자격증 필기 기출문제



초음파비파괴검사산업기사 필기 기출문제(해설) 및 CBT 2016년08월21일(9727)

최강 자격증 기출문제 전자문제집 CBT : www.comcbt.com


전자문제집 CBT란?

종이 문제집이 아닌 인터넷으로 문제를 풀고 자동으로 채점하며 모의고사, 오답 노트, 해설까지 제공하는
무료 기출문제 학습 프로그램으로 실제 상설검정에서 사용하는 OMR 형식의 CBT를 제공합니다.


최신 초음파비파괴검사산업기사 필기 기출문제 : [다운로드]

1과목 : 비파괴검사 개론


1. 결함검출을 위한 비파괴검사에 대해 기술한 것으로 옳은 것은?
     1. 초음파탐상검사는 내부결함의 종류나 형상의 판별 성능이 우수하지만 라미네이션이나 경사가 있는 균열의 검출은 곤란하다.
     2. 와전류탐상검사는 표면과 표면직하의 결함을 검출할 수 있으며 강자성체에만 적용할 수 있다.
     3. 침투탐상검사는 표면의 개구결함에만 적용가능하고 비금속 재료에도 적용할수 있다.
     4. 자분탐상검사는 시험체의 탐상이 비접촉인 동시에 고속으로 하기 때문에 봉의 자동탐상에 적용 가능하다.

     정답 : []
     정답률 : 86%

2. 다음 중 비파괴 검사법에 대한 설명으로 틀린 것은?
     1. 내부 결함의 검출에 적당한 방법은 방사선 투과시험과 초음파탐상시험이다.
     2. 초음파탐상시험에서는 초음파의 진행방향에 평행한 방향의 결함을 검출하기 쉽다.
     3. 표층부 결함의 검출에는 자분탐상시험과 와전류탐상시험이 적당하다.
     4. 용접부의 기공을 검출하기에 가장 좋은 시험법은 방사선투과시험이다.

     정답 : []
     정답률 : 85%

3. 극간법으로 자분탐상할 때의 내용으로 틀린 것은?
     1. 모든 방향의 결함을 검출하기 위해서는 90도 방향으로 바꾸어 2회 이상 탐상한다.
     2. 자력선은 폐곡선이므로 자극간의 간격에 관계없이 자계의 분포는 일정하다.
     3. 철심의 단면적이 클수록 휴대하기가 불편하다.
     4. 자석의 자화능력은 철심의 재료와 전류의 크기에 따라 달라진다.

     정답 : []
     정답률 : 72%

4. 시험체와 시험체 주위의 압력차를 이용하여 수행하는 비파괴검사법은?
     1. 누설검사
     2. X선 회절법
     3. 중성자투과검사
     4. 와전류탐상검사

     정답 : []
     정답률 : 94%

5. 보수검사에서 볼 수 있는 결함이 아닌 것은?
     1. 피로 균열
     2. 응력부식 균열
     3. 캐비테이션 부식
     4. 라멜라티어(테어)

     정답 : []
     정답률 : 85%

6. 냉간가공 후의 성질변화에 대한 설명으로 틀린 것은?
     1. 가공하면 경화한다.
     2. 가공하면 밀도가 감소한다.
     3. 가공하면 항복강도가 감소한다.
     4. 가공에 의하여 전기저항은 증가한다.

     정답 : []
     정답률 : 49%

7. 배위수가 12, 충진율이 74%, FCC구조를 이루고 있는 금속원소는?
     1. Cd
     2. Ba
     3. Ag
     4. Co

     정답 : []
     정답률 : 81%

8. Fe-C 평형상태도에서 나타나지 않는 반응은?
     1. 포정반응
     2. 공정반응
     3. 편정반응
     4. 공석반응

     정답 : []
     정답률 : 76%

9. 다음 중 실루민(silumin) 합금이란?
     1. Ag - Sn 계
     2. Cu - Fe 계
     3. Mn - Mg 계
     4. Al - Si 계

     정답 : []
     정답률 : 88%

10. 순철에 대한 설명 중 틀린 것은?
     1. α-철은 BBC의 원자배열을 가지며, 910℃ 이하에서 안정하다.
     2. γ-철은 FCC의 원자배열을 가지며, 910~1400℃에서 안정하다.
     3. δ-철은 BCC의 원자배열을 가지며, 1400~1539℃에서 안정하다.
     4. γ-철에서 δ-철로 변화할 때 급격히 수축하며, 4개의 동소 변태가 있다.

