의 수가 20이하는 1개층 이상, 20을 초과하는 경우에는 2개층 이상의 보충량으로 한다.
     4. 급기구는 급기용 수직풍도와 직접 면하는 벽체 또는 천장에 고정해야 한다.

     정답 : []
     정답률 : 46%
     <문제 해설>
급기구는 급기 되는 기류 흐름이 출입문으로 인하여 차단되거나 방해받지 아니하도록 옥내와 면하는 출입문으로부터 가장 먼 위치에 설치하여야 한다.
[해설작성자 : .소방 합격.]


정 답 지

1

2

3

4

5

6

7

8

9

10

11

12

13

14

15

16

17

18

19

20

21

22

23

24

25

26

27

28

29

30

31

32

33

34

35

36

37

38

39

40

41

42

43

44

45

46

47

48

49

50

51

52

53

54

55

56

57

58

59

60

61

62

63

64

65

66

67

68

69

70

71

72

73

74

75

76

77

78

79

80

소방설비산업기사(기계) 필기 기출문제(해설) 및 CBT 2016년10월01일을 이용해 주셔서 감사합니다.
, 필기, 기출문제, 전자문제집, CBT, 온라인, 모의테스트, 모의고사



List of Articles
번호 제목 글쓴이 날짜 조회 수
3446 소방설비산업기사(기계) 필기 기출문제(해설) 및 CBT 2012년09월15일(7759) new 좋은아빠되기 2025.10.07 0
3445 소방설비산업기사(기계) 필기 기출문제(해설) 및 CBT 2013년03월10일(7760) new 좋은아빠되기 2025.10.07 0
3444 소방설비산업기사(기계) 필기 기출문제(해설) 및 CBT 2014년05월25일(7761) new 좋은아빠되기 2025.10.07 0
3443 소방설비산업기사(기계) 필기 기출문제(해설) 및 CBT 2014년09월20일(7762) new 좋은아빠되기 2025.10.07 0
3442 소방설비산업기사(기계) 필기 기출문제(해설) 및 CBT 2015년03월08일(7763) new 좋은아빠되기 2025.10.07 0
3441 소방설비산업기사(기계) 필기 기출문제(해설) 및 CBT 2015년09월19일(7764) new 좋은아빠되기 2025.10.07 0
3440 소방설비산업기사(기계) 필기 기출문제(해설) 및 CBT 2016년03월06일(7765) new 좋은아빠되기 2025.10.07 0
3439 소방설비산업기사(기계) 필기 기출문제(해설) 및 CBT 2016년05월08일(7766) new 좋은아빠되기 2025.10.07 0
» 소방설비산업기사(기계) 필기 기출문제(해설) 및 CBT 2016년10월01일(7767) new 좋은아빠되기 2025.10.07 0
3437 소방설비산업기사(기계) 필기 기출문제(해설) 및 CBT 2017년03월05일(7768) new 좋은아빠되기 2025.10.07 0
3436 소방설비산업기사(기계) 필기 기출문제(해설) 및 CBT 2017년05월07일(7769) new 좋은아빠되기 2025.10.07 0
3435 소방설비산업기사(기계) 필기 기출문제(해설) 및 CBT 2017년09월23일(7770) new 좋은아빠되기 2025.10.07 0
3434 소방설비산업기사(기계) 필기 기출문제(해설) 및 CBT 2018년04월28일(7771) new 좋은아빠되기 2025.10.07 0
3433 소방설비산업기사(기계) 필기 기출문제(해설) 및 CBT 2018년09월15일(7772) new 좋은아빠되기 2025.10.07 0
3432 지게차유사(롤러,기중기등) 필기 기출문제(해설) 및 CBT 2012년01월12일(7773) new 좋은아빠되기 2025.10.07 0
3431 지게차유사(롤러,기중기등) 필기 기출문제(해설) 및 CBT 2012년04월08일(7774) new 좋은아빠되기 2025.10.07 0
3430 지게차유사(롤러,기중기등) 필기 기출문제(해설) 및 CBT 2012년07월22일(7775) new 좋은아빠되기 2025.10.07 0
3429 지게차유사(롤러,기중기등) 필기 기출문제(해설) 및 CBT 2012년10월20일(7776) new 좋은아빠되기 2025.10.07 0
3428 지게차유사(롤러,기중기등) 필기 기출문제(해설) 및 CBT 2013년01월27일(7777) new 좋은아빠되기 2025.10.07 0
3427 지게차유사(롤러,기중기등) 필기 기출문제(해설) 및 CBT 2013년04월14일(7778) new 좋은아빠되기 2025.10.07 1
Board Pagination Prev 1 ... 367 368 369 370 371 372 373 374 375 376 ... 544 Next
/ 544