자격증 필기 기출문제



화약류관리기사 필기 기출문제(해설) 및 CBT 2013년09월28일(9863)

최강 자격증 기출문제 전자문제집 CBT : www.comcbt.com


전자문제집 CBT란?

종이 문제집이 아닌 인터넷으로 문제를 풀고 자동으로 채점하며 모의고사, 오답 노트, 해설까지 제공하는
무료 기출문제 학습 프로그램으로 실제 상설검정에서 사용하는 OMR 형식의 CBT를 제공합니다.


최신 화약류관리기사 필기 기출문제 : [다운로드]

1과목 : 일반화약학


1. 초안유제폭약(ANFO)의 특성을 옳게 설명한 것은?
     1. 유제를 주성분으로 하고 예감제로서 금속분을 가한 것이다.
     2. 유제는 보통 인화점이 50℃ 이상의 경유가 적합하다.
     3. NH4NO3와 유제의 배합비는 60 : 40 이 가장 좋다.
     4. 충격, 마찰 및 가열에 매우 예민하다.

     정답 : []
     정답률 : 77%
     <문제 해설>
1 금속분x
3 94 :6
4 둔감
[해설작성자 : 따르릉따르릉]

2. 도폭선의 심약으로 사용되지 않는 것은?
     1. 헥소겐
     2. 펜트리트
     3. 트리니트로톨루엔
     4. 디니트로나프탈렌

     정답 : []
     정답률 : 86%
     <문제 해설>
도폭선의 폭속 5500 ~ 7000
이정도의 속도를 낼수있는 심약 -> 123
그리고 4번은 아예 처음들어봄 ㅎ
[해설작성자 : 따르릉따르릉]

3. 다이너마이트의 폭속을 도트리쉬법으로 시험한 결과 납판위 도폭선의 중심과 폭흔과의 거리가 50mm로 측정되었다. 이 다이너마이트의 폭속은 몇 m/s 인가? (단, 도폭선의 폭속은 7000m/s, 다이너마이트에 도폭선을 꽂은 간격은 100mm이었다.)
     1. 5000
     2. 6000
     3. 7000
     4. 8000

     정답 : []
     정답률 : 82%
     <문제 해설>
도폭선 폭속 * 꽂은 간격 / 폭흔과 거리 * 2
[해설작성자 : 따르릉따르릉]

4. 다음 중 폭속이 가장 빠른 것은?
     1. 헥소겐(비중 1.7)
     2. TNT(비중 1.5)
     3. 뇌홍(비중 3.0)
     4. 아지화납(비중 4.0)

     정답 : []
     정답률 : 84%
     <문제 해설>
HMX > RDX > PETN > NG > TNT
[해설작성자 : 따르릉따르릉]

5. 한국산업규격에 의한 전기뇌관의 점화 전류 시험에서 발화전류와 불발화전류의 기준으로 옳은 것은?
     1. 발화 : 1A, 불발화 : 0.25A
     2. 발화 : 1A, 불발화 : 0.35A
     3. 발화 : 0.85A, 불발화 : 0.25A
     4. 발화 : 0.85A, 불발화 : 0.35A

     정답 : []
     정답률 : 100%

6. 다음 중 질산에스테르류인 것은?
     1. 피크린산
     2. 테트릴
     3. 니트로셀룰로오스
     4. 헥소겐

     정답 : []
     정답률 : 90%
     <문제 해설>
글리콜, 글리세린, 셀룰로오스, 펜트리트(PETN)
[해설작성자 : 따르릉따르릉]

7. 폭약의 배합에 있어서 산소과부족량을 부(-)로 하면 폭발 후 어떠한 유독 기체의 생성량이 증가하는가?
     1. 이산화탄소
     2. 일산화탄소
     3. 수소
     4. 산소

     정답 : []
     정답률 : 93%
     <문제 해설>
OB 양호시 생기는것
이산화탄소 수소 탄소 산소 수증기 등등
[해설작성자 : 따르릉따르릉]

8. 아지화납 뇌관의 관체에 사용하는 금속은?
     1. 알루미늄
     2. 주석
     3. 구리
     4.

     정답 : []
     정답률 : 93%
     <문제 해설>
아지화납은 금속관체를 쓰면 예민한 아지화동이생김
[해설작성자 : 따르릉따르릉]

9. 폭약 중 폭발 반응에서 산소가 부족하지 않은 것은?
     1. TNT
     2. 테트릴
     3. 헥소겐
     4. 니트로글리세린

     정답 : []
     정답률 : 93%
     <문제 해설>
1 2 3 번은 다 -값임

4번은 0.035

중요한 5개
TNT = -0.74
NG = +0.0352
Ng = 0
NH4NO3 = +0.2
PETN = -0.101 ( -1.01이였나 헛갈림)

+
경유 -3.XX
[해설작성자 : 따르릉따르릉]

10. 다음 중 기폭제(약) 인 것은?
     1. DDNP
     2. RDX
     3. PETN
     4. DNN

     정답 : []
     정답률 : 76%
     <문제 해설>
기폭약

질화납(아지화)
뇌홍(풀민산수은)
디디엔피
테트라센
[해설작성자 : 따르릉따르릉]

11. 산소 공급제 역할을 하는 물질로만 이루어진 것은?
     1. 질산칼륨, 질산암모늄, 염소산칼륨
     2. 목분, 전분, 식염
     3. 질산칼륨, 식염, 염화칼륨
     4. 염화칼륨, 질산암모늄, 규소철

     정답 : []
     정답률 : 100%

12. 공업뇌관의 성능을 츨정하려고 할 때 사용되는 시험법은?
     1. 가열시험
     2. 납판시험
     3. 맹도시험
     4. 구포시험

     정답 : []
     정답률 : 95%
     <문제 해설>
1 안정도
2 뇌관
3 동적효과
4 정적효과(헛갈림)
[해설작성자 : 따르릉따르릉]

13. Nitroglycerine 의 성질로 옳지 않은 것은?
     1. 단맛이 나는 액체이다.
     2. C2H5OH, C6H6에 녹는다.
     3. 추운 겨울철에 동결할 우려가 있다.
     4. 기포를 함유한 액체는 연소·폭발하지 않는다.

     정답 : []
     정답률 : 84%

14. 탄광용 폭약에서 주로 사용되는 감열소염제는?
     1. KNO3
     2. NaCl
     3. KClO3
     4. NH4ClO4

     정답 : []
     정답률 : 87%
     <문제 해설>
소금 식염 NACL
[해설작성자 : 따르릉따르릉]

15. 난동 다이너마이트는 니트로글리세린에 약 몇 %의 니트로글리콜을 함유한 것인가?
     1. 1%
     2. 10%
     3. 25%
     4. 50%

     정답 : []
     정답률 : 71%
     <문제 해설>
보통 7%이상인디 책마다 달라서
답이 6% 7% 8% 10% 일때가 있음
[해설작성자 : 따르릉따르릉]

난동 다이너마이트 : 10%
부동 다이너마이트 : 25%
[해설작성자 : Demol]

16. 뇌관을 연결한 약포와 뇌관을 연결하지 않은 약포사이의 최대순폭거리를 s, 지름을 d 라고 할 때, 순폭도를 옳게 나타낸 것은?
     1. 1/sd
     2. s·d
     3. s/d
     4. d/s

     정답 : []
     정답률 : 88%
     <문제 해설>
순폭도 = 감응시험
최대순폭거리 / 약경 = 순폭도
[해설작성자 : 따르릉따르릉]

17. 콤포지션-C 폭약에 대한 설명으로 옳은 것은?
     1. TNT, RDX, WAX 를 혼합한 폭약
     2. TNT, RDX 를 혼합한 폭약
     3. RDX에 가소제를 첨가한 폭약
     4. RDX 에 WAX 를 첨가한 폭약

     정답 : []
     정답률 : 84%

18. 젤라틴 다이너마이트에 관한 설명으로 옳은 것은?
     1. 니트로글리세린에 규조토를 흡수시켜 만든다.
     2. 니트로글리세린에 질산암모늄을 흡수시켜 만든다.
     3. 니트로글리세린과 목탄을 흡수시켜 만든다.
     4. 니트로글리세린과 약면약을 콜로이드화한 것을 기제로 만든다.