     정답 : []
     정답률 : 73%

11. 스프링강은 급격한 진동을 완화하고 에너지를 축척하는 기계요소로 사용된다. 탄성 한도를 높이고 피로 강도를 높이기 위하여 어떤 조직이어야 하는가?
     1. 소르바이트 조직
     2. 마텐자이트 조직
     3. 페라이트 조직
     4. 시멘타이트 조직

     정답 : []
     정답률 : 77%

12. Cu - Be 합금(베릴륨 동)에 대한 설명으로 틀린 것은?
     1. 동합금 중 강도와 경도가 최대이다.
     2. Be의 첨가량은 약 10~15%정도이다.
     3. 석출경화성 합금으로 용체화처리가 필요하다.
     4. 전도율이 좋으므로 고도전성 재료로 활용한다.

     정답 : []
     정답률 : 66%

13. 구상흑연주철에 대한 설명으로 틀린 것은?
     1. 용해로 중의 용해과정에서 탈황된다.
     2. 불스 아이(bull's eye) 조직을 갖는다.
     3. 흑연구상화제로 Mg을 많이 사용한다.
     4. 구상화 처리 후 용융상태로 방치하면 흑연 구상화 효과가 상승된다.

     정답 : []
     정답률 : 63%

14. 초소성 재료의 성형기술 중 PSF(super plastic forming)/(diffusion bonding) 방법을 옳게 성명한 것은?
     1. 가스압력으로 성형 후 고체상태에서 용접하고 확산 접합하는 초성형 기술이다.
     2. 판상의 알루미늄 및 티타늄계 초소형 재료를 가스 압력으로 형상을 양각 음각화 하는 가스 성형법이다.
     3. 재료를 오목한 형상의 틀에 단조법으로 밀어 넣어 양각화 하는 것과 유사한 초성형 기술이다.
     4. 용해된 금속을 제트형식으로 급회전하는 롤러나 냉금에 분사시켜 리본 형태로 제조되는 성형법이다.

     정답 : []
     정답률 : 54%

15. 어떤 응력 아래에서 파단에 이르기까지 수백%이상의 큰 연신율을 나타내는 재료는?
     1. 초탄성 합금
     2. 초소성 합금
     3. 초전도 재료
     4. 형상기억 합금

     정답 : []
     정답률 : 73%

16. 다음 용접이음부 실제 형상 중 맞대기 이음은?
     1.
     2.
     3.
     4.

     정답 : []
     정답률 : 92%

17. TIG용접에 사용되는 적극의 조건으로 틀린 것은?
     1. 고용융점의 금속
     2. 열전도성이 좋은 금속
     3. 전기 저항률이 많은 금속
     4. 전자 방출이 잘되는 금속

     정답 : []
     정답률 : 75%

18. 다음 보기와 같은 특성을 갖는 교류아크 용접기로 가장 접합한 것은?

    

     1. 탭 전환형
     2. 가동 철심형
     3. 가동 코일형
     4. 가포화 리액터형

     정답 : []
     정답률 : 80%

19. 피복 아크 용접봉 선택 시 고려할 사항으로 가장 거리가 먼 것은?
     1. 용접성
     2. 자동성
     3. 작업성
     4. 경제성

     정답 : []
     정답률 : 76%

20. AW 200인 교류 아크 용접기의 무부하 전압이 70V이고, 부하전압이 25V일 때 용접기의 효율은 약 몇 %인가? (단, 아크 용접기의 내부 손실은 4kW이다.)
     1. 55.5
     2. 68.4
     3. 78.4
     4. 88.8

     정답 : []
     정답률 : 54%

2과목 : 초음파탐상검사 원리 및 규격


21. 탐촉자에 대한 다음 설명으로 옳은 것은?
     1. 경사각 탐촉자는 쐐기의 온도가 변해도 굴절각이 변하지 않도록 제작되어 있다.
     2. 탐촉자의 댐퍼는 분해능을 좋게 하는 기능도 한다.
     3. 경사각 탐촉자의 진동자는 횡파만을 발생시킨다.
     4. 가변각 탐촉자는 횡파만을 발생시킬 수 있다.

