자격증 필기 기출문제



초음파비파괴검사산업기사 필기 기출문제(해설) 및 CBT 2018년08월19일(9731)

최강 자격증 기출문제 전자문제집 CBT : www.comcbt.com


전자문제집 CBT란?

종이 문제집이 아닌 인터넷으로 문제를 풀고 자동으로 채점하며 모의고사, 오답 노트, 해설까지 제공하는
무료 기출문제 학습 프로그램으로 실제 상설검정에서 사용하는 OMR 형식의 CBT를 제공합니다.


최신 초음파비파괴검사산업기사 필기 기출문제 : [다운로드]

1과목 : 비파괴검사 개론


1. 와류탐상에서 원주와 코일간의 거리가 변함에 따라 출력 지시가 변화하는 경우는?
     1. 충진율
     2. 리프트 오프
     3. 모서리 효과
     4. 끝부분 효과

     정답 : []
     정답률 : 71%

2. 탄소강을 모재로 하여 SUS316 스텐인리스강으로 클래딩 된 클래드강의 압력용기에 대하여 클래드재의 잔존 두께를 측정하고자 한다. 가장 적합하다고 생각되는 측정방법은?
     1. 수직탐촉자를 사용하여 접촉법으로 이종금속의 계면에서 반사되는 반사신호로부터 측정한다.
     2. 수직탐촉자를 사용하여 국부수침법으로 이종금속의 계면에서 반사되는 반사신호로부터 측정한다.
     3. 분할형탐촉자를 사용하여 이종금속의 계면에서 반사되는 반사신호로부터 측정한다.
     4. 홀(Hall) 센서를 사용하여 자화시킨 탄소강에서의 누설 자속의 강도를 이용하여 측정한다.

     정답 : []
     정답률 : 59%

3. 방사선투과시험으로 균열을 검출할 때의 신뢰도를 균열 감도와 선형 투과도계 감도에 의해 다음 식으로 나타낼 때 d가 1mm, 두께가 50mm인 강판 맞대기 용접부 내에 존재하는 폭 0.5mm인 균열이 방사선 투과사진에 나타나기 위해 균열의 깊이가 얼마 이상이어야 하는가? (단, P와 W는 단위 길이인 균열의 깊이와 폭이며, d는 방사선투과사진에 나타나는 투과도계의 wire의 직경, U는 투과사진의 불선명도이고 0.5mm이다.)

   

     1. 3.6mm
     2. 7.2mm
     3. 9.0mm
     4. 12.0mm

     정답 : []
     정답률 : 79%

4. 다음 중 비파괴검사에 대한 설명으로 옳은 것은?
     1. 육안검사(VT)는 비파괴검사의 한 종류이다.
     2. 누설자속시험은 압력용기의 물 높이를 검지하는 데 적합한 시험방법이다.
     3. 자분탐상시험은 섬유강화 복합재료의 접촉불량부를 검출하는 데 적합하다.
     4. 침투탐상시험은 오스테나이트계 스테인리스강의 비드 중에 내재하고 있는 미세한 균열을 검출하는 데 적합한 시험방법이다.

     정답 : []
     정답률 : 90%

5. 용접부 내부 결함의 상태를 가장 잘 측정할 수 있는 검사법은?
     1. 진공상자를 이용한 누설검사
     2. C-스캔을 이용한 초음파탐상검사
     3. 코일을 이용한 자분탐상검사
     4. 보빈 코일을 이용한 와전류탐상검사

     정답 : []
     정답률 : 91%

6. 철강에 함유된 원소 중 5대 성분에 해당되지 않는 것은?
     1. C
     2. Si
     3. Mn
     4. Al

     정답 : []
     정답률 : 90%

7. 결정구조에서 원자가 없는 공간격자로 된 격자 결함이며, 이러한 결함이 결정 내를 여러 개 통과하면 그 수만큼 원자 간격으로 미끄럼 변형이 일어나는 것을 무엇이라 하는가?
     1. 가공경화(work hardening)
     2. 전위(dislocation)
     3. 탄성(elasticity)
     4. 균열(crack)

     정답 : []
     정답률 : 84%

8. Fe-C계 평형 상태도에서 Acm 선에 대한 설명 중 옳은 것은?
     1. δ 고용체의 액상선이다.
     2. α 고용체의 탄소포화점이다.
     3. γ 고용체에서 Fe3C가 석출하기 시작하는 선이다.
     4. γ 고용체의 액상선이며, 융액에서 γ 고용체가 정출하기 시작하는 선이다.