     정답 : []
     정답률 : 77%
     <문제 해설>
다이너마이트 = NG + 약면약(7%이상
[해설작성자 : 따르릉따르릉]

19. 분상 다이너마이트는 교질 다이너마이트에 비하여 흡습성이 가장 크기 때문에 습기에 주의해야 한다. 다음 중 그 이유를 가장 옳게 설명한 것은?
     1. 흡습에 따라 니트로글리세린이 동시에 녹아 나오기 때문에
     2. 흡습한 것은 겨울에 얼기 쉽고 폭발감도도 예민해 지기 때문에
     3. 흡습한 것은 폭발감도가 저하하여 불발이나 잔유물이 생성되기 때문에
     4. 흡습한 것은 안정도가 저하되고 자연분해를 일으키기 쉽기 때문에

     정답 : []
     정답률 : 72%

20. 폭약의 시험법에 대한 설명으로 옳은 것은?
     1. 가열시험은 안정도를 측정하는 시험이다.
     2. 내열시험은 맹도를 측정하는 시험이다.
     3. Hess 맹도시험은 폭속을 측정하는 시험이다.
     4. 유리산 시험은 정적효과를 측정하는 시험이다.

     정답 : []
     정답률 : 81%
     <문제 해설>
1 안정도
2 안정도
3 동적효과 -> 폭발위력
4 안정도

안정도 = 유가내
[해설작성자 : 따르릉따르릉]

2과목 : 발파공학


21. 시험발파결과 장약량이 2kg일 때 누두지수가 0.8로 약 장약 발파가 되었다. 최소저항선을 동일하게 하였을 때 표준발파가 되기 위한 장약량은 얼마인가? (단, 누두지수 함수는 Brallion 식 이용)
     1. 1.25kg
     2. 2.71kg
     3. 3.32kg
     4. 4.06kg

     정답 : []
     정답률 : 37%
     <문제 해설>
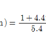
브랄리온의 공식 f(n)

f(n) = 1 + (4.4 * n^3) / 5.4

위에거 푸는 방법

먼저 0.8을 대입해서 f(n)을 구하면 = 0.602가 나옴
즉 이말은 0.602일때 장약량이 2kg입니다 !

그럼 표준장약은 누두지수가 1이므로

1 : 0.602 = x : 2 라는 비례식이 성립됨

0.602x = 2 -> x = 2/0.602

그값은 3번
[해설작성자 : 따르릉따르릉]

22. 암반사면을 조성하기 위하여 Trim Blasting을 적용하고자한다. 발파공의 직경이 76mm일 때 공간격과 저항선은 각각 얼마로 하여야 하는가?
     1. 공간격 = 1.22m, 저항선 = 1.59m
     2. 공간격 = 1.59m, 저항선 = 1.22m
     3. 공간격 = 1.32m, 저항선 = 1.69m
     4. 공간격 = 1.69m, 저항선 = 1.32m

     정답 : []
     정답률 : 47%
     <문제 해설>
공간격 S = 16d
저항선 B = 1.3S

S = 76 * 16 = 1.22M(반올림해서)
B = 1.22 * 1.3 = 1.59(반올림해서)
[해설작성자 : 따르릉따르릉]

23. 다음 중 발파계수가 관한 설명으로 옳은 것은?
     1. 암석계수 g는 폭약 1kg을 사용하여 발파할 때 얻을 수 있는 채석량을 의미한다.
     2. 폭약계수 e는 NG 60% 스트렝스 다이너마이트를 기준으로 다른 폭약과 발파위력을 비교하는 계수이다.
     3. 폭약의 성능이 좋을수록 폭약계수 e값은 커진다.
     4. 전색계수 d는 불안전 전색일 경우 1.0보다 작은 값을 가진다.

     정답 : []
     정답률 : 54%
     <문제 해설>
1 암석 1루베를 얻을수 있는 폭약량
3 작아진다
4 커진다
[해설작성자 : 따르릉따르릉]

24. 다음과 같은 조건으로 전기뇌관을 직병렬 결선하여 발파를 실시하였다. 완폭이 될 수 있는 결선방법은? (단, 2직 6병은 총 12개의 뇌관을 2개씩 직렬로 결선하고, 다시 6개의 회로를 병렬로 연결한 직병렬회로

    

     1. 2직 6병
     2. 3직 5병
     3. 4직 4병
     4. 5직 7병

     정답 : []
     정답률 : 33%
     <문제 해설>
단, 머머머 무시

100 볼트 안으로만 완전히 폭발되는거 찾기
즉 100보다 작은값이 나오면됌

직병렬식 = 병렬개수 * 소유전류 * ( 모선저항 + (직력개수 * 뇌관저항 / 병렬개수) + 발파기내부저항)

하나씩 대입해보시면 4직4병이 8X.XX볼트인가 완폭된다고 나옴
[해설작성자 : 따르릉따르릉]

발파기내부저항 * 아니라 +로 계산해주세요 ㅎㅎ
[해설작성자 : 따르릉따르릉]

25. 발파비용의 계산에 있어서는 단순히 암석의 발파뿐만 아니라 그 외의 모든 작업에서 생기는 원인들을 고려해야 하는데 다음 설명 중 옳은 것은?
     1. 공경이 클수록 단위체적당 천공비용은 늘어난다.
     2. 단위체적당 장약에 드는 비용은 공경이 클수록 줄어든다.
     3. 적재운반비용은 사용기기와 적재용량에 좌우되며 적재용량이 작을수록 비용은 줄어든다.
     4. 소할발파 비용은 발파 전체 비용 중 간접비에 해당하므로 발파비용의 계산에는 일반적으로 고려하지 않는다.

     정답 : []
     정답률 : 37%
     <문제 해설>
1 천공해야할 구멍 개수가 적어져서 줄어듬
2 공경이 클수록 좋아요
3 잭재용량 크면 클수록 비용이 줄죠 ( 적재용량이 적다 -> 대괴가 많다 )
4 2차 비용으로 발파비용에 청구됌
[해설작성자 : 따르릉따르릉]

26. 다음 발파해체 공법 중 해체대상 구조물의 주요 지지부를 발파하여 생기는 초기거동이 계속적인 붕괴를 유도하고 하부에 쌓인 파쇄물이 충격흡수제의 역할을 하도록 고안된 공법은?
     1. 내파공법(Implosion)
     2. 점진붕괴공법(Progressive collapse)
     3. 전도공법(Felling)
     4. 단축붕괴공법(Telescoping)

     정답 : []
     정답률 : 48%
     <문제 해설>
1 중앙에서 가외를 끌어당김
2 보기에 긴구조물 + 아파트
3 간단하게 넘어트림
4 하부에 쌓인 파쇄물 충격흡수
+ 상북붕락공법(상부붕괴공법) = 보기에 2 3열이라고 들어가면
[해설작성자 : 따르릉따르릉]

27. 다음 중 발파에 의해 발생하는 분진의 저감 대책 공법에 대한 설명으로 옳지 않은 것은?
     1. 커버설치법 : 발파공 주변에 젖은 진흙 등을 살포 한 상태에서 발파를 실시한다.
     2. 분무법 : 고압분무로 미세한 수적을 만들어 분진에 충동시켜 부유하고 있는 미세한 분진을 침강 시킨다.
     3. 살수법 : 분진발생을 억제하는 측면에서 직접 발생 부분에 수평 살수식으로 물을 뿌려준다.
     4. 간접대책 : 방진시트나 분진 차단막 등의 방진벽을 설치한다.