     정답 : []
     정답률 : 74%

22. 진동자의 크기가 동일할 경우, 주파수를 증가시켰을 때 예상되는 결과는?
     1. 파장이 커진다
     2. 빔의 분산각이 커진다
     3. 분해능이 저하한다
     4. 근거리 음장이 증가한다.

     정답 : []
     정답률 : 71%

23. 초음파탐상시험에서 결함의 검출이 어떤 영역에서 정량적 평가가 가장 좋은가?
     1. 불감대
     2. 근거리 음장
     3. 원거리 음장
     4. 고주파수대

     정답 : []
     정답률 : 72%

24. 다음 중 투과법으로 초음파탐상시험을 할 때 송신 및 수신용 탐촉자의 선정으로 가장 좋은 조합은?
     1. 송신 : 티탄산바륨, 수신 : 황산리튬
     2. 송신 : 황산리튬, 수신 : 티탄산바륨
     3. 송신 : 수정, 수신 : 황산리튬
     4. 송신 : 황산리튬, 수신 : 수정

     정답 : []
     정답률 : 88%

25. 다음 중 초음파 탐촉자의 내부 구성요소에 해당되지 않는 것은?
     1. 진동자
     2. 쐐기(Wedge)
     3. 흡음자
     4. 범퍼(Bumper)

     정답 : []
     정답률 : 79%

26. 수침법에서 물에 침윤제(Wetting agent)를 첨가하는 가장 주된 이유는?
     1. 탐촉자의 부식방지를 위하여
     2. 초음파 빔의 강도를 높이기 위하여
     3. 물에 기포가 형성되는 것을 방지하기 위하여
     4. 불연속부 에코와 저면에코의 구별을 쉽게 하기 위하여

     정답 : []
     정답률 : 72%

27. 수정을 사용하여 진동자를 만들 때 종파의 발생을 목적으로 결정면을 자른 것을 무엇이라 하는가?
     1. x-cut 결정
     2. y-cut 결정
     3. z-cut 결정
     4. 결정방향에 상관없음

     정답 : []
     정답률 : 85%

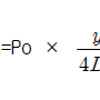
28. 기본공진 주파수[F]의 결정식은? (단, V : 속도, T : 두께, λ : 파장, K는 상수이다.)
     1.
     2.
     3.
     4. F=λV

     정답 : []
     정답률 : 71%

29. 산란감쇠계수 0.006(dB/mm)인 500mm 강재를 수식탐상하여 저면에코가 40%로 확인되었다면 감쇠를 보정한 실제의 저면 에코높이는 약 얼마인가? (단, 반사손실을 무시한다.)
     1. 20%
     2. 40%
     3. 80%
     4. 100%

     정답 : []
     정답률 : 61%

30. 수동이나 자동으로 탐상면을 따라 움직이는 탐촉자의 이동을 무엇이라 하는가?
     1. 주사
     2. 감쇠
     3. 각도변형
     4. 공진

     정답 : []
     정답률 : 95%

31. 건축용 강판 및 평강의 초음파탐상시험에 따른 등급분류와 판정기준(KS D 0040)에서 규정한 결함분류 중 틀린 것은?
     1. 수직탐촉자 : 50%< F ≤100% : 표시기호 △
     2. 수직탐촉자 : B1 ≤50% : 표시기호 X
     3. 2진동자 수직탐촉자 : DM선을 초과한 것 : 표시기호 X
     4. 2진동자 수직탐촉자 : DL선 초과 DM선 이하

     정답 : []
     정답률 : 47%

32. 강용접부의 초음파탐상 시험방법(KS B 0896)에서 경사각탐촉자의 접근한계길이를 정하고 있다. 진동자의 공칭치수가 10x10mm, 공칭 굴절각이 45˚ 일 때 접근 한계길이는 몇 mm인가?
     1. 15
     2. 18
     3. 20
     4. 25

     정답 : []
     정답률 : 48%

33. 초음파탐상장치의 성능 측정방법(KS B 0534)에서 분해능 시험편으로 사용하지 않는 것은?
     1. RB-RA
     2. RB-RB
     3. RB-RC
     4. RB-RE