     정답 : []
     정답률 : 80%

9. 전자부품의 숄더링(soldering)으로 가장 많이 사용하고 있으며, 약 450℃ 이하의 융점을 갖는 합금은?
     1. Cu - Sn계 합금
     2. Sn - Pb계 합금
     3. Cu - Pb계 합금
     4. Ni - Cr계 합금

     정답 : []
     정답률 : 63%

10. 주조 시 주형에 냉금을 삽입하여 주물표면을 급냉시킴으로써 표면 경도를 증가시키고 내부는 강하고 인성이 있어 압연기 롤러, 기차 바퀴 등에 사용하는 내마모용 주철은?
     1. 백심가단주철
     2. 구상흑연주철
     3. 칠드주철
     4. Cr주철

     정답 : []
     정답률 : 82%

11. 복합재료에 대한 설명으로 틀린 것은?
     1. 어떤 목적과 특성을 얻기 위하여 2종 또는 그 이상의 다른 재료를 서로 합하여 하나의 재료로 만든 것을 복합재료라 한다.
     2. 복합재료는 일반적으로 비강도와 비탄성률이 낮기 때문에 항공기 부품이나 소재 경량화재료에 활용되고 있다.
     3. 복합재료의 개념을 바탕으로 실용화되고 있는 재료에는 자동차 타이어, 입자분산강화합금 등이 있다.
     4. 복합재료에는 클래드재료, 섬유강화재료, 분산강화재료 등이 있다.

     정답 : []
     정답률 : 79%

12. 500~600℃까지 가열해도 뜨임 효과에 의해 연화되지 않고 고온에서도 경도의 감소가 적은 것이 특징이며, 대표적 조성이 18%W - 4%Cr - 1%V 인 강은?
     1. 다이스강(Dies Steel)
     2. 게이지용강(Gauge Steel)
     3. 스테인리스강(Stainless Steel)
     4. 고속도공구강(High Speed Tool Steel)

     정답 : []
     정답률 : 83%

13. 규소를 넣어 주조성을 개선하고 구리를 넣어 절삭성을 향상시킨 Al-Cu-Si계 합금은?
     1. 톰백
     2. 알루멜
     3. 크로멜
     4. 라우탈

     정답 : []
     정답률 : 80%

14. 수소연료 전지용 전극이 가져야 할 특징을 설명한 것 중 틀린 것은?
     1. 전해액 중에서 장기간 화학적으로 안정될 것
     2. 넓은 온도범위에서 방전용량이 변화하지 않을 것
     3. 수소의 저장ㆍ방출을 반복한 후에도 저장량이 저하되지 않을 것
     4. 분극을 적게 하기 위하여 전극자체의 저항분극을 크게 할 것

     정답 : []
     정답률 : 83%

15. A, B 2종류의 금속이 고용체를 만들 때 전기저항이나 강도의 증가가 최대가 되는 비율은?
     1. 비율과 관계없다.
     2. A : B = 50 : 50
     3. A : B = 30 : 70
     4. A : B = 20 : 80

     정답 : []
     정답률 : 84%

16. 피복 아크 용접 시 아크전압이 30V, 아크전류가 150A, 용접속도가 10cm/min 일 때 용접의 단위 길이 1cm당 발생하는 전기적 에너지 즉, 용접 입열량은 몇 J/cm 인가?
     1. 17000
     2. 27000
     3. 37000
     4. 47000

     정답 : []
     정답률 : 86%

17. 아크 용접기의 특성 중 부하 전류가 증가하면 단자 전압이 저하되는 것을 무엇이라 하는가?
     1. 수하 특성
     2. 상승 특성
     3. 정전압 특성
     4. 자기 제어 특성

     정답 : []
     정답률 : 81%

18. 라미네이션 결함이 발생되는 원인으로 가장 관계가 있는 것은?
     1. 시공 불량
     2. 재료 불량
     3. 설계 불량
     4. 용접성 불량

     정답 : []
     정답률 : 69%

19. 맞대기 용접, 필릿 용접 등의 비드표면과 모재와의 경계부에 발생하는 균열이며, 구속응력이 클 때 용접부의 가장자리에 발생하여 성장하는 균열은?
     1. 토 균열
     2. 설퍼 균열
     3. 루트 균열
     4. 크레이터 균열

     정답 : []
     정답률 : 76%

20. 불활성 가스 금속 아크 용접의 특징으로 틀린 것은?
     1. 아크 자기제어 특성이 있다.
     2. 정전압 특성 또는 상승 특성의 직류용접기가 사용된다.
     3. 전류밀도가 낮아 3mm 미만의 박판용접에 능률적이다.
     4. 알루미늄이나 스테인리스강 용접에 많이 이용한다.