     정답 : []
     정답률 : 48%
     <문제 해설>
젖은 진흙은,, 아 이때 아차 싶더라고요,,
이문제는 다른연도에 나와도 토시하나 안바뀌고 출제됌
[해설작성자 : 따르릉따르릉]

28. 다음 중 비산 방지대책으로 옳지 않은 것은?
     1. 발파 매트의 설치
     2. 방진구 설치
     3. 완전 전색으로 공발 방지
     4. 발파방법의 조절

     정답 : []
     정답률 : 52%
     <문제 해설>
2 AIR GAP ~
[해설작성자 : 따르릉따르릉]

29. 분산장약(deck charge)에 관한 설명으로 옳지 않은 것은?
     1. 발파공내 주상장약(column charge)의 기폭시간을 달리하여 진동을 감소시키는 방법이다.
     2. 분할된 폭약 사이의 전색장은 폭약의 직경에 비례하여 실시한다.
     3. 습윤된 발파공의 삽입 전색장은 건조한 발파공의 2배 정도로 실시한다.
     4. 기폭순서는 상부 자유면에서 가까운 폭약부터 기폭시킨다.

     정답 : []
     정답률 : 17%

30. 터널 발파를 위하여 지름 102mm 무장약공 3개를 사용하여 대구경 심발발파를 시행하려고 한다. 이 때 첫 번째 사각형의 저항선(B)은 얼마인가? (단, B = 1.7D, D는 무장약공의 환산직경이다.)
     1. 17.3cm
     2. 30.0cm
     3. 34.6cm
     4. 52.0cm

     정답 : []
     정답률 : 24%
     <문제 해설>
환산직경 = 지름 * 루트(무장약공개수)
                     102 * 루트(3)

저항선은 ()안 조건에 적혀있네요

31. 계단식 발파(bench blasting) 설계에서 가장 중요한 것은 최대저항선을 결정하는 일이다. 천공경 33mm, 장약밀도 1.25kg/ℓ, 폭약의 중량강도 1, 암석상대계수 0.4kg/m3 발파공의 구속 계수 1, 공간격/저항선의 비 1.25 일 때 최대저항선은 얼마인가?
     1. 1.0m
     2. 1.5m
     3. 2.0m
     4. 2.5m

     정답 : []
     정답률 : 38%
     <문제 해설>
랑거포스의 Bmax 기본식 ( 간편식아님)
(공경/33) * 루트[(중량강도 * 장약밀도) / (암석계수 * 구속 계수 * 비)
공경 33이니 앞에는 1이고 루트 안에 값만 계산하시면    1.5
[해설작성자 : 따르릉따르릉]

32. 다단식 발파기를 사용하여 기폭을 실시하려고 한다. 다음 설명 중 옳지 않은 것은?
     1. 발파 장소 확인 후 파쇄암의 이동, 발파 공수에 의거하여 발파 패턴을 결정한 후 뇌관을 배열한다.
     2. 결선을 각 회로별 저항을 고려하여 직병렬 결선법을 시행하며, 결선 누락 확인 및 단선 여부를 확인한다.
     3. 단자판에 회로 연결시 순번대로 연결이 이루어져야 하며, 중간에 단자가 연결되어 있지 않을 경우 후열의 발파는 이루어지지 않는다.
     4. 다단식 발파의 회로 발파 초시 결정 요소로는 뇌관초시, 다단식 발파기내에 입력된 초시, 전기뇌관을 이용한 회로 구성 및 배열 등이다.

     정답 : []
     정답률 : 32%

33. Pre-splitting 발파 시 장약량의 결정에 관한 설명으로 옳지 않은 것은?
     1. 천공경이 2배가 되면 장약량도 2배가 된다.
     2. 발파계수가 2배가 되면 장약량도 2배가 된다.
     3. 공간격이 2배가 되면 장약량도 2배가 된다.
     4. 천공길이가 2배가 되면 장약량도 2배가 된다.

     정답 : []
     정답률 : 38%
     <문제 해설>
ps L = C                *                S                    *         L
            발파계수                    공간격                    천공장

이해가 안가면 각 C S L에 2넣어보고 4넣어보고 해보세요 2배차이남
[해설작성자 : 따르릉따르릉]

34. 수중발파설계에 대한 설명으로 옳지 않은 것은?
     1. 수중 발파시 적용되는 비장약량은 일반 계단식 발파에 비해 2배 정도로 증가하여 시행한다.
     2. 수압을 보정하기 위해서 수심 m당 0.01kg/m3의 비장약량을 증가시킨다.
     3. 공간격과 저항선은 같고 초과천공장은 저항선의 1/2이하로 하며 최소한 0.8m는 되어야 한다.
     4. 천공깊이는 계단높이+초과천공장이고 무장약부분은 저항선의 1/3정도로 하며 최소한 0.5m이상으로 한다.

     정답 : []
     정답률 : 31%

35. 진동을 분류함에 있어 발파진동과 지진등으로 분류 할 수 있다. 다음 중 설명이 옳지 않은 것은?
     1. 발파진동의 경우 지진동에 비해 지속시간이 짧다.
     2. 지진동의 경우 지하 수 km 이상 되는 지점에서 발상되며, 발파진동의 경우 지표 또는 지표 가까운 부분에서 발생된다.
     3. 진동의 주파수는 발파진동이 지진동에 비해 작게 발생되므로 건물에 미치는 영향이 크다.
     4. 지진에 의한 진동 피해의 경우 그 정도를 보통가 속도로 표시하고, 발파 진동에 의한 구조물의 피해는 진동 속도로 표시한다.

     정답 : []
     정답률 : 56%
     <문제 해설>
지진진동이 건물에 미치는 영향이 크다 !
저주파가 건물에 취약함 = 지진진동
[해설작성자 : 따르릉따르릉]

36. 다음 중 암석의 파쇄입도에 대한 설명으로 옳지 않은 것은?
     1. 암석의 파쇄는 목적에 따라 대괴생산, 소괴생산 및 규격석 생산을 위한 발파로 나눌 수 있다.
     2. 파쇄암석의 크기는 점화패턴, 천공경, 저항선과 공간격의 비, 장약장과 장약량에 따라 변한다.
     3. 암반의 전체를 순발발파할 경우보다 지발발파할 경우 파쇄암석의 크기는 작아진다.
     4. 파쇄암석의 크기는 공간격보다 저항선이 커짐에 따라, 장약장이 길고 장약량이 증가함에 따라 작아진다.

     정답 : []
     정답률 : 32%
     <문제 해설>
저항선이 커진다 = 대괴가 늘어난다 !
장약장이 길어진다 = 오버행이 발생한다 !
[해설작성자 : 따르릉따르릉]

37. Decoupling 효과를 이용하여 발파를 실시할 경우 밀 장전을 실시하여 발파하였을 경우에 비해 공벽에 작용하는 폭굉압력은 감소하게 된다. 다음과 같은 조건으로 De coupling을 이용한 발파의 경우 폭약과 공기와의 경계면에서 발생하는 폭굉압력은 얼마인가?

    

     1. 0.44MPa
     2. 0.62MPa
     3. 0.87MPa
     4. 1.49MPa

     정답 : []
     정답률 : 29%

38. 발파현장에서 암반 천공작업에 의해 발생되는 음향 파워레벨이 130dB이다. 수음점이 천공작업을 실시하는 장소와 완전 노출되어 있으며 평지이다. 음원에서 50m 이격된 거리에 있는 수음점에서의 음압레벨은? (단, 음원은 점음원이며, 반구면파로 간주한다.)
     1. 54.94dB
     2. 63.94dB
     3. 73.94dB
     4. 88.02dB

     정답 : []
     정답률 : 42%
     <문제 해설>
SPL = PWL -20log(r) -8 ---> (단 점음원이며, 반구면파일때임    점음원,구면파는 또다름 -8을 -11로 바꿔야하고
                                                            선음원 일때는 그때 설명드립죠)

PWL : 음향파워레벨
r : 이격된 거리

SPL = 130 -20log(50) -8 = 88.02
[해설작성자 : 따르릉따르릉]

39. 다음 중 응력파의 전파특성에 관한 설명으로 옳은 것은?
     1. 어떤 물체의 한 지점에 급격히 하중을 가할 경우 그 물체의 모든 부분에는 즉시 응력이나 변형이 동일하게 발생한다.
     2. 충격하중을 받은 물체 내에서는 통상 가로파, 세로파 및 전단파 등 3종류의 응력파가 발생된다.
     3. 전단파인 경우 그 전단파 내의 입자운동은 진행방향과 직각방향으로 전단변형이 일어난다.
     4. 세로파인 경우 그 세로파 내의 입장운동은 진행방향과 평행이 되는 방향으로 단순한 신축의 변형이 발생된다.

