자격증 필기 기출문제



사회조사분석사 2급 필기 기출문제(해설) 및 CBT 2003년08월10일(7945)

최강 자격증 기출문제 전자문제집 CBT : www.comcbt.com


전자문제집 CBT란?

종이 문제집이 아닌 인터넷으로 문제를 풀고 자동으로 채점하며 모의고사, 오답 노트, 해설까지 제공하는
무료 기출문제 학습 프로그램으로 실제 상설검정에서 사용하는 OMR 형식의 CBT를 제공합니다.


최신 사회조사분석사 2급 필기 기출문제 : [다운로드]

1과목 : 조사방법론 I


1. A후보와 B후보의 이미지 비교프로파일을 보여주는 아래의 그림은 다음 어느 척도를 사용한 것인가?

   

     1. 서스톤 척도(Thurston Scale)
     2. 리커트 척도(Likert Scale)
     3. 거트만 척도(Guttman Scale)
     4. 의미분화척도(Semantic Differential Scale)

     정답 : []
     정답률 : 80%

2. 자료수집방법 중 조사자가 미완성의 문장을 제시하면 응답자가 이 문장을 완성시키는 방법은?
     1. 투사법
     2. 면접법
     3. 관찰법
     4. 내용분석법

     정답 : []
     정답률 : 85%

3. 평정하여야 할 특징이 두 가지 이상일 때, 평정자가 한가지 특성에 대하여 강력한 인상을 가지게 되어 다른 특징에 대해서도 비슷한 평가를 내리려는 성향은?
     1. 후광효과(halo effect)
     2. 관용의 오류
     3. 중간화 경향
     4. 단일화 경향

     정답 : []
     정답률 : 66%

4. 관찰된 현상의 경험적인 속성에 대해 일정한 규칙에 따라 수치를 부여하는 것은?
     1. 측정(measurement)
     2. 척도(scale)
     3. 지표(indicator)
     4. 변수(variable)

     정답 : []
     정답률 : 67%

5. 거트만척도 작성에서 총 15명의 응답자가 총 7개 질문항목의 척도화 가능성을 알아본 결과 일관성 없는 응답을 한 총 착오점수 (error scores)가 5였다. 재생가능계수(coefficient of reproducibility=CR)의 값은?
     1. 0.33
     2. 0.57
     3. 0.80
     4. 0.95

     정답 : []
     정답률 : 18%

6. 거트만 척도를 활용하여 약물중독의 정도를 측정하는 척도를 구성하고자 하였다. 먼저 술, 대마초, 필로폰의 순으로 약물중독정도가 심하다고 가정하고 각각에 대해 사용여부를 물었다(사용시 +, 미사용시 -). 다음 응답유형 가운데 척도적 구조에 위배되는 오류형(혼합유형)은 어느 것인가?

   

     1. 3, 4
     2. 2, 4
     3. 2, 3
     4. 1, 4

     정답 : []
     정답률 : 84%

7. 질문문항의 배열로 적합하지 않은 것은?
     1. 시작하는 질문은 응답자의 흥미를 유발하는 것으로 쉽게 대답할 수 있는 것으로 한다.
     2. 개인의 사생활과 같이 민감한 질문은 가급적 뒤로 돌린다.
     3. 특수한 것을 먼저 묻고, 일반적인 것을 그 다음에 질문한다.
     4. 논리적인 순서에 따라 배열함으로써 응답자 자신도 조사의 의미를 찾을 수 있도록 한다.

     정답 : []
     정답률 : 89%

8. 면접조사에서 질문의 일반적 원칙에 대한 설명 중 틀린 것은?
     1. 유도하거나 시사하는 일이 없도록 한다.
     2. 면접의 흐름을 순탄하게 하기 위하여 단계적 이행을 잘 해 나가야 한다.
     3. 질문지에서 중요한 것부터 차례로 질문해 나간다.
     4. 모든 문항은 질문지에 적혀 있는 그대로 물어야 한다.

     정답 : []
     정답률 : 66%
     <문제 해설>
3. 면접조사표의 내용 및 그 순서에 따라 면접을 실시해야 한다.
[해설작성자 : 덥다링]

9. 다음 중 시청각 도구를 사용할 수 있지만, 조사비용이 많이 드는 것이 단점인 자료수집 방법은?
     1. 면접조사
     2. 전화조사
     3. 우편조사
     4. 인터넷조사

     정답 : []
     정답률 : 64%

10. 우리는 사회조사를 실시할 때 종종 여러 문항으로 이루어진 척도를 만든다. 다음 중 척도를 만드는 이유가 아닌 것은?
     1. 척도는 측정의 신뢰도를 높여주기 때문이다.
     2. 단일문항의 불안정성을 줄일 수 있기 때문이다.
     3. 한 문항으로 한 개념을 쉽게 측정할 수 없는 경우가 많기 때문이다.
     4. 일반적으로 단일문항으로 측정하는 것이 여러 문항으로 측정하는 것보다 측정오차가 더 작기 때문이다.

     정답 : []
     정답률 : 70%

11. 종단조사(longitudinal study)에 관한 설명으로 틀린 것은?
     1. 주로 변화분석에 의해서 분석된다.
     2. 추세분석에 이용할 수 있다.
     3. 패널조사란 특정조사 대상자들을 선정하여 단 한차례만 조사를 실시하는 방법이다.
     4. 변화분석은 변화가 일어난 원인을 분석하는 기법이다.

     정답 : []
     정답률 : 74%

12. 우편조사의 응답률에 영향을 미치는 요인에 대한 설명 중 틀린 것은?
     1. 대상자의 범위가 극히 제한된 동질집단의 경우 회수율이 높다.
     2. 질문지의 양식이나 우송방법에 따라 다를 수 있다.
     3. 응답에 대한 동기부여가 중요하다.
     4. 연구주관기관과 지원단체의 성격이 중요하다.