     정답 : []
     정답률 : 64%

2과목 : 초음파탐상검사 원리 및 규격


21. 탐촉자에서 초음파빔의 퍼짐은 주로 무엇에 의해 좌우되는가?
     1. 진동자 재질의 종류
     2. 주파수 및 진동자의 크기
     3. 펄스의 길이
     4. 접촉매질의 종류

     정답 : []
     정답률 : 87%

22. 재료의 음향임피던스가 갖는 주된 요소는 무엇을 결정하는 데 사용되는가?
     1. 재료 표면에서의 음석
     2. 경계면에서의 거칠기
     3. 재료 내에서의 빔의 확산
     4. 경계면에서 통과 및 반사되는 에너지의 양

     정답 : []
     정답률 : 75%

23. 재료 내부의 전위, 균열 등의 결함 생성 및 변위 발생 시 발생하는 탄성파를 검출하여 결함의 성질과 상태를 평가하는 비파괴 시험 방법은?
     1. UT
     2. ECT
     3. AE
     4. SM

     정답 : []
     정답률 : 72%

24. 경사각 초음파탐상시험 시 반드시 주의해야 할 현상이 아닌 것은?
     1. 지연에코(delayed echo)
     2. 잔향에코(ghost echo)
     3. 저면에코(back echo)
     4. 원주면에코

     정답 : []
     정답률 : 74%

25. 초음파탐상 시 경사각탐상에 대한 설명으로 올바른 것은?
     1. 용접 균열인지 아닌지의 판정을 위해서는 결함에코의 빔 진행거리만을 측정한다.
     2. 용접비드에서의 에코는 결함에코보다 항상 작게 나타나기 때문에 무시해도 좋다.
     3. 결함지시길이는 탐사방향을 바꾸어도 변하지 않는다.
     4. 내부 용입불량의 검출에는 탠덤법이 유효하다.

     정답 : []
     정답률 : 71%

26. 동일한 조건에서 미세한 결함 길이를 정확히 측정하는 데 사용되는 측정 방법은?
     1. 6dB Drop법
     2. 20dB Drop법
     3. DAC Drop법
     4. 최대에코진폭법

     정답 : []
     정답률 : 66%

27. 제2차 임계각(second critical angle)에서 볼 수 있는 파형은?
     1. 종파
     2. 횡파
     3. 표면파
     4. 판파

     정답 : []
     정답률 : 61%

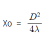
28. 알루미늄 피검체의 탐상 시 초음파빔의 분산각을 35°로 하려고 한다. 탐촉자의 직경은 약 얼마인가?(단, 알루미늄의 종파음속은 6500m/sec, 주파수는 1MHz이다.)
     1. 13mm
     2. 13cm
     3. 60cm
     4. 60mm

     정답 : []
     정답률 : 71%

29. 시험체 내에서 초음파 전파특성이 탐상방향에 따라 차이가 있는 경우 재질이 이방성을 갖는다고 설명할 수 있는데, 이러한 재질의 이방성으로 나타날 수 있는 현상이 아닌 것은?
     1. 초음파의 속도 변화
     2. 초음파의 산란 및 감쇠 변화
     3. 다수의 미세 에코 발생
     4. 결함지시 검출능력 향상

     정답 : []
     정답률 : 63%

30. 강(steel)의 두께가 2,5cm인 제품을 공진법으로 초음파탐상검사할 때, 기본 공진 주파수는? (단, VL=5900m/s이다.)
     1. 236kHz
     2. 23.6kHz
     3. 118kHz
     4. 11.8kHz