     정답 : []
     정답률 : 20%

40. 다음에서 설명하는 것은?

    

     1. 평균소음도(Average sound level)
     2. 소음 기준(Noise criteria)
     3. 교통소음지수(Traffic noise index)
     4. 등가 소음도(Energy equivalent sound level)

     정답 : []
     정답률 : 48%

3과목 : 암석역학


41. 직각 변형률 로젯(strain rosette)을 사용하여 측정한 변형률이 각각 ɛ0=8×10-3, ɛ45=5×10-3, ɛ90=-4×10-3 일 때 전단변형률(γxy)은?
     1. 2×10-3
     2. 4×10-3
     3. 6×10-3
     4. 8×10-3

     정답 : []
     정답률 : 24%
     <문제 해설>
e0=0.008 , e45=0.005 , e90=-0.004
전단변형률 식 에 대입 rxy=2e45-e0-e90
-> 2*0.005-0.008-(-0.004)
-> 0.006 -> 6*10^-3 이 정답입니다. 3번
[해설작성자 : 빵빵이!!]

42. 강도정수 m=20인 무결암(신선암)에 대해 Hoek-Brown 파괴 조건식을 적용하여 구한 취성도(일축압축강도/인장강도)로 알맞은 것은?
     1. 14
     2. 16
     3. 18
     4. 20

     정답 : []
     정답률 : 39%
     <문제 해설>
m 값과 s값을 알때 br(취성도) 구하기

m =20
s =1 (무결암이거나 신성암일때 무조건 1)

br = 2 * 루트(s) / [루트(m^2 + 4s) -m ]

         2 * 1 / [루트(400 + 4) - 20] = 20.04
[해설작성자 : 따르릉따르릉]

43. 암반내부에 축적되는 탄성변형률 에너지가 일시에 방출되면서 굴착된 갱도가 붕괴되는 현상과 관계가 없는 것은?
     1. 화성암이 퇴적암보다 발생빈도가 크다.
     2. 조립질 암석이 세립질 암석보다 발생빈도가 크다.
     3. 방출되는 에너지가 클수록 발생빈도가 증가한다.
     4. 암석의 강도가 크고 취성이 클수록 발생빈도가 증가한다.

     정답 : []
     정답률 : 53%

44. 압열인장시험(Brazilian test)의 경우 원판형 시험편의 중심부에 발생하는 압축응력의 크기는 인장응력의 몇배가 되는가?
     1. 3배
     2. 6배
     3. 8배
     4. 10배

     정답 : []
     정답률 : 30%
     <문제 해설>
3 8배는 그리피스 이론 압축력이 인장력보다 강한배수
4 10배는 수정 그리프스 이론 압축력이 인장력보다 강한배수
[해설작성자 : 따르릉따르릉]

45. 영률 50GPa, 포아송비 0.2인 암석의 압축률은 얼마인가?
     1. 1.5×10-6MPa
     2. 3.6×10-5MPa
     3. 3.6×10-5/MPa
     4. 1.5×10-6/MPa

     정답 : []
     정답률 : 21%

46. 다음 그림에서 원 ㉠(점선)은 건조한 시료의 응력 상 태를 나타낸다. 공극수압(pore water pressure)이 작용할 경우 Mohr 원을 나타내는 것은?

    

     1.
     2.
     3.
     4.

     정답 : []
     정답률 : 48%

47. 다음의 Barton이 제시한 절리면 전단강도기준에 관한 설명으로 옳지 않은 것은?

    

     1. ø는 기본마찰각으로서 톱으로 자르거나 연마된 전단면에서 얻을 수 있으나 잔류마찰각으로 대체하기도 한다.
     2. JRC는 절리면 거칠기를 나타내는 것으로서 Tilttest를 통해 구할 수 있다.
     3. JCS는 절리면 압축강도를 의미하는 것으로 JRC가 시험편의 크기효과를 가지는 것에 반해 JCS는 크기효과가 존재하지 않는다.
     4. σn은 수직응력을 나타내는 것으로서 이 값이 증가함에 따라 전단강도는 비선형적인 증가를 보인다.

     정답 : []
     정답률 : 42%

48. 직경 d인 원주형 시험편에 대한 4점 횡강도(σb)를 구하는 식으로 옳은 것은?
     1.
     2.
     3.
     4.

     정답 : []
     정답률 : 50%
     <문제 해설>
2 3점 휨강도
3 4점 휨강도
[해설작성자 : 따르릉따르릉]

49. 암석 시험편의 일축압축강도에 영향을 미치는 요인에 대한 설명으로 옳은 것은?
     1. 시험편의 크기가 커지면 일축압축강도가 증가한다.
     2. 가압속도가 빠르면 일축압축강도는 감소한다.
     3. 포화된 암석은 건조된 암석보다 일축압축강도가 크다.
     4. 길이(h) 대 직경(d)의 비(h/d)가 작아지면 일축압축강도는 증가한다.

     정답 : []
     정답률 : 32%
     <문제 해설>
4 종횡비가 커지면 좌굴발생 일축압축강도가 감소
[해설작성자 : 따르릉따르릉]

50. 암석의 탄성파 속도 시험은 비파괴 시험으로서 암질을 평가할 수 있다는 장점이 있따. 암석의 탄성파 속도에 영향을 미치는 요소에 대한 설명으로 옳지 않은 것은?
     1. 암석의 밀도가 클수록 탄성파 전파 속도는 커진다.
     2. 암석의 공극률이 클수록 탄성파 전파 속도는 작아진다.
     3. 층상을 나타내는 암석에서 층에 평행한 방향의 속도는 수직방향의 속도보다 작게 나타난다.
     4. 암석에 작용하는 구속압력이 증가할수록 탄성파전파속도는 커진다.

     정답 : []
     정답률 : 29%
     <문제 해설>
쉽게 P파 S파라고 생각하시면서 하셔요
3 -> 더 크게 나타난다
[해설작성자 : 따르릉따르릉]

51. 아래 그림과 같이 임의의 입사 응력파 σI가 임피던스(pc)가 다른 두 매질을 통과할 때, 두 매질의 사이를 통과하는 전달 응력파 σT와 반사 응력파 σR이 발생한다. 만일 매질 1의 임피던스(ρ1c1)가 매질 2의 임피던스 (ρ2c2)보다 두 배 크다면, 전달 응력파 σT와 반사 응력파 σR을 올바르게 나타낸 것은? (단, ρ : 밀도, c : 탄성파속도)

    

     1. ΣT=(2/3)ΣI, ΣR=(-1/3)ΣI
     2. ΣT=(1/3)ΣI, ΣR=(-2/3)ΣI
     3. ΣT=(-2/3)ΣI, ΣR=(1/3)ΣI
     4. ΣT=(-1/3)ΣI, ΣR=(2/3)ΣI

     정답 : []
     정답률 : 40%

52. 정량적 암반분류법인 Q-System에 의하여 터널 지보설계를 수행하고자 한다. 다음 중 Q값 산정시 포함되지 않는 항목은 어떤 것인가?
     1. 절리면 변질도(Ja)
     2. 절리 방향성(Jd)
     3. 절리를 따라 흐르는 지하수 상태(Jw)
     4. 절리군 수(Jn)