     정답 : []
     정답률 : 43%

13. 측정대상들의 편견에 의해서 측정에 오류가 발생하는 것이 아닌 것은?
     1. 고정반응
     2. 사회적 적절성 편견
     3. 문화적 차이 편견
     4. 무작위적 오류

     정답 : []
     정답률 : 84%

14. 다음 중 일반적 연구수행 절차로 가장 적절한 것은?
     1. 문제확인-문헌검토-가설설정-설문작성-분석 및 논의
     2. 문제확인-가설설정-문헌검토-설문작성-분석 및 논의
     3. 문제확인-문헌검토-설문작성-가설설정-분석 및 논의
     4. 문제확인-가설설정-설문작성-문헌검토-분석 및 논의

     정답 : []
     정답률 : 58%

15. 입지전적으로 기업을 성장시켜 성공한 한 명의 기업가에 대해 성공의 비결이 무엇인지를 알아보기 위하여 그 사람에 대해 집중적인 연구를 하는 방법은?
     1. 사례연구법
     2. 상관연구법
     3. 실험법
     4. 내용분석법

     정답 : []
     정답률 : 56%

16. 측정수준에 따른 척도에 대한 설명으로 틀린 것은?
     1. 명목척도는 성별과 종교처럼 분류적인 개념만을 내포한다.
     2. 서열척도는 특정한 성격을 갖는 정도에 따라 범주를 서열화한다.
     3. 등간척도는 IQ처럼 대상 자체가 갖는 속성의 실제값을 나타낸다.
     4. 비율척도는 실업률과 성비처럼 0이라는 절대적 의미를 갖는 값이 존재한다.

     정답 : []
     정답률 : 67%

17. 다음 이분변수(dichotomous variable)의 성격과 용도에 대한 설명으로 틀린 것은?
     1. 특정한 속성의 유무에 따라 분류한 변수이다.
     2. 이원적(binary) 속성을 가진 사회현상을 측정하는데 사용된다.
     3. 다범주적인 속성을 가진 변수를 이분변수로 변환할 수 있다.
     4. 이분변수는 회귀분석에 사용할 수 없다.

     정답 : []
     정답률 : 50%

18. 어느 제조업 공장에 근무하는 현장 사원들과 관리자들간에 유지되고 있는 사회적 관계의 특성을 규명하기 위해 참여관찰인 현장조사를 실시할 경우, 다음 중 이러한 연구의 장점이 아닌 것은?
     1. 조사과정의 유연성
     2. 조사결과의 신뢰성
     3. 가설도출의 탐색적 연구
     4. 조사비용의 저렴

     정답 : []
     정답률 : 43%

19. 다음 중 결측자료(missing data)의 처리방법으로 가장 적절한 것은?
     1. 유사사례를 추출하여 그 사례에 기재된 내용을 대체해 사용한다.
     2. 결측된 변수의 평균값을 대체해 사용한다.
     3. 난수표에서 번호를 추출하여 그 점수를 대체해 사용한다.
     4. 결측자료가 50%이상이 된다하더라도 원래 수집된 사례수는 유지해야 하기 때문에 그대로 사용한다.

     정답 : []
     정답률 : 32%

20. 유권자의 정치적 이념 성향을 측정하기 위해 다음 중 하나를 선택하도록 하였다. 무슨 척도를 사용한 것인가?

    

     1. 명목척도
     2. 서열척도
     3. 등간척도
     4. 비율척도

     정답 : []
     정답률 : 44%

21. 계통표집에서 집단의 크기가 100만명이고 표본의 크기가 1000명이라면, 다음 중 어떤 것이 가장 적절한 표집방법 인가?
     1. 먼저 단순무작위로 1000명을 뽑아 그 중에서 편중된 표본은 제거하고, 그것을 대체하는 표본을 다시 뽑는다.
     2. 최초의 사람을 무작위로 선정한 후 매 1000번째 사람을 고른다.
     3. 모집단이 너무 크기 때문에 100만명을 1000개의 집락으로 나누어야 한다.
     4. 모집단을 1000개의 하위집단으로 나누고, 그 하위집단에서 1명씩 고르면 된다.

     정답 : []
     정답률 : 65%

22. 반복조사에서 인위적으로 어떤 실험을 가하지 않더라도 사회현상이나 인간이 다같이 변화를 지속하는 효과는?
     1. 선별(選別)효과
     2. 실험효과
     3. 성숙효과
     4. 조사도구효과

     정답 : []
     정답률 : 64%

23. "최근 텔레비전 프로그램에 등장하고 있는 폭력적 장면과 선정적 장면에 대해서 어떻게 생각하십니까?"라는 질문은 주로 어떤 오류를 범하고 있는가?
     1. 부적절한 언어의 사용
     2. 비윤리적 질문
     3. 전문용어의 사용
     4. 이중적 질문

     정답 : []
     정답률 : 67%

24. 획득하고자 하는 정보의 내용을 대략 결정한 다음에 이루어져야할 질문지 작성과정으로 순서가 맞는 것은?
     1. 자료수집방법의 결정 -> 질문내용의 결정-> 질문형태의 결정-> 질문순서의 결정
     2. 질문형태의 결정-> 자료수집방법의 결정 -> 질문내용의 결정 -> 질문순서의 결정
     3. 질문내용의 결정-> 질문형태의 결정-> 질문순서의 결정 -> 자료수집방법의 결정
     4. 질문내용의 결정-> 질문순서의 결정 -> 질문형태의결정-> 자료수집방법의 결정