     정답 : []
     정답률 : 48%

31. 보일러 및 압력용기에 대한 표준초음파탐상검사 (ASME Sec.V, Art.23 SA-435)를 위한 표준규격에서 압연된 완전탈산(killed) 탄소강판 및 합금강판의 적용 두께의 기준은?
     1. 6.25mm 이상
     2. 12.5mm 이상
     3. 25.0mm 이상
     4. 50.0mm 이상

     정답 : []
     정답률 : 61%

32. 알루미늄의 맞대기용접부의 초음파경사각탐상 시험방법(KSB 0897)에 따른 시험결과의 분류에서 모재의 두께가 40mm이고, 1류의 판정이 내려진 경우 허용되는 홈의 최대 길이는 얼마 이하인가? (단, 분류는 B종 홈인 경우이다.)
     1. 10mm
     2. 20mm
     3. 30mm
     4. 40mm

     정답 : []
     정답률 : 80%

33. 보일러 및 압력용기의 재료에 대한 초음파탐상검사(ASME Sec.V Art.5)에 따라 주조품을 탐상검사할 때 수직탐촉자를 사용하고, 특수한 경우에는 경사각 탐촉자를 추가로 사용하는데 이 특수한 경우에 대한 설명으로 옳은 것은?
     1. 자동 DAC 장치를 사용할 때
     2. 사용주파수가 0.5MHz 일 때
     3. 주조품의 재질이 알루미늄 일 때
     4. 주조품의 전면과 후면과의 각도가 15°를 넘을 때

     정답 : []
     정답률 : 82%

34. 강 용접부의 초음파탐상 시험방법(KS B 0896)에서 경사각탐상에 사용하는 모재 판두께에 대한 공칭주파수로 적당한 것은?
     1. 50mm 이하 : 5MHz
     2. 75mm 이하 : 2MHz 또는 5MHz
     3. 100mm 이상 : 2MHz 또는 5MHz
     4. 150mm 이상 : 2MHz 또는 5MHz

     정답 : []
     정답률 : 70%

35. 강 용접부의 초음파 탐상시험방법(KS B 0896)에 의한 원둘레이음 용접부의 초음파 탐상에 사용하는 대비 시험편의 곡률반지름은 시험체 곡률 반지름의 몇 배로 하여야 하는가?
     1. 1.0배 이상 1.5배 이하
     2. 0.9배 이상 1.5배 이하
     3. 1.0배 초과 1.5배 미만
     4. 0.9배 초과 1.4배 미만

     정답 : []
     정답률 : 77%

36. 강 용접부의 초음파탐상 시험방법(KS B 0896)에서 수직탐촉자에 필요한 성능에 대한 설명으로 올바른 것은?
     1. 공칭 주파수 2MHz 탐촉자의 원거리 분해능은 10mm 이하이다.
     2. 공칭 주파수 5MHz 탐촉자의 원거리 분해능은 6mm 이하이다
     3. 공칭 주파수 2MHz 탐촉자의 불감대는 20mm 이하이다.
     4. 공칭 주파수 5MHz 탐촉자의 불감대는 10mm 이하이다.

     정답 : []
     정답률 : 58%

37. 강 용접부의 초음파탐상시험방법(KS B 0896)에서 직접접촉용 1진동자 수직탐촉자의 송신펄스폭에 따른 불감대 측정에서 빔노정이 몇 mm이상인 경우 규정을 하지 않는가?
     1. 50mm
     2. 30mm
     3. 20mm
     4. 10mm

     정답 : []
     정답률 : 63%

38. 초음파 펄스 반사법에 의한 두께 측정방법(KS B 0536)에서 측정면의 거칠기가 25~100S 일 경우 글리세린 수용액의 농도는?
     1. 12.5% 이상
     2. 25% 이상
     3. 50% 이상
     4. 75% 이상

     정답 : []
     정답률 : 67%

39. 초음파 탐촉자의 성능측정 방법(KS B 0535)에서 굴절각이 75°인 경사각 탐촉자로 굴절각을 측정하려 할 때 표준시험편 STB-A1에 사용되는 관통 구멍의 지름은 얼마인가?
     1. 1mm
     2. 1.5mm
     3. 4mm
     4. 50mm

     정답 : []
     정답률 : 71%

40. 보일러 및 압력용기에 대한 초음파탐상검사(ASME Sec.V Art.4)에 따라 곡률이 508mm(20인치) 이하인 시험대상물을 검사하기 위해 곡률이 254mm(10인치)인 기본교정시험편을 제작하였다. 이 시험편을 사용하여 검사할 수 있는 시험 대상물의 곡률반경 범위로 적합한 것은?
     1. 229mm(9인치) 이상 381mm(15인치) 이하의 곡률을 가진 것은 검사 가능하다.
     2. 229mm(9인치) 미만의 곡률을 가진 것은 검사 가능하다.
     3. 381mm(15인치) 초과하는 곡률을 가진 것은 검사가능하다.
     4. 381mm(15인치) 초과하고 508mm(20인치) 미만인 것은 검사가능하다.