     정답 : []
     정답률 : 50%
     <문제 해설>
방향성은 RMR이 포함하쥬
[해설작성자 : 따르릉따르릉]

53. 응력-변형률의 관계는 등방탄성체에서 평면응력의 경우 σ=[D]Є과 같은 행렬식으로 간단피 표현할 수 있다. 이 때의 행렬식이 다음 식과 같다면 (A)에 알맞은 것은? (단, E : 영률, v : 포아송비)

    

     1. v/1-v
     2. 1-v/1+v
     3. 1-v/2
     4. v/1+v

     정답 : []
     정답률 : 37%

54. 다음 중 폐석 적치장이나 토질사면에서 주로 일어날 수 있는 사면의 파괴 형태는?
     1. 평면파괴
     2. 쐐기파괴
     3. 원호파괴
     4. 전도파괴

     정답 : []
     정답률 : 50%
     <문제 해설>
원호파괴 = 무수히많은 절리군 -> 암반사면에서는 일어날수 없는 파괴
[해설작성자 : 따르릉따르릉]

55. 한 개의 시추공으로 삼차원 응력장을 구할 수 있는 초기 응력 측정시험법은?
     1. 수압파쇄법
     2. 공벽변형법
     3. 공경변형법
     4. 공저변형법

     정답 : []
     정답률 : 29%

56. 다음 중 일축압축시험에서 얻은 응력-변형률 곡선의 기울기 변화로부터 초기응력을 추정하는 방법은?
     1. Flat jack 법
     2. AE(Acoustic Emission)법
     3. DRA(Deformation Rate Analysis)법
     4. Doorstopper법

     정답 : []
     정답률 : 49%
     <문제 해설>
응력 - 변형률 곡선 -> DRA
카이져 법칙 -> AE/DRA
[해설작성자 : 따르릉따르릉]

57. 지하 100m 지점에 반경 6m의 원형공동을 수평방향으로 굴착하였다. 터널의 단면적에 대한 수평터널의 길이는 충분히 긴 것으로 가정할 때 터널의 측벽부에 작용하는 응력 중 접선응력의 크기는 얼마인가? (단, 등방의 탄성암반이며, 연직응력은 1m 심도당 0.027M pa 증가하며, 포아송비는 0.25이다.)
     1. 6.2MPa
     2. 7.2Mpa
     3. 8.2MPa
     4. 9.2Mpa

     정답 : []
     정답률 : 43%

58. 삼차원 응력상태를 응력텐서를 사용해 표시할 경우 독립항의 개수는?
     1. 3
     2. 6
     3. 9
     4. 12

     정답 : []
     정답률 : 32%
     <문제 해설>
ㅣ X XZ XY ㅣ
ㅣ XZ Y YZ ㅣ
ㅣ XY YZ Z ㅣ

대각선으로 X Y Z 1개씩해서 3개
XY XZ YZ 2개씩해서 3개
=6개
[해설작성자 : 따르릉따르릉]

59. 평면응력(plane stress)상태에서 σx=3000kg/cm2이고 σy=1000kg/cm2일 때, y방향의 변형률 Єy는? (단, 영률(Young's Modulus)은 2×105kg/cm2, 포아송비 0.25이다.)
     1. 1.25×10-4
     2. 1.77×10-4
     3. 2.43×10-4
     4. 2.85×10-4

     정답 : []
     정답률 : 26%
     <문제 해설>
ey = (시그마y -v시그마x)/영률
        (1000 - 750) / 2 * 10^5 = 1.25 * 10^-4
[해설작성자 : 따르릉따르릉]

60. 인장강도를 측정하기 위한 직접인장시험, 압열인장시험, 굴곡시험에서 구해진 인장강도의 일반적인 크기 순서로 옳은 것은? (단, 동일 암석 시료에 대해서 시험을 실시)
     1. 직접 > 압열 > 굴곡
     2. 압열 > 굴곡 > 직접
     3. 굴곡 > 압열 > 직접
     4. 압열 > 직접 > 굴곡

     정답 : []
     정답률 : 54%
     <문제 해설>
인장시험 크기     굴압직 굴압직 굴압직
                 또는     휨압직 휨압직 휨압직

앞에서 부터 큰거에요
[해설작성자 : 따르릉따르릉]

4과목 : 화약류 안전관리 관계 법규


61. 화약류의 폐기에 관한 설명 중 옳은 것은? (단, 제조업자가 제조과정에서 생긴 화약류를 그 제조소안에서 폐끼하는 경우는 제외)
     1. 폐기하고자 하는 곳을 관할하는 경찰서장에게 허가를 받아야 한다.
     2. 폐기하고자 하는 곳을 관할하는 경찰서장에게 신고를 하여야 한다.
     3. 폐기하고자 하는 곳을 관할하는 지방경찰청장에게 허가를 받아야 한다.
     4. 폐기하고자 하는 곳을 관할하는 지방경찰청장에게 신고를 하여야 한다.

     정답 : []
     정답률 : 58%
     <문제 해설>
신고만 한다 ! 어디에 ? 폐기하는 곳 경찰 서장 !
[해설작성자 : 따르릉따르릉]

62. 운반표지를 하지 아니하고 운반할 수 있는 화약류의 수량으로 맞는 것은?
     1. 폭약 : 10kg 이하
     2. 미친동파쇄기 : 2000개 이하
     3. 실탄 · 공포탄 : 1000개 이하
     4. 도폭선 : 1000m 이하

     정답 : []
     정답률 : 54%

63. 꽃불류의 사용허가신청의 경우 허가신청서에 첨부하여야하는 서류에 해당하지 않는 것은?(관련 규정 개정전 문제로 여기서는 기존 정답인 4번을 누르면 정답 처리됩니다. 자세한 내용은 해설을 참고하세요.)
     1. 사용순서대장
     2. 제조소명
     3. 사용장소 및 그 부근약도
     4. 화약류저장소의 설치허가증 사본

     정답 : []
     정답률 : 61%
     <문제 해설>
1. 꽃불류의 사용허가신청의 경우
가. 사용순서대장
나. 삭제    <2013. 10. 22.>
다. 삭제    <2013. 10. 22.>
라. 사용장소 및 그 부근약도

2. 꽃불류외의 화약류의 사용허가신청의 경우
가. 사용계획서
나. 사용하고자 하는 화약류저장소의 설치허가증 사본
시험 당시는 4번이 답안이 맞지만 현재는 2번 4번이 중복 답안이라고 할 수 있겠습니다.
[관리자 입니다.
위 해설은 2020년 4월 15일 등록되었습니다. 2020년 4월 규정이라 생각해주시면 되겠네요.]

64. 다음 중 화약류의 안정도시험에 대한 설명으로 옳지 않은 것은?
     1. 화약류를 제조한 사람은 대통령령이 정하는 바에 의하여 안정도시험을 실시해야 한다.
     2. 화약류의 안정도를 시험한 사람은 시험결과를 관할 경찰서장에게 보고하여야 한다.
     3. 질산에스텔의 성분이 들어있지 아니한 폭약이라도 제조일로부터 3년이 지나면 반드시 안정도시험을 해야한다.
     4. 안정도 시험결과 대통령령이 정하는 기술상의 기준에 미달하는 화약류는 폐기하여야 한다.

     정답 : []
     정답률 : 54%
     <문제 해설>
2 지방경찰청장에게 보고한다 !
[해설작성자 : 따르릉따르릉]

65. 화약류저장소에 설치하는 피뢰도선은 직선으로 설치하되 부득이 곡선으로 할 경우 곡률반경의 기준으로 옳은 것은?
     1. 10cm 이상으로 한다.
     2. 20cm 이상으로 한다.
     3. 30cm 이상으로 한다.
     4. 40cm 이상으로 한다.