     정답 : []
     정답률 : 58%

25. 집단구성원 상호간에 존재하는 사회적 거리의 강도를 측정하기 위해 개발된 척도는?
     1. 보가더스척도
     2. 소시오메트리
     3. 서스톤척도
     4. 리커트척도

     정답 : []
     정답률 : 66%

26. 다음 중 사례조사에 해당되는 것은?
     1. 본 조사를 실행하기 앞서 먼저 시행한다.
     2. 조사의 범위를 한 지역 또는 한번의 현상에 국한시켜 연구하고자 하는 현상의 대표성을 유지시킨 채 결과를 도출하는 방법이다.
     3. 일정지역 또는 작은 sample을 추출하여 대표성을 유지시킨 채 사전에 진행하는 것이다.
     4. 조사의 타당도, 신뢰도를 측정해 보는 방법이다.

     정답 : []
     정답률 : 32%

27. 다음 중 온라인조사의 문제점이 아닌 것은?
     1. 복수응답의 가능성
     2. 표본의 대표성
     3. 조사모집단의 정의문제
     4. 개인정보보호의 문제

     정답 : []
     정답률 : 44%
     <문제 해설>
온라인조사의 장점으로 익명성이 있다. 이는 대상자가 자신의 의견을 솔직하게 말할 수 있도록 도와준다.
[해설작성자 : comcbt.com 이용자]

28. 질문지의 초안을 작성한 후, 그 질문지를 통해 자료가 적절하게 수집될 수 있는지를 점검하기 위해 실시하는 조사를 무엇이라고 하는가?
     1. 전문가 조사
     2. 예비조사(pilot study)
     3. 사전검사(pre-test)
     4. 문헌조사

     정답 : []
     정답률 : 65%

29. 다음 중 표본설계과정에 해당되지 않는 것은?
     1. 표본틀의 결정
     2. 조사연구 자금 확보
     3. 표집방법 및 표본크기 결정
     4. 모집단의 결정

     정답 : []
     정답률 : 87%

30. 일정 시간간격을 두고 동일집단에 대해 반복적으로 자료를 수집하는 방법은?
     1. 패널조사
     2. 횡단적 조사
     3. 시계열조사
     4. 비교조사

     정답 : []
     정답률 : 88%

2과목 : 조사방법론 II


31. 다음 중 내적타당도 영향요인이 아닌 것은?
     1. 반작용효과
     2. 특정사건
     3. 사전검사
     4. 통계학적 회귀효과

     정답 : []
     정답률 : 6%

32. 다음 ( )에 알맞은 것은?

    

     1. 가입자조사
     2. 회원조사
     3. 방문자조사
     4. 전자우편조사

     정답 : []
     정답률 : 12%

33. 다음 중 구성체 타당도(construct validity)를 위한 기법이 아닌 것은?
     1. 다중속성-다중측정 방법
     2. 요인분석
     3. 이론적 타당도
     4. 예측적 타당도

     정답 : []
     정답률 : 35%

34. 폐쇄형 질문의 응답범주 작성원칙 중 맞는 것은?
     1. 범주의 수는 많을수록 좋다.
     2. 제시된 범주가 가능한 모든 응답범주를 다 포함해야한다.
     3. 관련된 현상 중 가장 중요한 것만 범주로 제시한다.
     4. 제시된 범주들 사이에 약간의 중복은 있어도 무방하다.

     정답 : []
     정답률 : 64%

35. 표본틀(sampling frame)로 적합하지 않는 것은?
     1. 경제활동인구조사를 위한 전국인구센서스 조사구
     2. OO구의 빈곤층 실태조사를 위한 이 지역거주 생활보호대상자 명부
     3. 하류계층 생활실태파악을 위한 백화점카드 사용자 명단
     4. 징집대상자 파악을 위한 주민등록부

     정답 : []
     정답률 : 45%

36. 조사자와 응답자의 친숙한 분위기(rapport) 형성이 상대적으로 중요하지 않는 자료수집방법은?
     1. 면접조사(face-to-face interview)
     2. 심층면접조사(in-depth interview)
     3. 집단면접조사(group interview)
     4. 집단조사(group questionnaire survey)

     정답 : []
     정답률 : 66%
     <문제 해설>
면접법: 면접 조사원들이 라포(친근감) 형성, 프로빙(캐묻기) 필요
1,2,3 : 영문명으로 interview가 있음 -> 면접법
4: 영문명으로 survey가 있음 -> 질문지법
[해설작성자 : comcbt.com 이용자]

37. 한 연구자가 마약사용과 같은 사회적 일탈행위를 연구하기 위해, 마약사용자 한 사람을 알게 되어 조사를 실시하고, 이 사람을 통해 다른 마약사용자들을 알게 되어 조사를 실시하고, 또 이들을 통해 알게된 또 다른 마약사용자들에 대한 조사를 실시하였다. 이와 같이 조사대상자들로 부터 정보를 얻어 다른 조사대상자를 구하는 표집방법은?
     1. 눈덩이표집(snawball sampling)
     2. 의도적표집(purposive sampling)
     3. 할당표집(quota sampling)
     4. 임의표집(convenience sampling)

     정답 : []
     정답률 : 71%

38. 다음 중 표집오차를 결정하는 요인이 아닌 것은?
     1. 분산의 정도
     2. 문항의 무응답
     3. 표본의 크기
     4. 표집방법

     정답 : []
     정답률 : 39%

39. 척도구성 중 평정척도의 장점이 아닌 것은?
     1. 만들기 간편하다.
     2. 시간과 비용이 적게 든다.
     3. 적용의 범주가 넓다.
     4. 객관성이 유지될 수 있다.