     정답 : []
     정답률 : 83%

34. 강용접부의 초음파탐상 시험방법(KS B 0896)에 의한 원둘레이음 용접부 곡률 반지름 50~150mm를 검사하기 위한 대비시험편으로 옳은 것은?
     1. RB-A2
     2. RB-A5
     3. RB-A6
     4. RB-A9

     정답 : []
     정답률 : 65%

35. 보일러 및 압력용기의 재료에 대한 초음파탐상검사(ASME Sec.V Art5)에 의해 주조품을 수직빔으로 시험하는 경우 주조품의 전면과 후면간의 각이 몇 도를 초과하면 추가로 경사각빔 시험을 수행해야 하는가?
     1.
     2. 10˚
     3. 15˚
     4. 20˚

     정답 : []
     정답률 : 66%

36. 보일러 및 압력용기에 대한 표준초음파탐상검사 (ASME Sec.V Art23 SA-388)에 의거 오스테나이트계 스테인리스강의 단강품을 검사하고자 한다. 장비의 주파수는 어떻게 규정하고 있는가?(오류 신고가 접수된 문제입니다. 반드시 정답과 해설을 확인하시기 바랍니다.)
     1. 0.4MHz 이하의 주파수에서 시험할 수 있는 성능을 갖추어야 한다.
     2. 2.25MHz 이하의 주파수에서 시험할 수 있는 성능을 갖추어야 한다.
     3. 4MHz 이상의 주파수에서 시험할 수 있는 성능을 갖추어야 한다.
     4. 5MHz 이상의 주파수에서 시험할 수 있는 성능을 갖추어야 한다.

     정답 : []
     정답률 : 48%
     <문제 해설>
아래와 같은 오류 신고가 있었습니다.
여러분들의 많은 의견 부탁 드립니다.
추후 여러분들의 의견을 반영하여 정답을 수정하도록 하겠습니다.
참고로 정답 변경은 오류 신고 5회 이상일 경우 수정합니다.

[오류 신고 내용]
UT 규격집에 찾아보면 1번이 답으로 나와 있습니다. 제가 직접 찾아보고 작성합니다.
[해설작성자 : 빰빰]

[관리자 입니다.
다른 문제집 확인 가능한분 계시면 확인 부탁 드립니다.
신고시 출판사명까지 기제 부탁 드립니다.]

37. 강용접부의 초음파탐상 시험방법(KS B 0896)에서 규정하는 경사각탐상에서 에코높이 구분선에 의한 Ⅱ영역이 의미하는 것은?
     1. L선 이하
     2. L선 초과 M선 이하
     3. M선 초과 H선 이하
     4. H선 초과

     정답 : []
     정답률 : 77%

38. 압력용기용 강판의 초음파탐상 검사방법(KS B 0233)에서 X 주사결함의 분류 중 중간에 해당하는 것은?
     1. DL선을 넘고 DM선 이하
     2. DM선을 넘고 DH선 이하
     3. DH선을 넘는 것
     4. DC선을 넘고 DL선 이하

     정답 : []
     정답률 : 71%

39. 강용접부의 초음파탐상 시험방법(KS B 0896)에 따른 초음파 탐상기의 필요한 기능으로 틀린 것은?
     1. 탐상기는 1 탐촉자법, 2 탐촉자법 중 어느 것이나 사용할 수 있는 것으로 한다.
     2. 탐상기는 적어도 2MHz 및 5MHz의 주파수로 동작하는 것으로 한다
     3. 게인 조정기는 1스텝 2dB 이하에서, 합계 조정량은 40dB 이상 가진 것으로 한다.
     4. 게이트 범위는 10~250mm(횡파)의 범위에서 경보 레벨은 표시기의 세로축 눈금 위 20~80%의 범위에서 임의로 설정 할 수 있어야 한다.

     정답 : []
     정답률 : 63%

40. 보일러 및 압력용기에 대한 표준초음파탐상검사(ASME Sec.V Art23 SA388)에 따라 저면반사법으로 수직탐상 중에 재교정을 실시하였더니 게인(gain)레벨이 15% 증가하였다. 어떤 조치를 취하여야 하는가?
     1. 재교정 전에 실시한 부분은 재검사 한다.
     2. 재교정전에 실시한 부분 중 홈으로 기록된 부분만 재평가 한다.
     3. 기준보다 높은 레벨이므로 재교정 전에 실시한 부분은 재검사하지 않는다.
     4. 감독관과 협의한다.

