자격증 필기 기출문제



일반기계기사 필기 기출문제(해설) 및 CBT 2003년03월16일(7794)

최강 자격증 기출문제 전자문제집 CBT : www.comcbt.com


전자문제집 CBT란?

종이 문제집이 아닌 인터넷으로 문제를 풀고 자동으로 채점하며 모의고사, 오답 노트, 해설까지 제공하는
무료 기출문제 학습 프로그램으로 실제 상설검정에서 사용하는 OMR 형식의 CBT를 제공합니다.


최신 일반기계기사 필기 기출문제 : [다운로드]

1과목 : 재료역학


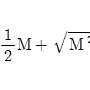
1. 그림에서 점 C 단면에 작용하는 내부 합모멘트는 몇 N∙m 인가?

   

     1. 270(시계 방향)
     2. 810(시계 방향)
     3. 540(반시계 방향)
     4. 1080(반시계 방향)

     정답 : []
     정답률 : 40%

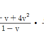
2. 평면응력의 경우 훅의 법칙(Hook's law)을 바르게 나타낸 것은? (단, σx : 수직응력, εx, εy : 변형률, ν :포아송 비, E : 탄성계수 이다.)
     1.
     2.
     3.
     4.

     정답 : []
     정답률 : 29%

3. 원형 단면과 정사각형 단면의 기둥이 동일한 세장비를 가질 때 양 기둥의 길이비는? (단, 각 경우에서 지름과 한변의 길이는 20cm 이다.)
     1. √3/2
     2. 5
     3. 3
     4. √5/2

     정답 : []
     정답률 : 52%

4. 그림과 같은 구조물에 수직하중이 100 N이 작용하고 있을 때, AC 및 BC 강선에 발생하는 힘은 몇 N 인가?

   

     1. 50
     2. 100
     3. 80
     4. 57.7

     정답 : []
     정답률 : 53%
     <문제 해설>
100/sin60 = AC/sin150 = BC/sin150
[해설작성자 : 2221]

5. 수직 변형률 εx=200x10-6, εy=50x10-6, 전단변형률 γxy=-120x10-6 인 평면변형률 상태의 주변형률은?
     1. 267x10-6, 16x10-6
     2. -267x10-6, 16x10-6
     3. -221x10-6, 29x10-6
     4. 221x10-6, 29x10-6

     정답 : []
     정답률 : 39%

6. 그림과 같은 단순지지보에 하중 400 N이 작용할 때 C단면의 아래쪽 섬유에서의 굽힘응력은 몇 MPa 인가?

   

     1. 4.5 (압축)
     2. 45 (압축)
     3. 4.5 (인장)
     4. 45 (인장)

     정답 : []
     정답률 : 33%

7. 바깥지름이 46mm인 속이 빈축이 120kW의 동력을 전달하는 데 이 때의 각속도는 40 rev/s 이다. 이 축의 허용비틀림 응력이 τa = 80 MPa 일 때, 최대 안지름은 몇 mm 인가?
     1. 21.8
     2. 41.8
     3. 36.8
     4. 84.8

     정답 : []
     정답률 : 31%

8. 그림과 같이 외팔보가 자유단에서 시계방향의 우력 M 을 받는 경우, 자유단의 처짐 δ는?

   

     1.
     2.
     3.
     4.

     정답 : []
     정답률 : 62%

9. σx=60 MPa, σy=50 MPa, τxy=30 MPa일 때 주응력 σ1과 σ2 는 각각 몇 MPa 인가?
     1. σ1 ≒ 60, σ2 ≒ 50
     2. σ1 ≒ 80, σ2 ≒ 90
     3. σ1 ≒ 85.4, σ2 ≒ 24.6
     4. σ1 ≒ 88.0, σ2 ≒ 32.6

     정답 : []
     정답률 : 57%

10. 단면의 형상이 일정한 재료에 노치(notch)부분을 만들어 인장할 때 응력의 분포 상태는 어느 것이 옳은가?
     1.
     2.
     3.
     4.

     정답 : []
     정답률 : 49%

11. 연강 1cm3의 무게는 0.0785 N이다. 길이 15m의 둥근봉을 매달 때 상단고정부에 발생하는 인장응력은 몇 kPa인가?
     1. 0.118
     2. 1177.5
     3. 117.8
     4. 11890

     정답 : []
     정답률 : 37%

12. 그림과 같이 1000N 의 힘이 브래킷의 A에 작용하고 있다. 이 힘의 점 B에 대한 모멘트는 몇 N∙m 인가?

    

     1. 160
     2. 200
     3. 238.6
     4. 253.2

     정답 : []
     정답률 : 39%

13. 반지름 r인 원형축의 양단에 비틀림 모멘트 Mt가 작용될 경우 축의 양단 사이의 최대 비틀림각은? (단, 축의 길이는 L이고, 전단 탄성계수는 G이다.)
     1.
     2.
     3.
     4.

     정답 : []
     정답률 : 43%

14. 그림과 같이 일단을 고정한 L형보에 표시된 하중이 작용 할 때 고정단에서의 굽힘모멘트는?