     정답 : []
     정답률 : 36%

40. 뒤르케임은 프로테스탄티즘이 자살행위와 깊은 관계를 가지고 있음을 보여주기 위해 특정지역을 분석단위로 조사하여 다음과 같은 결과를 얻었다. 이를 토대로 일반적으로 개신교 신도가 카톨릭 신도보다 자살을 할 성향이 저 높다고 해석한다면 이는 무슨 오류인가?

    

     1. 환원주의
     2. 생태학적 오류
     3. 측정 오류
     4. 개인주의적 오류

     정답 : []
     정답률 : 67%

41. 피조사자의 개인별 차이를 무시함으로써 조사의 타당도가 낮아질 가능성이 있는 조사는?
     1. 면접조사
     2. 우편조사
     3. 집단조사
     4. 전화조사

     정답 : []
     정답률 : 65%

42. 다음 중 개방형 질문(Open Question)에 대한 설명으로 틀린 것은?
     1. 탐색조사에서 유용하게 이용할 수 있다.
     2. 민감한 주제에 적합하다.
     3. 응답자에게 창의적인 자기표현의 기회를 줄 수 있다.
     4. 응답범주가 너무 많을 경우에 사용하면 좋다.

     정답 : []
     정답률 : 61%

43. 다음 중 비확률표집방법으로서, 가설검정이나 모수추정 등 추리통계의 기법을 적용하는데 사용될 수 없는 표집방법은?
     1. 단순무작위표집
     2. 층화표집
     3. 유의표집
     4. 집락표집

     정답 : []
     정답률 : 70%

44. 측정을 위해서는 대상의 속성을 적절히 대표할 수 있는 지표를 발견하여야 한다. 예를 들어 교육수준을 측정하기 위한 지표는 중졸, 고졸, 대졸 등의 최종학교 졸업수준 등을 들 수 있다. 이와 같은 지표의 구비조건이 아닌 것은?
     1. 절대성
     2. 타당성
     3. 신뢰성
     4. 확인의 용이성

     정답 : []
     정답률 : 42%

45. 관찰의 유형에 관한 설명으로 틀린 것은?
     1. 관찰자의 참여여부에 따라 참여관찰, 비참여관찰이 있다.
     2. 관찰방법의 체계화 정도에 따라 구조화 관찰과 비구 조화 관찰이 있다.
     3. 관찰상황의 통제여부에 따라 통제관찰과 자연적 관찰이 있다.
     4. 관찰도구에 따라 직접관찰과 간접관찰이 있다.

     정답 : []
     정답률 : 39%

46. "모든 사람은 죽는다. 소크라테스는 사람이다. 그러므로, 소크라테스는 죽는다."改이와 같이 일반적인 것으로부터 특수한 것을 추론해 내는 방법은?
     1. 귀납법
     2. 연역법
     3. 귀납법과 연역법
     4. 전환법

     정답 : []
     정답률 : 64%

47. 측정결과 얻어진 자료에 내포되어 있는 정보가 가장 많은 척도는?
     1. 명목척도
     2. 서열척도
     3. 등간척도
     4. 비율척도

     정답 : []
     정답률 : 75%

48. 집락표집(cluster sampling)에 대한 설명으로 틀린 것은?
     1. 모집단으로부터 집락을 무작위로 선정한 다음 이 집락으로부터 일정수의 요소를 표본으로 추출하는 방법
     2. 단순무작위추출이나 층화추출의 단점을 보완하기 위해서 사용되기 때문에 보다 과학적인 방법
     3. 모집단의 크기가 너무 크거나 층의 표본단위가 많아 목록을 작성하기 어려운 상황에 유용
     4. 모집단을 세분화한다는 점에서 층화추출과 유사

     정답 : []
     정답률 : 60%

49. 면접조사와 비교하여 전화조사의 장점이 아닌 것은?
     1. 면접자의 영향을 통제할 수 있다.
     2. 표본오차의 통제에 유용하다.
     3. 조사에 소요되는 시간이 짧다.
     4. 비용이 적게 든다.

     정답 : []
     정답률 : 57%

50. 설문지를 작성하여 사전조사를 할 때 옳은 설명은?
     1. 사전조사는 최소 1회 이상 실시하는 것이 좋다.
     2. 본조사의 응답자 크기와 비슷하게 실시하는 것이 좋다.
     3. 응답자의 대표성을 고려할 필요는 없다.
     4. 면접방법으로 조사하지 않는 것이 좋다.

     정답 : []
     정답률 : 42%

51. 일반적인 우편조사의 특성에 해당되지 않는 것은?
     1. 회수율이 낮은 경우 표본의 대표성을 확보하기 어렵다.
     2. 응답자에 대한 익명성과 비밀유지에 대한 확신을 부여하기 쉽다.
     3. 표본으로 추출된 대상자가 직접 응답하지 않았을 경우 확인하기 어렵다.
     4. 통상 조사에 필요한 시간이 전화조사보다는 길지만 면접조사보다는 짧다.

     정답 : []
     정답률 : 57%

52. 단순무작위표집에 대한 설명으로 틀린 것은?
     1. 표본이 모집단으로부터 추출된다.
     2. 모든 요소가 대등한 확률을 가지고 추출된다.
     3. 구성요소가 바로 표집단위가 되는 것은 아니다.
     4. 표본확보의 가장 보편적인 방법은 난수표를 사용하는 것이다.

     정답 : []
     정답률 : 37%

53. 다음은 무엇에 관한 설명인가?