     정답 : []
     정답률 : 72%

41. 진동자의 크기가 일정하고 주파수를 증가시켰을 때 변하는 것은 무엇인가?
     1. 근거리 분해능이 증가한다.
     2. 근거리 음장이 증가한다.
     3. 지향각이 증가한다.
     4. 펄스폭이 증가한다.

     정답 : []
     정답률 : 64%

42. 초음파탐상 결과를 화면에 표시하는 방법 중 MA Scope 표시 방법이란?
     1. 횡축에는 전파시간, 종축에는 에코의 크기를 나타내는 방법
     2. 탐촉자 위치를 횡축, 시간 또는 반사원의 깊이를 종축에 잡고 시험체의 단면을 표시하는 방법
     3. 탐상면 전체에 걸쳐 탐촉자를 주사하고 결함에코가 발생한 탐촉자 위치로 표시하는 방법
     4. 탐촉자를 전후 주사시켰을 때 기본표시를 중첩하여 하나의 도형으로 표시하는 방법

     정답 : []
     정답률 : 56%

43. 초음파의 감쇄가 적은 일반 강재를 종파 경사각탐촉자를 사용하여 검사할 경우 가장 주의해야하는 사항은?
     1. 펄스에코가 높기 때문에 게인 조정에 주의한다.
     2. 감쇄가 적기 때문에 주파수 선택에 주의한다.
     3. 이면에서 반사되어 횡파로 모드 변환하기 때문에 직사법만 사용해야한다.
     4. 횡파보다 속도가 빠른 종파만 전파되기 때문에 시간축 직선성에 주의해야 한다.

     정답 : []
     정답률 : 44%

44. 그림과 같이 경사각법으로 검사를 실시했을 때 CRT에 나타나는 탐상도형으로 옳은 것은?

    

     1.
     2.
     3.
     4.

     정답 : []
     정답률 : 63%

45. 적산효과란 어떤 시험체의 초음파탐상검사 시 나타날 수 있는 현상인가?
     1. 판재
     2. 맞대기 용접된 용입부
     3. 대형 주강품
     4. 형상이 복잡한 단조품

     정답 : []
     정답률 : 64%

46. 단강품에 대해서 수직으로 초음파 탐상할 때 잡음신호가 크고 저면에코가 보이지 않을 경우에 합당한 조치는?
     1. 탐상 감도를 높게 한다.
     2. 측정범위를 가급적 좁게 한다.
     3. 더 낮은 주파수의 탐촉자를 사용한다.
     4. 리젝션을 사용한다.

     정답 : []
     정답률 : 68%

47. 다음 중 초음파빔 분산각을 구하기 위한 식은? (단, Φ는 초음파빔의 분산각이다.)
     1. sinΦ ≒ 1.2 × 진동자 직경 × 파장
     2. sinΦ ≒ 주파수 × 파장 ÷ 진동자 직경
     3. sinΦ ≒ 주파수 × 파장
     4. sinΦ ≒ 1.2 × 파장 ÷ 진동자 직경

     정답 : []
     정답률 : 70%

48. 점집속에 사용되는 음향집속 방법이 아닌 것은?
     1. 구면 진동자식
     2. 렌즈식
     3. 평면 진동자식
     4. 반사식

     정답 : []
     정답률 : 56%

49. 주ㆍ단강품의 초음파 탐상감도를 조정할 때 표준시험편을 사용하여 그 표준구멍으로부터의 에코가 정해진 높이가 되도록 탐상기의 감도를 조정하는 시험편 방식의 장점으로 볼 수 없는 것은?
     1. 탐상감도를 나타내기가 용이하다.
     2. 공정간에 탐상한 상호의 데이터들의 비교가 비교적 용이하다.
     3. 시험편과 시험체의 감쇠 차이에 의한 결함에코 높이 차이의 보정이 불필요하다.
     4. 시험체와 동일한 종류의 강이며 검출목적에 맞는 깊이 및 크기의 인공결함을 임의로 만들 수 있다.