    

     1. 300 kN·m
     2. 175 kN·m
     3. 105 kN·m
     4. 52.5 kN·m

     정답 : []
     정답률 : 48%

15. 축에 두께가 얇은 링을 가열 끼워맞춤(shrinkage fit)하였을 때 축 및 링에 각각 어떤 응력이 생기는가?
     1. 축에 압축응력, 링에 인장응력
     2. 축에 인장응력, 링에 압축응력
     3. 축과 링 모두에 인장응력
     4. 축과 링 모두에 압축응력

     정답 : []
     정답률 : 39%
     <문제 해설>
손가락에 꽉 끼는 반지와 피부와 반지와의 작용 반작용을 생각해보면 됨
[해설작성자 : 쉽게가자]

16. 그림과 같은 원형단면을 가진 연강 봉재가 200 kN의 인장 하중을 받아 늘어났을 때, 늘어난 전체길이는 몇 cm인가? (단, 탄성계수 E = 200 GPa 이다.)

    

     1. 40.068
     2. 40.059
     3. 40.040
     4. 40.031

     정답 : []
     정답률 : 64%

17. 그림과 같은 단면을 가진 단순보 AB에 하중 P가 작용할 때 A단에서 0.2m 떨어진 곳의 굽힘응력은 몇 MPa 인가?

    

     1. 20
     2. 30
     3. 40
     4. 50

     정답 : []
     정답률 : 41%

18. 단면적이 10cm2인 봉을 30℃에서 수직으로 매달고 10℃로 냉각하였을 때 원래의 길이를 유지하려면 봉의 하단에 몇 kN 의 하중을 가하면 되는가? (단, 탄성계수 E = 200 GPa, 선팽창계수 α=1.2x10-5)
     1. 35
     2. 17
     3. 26
     4. 48

     정답 : []
     정답률 : 41%

19. 어떤 재료의 탄성계수 E 와 전단탄성계수 G를 알아보았더니 E=210GPa, G=83GPa를 얻었다. 재료의 포아송비는?
     1. 0.265
     2. 0.115
     3. 1.0
     4. 0.435

     정답 : []
     정답률 : 62%

20. 그림에서 빗금친 부분의 도심을 구한 것은? (곡선의 방정식은 y3=2x이고, x, y는 cm 단위이다.) (순서대로 x, y)

    

     1. 1.210, 1.653
     2. 1.284, 1.724
     3. 1.305, 1.983
     4. 1.423, 1.724

     정답 : []
     정답률 : 19%

2과목 : 기계열역학


21. 밀폐 시스템이 압력 P1 = 2 bar, 체적 V1 = 0.1 m3 인 상태에서 P2 = 1 bar, V2 = 0.3 m3인 상태까지 가역 팽창 되었다. 이 과정이 P-V 선도에 직선으로 표시된다면 이 과정동안 시스템이 한 일은?
     1. 10 kJ
     2. 20 kJ
     3. 30 kJ
     4. 45 kJ

     정답 : []
     정답률 : 39%

22. 온도가 -23℃인 냉동실로부터 기온이 27℃인 대기 중으로 열을 뽑아내는 가역 냉동기가 있다. 이 냉동기의 성능계수는?
     1. 3
     2. 4
     3. 5
     4. 6

     정답 : []
     정답률 : 57%

23. 잘 단열된 노즐로 공기가 운동에너지가 무시될 정도의 매우 낮은 속도 800 kPa, 450 K의 상태로 들어가 150 kPa로 나온다. 노즐 효율은 90%이다. 출구에서 공기의 속도와 온도는? (단, 공기는 이상 기체이며, 정압 비열은 1.004kJ/kg∙K, 비열비는 1.4이다.)
     1. 17.6 m/s, 279 K
     2. 17.6 m/s, 296 K
     3. 556 m/s, 279 K
     4. 556 m/s, 296 K

     정답 : []
     정답률 : 12%
     <문제 해설>
T2/T1=(P2/P1)^[(k-1)/(k)]
T2=450×(150k/800k)^(0.4÷1.4)=278.9K

1/2(w2^2-w1^2)=(h1-h2)
w1=0, dh=cpdT =>h1-h2= cp(T1-T2).노즐 효율(단열 열낙차의 비율) n=0.9
w2^2=2×n×cp×(T1-T2)=2×0.9×1.004k×(450K-279K)
=>w2=555.9m/s

24. 밀폐 시스템의 가역 정압 변화에 관한 다음 사항 중 올바른 것은? (단, u ; 내부에너지, Q ; 전달열, h ; 엔탈피, v ; 비체적, W ; 일이다)
     1. du = δQ
     2. dh = δQ
     3. dv = δQ
     4. dW = δQ

     정답 : []
     정답률 : 39%

25. 20℃의 공기 5 kg이 정압 과정을 거쳐 체적이 2 배가 되었다. 공급한 열량은 몇 kJ인가? (단, 정압 비열은 1 kJ/kg∙K 이다.)
     1. 1465
     2. 2465
     3. 3465
     4. 4465