    

     1. 거트만척도(Guttman scale)
     2. 서스톤척도(Thurston scale)
     3. 리커트척도(Likert scale)
     4. 의미분화척도(semantic differential scale)

     정답 : []
     정답률 : 58%

54. 사용하고 있는 측정도구의 측정값과 기준이 되는 측정도구의 측정값과의 상관관계로 측정되는 타당도는?
     1. 구성체타당도
     2. 액면타당도
     3. 기준관련타당도
     4. 다차원타당도

     정답 : []
     정답률 : 48%

55. 다음 중 서열척도로 측정할 수 있는 변수로 구성된 것은?
     1. 행복감, 교회 참석 정도, 지역사회 참여도
     2. 종교 유무, 소득, 직무 만족도
     3. 직업 신분, 인종, 대통령 지지도
     4. 학력, 연령, 정당 가입여부

     정답 : []
     정답률 : 30%

56. 척도는 응답자, 자극 또는 응답자와 자극을 동시에 측정 하려고 하는가에 따라서 여러 방식이 있다. 이 중 응답자와 자극을 동시에 측정하는 척도는?
     1. 서스톤척도(Thurston scle)
     2. 리커트척도(Likert scale)
     3. 거트만척도(Guttman scale)
     4. 의미분화척도(semantic differential scale)

     정답 : []
     정답률 : 27%

57. 다음 ( )에 각각 알맞은 것은?

    

     1. 명목척도 - 서열척도
     2. 등간척도 - 비율척도
     3. 명목척도 - 비율척도
     4. 서열척도 - 명목척도

     정답 : []
     정답률 : 54%

58. 어떤 연구자가 2001년도 사회과학대학 입학생들을 학번순서대로 표본을 표집하여 남학생과 여학생 각각 100명씩을 선정하였다. 이 표집방법은 무엇인가?
     1. 단순무작위표집법
     2. 계통표집법
     3. 눈덩이표집법
     4. 할당표집법

     정답 : []
     정답률 : 23%

59. 질문문항 상호간에 어느 정도 일관성을 가지고 있는지를 측정하기 위해 계산하는 통계값은?
     1. 스피어만 로우
     2. 파이
     3. 람다
     4. 크론바하 알파

     정답 : []
     정답률 : 52%

60. 다음 중 코호트 연구(cohort study)의 의미를 가장 잘 설명한 것은?
     1. 시점조사를 통하여 여러 변수의 차이를 분석할 때 적용하는 연구설계방법
     2. 다양한 특성을 지니는 인구 집단 속에서 특정사건이 시간에 따라 발생되는 변화를 조사하고자 할 때 사용하는 연구설계방법
     3. 동일한 특성을 가진 집단에서 발생되는 특정사건의 변화를 시간의 경과에 따라 조사하기 위한 연구설계 방법
     4. 본 조사(main study) 이전에 특정사건의 빈도를 미리 예측하기 위한 연구설계방법

     정답 : []
     정답률 : 56%

61. 아래와 같이 집단별로 구분된 자료가 있다. 이 자료의 중앙값이 포함된 구간은?

    

     1. 25∼29
     2. 30∼34
     3. 35∼39
     4. 40∼44

     정답 : []
     정답률 : 31%

62. 확률밀도함수가 f(x)인 연속형 확률변수 X에 대한 확률분포의 특성으로 틀린 것은?
     1. P(X=x)=1
     2. P(a ≤ X ≤ b)는 구간(a, b)사이에서 확률밀도함수 f(x)와 X축 사이의 면적이다.
     3. f(x) ≥ 0
     4. P(-∞ ≤ X ≤ ∞ )=1

     정답 : []
     정답률 : 14%

63. 크기가 10인 표본으로부터 얻은 자료(x1, y1), (x2, y2), ....(x10, y10)에서 얻은 단순선형회귀식의 기울기가 0인지 아닌지를 검정할 때, 사용되는 t분포의 자유도는 얼마 인가?
     1. 19
     2. 18
     3. 9
     4. 8

     정답 : []
     정답률 : 21%

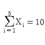
64. 설명변수(Xi)와 반응변수(Yi)사이에 단순회귀모형을 가정 할 때, 회귀직선의 절편에 대한 추정값은 얼마인가?

    

     1. 1
     2. 3
     3. 5
     4. 7

     정답 : []
     정답률 : 22%

65. 어떤 철물점에서 10가지 길이의 못을 팔고 있다. 단, 못길이(단위:cm)는 각각 2.5, 3.0, 3.5, 4.0, 4.5, 5.0, 5.5, 6.0, 6.5, 7.0 이다. 만약, 현재 남아 있는 못 가운데 10%는 4.0cm인 못이고, 15%는 5.0cm인 못이며, 53%는 5.5cm인 못이라면 못 길이의 최빈수는?
     1. 4.5
     2. 5.0
     3. 5.5
     4. 6.0

     정답 : []
     정답률 : 58%

66. 10개의 관측자료를 사용하여 다음과 같은 회귀식을 구하였다. X1이 5증가하고 X2가 6증가 할 경우 Y의 증가량은?

    

     1. 11.66
     2. 12.31
     3. 21.88
     4. 22.53

     정답 : []
     정답률 : 12%

67. 모집단의 평균을 μ 라 하고 표본평균을 라 하면 의 의미는?
     1. 무작위 표본의 평균은 모집단 평균에 대한 불편 추정량(unbiased estimator)이다.
     2. 무작위 표본의 평균은 모집단 평균에 대한 일치 추정량(consistent estimator)이다.
     3. 무작위 표본의 기대치는 모집단 분산에 대한 불편추정량이다.
     4. 무작위 표본의 기대치는 모집단 분산에 대한 일치추정량이다.