     정답 : []
     정답률 : 78%

41. 펄스반사식 초음파 탐상기를 사용하여 시간축의 측정범위조정, 시간축 직전성의 점검, 수직탐촉자의 분해능 점검, 경사각탐촉자의 입사점 및 굴절각 측정 등에 사용되는 표준시험편은?
     1. STB-A1
     2. STB-A2
     3. STB-G
     4. STB-N1

     정답 : []
     정답률 : 81%

42. 물질 내의 음파속도와 밀도의 곱은 초음파에너지의 투과량과 반사량의 결정에 중요하게 작용하는데, 이를 무엇이라하는가?
     1. 음향임피던스
     2. 분산각
     3. 감쇠
     4. 음압

     정답 : []
     정답률 : 91%

43. 전자주사형 초음파탐상기에 사용되는 배열형(Array) 탐촉자의 주된 특징에 대한 설명으로 틀린 것은?
     1. 고속 자동탐상에 적합하다.
     2. 거리 및 분해능이 우수하다.
     3. 복합재료 등에서의 미소결함 검출에 적합하다.
     4. 음향집속은 음향렌즈에 의한다.

     정답 : []
     정답률 : 66%

44. 전자음향탐촉자(electro-magnetic acoustic transducer : EMAT)에 관한 설명으로 틀린 것은?
     1. 비접촉식 탐촉자로 접촉매질은 필요 없으나 시험체와의 거리에 따라 감도가 달라진다.
     2. 압전 진동자를 이용하는 탐촉자에 비하여 음향변환효율이 뛰어나 탐상감도가 높다.
     3. 금속표면에 발생된 와전류와 자계와의 사이에 일어나는 상호작용으로 초음파를 송신 또는 수신한다.
     4. 코일과 자석을 다양하게 조합함으로써 여러종류의 초음파 모드를 발생시킬 수 있다.

     정답 : []
     정답률 : 35%

45. 경사각탐상에서 스위프지연 조정장치의 사용 목적은?
     1. 음극선관 스크린에 얻어지는 진폭의 조정
     2. 음극선관 영상의 파형 조정
     3. 음극선관 영상의 영점 조정
     4. 음극선관 스크린의 감도 여유값 조정

     정답 : []
     정답률 : 51%

46. 어떤 강재를 주파수 5MHz에서 2.25MHz로 바꾸어 탐상하였다. 이 경우 음속 및 파장은 어떻게 되는가?
     1. 파장은 변화하지 않고 음속은 늦어진다.
     2. 파장은 길어지나 음속은 변하지 않는다.
     3. 파장은 변화하지 않고 음속은 빨라진다.
     4. 파장은 짧아지나 음속은 변하지 않는다.

     정답 : []
     정답률 : 64%

47. 진동자 설계 시 다음 중 최대의 감도를 갖는 경우는?
     1. 펄스폭이 크고 댐핑상수가 작아야 한다.
     2. 펄스폭이 작고 댐핑상수가 커야 한다.
     3. Q값과 대역폭이 작아야 한다.
     4. Q값은 작고 대역폭은 커야 한다.

     정답 : []
     정답률 : 54%

48. 초음파 탐상장치의 시간축을 100mm로 거리 보정하고 DAC 회로를 이용하여 거리진폭특성곡선을 그렸다. 다른 것은 조정하지 않고 200mm로 거리 보정하면 거리진폭특성곡선은 어떻게 되는가?
     1. 거리 보정한 것보다 기울기가 커진다.
     2. 거리 보정한 것보다 기울기가 작아진다.
     3. 거리 보정한 것에 비해 기울기의 변화가 없다.
     4. 거리 보정한 것보다 기울기가 커졌다 작아졌다 한다.

     정답 : []
     정답률 : 53%

49. 비접촉식 방법 중 EMAT법의 설명으로 옳은 것은?
     1. 레이저를 시험체에 부딪혀 초음파를 발생시킨다.
     2. 진동자의 전면에 1/4파장 두께의 음향접합층을 붙인다.
     3. 전자력에 의해 초음파를 발생시키고 센서코일로 수신한다.
     4. 와전류를 발생시키는 것과 같은 검출코일과 수신코일이 있다.