     정답 : []
     정답률 : 49%

26. 수은 마노미터를 사용하여 한 장치 내의 공기 유동이 측정된다. 마노미터의 높이차는 30 ㎜이다. 오리피스 전후에서의 압력 강하는? (단, 수은의 밀도는 13600 ㎏/m3 이고, 중력가속도 g = 9.75 ㎧2이다.)
     1. 3978 Pa
     2. 3.978 x 109 Pa
     3. 3.978 x 106 Pa
     4. 3.978 x 104 Pa

     정답 : []
     정답률 : 43%

27. 어떤 기체 1 ㎏이 압력 100 kPa, 온도 30℃의 상태에서 체적 0.8 m3을 점유한다면 기체상수는 몇 kJ/kg∙K인가?
     1. 0.251
     2. 0.264
     3. 0.275
     4. 0.293

     정답 : []
     정답률 : 60%

28. 2C2H6 + 7O2 = 4CO2 + 6H2O의 식에서 1 kmol의 C2H6가 완전연소하기 위하여 필요한 산소량은?
     1. 1.5 kmol
     2. 2.5 kmol
     3. 3.5 kmol
     4. 4.5 kmol

     정답 : []
     정답률 : 30%

29. 15 kW의 디젤 기관에서 마찰 손실이 그 출력의 15%일 때 손실에 의해서 시간당 발생되는 열량은?
     1. 4590 kJ
     2. 810 kJ
     3. 45900 kJ
     4. 8100 kJ

     정답 : []
     정답률 : 18%

30. 계기 압력이 0.6 MPa인 보일러에서 온도 15℃의 물을 급수하여 건포화증기 20 ㎏을 발생하기 위해 필요한 열량을 다음 표를 이용하여 산출하면 그 값은? (단, 대기압은 0.1 MPa, 물의 평균 비열은 4.18 kJ/kg℃ 이다.)

    

     1. 약 2.7 MJ
     2. 약 13.2 MJ
     3. 약 53.9 MJ
     4. 약 85.1 MJ

     정답 : []
     정답률 : 25%

31. 두 개의 등엔트로피 과정과 두 개의 정적 과정으로 이루어진 사이클은?
     1. Stirling 사이클
     2. Otto 사이클
     3. Ericsson 사이클
     4. Carnot 사이클

     정답 : []
     정답률 : 42%

32. 작동 유체가 상태 1로부터 상태 2까지 가역변화 할 때의 엔트로피 변화에 관하여 다음 어느 것이 가장 알맞는가?
     1.
     2.
     3.
     4.

     정답 : []
     정답률 : 50%

33. 액체 상태 물 2 kg을 30℃에서 80℃로 가열하였다. 이 과정 동안 물의 엔트로피 변화량을 구하면? (단, 액체 상태 물의 비열은 4.184 kJ/kg∙K로 일정하다.)
     1. 0.6391 kJ/K
     2. 1.278 kJ/K
     3. 4.100 kJ/K
     4. 8.208 kJ/K

     정답 : []
     정답률 : 52%

34. 아음속 유동을 가속시켜 초음속 유동으로 만들려고 한다. 어떠한 노즐을 사용하면 가능한가?
     1. 단면적이 감소하는 축소 노즐을 사용한다.
     2. 단면적이 증가하는 확대 노즐을 사용한다.
     3. 단면적이 감소하였다가 증가하는 축소-확대 노즐을 사용한다.
     4. 단면적이 증가하였다가 감소하는 확대-축소 노즐을 사용한다.

     정답 : []
     정답률 : 44%

35. 유체가 20 m/s의 속도로 단열 노즐에 들어가서 400 m/s의 속도로 나온다면 엔탈피의 증가량은 몇 kJ/kg인가?
     1. 79.8
     2. -79.8
     3. 79800
     4. -79800

     정답 : []
     정답률 : 36%

36. 실제 기체가 이상 기체의 상태 방정식을 근사적으로 만족하는 경우는?
     1. 압력이 높고 온도가 낮을 때
     2. 압력이 낮고 온도가 높을 때
     3. 온도, 압력이 모두 높을 때
     4. 온도, 압력이 모두 낮을 때

     정답 : []
     정답률 : 43%

37. 비가역 사이클의 내부에너지 변화량 ΔU는?
     1. ΔU = 0
     2. ΔU > 0
     3. ΔU < 0
     4. ΔU > 1

     정답 : []
     정답률 : 25%

38. 탄소 2 ㎏이 완전 연소할 때 생성되는 CO2 가스의 양은 몇 kg이 되겠는가?
     1. 2.75
     2. 3.66
     3. 5.33
     4. 7.33

     정답 : []
     정답률 : 26%

39. 랭킹 사이클에서 응축기 압력이 5 kPa이고 토출 압력이 10 MPa인 펌프의 일은 약 몇 kJ/㎏인가? (단, 물의 비체 적은 0.001 m3/㎏으로 일정하다.)
     1. 3
     2. 5
     3. 10
     4. 15