     정답 : []
     정답률 : 55%

68. 어느 공정에서 생산되는 제품의 약 40%가 불량품이라 한다. 이 공정의 제품 4개를 임의로 추출했을 때, 4개가 불량품일 확률은?
     1. 16/125
     2. 64/625
     3. 62/625
     4. 16/625

     정답 : []
     정답률 : 39%

69. 전국의 400가구를 대상으로 월평균 가구 총수입을 조사한 결과 평균 200만원이라는 응답이 나왔다. 모집단의 표준 편차가 40만원으로 알려져 있을 때, 우리나라 가구의 한달 평균 총 수입을의 95% 신뢰구간으로 구하면 얼마인가? (단, z0.05=1.64, z0.025=1.96이고, 단위는 만원으로 계산하기로 한다.)
     1. (198.355, 201.645)
     2. (196.71, 203.29)
     3. (198.04, 201.96)
     4. (196.08, 203.92)

     정답 : []
     정답률 : 30%

70. 아래 확률분포에서 기대값은?

    

     1. 0.8
     2. 1.0
     3. 1.1
     4. 1.2

     정답 : []
     정답률 : 40%

71. 25%, 50%, 75%에 해당하는 3개의 사분위수와 최대값 및 최소값을 이용하여 두 개 이상의 집단에 대한 자료의 분포상태를 시각적으로 잘 보여줄 수 있는 그림표는?
     1. 히스토그램(Histogram)
     2. 원 그림표(Phi-Chart, Circular-chart)
     3. 줄기와 잎 그림표(Stem and leaf display)
     4. 상자와 수염 그림표(Box-and-Whisker plot)

     정답 : []
     정답률 : 40%

72. 다음 분산분석표에서 결정계수(R2)는?

    

     1. 0.67
     2. 0.49
     3. 0.09
     4. 0.05

     정답 : []
     정답률 : 38%

73. 다음의 상황에 알맞은 검정방법은?

    

     1. 독립표본 t-검정
     2. 대응표본 t-검정
     3. X2-검정
     4. F -검정

     정답 : []
     정답률 : 69%

74. 어떤 대학 사회학과 학생들의 통계학 성적분포가 근사적으로 N(70,102)을 따른다고 한다. 50점 이하인 학생에게 F학점을 준다고 할때 F학점을 받게될 학생들의 비율을 구할 수 있는 것은?
     1. P(Z≤-1)
     2. P(Z≤1)
     3. P(Z≤-2)
     4. P(Z≤2)

     정답 : []
     정답률 : 48%

75. 평균이 10이고 분산이 4인 정규분포를 따르는 모집단으로부터 크기가 4인 표본을 추출하였다. 이때 표본평균의 표준편차는 얼마인가?
     1. 1
     2. 2
     3. 4
     4. 10

     정답 : []
     정답률 : 37%

76. 4개 중 하나를 선택하는 선다형 문제가 20문항이 있고 각 문항별 배점은 5점이다. 시험 결과 60점 미만은 불합격 처리 된다고 한다. 이 시험에서 랜덤하게 답을 써넣은 경우에 합격할 확률을 나타내는 식은?
     1.
     2.
     3.
     4.

     정답 : []
     정답률 : 36%

77. 다음 표의 x, y에 대한 상관계수 설명 중 맞는 것은?

    

     1. 완전 양의 상관관계
     2. 상관이 없다
     3. 강한 양의 상관관계
     4. 완전 음의 상관관계

     정답 : []
     정답률 : 48%

78. A생수공장에서 생산된 생수의 평균용량은 360㎖이고, 이 모집단의 분산은 50일 때 n=10으로 하여 표본을 뽑으면 그 표본들의 평균의 기대값과 분산은 얼마인가?
     1. 기대값 : 250, 분산 : 5
     2. 기대값 : 360, 분산 : 5
     3. 기대값 : 250, 분산 : 10
     4. 기대값 : 360, 분산 : 10

     정답 : []
     정답률 : 68%

79. P(A)=0.4, P(B)=0.2, P(B│A)=0.4일 때 P(A│B)는?
     1. 0.4
     2. 0.5
     3. 0.6
     4. 0.8

     정답 : []
     정답률 : 43%

80. 통계적 가설검증을 실시할 때 유의 수준과 오류의 발생확률과의 관계에 대해서 잘못 설명한 것은?
     1. 가설검증에서 유의 수준이란 제1종 오류를 범할 최대 허용오차이다.
     2. 유의 수준을 감소시키면(예를 들어 0.05에서 0.01로) 제2종 오류의 확률 역시 감소한다.
     3. 제2종 오류의 확률, 즉 거짓인 귀무가설을 받아들일 확률은 쉽게 결정할 수 없다.
     4. 유의 수준은 표본의 결과가 모집단의 성질을 반영하는 것이 아니라 표본의 특성에 따라 나타날 확률의 범위이다.

     정답 : []
     정답률 : 17%

81. 확률변수 X는 이항분포 B(n, p)를 따른다고 하자. n=10, p=0.5 일 때, 확률변수 X의 평균과 분산은?
     1. 평균 2.5, 분산 5
     2. 평균 2.5, 분산 2.5
     3. 평균 5, 분산 5
     4. 평균 5, 분산 2.5

     정답 : []
     정답률 : 45%

82. 다음 중 단순회귀모형에서 오차항에 부여되는 가정이 아닌 것은?
     1. 등분산성
     2. 정규성
     3. 최소성
     4. 독립성

     정답 : []
     정답률 : 44%

83. A회사의 종업원은 500명인데 이들의 임금이 평균 1,350,000원, 표준편차 200,000원인 정규분포를 이룬다면, 이중 비복원추출로 100명을 표본으로 뽑을 때 분포의 평균과 표준편차는?
     1. 평균 : 1,350,000원 표준편차 : 17,906원
     2. 평균 : 1,450,000원 표준편차 : 17,906원
     3. 평균 : 1,350,000원 표준편차 : 16,906원
     4. 평균 : 1,450,000원 표준편차 : 16,906원

     정답 : []
     정답률 : 22%

84. 5개의 자료 값 10, 20, 30, 40, 50 의 특성에 대하여 바르게 설명한 것은?
     1. 평균 30, 중앙값 30
     2. 평균 35, 중앙값 40
     3. 평균 30, 최빈값 50
     4. 평균 25, 최빈값 10

     정답 : []
     정답률 : 49%

85. 반복이 없는 이원배치법모형이 아래와 같을 때 다음 중 설명이 틀린 것은?