     정답 : []
     정답률 : 72%

50. 지름이 작고 긴 봉강을 길이 방향에서 종파로 초음파 탐상 검사할 때 1차 저면 반사파(B1)와 2차 저면 반사파(B2) 사이에 나타나는 간섭파형은 무엇 때문에 일어나는가?
     1. 잡음
     2. 전기적 간섭 신호
     3. 표면파
     4. 파형변이

     정답 : []
     정답률 : 75%

51. 초음파탐상용 탐촉자에서 진동자 뒷면 흡음재의 기능에 대한 설명으로 틀린 것은?
     1. 에너지를 흡수하게 한다.
     2. 진동자에 진동을 잘 멈추게 한다.
     3. 진동자와 흡음재의 접착이 나빠지면 펄스폭이 좁아진다.
     4. 진동자와 흡음재 사이의 접착이 나빠지면 감도가 나빠진다.

     정답 : []
     정답률 : 64%

52. 알루미늄의 음향임피던스는 얼마인가?(단, 알루미늄 밀도 : 2700kg/m3, 종파속도 : 6320m/sec이다.)
     1. 8.5×106kg/m2ㆍsec
     2. 17×106kg/m2ㆍsec
     3. 8.5×107kg/m2ㆍsec
     4. 17×107kg/m2ㆍsec

     정답 : []
     정답률 : 67%

53. 다음 중 결함의 크기 측정에 이용되는 방법이 아닌 것은?
     1. DAC 곡선
     2. 20dB법(20dB drop법)
     3. AVG 곡선
     4. 게이트 활용 측정법

     정답 : []
     정답률 : 70%

54. 초음파탐상검사에서 집속형 수직탐촉자를 사용함으로써 얻을 수 있는 이점이 아닌 것은?
     1. 불감대가 없으므로 표면에 근접한 결함검출에 유용하다.
     2. 결함위치 및 크기를 정밀하게 측정할 수 있다.
     3. 임상에코가 나타나는 재료의 탐상시 S/N비를 향상시킬 수 있다.
     4. 작은 결함으로부터 높은 에코를 얻을 수 있다.

     정답 : []
     정답률 : 56%

55. 초음파탐상용 STB-A1 표준시험편으로 확인할 수 없는 것은?
     1. 측정 범위의 조정
     2. 경사각 탐촉자의 굴절각 측정
     3. 경사각 탐촉자의 분해능 측정
     4. 경사각 탐촉자의 입사점 결정

     정답 : []
     정답률 : 71%

56. 두꺼운 재료에 대해서 수직 초음파 탐상을 수행할 경우 다중 반사신호로 인하여 잔향에코가 신호에 섞이는 현상이 나타날 수 있다. 이러한 경우 해결방법으로 적절한 것은 ?
     1. 탐상기의 댐핑을 조절한다.
     2. 탐촉자를 교체한다.
     3. 탐상기의 게인을 조절한다.
     4. 탐상기의 펄스 반복주파수를 낮춘다.

     정답 : []
     정답률 : 65%

57. 강재만 측정할 수 있는 두께계로, 음속이 다르다고 생각되는 특수 재료의 두께를 측정하였다. 그 재료의 음속을 구하는 데 필요한 산출식은?
     1. 특수 재료의 음속 = 강재의 음속 + 음속보정계수
     2. 특수 재료의 음속 = 음속보정계수 - 강재의 음속
     3. 특수 재료의 음속 = 강재의 음속 × 음속보정계수
     4. 특수 재료의 음속 = 강재의 음속 ÷ 음속보정계수

     정답 : []
     정답률 : 81%

58. 다음중 탐상 감도가 가장 우수한 주파수는?
     1. 1MHz
     2. 2MHz
     3. 2.25MHz
     4. 4MHz

     정답 : []
     정답률 : 72%

59. 초음파탐상시 표준시험편 또는 대비시험편의 용도의 적합하지 않은 것은?
     1. 측정범위의 조정
     2. 탐상감도의 조정
     3. 실측 주파수의 측정
     4. 탐상장치의 점검에 필요한 탐상장치의 특성 및 성능 측정

     정답 : []
     정답률 : 83%

60. 수직탐상 시 결함으로부터의 에코높이가 스크린상 40%의 높이에 표시되었다. 이결함 에코를 80%로 맞추고자 할 경우 옳은 방법은?
     1. 탐촉자 압력을 세게 한다.
     2. 게이트 회로를 조정한다.
     3. 스윕지연 회로를 조정한다.
     4. 게인 조정기를 조정한다.