     정답 : []
     정답률 : 44%

40. 열기관이나 냉동기에서 작동유체(또는 냉매)의 고온쪽 온도를 Ta, 저온쪽 온도를 Tb, 외부의 고온열원 및 저온열원의 온도를 각각 Ta', Tb'라고 하고, 여기서 사이클이 가역이라면 다음의 온도 관계가 우선 성립해야 한다. 옳은 것은?
     1. Ta = Ta', Tb = Tb'
     2. Ta > Ta' > Tb' > Tb
     3. Ta > Ta', Tb > Tb'
     4. Ta' > Ta > Tb > Tb'

     정답 : []
     정답률 : 31%

3과목 : 기계유체역학


41. 그림과 같이 왼쪽에는 밀도가 1000 kg/m3 인 액체(A), 오른쪽에는 밀도가 1500 kg/m3인 액체(B)가 벽으로 분리되어 있다. 벽의 폭이 10 m일 때, 이 벽은 어느 쪽으로 몇 kN의 힘을 받는가?

    

     1. 왼쪽으로 196
     2. 오른쪽으로 196
     3. 왼쪽으로 392
     4. 오른쪽으로 392

     정답 : []
     정답률 : 39%

42. 평판에서 층류 경계층의 두께는 다음 어느 값에 비례하는가? (단, 여기서 X는 평판의 선단으로부터의 거리이다.)
     1.
     2.
     3.
     4.

     정답 : []
     정답률 : 45%

43. 2 m3의 탱크에 지름이 0.05 m의 파이프를 통하여 물(점성계수 0.001 Pa.s)을 채우려고 한다. 파이프 내의 유동이 계속 층류를 유지시키면서 물을 완전히 채우려면 최소 몇 시간이 걸리겠는가? (단, 임계 레이놀즈수는 2000 이다.)
     1. 2.35
     2. 25.4
     3. 7.1
     4. 0.7

     정답 : []
     정답률 : 34%

44. 기체의 성질 중 체적탄성계수와 가장 관계있는 것은?
     1. 온도와 무관하다.
     2. 압력의 증가에 따라 증가한다.
     3. 점성 계수에 비례한다.
     4. 비중량과 같은 단위를 가진다.

     정답 : []
     정답률 : 39%

45. 지름이 5cm인 원형관에 비중이 0.7인 오일이 3 m/s의 속도로 흐를 때, 체적유량과 질량유량은 각각 얼마인가? (단, 물의 밀도는 1000 kg/m3 이다.)
     1. 0.59 m3/s, 41.3 kg/s
     2. 0.059 m3/s, 41.3 kg/s
     3. 0.0059 m3/s, 4.13 kg/s
     4. 0.59 m3/s, 4.13 kg/s

     정답 : []
     정답률 : 39%

46. 역학적 상사성(相似性)이 성립하기 위해 프루드(Froude) 수를 같게 해야 되는 흐름은?
     1. 자유표면을 가지는 유체의 흐름
     2. 점성 계수가 큰 유체의 흐름
     3. 표면 장력이 문제가 되는 흐름
     4. 압축성을 고려해야 되는 유체의 흐름

     정답 : []
     정답률 : 54%

47. 다음 중 Bernoulli 방정식을 적용하기 위한 제한 조건에 속하지 않는 것은?
     1. 점성 유동
     2. 정상 유동
     3. 비압축성 유동
     4. 하나의 유선을 따르는 유동

     정답 : []
     정답률 : 45%

48. 다음 중 원관속의 층류 유동에서 하겐-포아젤 방정식을 나타내는 것은? (단, μ 는 점성계수, Q는 유량, P는 압력을 나타낸다.)

    

     1.
     2.
     3.
     4.

     정답 : []
     정답률 : 50%

49. 다음 중 무차원수가 되는 것은? (단, ρ:밀도, μ:점성계수, F:힘, Q:유량, V:속도)
     1.
     2.
     3.
     4.

     정답 : []
     정답률 : 54%

50. 그림과 같이 포텐셜 유동이 원주 주위를 흐르고 있다. 원주 표면상에서 상류 유속과 같은 유속이 나타나는 위치 (θ)는?

    

     1.
     2. 30°
     3. 45°
     4. 90°

     정답 : []
     정답률 : 39%

51. 어떤 기름의 점성계수 μ가 1.6 x 10-2 N· s/m2이고 밀도 ρ는 800 kg/m3이다. 이 기름의 동점성계수 ν는 몇 m2/s 인가?
     1. 2.0 × 10-2
     2. 2.0 × 10-3
     3. 2.0 × 10-4
     4. 2.0 × 10-5

     정답 : []
     정답률 : 50%

52. 심해 탐사용 잠수정은 대양의 매우 깊은 곳까지 잠수할 수 있다. 바닷물의 비중량이 10.1 kN/m3으로 일정하다고 가정할 때, 해저 6km에서의 계기압력은 몇 MPa 인가?
     1. 50.7
     2. 57.2
     3. 60.6
     4. 65.3

     정답 : []
     정답률 : 64%

53. 조종사가 2000 m의 상공을 일정속도로 낙하산으로 강하하고 있다. 조종사의 무게가 1000 N, 낙하산 직경이 7m, 항력계수가 1.3 일 때 속도는 몇 m/s인가? (단, 공기 밀도 ρ 는 1 kg/m3 이다.)
     1. 4.99
     2. 6.3
     3. 7.5
     4. 8