     정답 : []
     정답률 : 57%

66. 화약류 사용자가 화약류취급소를 설치하지 않고 화약류를 사용하였을 때 행정처분 기준은? (단, 1회 위반의 경우에 한함)
     1. 경고
     2. 15일 효력정지
     3. 1월 효력정지
     4. 3월 효력정지

     정답 : []
     정답률 : 43%
     <문제 해설>
15 - 1 -3
[해설작성자 : 따르릉따르릉]

67. 1급저장소와 보안물건간의 보안거리의 기준으로 맞는 것은? (단, 저장된 폭약량은 20톤이며, 고압전선이 있음)
     1. 170m 이상
     2. 150m 이상
     3. 140m 이상
     4. 130m 이상

     정답 : []
     정답률 : 44%
     <문제 해설>
고압전선 = 4종 보안물건

k값은 = 5 (4종 보안물건이기에)
1종은 =16
2종은 =10
3종은 =8

-> 보안거리 = k * 삼승근루트(폭약량)

(삼승근루트 모르시면 인터넷에 쳐보세요 하두많이 해설 적어서 어깨가 아파요)
[해설작성자 : 따르릉따르릉]

68. 꽃불류저장소 주위의 방폭벽의 위치 · 구조 등의 기준으로 옳지 않은 것은?
     1. 방폭벽은 두께 10cm이상의 철근콘크리트조 또는 두께 15cm 이상의 보강콘크리트블록조로 할 것
     2. 방폭벽은 꽃불류저장소의 바깥벽과의 거리가 2m 이상이 되도록 할 것
     3. 방폭벽은 꽃불류저장소의 처마높이 이상으로 할 것
     4. 방폭벽의 출입구에는 그 바깥쪽에 다시 방폭벽을 설치 할 것

     정답 : []
     정답률 : 46%
     <문제 해설>
15cm 철콘 이거나 20cm 보강콘
[해설작성자 : 따르릉따르릉]

69. 화약류와 관련된 허가권자로 옳지 않은 것은?
     1. 화약류 판매업 허가 - 경찰청장
     2. 폭약의 제조업 허가 - 경찰청장
     3. 1급 저장소 설치 허가 - 지방경찰청장
     4. 간이 저장소 설치 허가 - 경찰서장

     정답 : []
     정답률 : 28%
     <문제 해설>
제조업 = 경찰청장
판매업 = 지방경찰청장
사용허가 = 경찰서장
[해설작성자 : 따르릉따르릉]

70. 화약류의 포장기준에 대한 설명으로 옳지 않은 것은?
     1. 겉포장에는 손잡이를 하여 운반에 편리하도록 하고, 안전한 조치를 하여야 한다.
     2. 화약류는 그 화약류의 화학작용을 일으키지 아니하는 속포장에 넣은 다음 안전행정부령이 정하는 겉포장에 넣어야 한다. (예외사항 제외)
     3. 속포장에는 취급상의 필요한 주의사항을 명확히 기재하여야 한다.
     4. 속포장 및 겉포장에는 화약류의 종류, 수량, 성능, 제조소명, 제조년월일 등을 기재하여야 한다.(다만, 이를 기재할 수 없는 속포장은 그러지 아니한다.)

     정답 : []
     정답률 : 40%

71. 화약류저장소에 흙둑을 쌓는 경우 설치 기준으로 옳지 않은 것은?
     1. 흙둑의 경사는 60° 이하로 하고, 정상의 폭이 1m 상으로 할 것
     2. 흙둑은 저장소의 바깥쪽 벽으로부터 흙둑의 안쪽 벽 및까지 1m 이상 2m 이내의 거리를 두고 쌓을 것
     3. 흙둑을 부득이 흙담으로 하는 경우 흙둑의 높이의 3분의 1 이하로 할 것
     4. 2개 이상의 저장소가 인접하여 중간의 흙둑을 갈아 사용하는 때에는 그 흙둑에 통로를 설치하지 아니 할 것

     정답 : []
     정답률 : 50%
     <문제 해설>
흙둑의 경사 45도이하
간이흙둑의 경사 75도이하
[해설작성자 : 따르릉따르릉]

72. 폭약과 비슷한 파괴적 폭발에 사용될 수 있는 것으로서 대통령령이 정하는 것에 속하는 것은?
     1. 과염소산염을 주로 한 폭약
     2. 폭발의 용도에 사용되는 황산알루미늄 또는 이를 주성분으로 한 폭약
     3. 면약(질소함량이 11% 이상의 것에 한한다.)
     4. 무수규산 75% 이상을 함유한 폭약

     정답 : []
     정답률 : 51%
     <문제 해설>
추진적 폭발
1. 과염소산염을 주로 한 화약
2. 산화납 또는 과산화바륨을 주로 한 화약
3. 브로모산염을 주로 한 화약
4. 크롬산납을 주로 한 화약
5. 황산알루미늄을 주로 한 화약

파괴적 폭발
1. 폭발의 용도에 사용되는 질산요소 또는 이를 주성분으로 한 폭약
2. 디아조디니트로페놀 또는 무수규산 75퍼센트이상을 함유한 폭약
3. 초유폭약
4. 함수폭약
5. 면약(질소함량이 12.2퍼센트이상의 것에 한한다
[해설작성자 : 즈]

73. 지하 1급저장소의 지반의 두께가 20m일 때 저장할 수 있는 폭약량의 기준으로 맞는 것은?
     1. 25톤 이하
     2. 20톤 이하
     3. 19톤 이하
     4. 17톤 이하

     정답 : []
     정답률 : 51%
     <문제 해설>
지반 두께 = 10.7 * 삼승근루트(폭약량) -7.4
(삼승근루트 모르면 인터넷에,, 어깨가 아파서..)
[해설작성자 : 따르릉따르릉]

74. 화약류운반용 축전지차의 구조 기준 중 축전지의 사용 전압은 몇 볼트 이하로 하여야 하는가?
     1. 50V
     2. 60V
     3. 70V
     4. 80V

     정답 : []
     정답률 : 57%

75. 사용허가를 받지 아니하고 신호 또는 관상용으로 1일 동일한 장소에서 사용할 수 있는 꽃불류의 수량의 기준으로 맞는 것은?
     1. 직경 6cm 미만의 둥근모양의 쏘아 올리는 꽃불류 30개 이하
     2. 직경 6cm 이상 10cm 미만의 둥근모양의 쏘아 올리는 꽃불류 15개 이하
     3. 300개 이하의 염관을 사용한 쏘아 올리는 꽃불류 1개
     4. 직경 10cm 이상 20cm 미만의 둥근모양의 쏘아 올리는 꽃불류 5개 이하

     정답 : []
     정답률 : 38%
     <문제 해설>
1 50
3 1
4 직경이 6
[해설작성자 : 따르릉따르릉]

76. 다음 중 수분 또는 알코올분이 20퍼센트 정도 머금은 상태로 운반하여야 하는 것이 아닌 것은?
     1. 니트로셀룰로오스
     2. 테트라센
     3. 디아조디니트로페놀
     4. 트리니트로레졸신납

     정답 : []
     정답률 : 35%
     <문제 해설>
1 23%
그외 20%

뇌홍 = 25%
펜타에릿머머 = 15%
[해설작성자 : 따르릉따르릉]

77. 화약류의 정체 및 저장에 있어서 폭약 1톤에 해당하는 화공품의 수량으로 맞는 것은?
     1. 총용뇌관 200만개
     2. 신관 또는 화관 50만개
     3. 실탄 또는 공포탄 250만개
     4. 미진통파쇄기 5만개

     정답 : []
     정답률 : 63%
     <문제 해설>
1 250만
2 5만
3 200만
+ 뇌관 100만
[해설작성자 : 따르릉따르릉]

78. 화약류의 사용허가를 받은 사람이 허가없이 용도를 변경하여 화약류를 사용하였을 경우 벌칙은?
     1. 10년 이하의 징역 또는 2000만원 이하의 벌금형
     2. 5년 이하의 징역 또는 1000만원 이하의 벌금형
     3. 3년 이하의 징역 또는 700만원 이하의 벌금형
     4. 2년 이하의 징역 또는 500만원 이하의 벌금형

     정답 : []
     정답률 : 54%
     <문제 해설>
4 화약류책임자의 안전규칙을 무시하고 담배피면 500만원담배
2 화약류책임자가 안전감독 교육을 소홀히 할때
1 보통 제조소 관련법규 허가없이 판매할때 등등
[해설작성자 : 따르릉따르릉]

79. 다음 용어에 대한 정의로 옳지 않은 것은?
     1. 공식이라 함은 화약류의 제조작업을 하기 위하여 제조소안에서 설치된 건축물을 말한다.
     2. 화약류 일시저치장이라 함은 화약류의 제조과정에서 화약류를 일시적으로 저장하는 장소를 말한다.
     3. 정체량이라 함은 동일공실에 저장할 수 있는 화약류의 최소수량을 말한다.
     4. 보안물건이라 함은 화약류의 취급상의 위해로부터 보호가 요구되는 장비 · 시설 등을 말한다.