     정답 : []
     정답률 : 50%

50. DGS선도에 관한 다음 설명 중 틀린 것은?
     1. DGS선도는 거리, 증폭 및 크기를 나타내는 머리글자들의 조합이다.
     2. DGS선도는 횡축을 증폭, 종축을 결함의 크기로 한 거리를 나타낸 선도이다.
     3. DGS선도는 결함을 STB-G와 같은 원형평면결함으로 환산하여 평가할 때 이용한다.
     4. DGS선도는 다른 용어로 AVG선도라고도 한다.

     정답 : []
     정답률 : 54%

51. 초음파탐상검사를 할 때 분해능의 설명으로 옳은 것은?
     1. 불연속의 크기를 결정하는 능력
     2. 반사파의 에코를 증폭시키는 능력
     3. 함께 인접해 있는 두 반사파의 에코를 식별하는 능력
     4. 부드러운 물질의 단면 중심에 불연속을 검출하는 능력

     정답 : []
     정답률 : 89%

52. 탐상면의 표면거칠기에 영향을 가장 많이 받는 초음파탐상 검사법은?
     1. 수침법
     2. EMAT법
     3. 레이저-초음파법
     4. 직접접촉법

     정답 : []
     정답률 : 91%

53. 용접부 검사에 대한 초음파탐상시험의 내용에 대한 설명으로 옳은 것은?
     1. 용접부 검사에 수직탐상법은 사용하지 않는다.
     2. 용접부 검사를 위한 경사각 탐상에서는 반드시 탐촉자를 한 개만 사용한다.
     3. 용접부 검사에는 탬덤주사를 사용할 수 없다.
     4. 용접부 검사에는 여러 가지 주사방법을 병행하여 가능한한 결함 검출이 누락되지 않도록 한다.

     정답 : []
     정답률 : 79%

54. 초음파탐상검사 방법의 선정 시 고려하지 않아도 되는 것은?
     1. 검사품의 용도
     2. 검사품의 색채
     3. 적용하는 규격
     4. 결함의 특성

     정답 : []
     정답률 : 94%

55. 감도조정에 관한 다음 설명 중 옳은 것은?
     1. 저면에코 방식에 의한 감도조정은 감쇠가 적은 시험체에만 적용할 수 있다.
     2. 저면에코 방식에 의한 감도조정은 시험체의 탐상면과 저면이 평행하지 않으면 적용할 수 없다.
     3. 저면에코 방식에 의한 감도조정은 감쇠가 현저한 시험체일 때 결함을 과소평가할 우려가 있다.
     4. 저면에코 방식에 의한 감도조정은 감도조정용의 STB 또는 RB가 반드시 필요하다.

     정답 : []
     정답률 : 62%

56. 다음 그림은 탐촉자의 무엇을 측정하는 것인가?

    

     1. 거리
     2. 감도
     3. 입사점
     4. 분해능

     정답 : []
     정답률 : 76%

57. 다음 중 용접부의 초음파탐상시험 시 결함의 종류 판별에 가장 영향이 먼 인자는?
     1. 결함의 형상
     2. 결함의 위치
     3. 반사파의 크기
     4. 시험체의 밀도

     정답 : []
     정답률 : 64%

58. STB-A1의 반경 100mm의 사분원 중심에 경사각 탐촉자의 입사점을 맞추고 이 때 발생된 1차 저면 지시파와 2차 저면 지시파를 CRT눈금판의 눈금 2와 4에 맞추어 놓았다면 이때 전체의 스크린은 몇 mm로 교정되는가? (단, CRT 눈금판은 전체가 10등분으로 되어 있다.)
     1. 200mm
     2. 400mm
     3. 500mm
     4. 800mm

     정답 : []
     정답률 : 57%

59. 두께 2인치인 알루미늄 시험편을 수침법으로 검사하는 개략적인 그림과 스크린 상에 지시치가 나타난 도형을 이용하여 지시 A와 B사이의 거리를 옳게 나타낸 것은?