     정답 : []
     정답률 : 42%

54. 비중이 S 인 액체의 표면으로부터 h [m] 깊이에 있는 점의 압력은 수은주로 몇 m 인가?
     1. 13.6 Sh
     2. Sh/13.6
     3. 1000Sh/13.6
     4. 13.6Sh/1000

     정답 : []
     정답률 : 36%

55. 해면에 떠 있는 얼음의 체적은 전체 체적의 얼마정도 인가? (단, 얼음의 비중은 0.92, 해수(海水)의 비중량은 10000 N/m3이다.)
     1. 약 1/5
     2. 약 2/5.
     3. 약 1/10
     4. 약 3/10

     정답 : []
     정답률 : 49%

56. 물탱크의 수면 아래 1m의 측벽에 내경 10mm, 길이 1m의 원형파이프를 붙여서 물을 이 파이프로 유출시킬 때의 유량은 몇 m3/s 인가? (단, 관의 마찰계수 f = 0.03 이다.)
     1. 1.74 x 10-4
     2. 2.67 x 10-4
     3. 2.96 x 10-4
     4. 3.05 x 10-4

     정답 : []
     정답률 : 11%

57. 유선(stream line)이란?
     1. 유체의 흐름에 있어서 속도 벡터에 대하여 수직한 방향을 갖는 선이다.
     2. 유체의 흐름에 있어서 유동단면의 중심을 연결한 선이다.
     3. 유체의 흐름에 있어서 모든 점에서 속도 벡터의 방향을 갖는 연속적인 선이다.
     4. 비정상류 흐름에서만 유동의 특성을 보여주는 선이다.

     정답 : []
     정답률 : 38%

58. 그림과 같이 관로에 액주계가 설치되어 있을 때 공기의 속도는 몇 m/s 인가? (단, 공기의 밀도=1.23 kg/m3)

    

     1. 1.4
     2. 28.2
     3. 39.9
     4. 44.3

     정답 : []
     정답률 : 40%

59. 그림에서 탱크차가 받는 추력은 몇 N정도인가? (단, 노즐의 단면적은 0.03m2이며 마찰은 무시한다.)

    

     1. 2700
     2. 1480
     3. 5350
     4. 800

     정답 : []
     정답률 : 20%
     <문제 해설>
압력에 대한 상당수두 H=40000/9800=4.082m
V=(2*g*(5+4.082))^(1/2)
F=pQV=pAV^2=5340
[해설작성자 : 필기넘어 실기]

60. 다음 그림에서 관입구의 부차적 손실계수 K는? (단, 관의 안지름은 20mm, 관마찰계수 f=0.0188 이다.)

    

     1. 0.0188
     2. 0.273
     3. 0.425
     4. 0.621

     정답 : []
     정답률 : 30%

4과목 : 기계재료 및 유압기기


61. 베인 펌프의 특성을 설명한 것 중 옳지 않은 것은?
     1. 평균 효율이 피스톤 펌프보다 높다.
     2. 토출 압력의 맥동과 소음이 적다.
     3. 단위 무게당 용량이 커 형상치수가 작다.
     4. 베인의 마모로 인한 압력저하가 적어 수명이 길다.

     정답 : []
     정답률 : 42%
     <문제 해설>
왕복펌프(피스톤, 플런저 펌프)가 회전펌프(베인 펌프)보다 효율이 좋습니다.
[해설작성자 : Engineers Help]

62. 그림과 같은 유압 회로에 대한 일반적인 설명으로 잘못된 것은?

    

     1. 동력원 유니트 회로이다
     2. 펌프 출구에 릴리프 밸브가 있다.
     3. 최소 압력을 제한하기 위한 회로이다
     4. 정용량형 펌프의 과부하 방지용으로 사용한 것이다.

     정답 : []
     정답률 : 30%

63. 유압유의 물리적 성질 중에서 동계 운전시에 가장 중요하게 고려해야 할 성질은?
     1. 압축성
     2. 유동점
     3. 인화점
     4. 비중과 밀도

     정답 : []
     정답률 : 65%

64. 다음 합금 중 톱날이나 줄의 재료로 가장 적합한 재료는 어느 것인가?
     1. 스텐레스강
     2. 저탄소강
     3. 고탄소강
     4. 구상흑연주철

     정답 : []
     정답률 : 56%

65. 다음과 같은 유압용어의 설명으로 잘못된 것은?
     1. 점성계수의 차원은 [ML-1T]이다.
     2. 동점성계수의 단위는 [St]을 사용한다.
     3. 유압 작동유의 점도는 온도에 따라 변한다.
     4. 점도란 액체의 내부 마찰에 기인하는 점성의 정도를 나타낸 것이다.