    

     1. 총 실험횟수는 pq이다.
     2. 두 인자가 모수인 경우를 난괴법이라고 한다.
     3. 반응변수는 일반적으로 정규분포를 따른다고 가정하고 이의 분산은 오차항의 분산과 같다.
     4. 두 인자의 효과를 알아보는 방법으로 분산분석을 이용한 F-검정을 이용한다.

     정답 : []
     정답률 : 27%

86. 일원분산분석을 시행하였다. 처리는 모두 5개이며, 각 처리당 6회씩 반복 실험을 하였다. 결정계수의 값이 0.6, 처리평균제곱의 값이 300이라면 오차제곱합의 값은 얼마인가?
     1. 800
     2. 900
     3. 1600
     4. 1800

     정답 : []
     정답률 : 25%

87. 통계분석을 통해 다음과 같은 자료를 얻을 수 있었다. 어떤 약물의 효과를 검증하기 위해 서로 관련된 두집단, A집단(통제집단)과 B집단(검증집단)간에 t-검증을 했다. 자유도는 9였고, 양방검증을 했으며, 유의수준을 0.05로 했을 경우, 기각역에 해당하는 t- 값은 2.262였으나, 이 실험에서 관찰된 t-값은 2.560이었다. 이 자료로부터 얻을 수 있는 결론은?
     1. 그 약은 아무런 효과를 나타내지 않았다.
     2. 집단-B가 집단-A 보다 더 우수했다.
     3. 두 집단간에는 유의한 차이가 있었다.
     4. 두 집단간에는 차이가 있었으나 유의한 차이는 나타내지 않았다.

     정답 : []
     정답률 : 43%

88. 유의수준 α 하에서 단측 가설 검정을 시행하고자 한다. 다음 중 귀무가설(H0)을 기각하는 유의확률 p-값의 조건으로 옳은 것은?
     1. α > p-값
     2. α < p-값
     3. 1-α > p-값
     4. 1-α < p-값

     정답 : []
     정답률 : 48%

89. X가 이항분포 B(n, p)를 따른다고 할 때 p의 불편추정량 인 의 분산은 어느 것인가?
     1. np(1-p)
     2. p(1-p)/n
     3. np
     4. p(1-p)

     정답 : []
     정답률 : 31%

90. 표본평균에 대한 설명으로 틀린 것은?
     1. 표본의 중심위치를 나타내는 대표값이다.
     2. 이상치에 크게 영향을 받는 단점이 있다.
     3. 표본의 몇몇 자료값이 모평균으로부터 한쪽 방향으로 멀리 떨어지는 현상이 발생하는 자료에서도 좋은 추정량이다.
     4. 이상치에 민감한 단점을 보완하기 위하여 절사평균을 쓴다.

     정답 : []
     정답률 : 43%

91. 비대칭도(skewness)에 대한 설명으로 틀린 것은?
     1. 비대칭도값이 1이면 좌우대칭형 분포를 나타낸다.
     2. 비대칭도의 부호는 관측값 분포의 꼬리방향을 나타낸다.
     3. 비대칭도는 대칭성 혹은 비대칭성을 측정하는 통계수치이다.
     4. 비대칭도값이 음수이면 관측값들이 주로 오른쪽에 모여 있어 왼쪽으로 꼬리를 길게 늘어뜨린 모양을 나타낸다.

     정답 : []
     정답률 : 50%

92. 한 개의 동전을 연속적으로 10번 던지는 실험에서 확률변수 X를 표면이 나온 개수로 정의하면 확률변수 X의 평균은?
     1. 0
     2. 1
     3. 5
     4. 10

     정답 : []
     정답률 : 24%

93. 다음 중 이산형 변수(discrete variables)의 변이(variation)를 측정해 주는 것은?
     1. 다양성 지수(Index of Diversity)
     2. 범위(range)
     3. 분산(variance)
     4. 표준편차(standard deviation)

     정답 : []
     정답률 : 17%

94. 총선을 앞두고 한 지역구의 유권자 400명을 대상으로 조사한 결과 A후보의 지지율은 30.5%, B후보의 지지율은 34.8%로 나왔다. 자료에 따르면 이번 조사는 95% 신뢰수준에서 오차한계가 ± 5%라고 하였다. 이 때 결과의 해석으로 옳은 것은?
     1. 실제 선거에서는 A후보가 앞설수도 있다.
     2. A후보는 지지율이 낮으므로 포기하는 편이 낫다.
     3. B후보가 지지율이 높으므로 당선 가능성이 높다.
     4. 500명을 대상으로 조사한다면 오차한계는 ± 5%보다 크게 된다.

     정답 : []
     정답률 : 35%

95. K라는 양궁선수는 화살을 쏘았을 때 과녁의 중심에 맞출 확률이 0.6이라고 한다. 이 선수가 총 7번 화살을 쏜다면 과녁의 중심에 평균 몇 회 맞추는가?
     1. 6.00
     2. 8.57
     3. 1.68
     4. 4.20

     정답 : []
     정답률 : 60%

96. n개의 범주로 된 변수를 더미변수로 만들어 회귀분석에 이용할 경우 몇 개의 더미변수가 회귀분석모델에 포함되어야 하는가?
     1. n
     2. n-1
     3. n-2
     4. n-3

     정답 : []
     정답률 : 61%

97. 다음의 가상의 자료를 이용하여 단순선형회귀모형을 추정하면?