     정답 : []
     정답률 : 81%


정 답 지

1

2

3

4

5

6

7

8

9

10

11

12

13

14

15

16

17

18

19

20

21

22

23

24

25

26

27

28

29

30

31

32

33

34

35

36

37

38

39

40

41

42

43

44

45

46

47

48

49

50

51

52

53

54

55

56

57

58

59

60

초음파비파괴검사산업기사 필기 기출문제(해설) 및 CBT 2018년08월19일을 이용해 주셔서 감사합니다.
, 필기, 기출문제, 전자문제집, CBT, 온라인, 모의테스트, 모의고사



List of Articles
번호 제목 글쓴이 날짜 조회 수
9181 지적산업기사 필기 기출문제(해설) 및 CBT 2010년05월09일(9734) 좋은아빠되기 2025.10.07 0
9180 컬러리스트기사 필기 기출문제(해설) 및 CBT 2019년03월03일(9733) 좋은아빠되기 2025.10.07 1
9179 컬러리스트산업기사 필기 기출문제(해설) 및 CBT 2019년03월03일(9732) 좋은아빠되기 2025.10.07 0
» 초음파비파괴검사산업기사 필기 기출문제(해설) 및 CBT 2018년08월19일(9731) 좋은아빠되기 2025.10.07 0
9177 초음파비파괴검사산업기사 필기 기출문제(해설) 및 CBT 2018년03월04일(9730) 좋은아빠되기 2025.10.07 0
9176 초음파비파괴검사산업기사 필기 기출문제(해설) 및 CBT 2017년08월26일(9729) 좋은아빠되기 2025.10.07 0
9175 초음파비파괴검사산업기사 필기 기출문제(해설) 및 CBT 2017년03월05일(9728) 좋은아빠되기 2025.10.07 0
9174 초음파비파괴검사산업기사 필기 기출문제(해설) 및 CBT 2016년08월21일(9727) 좋은아빠되기 2025.10.07 0
9173 초음파비파괴검사산업기사 필기 기출문제(해설) 및 CBT 2016년03월06일(9726) 좋은아빠되기 2025.10.07 1
9172 방송통신산업기사(구) 필기 기출문제(해설) 및 CBT 2007년09월02일(9725) 좋은아빠되기 2025.10.07 0
9171 전자기사 필기 기출문제(해설) 및 CBT 2006년05월14일(9724) 좋은아빠되기 2025.10.07 0
9170 용접기능장 필기 기출문제(해설) 및 CBT 2009년03월29일(9723) 좋은아빠되기 2025.10.07 0
9169 지적기사 필기 기출문제(해설) 및 CBT 2019년03월03일(9722) 좋은아빠되기 2025.10.07 0
9168 지적산업기사 필기 기출문제(해설) 및 CBT 2019년03월03일(9721) 좋은아빠되기 2025.10.07 0
9167 종자기사 필기 기출문제(해설) 및 CBT 2019년03월03일(9720) 좋은아빠되기 2025.10.07 0
9166 소방설비산업기사(기계) 필기 기출문제(해설) 및 CBT 2014년03월02일(9719) 좋은아빠되기 2025.10.07 0
9165 기계조립산업기사 필기 기출문제(해설) 및 CBT 2004년09월05일(9718) 좋은아빠되기 2025.10.07 0
9164 기계조립산업기사 필기 기출문제(해설) 및 CBT 2004년05월23일(9717) 좋은아빠되기 2025.10.07 0
9163 기계조립산업기사 필기 기출문제(해설) 및 CBT 2004년03월07일(9716) 좋은아빠되기 2025.10.07 0
9162 기계조립산업기사 필기 기출문제(해설) 및 CBT 2003년05월25일(9715) 좋은아빠되기 2025.10.07 0
Board Pagination Prev 1 ... 269 270 271 272 273 274 275 276 277 278 ... 733 Next
/ 733