     정답 : []
     정답률 : 46%

66. 펌프의 압력이 80kg/cm2, 토출유량이 50(ℓ /min)인 레디 얼 피스톤 펌프의 소요동력(PS)은? (단, 펌프 효율은 0.85이다)
     1. 10.46
     2. 104.6
     3. 7.69
     4. 14.25

     정답 : []
     정답률 : 40%

67. 서지압 발생원에 가까이 장착하여 충격 압력을 흡수하여 배관, 밸브, 계기류를 보호하는 기기는?
     1. 디퓨져
     2. 액추에이터
     3. 드로틀
     4. 어큐뮬레이터

     정답 : []
     정답률 : 58%

68. 니켈-크롬강에 이 원소를 첨가시키면 강인성을 증가시키고 질량 효과를 감소시키며, 뜨임 메짐을 방지하는데 가장 적합한 이 원소의 명칭은?
     1. Mn
     2. Mo
     3. V
     4. W

     정답 : []
     정답률 : 55%

69. 주철중에 함유되는 유리탄소라는 것은 어느것인가?
     1. Fe3C(cementite)
     2. 화합탄소
     3. 전탄소
     4. 흑연

     정답 : []
     정답률 : 36%

70. 게이지류나 측정공구를 만들 때 치수변화를 없애기 위해 담금질한 강재를 실온까지 냉각한 후 계속해서 0℃ 이하의 온도로 냉각하여 잔류 오스테나이트를 적게하는 열처리 법은?
     1. 오스템퍼(Austemper)
     2. 마퀜칭(Marquenching)
     3. 마템퍼링(Martempering)
     4. 심냉처리(Sub-Zero Cooling)

     정답 : []
     정답률 : 80%

71. 구상흑연 주철과 가단주철의 공통점은 어느 것인가?
     1. 보통주철에 비해 인성, 연성이 매우 크다.
     2. 보통주철에 비해 매우 여리고 취약하다.
     3. 구상흑연 주철이나 가단주철은 공히 접종에 의해 제조된 주철이다.
     4. 구상흑연 주철은 특수주철이고, 가단주철은 보통주철이다.

     정답 : []
     정답률 : 49%

72. 표준 고속도강의 성분은 다음 중 어느 것인가?
     1. W(18%) - Cr(4%) - V(1%)
     2. W(18%) - Mn(4%) - V(1%)
     3. W(18%) - Cr(4%) - Mn(1%)
     4. Cr(18%) - W(4%) - Mo(1%)

     정답 : []
     정답률 : 66%

73. 합금공구강 중 담금질 변형이 적고 1000℃까지 내열성이 있어 내연기관의 밸브로 사용되는 재료는?
     1. W강
     2. V강
     3. B강
     4. Si-Cr강

     정답 : []
     정답률 : 35%

74. Ni과 그 합금의 현미경 조직시험에서 부식제로 가장 적합한 것은?
     1. 왕수용액
     2. 피크르산 알콜용액
     3. 질산 및 초산용액
     4. 염화 제이철용액

     정답 : []
     정답률 : 41%

75. 냉각가공의 공정도중에 실시하며 가공성의 향상이나 가공후의 균열방지를 위한 풀림 작업은?
     1. 중간풀림
     2. 저온풀림
     3. 구상화풀림
     4. 항온풀림

     정답 : []
     정답률 : 24%

76. 다음 기호와 같은 압력제어 밸브는?

    

     1. 감압 밸브
     2. 릴리프 밸브
     3. 언로드 밸브
     4. 시퀀스 밸브

     정답 : []
     정답률 : 68%

77. 다음 중 펌프에서 토출된 유량의 맥동을 흡수하고, 토출된 압유를 축적하여 간헐적으로 요구되는 부하에 대해서 압유를 방출하여 펌프를 소경량화 할 수 있는 기기는?
     1. 어큐뮬레이터(accumulator)
     2. 스트레이너(strainer)
     3. 오일 냉각기
     4. 필터(filter)

     정답 : []
     정답률 : 65%

78. 두개 이상의 분기회로를 갖는 회로 중에서 그의 작동순서를 회로의 압력 또는 유압실린더 등의 운동에 의해서 규제하는 자동 밸브는?
     1. 릴리프 밸브(relief valve)
     2. 시퀀스 밸브(sequence valve)
     3. 언로딩 밸브(unloading valve)
     4. 카운터 밸런스 밸브(counter valance valve)

     정답 : []
     정답률 : 69%

79. Fe -C 상태도에서 온도가 가장 낮은 것은?
     1. 공석점
     2. 포정점
     3. 공정점
     4. 자기변태점

     정답 : []
     정답률 : 50%

80. 다음은 피스톤 펌프의 특징을 설명한 것이다 이들 중 틀리는 것은?
     1. 가변용량형 펌프로 제작이 가능하다
     2. 피스톤의 배열에 따라 외접식과 내접식으로 나눈다
     3. 고압에서 누설이 적고 체적효율이 좋다
     4. 고속 운전이 가능하고 설치면적이 작다

     정답 : []
     정답률 : 43%

81. 질량 m, 길이 L 의 가는 막대 AB가 A점을 중심으로 회전한다. θ =60°의 정지상태의 막대를 놓는 순간 막대 AB의 각가속도는 얼마인가?

    

     1.
     2.
     3.
     4.