     정답 : []
     정답률 : 50%
     <문제 해설>
3 최대수량을 말한다
[해설작성자 : 따르릉따르릉]

80. 위험공실의 시설기준에 관한 사항으로 옳지 않은 것은?
     1. 위험공실에는 규정에 의한 피뢰장치를 할 것
     2. 위험공실에는 규정에 의한 흙둑을 설치 할 것
     3. 위험공실의 부근에는 부근에는 저수지∙저수조∙비상전등 등 불을 끄는데 필요한 설비를 갖출 것
     4. 위험공실안에는 온도 및 습도의 조정장치를 설치할 것

     정답 : []
     정답률 : 49%
     <문제 해설>
위험공실안에는 원동기와 온도 및 습도의 조정장치를 설치하지 아니할 것. 다만, 폭발 또는 불이 날 염려가 없는 경우에는 그러하지 아니하다.
[해설작성자 : 즈]

81. 터널에서 내공변위를 계측함으로ㅆ 확인할 수 있는 사항이 아닌 것은?
     1. 지보 부재 효과
     2. 복공 콘크리트 타설시기의 판정
     3. 록볼트 길이 타당성
     4. 주변 암반의 안정

     정답 : []
     정답률 : 43%

82. 경사방향/경사로 표시된 135/60 불연속면의 방향성을 주향/경사로 표시할 때 옳은 것은?
     1. N45E/60SE
     2. N45E/60NW
     3. N45W/60NE
     4. N45W/60SW

     정답 : []
     정답률 : 50%

83. 도시생활의 기반이 되는 통신 시설 및 전력 시설의 지중화는 지하의 어떤 특성을 이용한 것인가?
     1. 격리성
     2. 차음성
     3. 차광성
     4. 저장성

     정답 : []
     정답률 : 68%

84. 터널 내에 용수가 있는 경우 적용할 수 있는 배수공법이 아닌 것은?
     1. 압기 공법
     2. 물빼기 시추
     3. 디프 웰(Deep well)공법
     4. 웰 포인트(well point)공법

     정답 : []
     정답률 : 50%

85. 숏크리트의 건·습식 공법에 대한 설명으로 옳지 않은 것은?
     1. 습식은 청소, 보수가 쉽다.
     2. 리바운드율은 습식이 비교적 적다.
     3. 분진은 건식이 비교적 많다.
     4. 압송거리는 건식이 우수하다.

     정답 : []
     정답률 : 53%

86. 경사가 60°인 사면 내에 존재하는 경사 30°의 절리면을 통해 평면파괴의 가능성이 있어 앵커를 타설하는 경우 안 전율이최대가 되는 앵커의 타설각도는 얼마인가? (단, 절리면의 마찰각은 45°이고, 타설각도는 수평면을 기준으로 한다.) (문제 오류로 복원중입니다. 정확한 내용을 아시는 분께서는 오류신고를 통하여 내용 작성 부탁 드립니다. 정답은 1번입니다.)
     1. 복원중(정확한 보기 내용을 아시는분께서는 오류 신고를 통하여 내용 작성부탁 드립니다.)
     2. 복원중(정확한 보기 내용을 아시는분께서는 오류 신고를 통하여 내용 작성부탁 드립니다.)
     3. 복원중(정확한 보기 내용을 아시는분께서는 오류 신고를 통하여 내용 작성부탁 드립니다.)
     4. 복원중(정확한 보기 내용을 아시는분께서는 오류 신고를 통하여 내용 작성부탁 드립니다.)

     정답 : []
     정답률 : 49%

87. 다음 중, 정단층(normal faulting)지역에서의 암반응력관계를 올바르게 표시한 것은? (단, σv는 암반수직응력, σH는 암반 최대수평응력, σh는 암반 최소수평응력이다.)
     1. σv > σH > σh
     2. σH > σh > σv
     3. σH > σv > σh
     4. σH = σv > σh

     정답 : []
     정답률 : 43%

88. 평사투영해석에서 구면상의 점을 구의 중심을 통과하는 수평면상에 투영하기 위한 투영법은?
     1. 등면적 투영법
     2. 등각 투영법
     3. Lambert 투영법
     4. Schmidt 투영법

     정답 : []
     정답률 : 48%

89. 흙막이 개착공법 중 그라운드 앵커공법에 대한 설명으로 옳지 않은 것은?
     1. 굴착규모가 중규모 이하로써 평면 형상이 사각형일 때 적용되는 공법이다.
     2. 작업공간이 충분히 확보되며, 굴착장비의 반입이 자유로워 기계굴착이 가능하다.
     3. 앵커에 프리스트레스를 주기 때문에 흙막이벽의 변형을 억제하고 주변지반의 침하를 최소한으로 줄일 수 있다.
     4. 지하수위가 높을 경우 앵커천공으로 인한 지하수위 저하로 배면지반의 침하를 유발할 수 있다.

     정답 : []
     정답률 : 25%
     <문제 해설>
1. 굴착 평면 형상이 사각형일 때 적용되는 공법은 Strut공법임
[해설작성자 : 해다미]

90. Q값이 10.0인 암반에 시공할 구조물의 굴착지보계수 (ESR)가 1.0일 때, 최대 무지보 폭은 얼마인가?
     1. 2.0m
     2. 3.0m
     3. 4.0m
     4. 5.0m

     정답 : []
     정답률 : 44%
     <문제 해설>
2 * ESR * Q^0.4 = 무지보폭
[해설작성자 : 따르릉따르릉]

91. 다음 중 토압식(EPB, Earth Pressure Balance) 쉴드 TBM의 특징으로 옳지 않은 것은?
     1. 굴착토의 배토상태에 따라 지반의 상황을 판단하기 쉽다.
     2. 고결 점토 및 고결 실트층에서 N치가 높을수록 굴착효과가 높다.
     3. 지반침하 및 융기에 대하여 주의가 필요하다.
     4. 소성유동성이 적은 토질에서는 소성유동화 개량재의 첨가가 필요하다.

     정답 : []
     정답률 : 38%

92. Rankine의 토압계수에 대한 설명으로 옳지 않은 것은?
     1. 수동토압계수는 주동토압계수보다 크다.
     2. 주동토압계수와 수동토압계수는 반비례의 관계가 있다.
     3. 지반의 내부마찰각만 있으면 토압계수를 계산할 수 있다.
     4. 주동토압계수와 수동토압계수의 곱은 1보다 크다.