    

     1.
     2.
     3.
     4.

     정답 : []
     정답률 : 32%

98. 모평균 μ 의 구간추정치를 구할 경우 95% 신뢰수준(confidence level)을 갖는 모평균 μ 의 신뢰구간이 100± 5라고 할 때 신뢰수준 95%의 의미는?
     1. 구간추정치가 맞을 확률
     2. 모평균이 100± 5내에 있을 확률
     3. 모평균과 구간추정치가 95% 같다는 뜻
     4. 같은 방법으로 여러 번 신뢰구간을 만들 경우 평균적으로 100개 중에서 95개는 모평균을 포함한다는 뜻

     정답 : []
     정답률 : 47%

99. 변수 x의 평균을 x, 표준편차를 s 라고 할 때, 평균이 0이고 분산이 1이 되는 표준화점수를 구하는 방법은?
     1.
     2.
     3.
     4.

     정답 : []
     정답률 : 62%

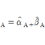
100. Y|X=α+β X+ε, ε~N(0,σ2)의 회귀식에서 회귀계수α, β 의 추정량이 다음과 같다. 이때 의 값은? (단, )
     1.
     2.
     3.
     4.

     정답 : []
     정답률 : 25%


정 답 지

1

2

3

4

5

6

7

8

9

10

11

12

13

14

15

16

17

18

19

20

21

22

23

24

25

26

27

28

29

30

31

32

33

34

35

36

37

38

39

40

41

42

43

44

45

46

47

48

49

50

51

52

53

54

55

56

57

58

59

60

61

62

63

64

65

66

67

68

69

70

71

72

73

74

75

76

77

78

79

80

81

82

83

84

85

86

87

88

89

90

91

92

93

94

95

96

97

98

99

100

사회조사분석사 2급 필기 기출문제(해설) 및 CBT 2003년08월10일을 이용해 주셔서 감사합니다.
사회조사분석사, 2급, 사회조사, 분석사, 필기, 기출문제, 전자문제집, CBT, 온라인, 모의테스트, 모의고사



List of Articles
번호 제목 글쓴이 날짜 조회 수
7620 사회조사분석사 2급 필기 기출문제(해설) 및 CBT 2013년06월02일(7960) 좋은아빠되기 2025.10.07 0
7619 사회조사분석사 2급 필기 기출문제(해설) 및 CBT 2013년03월10일(7959) 좋은아빠되기 2025.10.07 0
7618 사회조사분석사 2급 필기 기출문제(해설) 및 CBT 2012년08월26일(7958) 좋은아빠되기 2025.10.07 0
7617 사회조사분석사 2급 필기 기출문제(해설) 및 CBT 2012년03월04일(7957) 좋은아빠되기 2025.10.07 0
7616 사회조사분석사 2급 필기 기출문제(해설) 및 CBT 2011년08월21일(7956) 좋은아빠되기 2025.10.07 0
7615 사회조사분석사 2급 필기 기출문제(해설) 및 CBT 2011년03월20일(7955) 좋은아빠되기 2025.10.07 0
7614 사회조사분석사 2급 필기 기출문제(해설) 및 CBT 2010년07월25일(7954) 좋은아빠되기 2025.10.07 0
7613 사회조사분석사 2급 필기 기출문제(해설) 및 CBT 2010년03월07일(7953) 좋은아빠되기 2025.10.07 0
7612 사회조사분석사 2급 필기 기출문제(해설) 및 CBT 2009년07월26일(7952) 좋은아빠되기 2025.10.07 0
7611 사회조사분석사 2급 필기 기출문제(해설) 및 CBT 2008년07월27일(7951) 좋은아빠되기 2025.10.07 0
7610 사회조사분석사 2급 필기 기출문제(해설) 및 CBT 2008년03월02일(7950) 좋은아빠되기 2025.10.07 0
7609 사회조사분석사 2급 필기 기출문제(해설) 및 CBT 2007년08월05일(7949) 좋은아빠되기 2025.10.07 0
7608 사회조사분석사 2급 필기 기출문제(해설) 및 CBT 2006년08월06일(7948) 좋은아빠되기 2025.10.07 0
7607 사회조사분석사 2급 필기 기출문제(해설) 및 CBT 2005년08월07일(7947) 좋은아빠되기 2025.10.07 0
7606 사회조사분석사 2급 필기 기출문제(해설) 및 CBT 2004년08월08일(7946) 좋은아빠되기 2025.10.07 0
» 사회조사분석사 2급 필기 기출문제(해설) 및 CBT 2003년08월10일(7945) 좋은아빠되기 2025.10.07 0
7604 사회조사분석사 2급 필기 기출문제(해설) 및 CBT 2003년03월16일(7944) 좋은아빠되기 2025.10.07 0
7603 사회조사분석사 2급 필기 기출문제(해설) 및 CBT 2002년08월11일(7943) 좋은아빠되기 2025.10.07 0
7602 사회조사분석사 2급 필기 기출문제(해설) 및 CBT 2002년03월10일(7942) 좋은아빠되기 2025.10.07 0
7601 사회조사분석사 2급 필기 기출문제(해설) 및 CBT 2001년09월23일(7941) 좋은아빠되기 2025.10.07 0
Board Pagination Prev 1 ... 347 348 349 350 351 352 353 354 355 356 ... 732 Next
/ 732