     정답 : []
     정답률 : 37%

82. 1자유도 질량-스프링계에서 초기조건으로 변위 xo가 주어진 상태에서 가만히 놓아 진동이 일어난다면 진동변위를 표시하는 식은?
     1. xo cosωnt
     2. xo sinωnt
     3. xo cos2ωnt
     4. xo sin2ωnt

     정답 : []
     정답률 : 25%

83. 광파 간섭현상을 이용하여 평면도를 측정하는 것은?
     1. 옵티컬 플랫 (optical flat)
     2. 공구 현미경
     3. 오토 콜리메이터 (autocollimater)
     4. NF식 표면 거칠기 측정기

     정답 : []
     정답률 : 52%

84. 그림과 같은 외팔보에 초기변위 5mm를 가한 뒤 외팔보의 끝단에서 세번째 진동변위를 측정한 값이 3mm 이었다면 이 외팔보의 대수감소율은?

    

     1.
     2.
     3.
     4.

     정답 : []
     정답률 : 27%

85. 주축중심선과 테이블의 상대 위치에 대한 정밀 측정장치를 가지고 있는 것은?
     1. 보통 보링 머신
     2. 지그 보링 머신
     3. 수직 보링 머신
     4. 심공 보링 머신

     정답 : []
     정답률 : 35%

86. 인벌류트 치형의 피치오차를 측정하는 데, 가장 적합한 측정기는?
     1. 실린더 게이지
     2. 마이크로미터
     3. 다이얼 게이지
     4. 버니어캘리퍼스

     정답 : []
     정답률 : 25%

87. 질량 10 kg의 물체가 진폭 24cm, 주기 4sec의 단진동을 할 때 t = 0에서 좌표가 +24cm 였다면 t = 0.5sec일 때 물체에 미치는 힘의 크기와 방향은?
     1. +2.86 N
     2. -4.18 N
     3. -2.86 N
     4. +4.18 N

     정답 : []
     정답률 : 25%

88. 다음 중 전기저항 용접에 해당되는 것은?
     1. TIG용접
     2. 스텃용접
     3. MIG용접
     4. 프로젝션용접

     정답 : []
     정답률 : 48%

89. 어떤 물체가 x(t)= Asin(4t+φ)로 진동하고 있다. 진동주기 T는?
     1. 1.57
     2. 2.54
     3. 4.71
     4. 6.28

     정답 : []
     정답률 : 53%

90. 1자유도 시스템에서 감쇠비가 0.1인 경우 대수감소율은?
     1. 0.2315
     2. 0.4315
     3. 0.6315
     4. 0.8315

     정답 : []
     정답률 : 45%

91. 주철 중에서 흑연의 분리를 촉진시키는 원소는?
     1. 황 ( S )
     2. 인 ( P )
     3. 망간 ( Mn )
     4. 규소 ( Si )

     정답 : []
     정답률 : 29%
     <문제 해설>
흑연화: 시멘타이트(Fe3C)를 분해하여 흑연을 만드는 열처리
1. 흑연화 촉진제: Si, Ni,    Al, Ti, Co
2. 흑연화 방지제: Mo, Mn, Cr, S, V, W

92. 다음의 기계요소 중 에너지보존력과 관계가 있는 것은?
     1. 스프링
     2. 감쇠기(shock absorber)
     3. 유압 액츄에이터(actuator)
     4. 전기모터

     정답 : []
     정답률 : 54%

93. 브로우칭 작업에서 브로우치(broach)를, 운동방향에 따라 분류했을때 여기에 해당되지 않는 것은?
     1. 인발 브로우치
     2. 압출 브로우치
     3. 전조 브로우치
     4. 회전 브로우치

     정답 : []
     정답률 : 25%

94. 모재 표면위에 미리 미세한 입상(粒狀)의 용제를 산포하여 두고 이 용제속으로 용접봉을 꽂아, 넣어하는 아크 용접은?
     1. 서브머지드 아크 용접
     2. 원자수소(原子水素)아크 용접
     3. 탄산가스 아크 용접
     4. MIG용접

     정답 : []
     정답률 : 50%

95. 그림과 같이 지면으로부터 각도 θ , 초기속도 v0로 쏘아올린 포물체의 최고 높이를 H, 수평 도달거리를 L이라고 하면 H/L의 값은?

    

     1. tan θ
     2. 1/2 tan θ
     3. 1/3tan θ
     4. 1/4 tan θ

     정답 : []
     정답률 : 25%

96. 15000kg의 화물열차가 우측 1.5m/s 의 속도로 움직여서 좌측으로 1.0m/s로 움직이는 12000kg의 탱크차와 서로 결합한다. 두 차가 만나서 연결될 때, 연결직후의 두차의 속도는 얼마인가?
     1. 우측으로 0.39 m/s
     2. 우측으로 0.50 m/s
     3. 우측으로 0.70 m/s
     4. 우측으로 1.04 m/s

     정답 : []
     정답률 : 49%

97. 강철을 소성가공할 때에 고온가공과 상온가공은 무엇으로 구별하는가?
     1. 재결정 온도
     2. 변태점 온도
     3. 담금질 온도
     4. 어닐링 온도

     정답 : []
     정답률 : 57%

98. 그림과 같은 용기(容器)를 드로잉(drawing)하는 데, 소요되는 소재판의 지름을 구하는 식으로 옳은 것은?