    

     1. 시험편 전면에서 저면 사이의 거리
     2. 시험편 전면에서 불연속 사이의 거리
     3. 탐촉자에서 시험편 저면 사이의 거리
     4. 탐촉자에서 시험편 전면 사이의 물거리

     정답 : []
     정답률 : 72%

60. 두 개의 탐촉자를 이용한 송·수신(pitch-catch)법으로 결함을 탐지하는 방법 중에서 그림과 같이 탐촉자를 배열하여 검사하는 방법은?

    

     1. 텐덤탐상법
     2. V반사탐상법
     3. K반사탐상법
     4. 표면파탐상법

     정답 : []
     정답률 : 78%


정 답 지

1

2

3

4

5

6

7

8

9

10

11

12

13

14

15

16

17

18

19

20

21

22

23

24

25

26

27

28

29

30

31

32

33

34

35

36

37

38

39

40

41

42

43

44

45

46

47

48

49

50

51

52

53

54

55

56

57

58

59

60

초음파비파괴검사산업기사 필기 기출문제(해설) 및 CBT 2016년08월21일을 이용해 주셔서 감사합니다.
, 필기, 기출문제, 전자문제집, CBT, 온라인, 모의테스트, 모의고사



List of Articles
번호 제목 글쓴이 날짜 조회 수
9178 초음파비파괴검사산업기사 필기 기출문제(해설) 및 CBT 2018년08월19일(9731) 좋은아빠되기 2025.10.07 0
9177 초음파비파괴검사산업기사 필기 기출문제(해설) 및 CBT 2018년03월04일(9730) 좋은아빠되기 2025.10.07 0
9176 초음파비파괴검사산업기사 필기 기출문제(해설) 및 CBT 2017년08월26일(9729) 좋은아빠되기 2025.10.07 0
9175 초음파비파괴검사산업기사 필기 기출문제(해설) 및 CBT 2017년03월05일(9728) 좋은아빠되기 2025.10.07 0
» 초음파비파괴검사산업기사 필기 기출문제(해설) 및 CBT 2016년08월21일(9727) 좋은아빠되기 2025.10.07 0
9173 초음파비파괴검사산업기사 필기 기출문제(해설) 및 CBT 2016년03월06일(9726) 좋은아빠되기 2025.10.07 1
9172 방송통신산업기사(구) 필기 기출문제(해설) 및 CBT 2007년09월02일(9725) 좋은아빠되기 2025.10.07 0
9171 전자기사 필기 기출문제(해설) 및 CBT 2006년05월14일(9724) 좋은아빠되기 2025.10.07 0
9170 용접기능장 필기 기출문제(해설) 및 CBT 2009년03월29일(9723) 좋은아빠되기 2025.10.07 0
9169 지적기사 필기 기출문제(해설) 및 CBT 2019년03월03일(9722) 좋은아빠되기 2025.10.07 0
9168 지적산업기사 필기 기출문제(해설) 및 CBT 2019년03월03일(9721) 좋은아빠되기 2025.10.07 0
9167 종자기사 필기 기출문제(해설) 및 CBT 2019년03월03일(9720) 좋은아빠되기 2025.10.07 0
9166 소방설비산업기사(기계) 필기 기출문제(해설) 및 CBT 2014년03월02일(9719) 좋은아빠되기 2025.10.07 0
9165 기계조립산업기사 필기 기출문제(해설) 및 CBT 2004년09월05일(9718) 좋은아빠되기 2025.10.07 0
9164 기계조립산업기사 필기 기출문제(해설) 및 CBT 2004년05월23일(9717) 좋은아빠되기 2025.10.07 0
9163 기계조립산업기사 필기 기출문제(해설) 및 CBT 2004년03월07일(9716) 좋은아빠되기 2025.10.07 0
9162 기계조립산업기사 필기 기출문제(해설) 및 CBT 2003년05월25일(9715) 좋은아빠되기 2025.10.07 0
9161 기계조립산업기사 필기 기출문제(해설) 및 CBT 2003년03월16일(9714) 좋은아빠되기 2025.10.07 0
9160 소음진동기사(구) 필기 기출문제(해설) 및 CBT 2018년09월15일(9713) 좋은아빠되기 2025.10.07 0
9159 소음진동기사(구) 필기 기출문제(해설) 및 CBT 2017년09월23일(9712) 좋은아빠되기 2025.10.07 0
Board Pagination Prev 1 ... 222 223 224 225 226 227 228 229 230 231 ... 685 Next
/ 685