     정답 : []
     정답률 : 42%

93. 타원형의 단면을 갖는 암반 터널에서 타원의 장축방향으로 작용하는 초기수직응력과 단축방향으로 작용하는 초기수평응력의 크기가 10MPa로 동일한 경우 터널의 바닥면에 발생하는 접선응력의 크기는 얼마인가? (단, 타원의 장축방향의 반경은 단축방향 반경의 2배이다.)
     1. 10MPa
     2. 20MPa
     3. 30MPa
     4. 40MPa

     정답 : []
     정답률 : 32%

94. 터널의 특수굴착공법 중 침매공법에 대한 설명으로 옳지 않은 것은?
     1. 하천, 해역 등 수저에 터널을 설치하는 경우 이용하는 공법이다.
     2. 지반중을 굴진하는 터널에 비하여 터널 전체 길이를 단축할 수 있다.
     3. 단면 형상은 유속, 수심 등의 영향으로 선택의 폽이 좁은 단점이 있다.
     4. 침매공법의 적용시 다량 발생되는 준설토사의 처분문제등을 고려하여야 한다.

     정답 : []
     정답률 : 37%

95. 다음 중 터널의 용수와 관련된 문제점으로 옳지 않은 것은?
     1. 막장의 자립성 저하
     2. 토압감소
     3. 낙반
     4. 지층의 유출

     정답 : []
     정답률 : 32%

96. 암반분류법인 RMR 분류 결과로부터 얻을 수 있는 자료와 가장 거리가 먼 것은?
     1. 공동의 평균 자립시간
     2. 공동의 평균 굴착심도
     3. 암반의 점착력
     4. 암반의 마찰각

     정답 : []
     정답률 : 32%

97. 터널의 안전성을 확보하기 위하여 설치하는 콘크리트라이닝의 미세균열의 발생을 저하시키는 방법으로 옳지 않은 것은?
     1. 1차, 2차 콘크리트 라이닝을 절연한다.
     2. 콘크리트의 품질을 개량한다.
     3. 미세균열을 집중 또는 분산시킨다.
     4. 2차 콘크리트 라이닝의 두께를 얇게 한다.

     정답 : []
     정답률 : 45%
     <문제 해설>
라이닝 두께가 얇아지면 안전성이 떨어지겠네유
[해설작성자 : 따르릉따르릉]

98. 토질사면의 전단강도를 감소시키는 요인으로 옳지 않은 것은?
     1. 공극수압의 증가
     2. 흡수에 의한 점토지반의 팽창
     3. 느슨한 사질토의 진동
     4. 지진, 발파 등에 의한 진동

     정답 : []
     정답률 : 29%
     <문제 해설>
1 2 3번은 매년 변함없이 등장함
맨날 4번만 다르게 나와서 그게 답임
[해설작성자 : 따르릉따르릉]

99. 다음 중 NATM 공법의 원리에 대한 설명으로 옳지 않은 것은?
     1. 터널을 근본적으로 지지하는 요소는 암반자체가 갖고 있는 지지력이다.
     2. 암반의 이완 또는 그로 인한 광범위한 변형은 최대한 방지하지 않으면 안된다.
     3. 암반은 1축 또는 2축 응력상태가 될 수 있게 설계하여야 한다.
     4. 시기적절하게 복공을 실시함으로서 지본의 효과를 보다 높이는 일이 필요하다.

     정답 : []
     정답률 : 42%
     <문제 해설>
터널은 보통 3측 응력상태가 될 수 있게 설계한다
그래서 암석역학에서 평면변형상태로 터널을 해석하쥬
[해설작성자 : 따르릉따르릉]

100. 다음 중 강아치 지보공에 대한 설명으로 옳지 않은 것은?
     1. 조립과 동시에 암반을 지지하는 능력을 발휘할 수 있다.
     2. 균열이 많고 굴착으로 인하여 붕괴 위험성이 있는 암반의 지지에 유효하게 사용된다.
     3. 강아치 지보공은 단독으로 암반이 갖는 강도를 적극적으로 이용할 수 있다.
     4. 강아치 지보공은 H 형강 등의 강재를 터널의 형태에 맞추어 가공하여 일정간격으로 설치한다.

     정답 : []
     정답률 : 45%
     <문제 해설>
3.강아치 지보공은 단독으로 보다 [강아치지보 + 숏크리트]일시 효과가 극대화 됨
[해설작성자 : 해다미]


정 답 지

1

2

3

4

5

6

7

8

9

10

11

12

13

14

15

16

17

18

19

20

21

22

23

24

25

26

27

28

29

30

31

32

33

34

35

36

37

38

39

40

41

42

43

44

45

46

47

48

49

50

51

52

53

54

55

56

57

58

59

60

61

62

63

64

65

66

67

68

69

70

71

72

73

74

75

76

77

78

79

80

81

82

83

84

85

86

87

88

89

90

91

92

93

94

95

96

97

98

99

100

화약류관리기사 필기 기출문제(해설) 및 CBT 2013년09월28일을 이용해 주셔서 감사합니다.
, 필기, 기출문제, 전자문제집, CBT, 온라인, 모의테스트, 모의고사



List of Articles
번호 제목 글쓴이 날짜 조회 수
9318 화약류관리기사 필기 기출문제(해설) 및 CBT 2005년03월20일(9877) 좋은아빠되기 2025.10.07 0
9317 패션머천다이징산업기사 필기 기출문제(해설) 및 CBT 2009년07월26일(9876) 좋은아빠되기 2025.10.07 0
9316 패션머천다이징산업기사 필기 기출문제(해설) 및 CBT 2009년03월01일(9875) 좋은아빠되기 2025.10.07 0
9315 패션머천다이징산업기사 필기 기출문제(해설) 및 CBT 2008년07월27일(9874) 좋은아빠되기 2025.10.07 0
9314 패션머천다이징산업기사 필기 기출문제(해설) 및 CBT 2005년08월07일(9873) 좋은아빠되기 2025.10.07 0
9313 패션머천다이징산업기사 필기 기출문제(해설) 및 CBT 2005년03월06일(9872) 좋은아빠되기 2025.10.07 1
9312 기상기사 필기 기출문제(해설) 및 CBT 2012년03월04일(9871) 좋은아빠되기 2025.10.07 0
9311 기상기사 필기 기출문제(해설) 및 CBT 2005년03월06일(9870) 좋은아빠되기 2025.10.07 0
9310 인간공학기사 필기 기출문제(해설) 및 CBT 2016년08월21일(9869) 좋은아빠되기 2025.10.07 0
9309 인간공학기사 필기 기출문제(해설) 및 CBT 2013년08월18일(9868) 좋은아빠되기 2025.10.07 0
9308 인간공학기사 필기 기출문제(해설) 및 CBT 2013년03월10일(9867) 좋은아빠되기 2025.10.07 0
9307 인간공학기사 필기 기출문제(해설) 및 CBT 2012년08월26일(9866) 좋은아빠되기 2025.10.07 1
9306 인간공학기사 필기 기출문제(해설) 및 CBT 2012년03월04일(9865) 좋은아빠되기 2025.10.07 0
9305 산업안전기사 필기 기출문제(해설) 및 CBT 2019년04월27일(9864) 좋은아빠되기 2025.10.07 0
» 화약류관리기사 필기 기출문제(해설) 및 CBT 2013년09월28일(9863) 좋은아빠되기 2025.10.07 0
9303 화약류관리기사 필기 기출문제(해설) 및 CBT 2013년03월10일(9862) 좋은아빠되기 2025.10.07 0
9302 화약류관리기사 필기 기출문제(해설) 및 CBT 2012년09월15일(9861) 좋은아빠되기 2025.10.07 0
9301 화약류관리기사 필기 기출문제(해설) 및 CBT 2004년09월05일(9860) 좋은아빠되기 2025.10.07 0
9300 화약류관리기사 필기 기출문제(해설) 및 CBT 2004년05월23일(9859) 좋은아빠되기 2025.10.07 0
9299 화약류관리기사 필기 기출문제(해설) 및 CBT 2004년03월07일(9858) 좋은아빠되기 2025.10.07 0
Board Pagination Prev 1 ... 313 314 315 316 317 318 319 320 321 322 ... 783 Next
/ 783