    

     1.
     2.
     3.
     4.

     정답 : []
     정답률 : 15%

99. 수평면과 α의 각을 이루는 마찰이 있는 경사면에서 무게가 W인 물체를 힘 P를 가하여 등속력으로 끌어올릴 때, 인장력 P가 한 일에 대한 무게 W를 들어올리는 일의 비, 즉 효율은?

    

     1. 1/1+μcosα
     2. 1/1-μcosα
     3. 1/1+μsinα
     4. 1/1-μsinα

     정답 : []
     정답률 : 28%

100. 공기중에 냉각하여도 수중에 담금질한 것과 같은 효과를 나타내는 것은?
     1. 공랭성
     2. 시효성
     3. 냉각성
     4. 자경성

     정답 : []
     정답률 : 34%


정 답 지

1

2

3

4

5

6

7

8

9

10

11

12

13

14

15

16

17

18

19

20

21

22

23

24

25

26

27

28

29

30

31

32

33

34

35

36

37

38

39

40

41

42

43

44

45

46

47

48

49

50

51

52

53

54

55

56

57

58

59

60

61

62

63

64

65

66

67

68

69

70

71

72

73

74

75

76

77

78

79

80

81

82

83

84

85

86

87

88

89

90

91

92

93

94

95

96

97

98

99

100

일반기계기사 필기 기출문제(해설) 및 CBT 2003년03월16일을 이용해 주셔서 감사합니다.
, 필기, 기출문제, 전자문제집, CBT, 온라인, 모의테스트, 모의고사



List of Articles
번호 제목 글쓴이 날짜 조회 수
3426 지게차유사(롤러,기중기등) 필기 기출문제(해설) 및 CBT 2013년07월21일(7779) new 좋은아빠되기 2025.10.07 0
3425 지게차유사(롤러,기중기등) 필기 기출문제(해설) 및 CBT 2013년10월12일(7780) new 좋은아빠되기 2025.10.07 0
3424 지게차유사(롤러,기중기등) 필기 기출문제(해설) 및 CBT 2014년01월26일(7781) new 좋은아빠되기 2025.10.07 0
3423 지게차유사(롤러,기중기등) 필기 기출문제(해설) 및 CBT 2014년04월06일(7782) new 좋은아빠되기 2025.10.07 1
3422 지게차유사(롤러,기중기등) 필기 기출문제(해설) 및 CBT 2014년07월20일(7783) new 좋은아빠되기 2025.10.07 0
3421 지게차유사(롤러,기중기등) 필기 기출문제(해설) 및 CBT 2014년10월11일(7784) new 좋은아빠되기 2025.10.07 1
3420 지게차유사(롤러,기중기등) 필기 기출문제(해설) 및 CBT 2015년01월25일(7785) new 좋은아빠되기 2025.10.07 0
3419 지게차유사(롤러,기중기등) 필기 기출문제(해설) 및 CBT 2015년04월04일(7786) new 좋은아빠되기 2025.10.07 0
3418 지게차유사(롤러,기중기등) 필기 기출문제(해설) 및 CBT 2015년07월19일(7787) new 좋은아빠되기 2025.10.07 1
3417 지게차유사(롤러,기중기등) 필기 기출문제(해설) 및 CBT 2015년10월10일(7788) new 좋은아빠되기 2025.10.07 0
3416 지게차유사(롤러,기중기등) 필기 기출문제(해설) 및 CBT 2016년01월24일(7789) new 좋은아빠되기 2025.10.07 0
3415 지게차유사(롤러,기중기등) 필기 기출문제(해설) 및 CBT 2016년04월02일(7790) new 좋은아빠되기 2025.10.07 0
3414 지게차유사(롤러,기중기등) 필기 기출문제(해설) 및 CBT 2016년07월10일(7791) new 좋은아빠되기 2025.10.07 0
3413 일반기계기사 필기 기출문제(해설) 및 CBT 2002년03월10일(7792) new 좋은아빠되기 2025.10.07 0
3412 일반기계기사 필기 기출문제(해설) 및 CBT 2002년05월26일(7793) new 좋은아빠되기 2025.10.07 0
» 일반기계기사 필기 기출문제(해설) 및 CBT 2003년03월16일(7794) new 좋은아빠되기 2025.10.07 0
3410 일반기계기사 필기 기출문제(해설) 및 CBT 2003년05월25일(7795) new 좋은아빠되기 2025.10.07 1
3409 일반기계기사 필기 기출문제(해설) 및 CBT 2003년08월31일(7796) new 좋은아빠되기 2025.10.07 0
3408 일반기계기사 필기 기출문제(해설) 및 CBT 2004년03월07일(7797) new 좋은아빠되기 2025.10.07 0
3407 일반기계기사 필기 기출문제(해설) 및 CBT 2004년05월23일(7798) new 좋은아빠되기 2025.10.07 0
Board Pagination Prev 1 ... 368 369 370 371 372 373 374 375 376 377 ... 544 Next
/ 544