자격증 필기 기출문제



응용지질기사 필기 기출문제(해설) 및 CBT 2006년03월05일(9996)

최강 자격증 기출문제 전자문제집 CBT : www.comcbt.com


전자문제집 CBT란?

종이 문제집이 아닌 인터넷으로 문제를 풀고 자동으로 채점하며 모의고사, 오답 노트, 해설까지 제공하는
무료 기출문제 학습 프로그램으로 실제 상설검정에서 사용하는 OMR 형식의 CBT를 제공합니다.


최신 응용지질기사 필기 기출문제 : [다운로드]

1과목 : 암석학 및 광물학


1. 다음 중 석영이 속하는 결정계는?
     1. 등축정계
     2. 정방정계
     3. 육방정계
     4. 사방정계

     정답 : []
     정답률 : 50%

2. 주상의 벽개를 보이는 대표적인 광물은?
     1. 금홍석
     2. 방해석
     3. 방연석
     4. 형석

     정답 : []
     정답률 : 52%

3. 루비와 사파이어는 다음중 어느 광물에 속하는가?
     1. 강옥
     2. 루비는 석류석, 사파이어는 녹주석
     3. 석영
     4. 황옥

     정답 : []
     정답률 : 79%

4. 비슷한 크기의 양이온 또는 음이온을 가지고 있으며 동일한 결정구조를 갖는 광물들 사이의 관계를 무엇이라 하는가?
     1. 동질이상
     2. 유질동상
     3. 동질동상
     4. 유질이상

     정답 : []
     정답률 : 67%

5. 다음 광물중 결손고용체에 속하는 것은?
     1. 자철석
     2. 자황철석
     3. 유비철석
     4. 황동석

     정답 : []
     정답률 : 38%

6. 정방정계에 있어서 (001) - (011) = 60° 일때 축률은 얼마인가?
     1. a : c = 1 : 0.577
     2. a : c = 0.577 : 1
     3. a : c = 1 : 1.732
     4. a : c = 1.732 : 1

     정답 : []
     정답률 : 64%

7. 다음 중 붕소(F)를 함유하는 광물은?
     1. 각섬석
     2. 금운모
     3. 규선석
     4. 전기석

     정답 : []
     정답률 : 40%

8. 광석 현미경 하에서 직교니콜을 하였을때 관찰할수 없는것은?
     1. 이방성
     2. 간섭색
     3. 간섭상
     4. 다색성

     정답 : []
     정답률 : 60%
     <문제 해설>
개방니콜: 광물의 투명성, 색, 다색성, 결정형, 입자 크기, 쪼개짐 관찰
직교니콜: 소광, 광학적 등방성과 이방성, 간섭색 관찰
[해설작성자 : comcbt.com 이용자]

9. 6면체상 배위다면체의 경우, 양이온 주위를 둘러싸고 있는 음이온의 수는?
     1. 4
     2. 6
     3. 8
     4. 12

     정답 : []
     정답률 : 40%

10. 광물을 분류하는 방법은 분류의 도구로서 무엇을 사용하느냐에 따라 여러 가지가 있을수있다. 광물의 화학조성에 기초를 둔 화학적 분류법으로 분류한 광물의 분류와 대표적인 광물이 틀리게 조합된 것은?
     1. 황산염 광물 : 황철석, 휘은석, 섬아연석
     2. 할로겐광물 : 소금, 형석, 빙정석
     3. 산화광물 : 자철석, 크롬철석, 적철석
     4. 탄산염광물 : 마그네사이트, 능철석, 능망간석

     정답 : []
     정답률 : 50%

11. 지하의 온도와 압력에 따른 변성상의 분포를 나타낸 그림에서 A영역에 해당하는 변성작용과 이에 해당하는 암석의 예를 바르게 나타낸 것은? (단, B는 물로포화된 현무암의 용융곡선이고, G는 물로 포화된 화강암의 용융온도 곡선이다.)

    

     1. 접촉변성작용, 혼펠스
     2. 광역변성작용, 편마암
     3. 광역변성작용, 천매암
     4. 파쇄변성작용, 압쇄암

     정답 : []
     정답률 : 72%

12. 오피올라이트와 가장 관련이 깊은 것은?
     1. 칼크알카리 안산암
     2. 처트나 원양성 퇴적암
     3. 화성탄산염암
     4. 구과상 화강암

     정답 : []
     정답률 : 64%

13. 초변성 작용을 받은 기존 암석이 선택적으로 재용융 하여 생긴 액체와 고체의 혼합물을 무엇이라 하는가?
     1. 미그마
     2. 미화강암
     3. 반화강암
     4. 아다멜라이트

     정답 : []
     정답률 : 65%

14. 화성암에서 산성암들이 갖는 공통적 특징이 아닌 것은?
     1. MgO, FeO, Fe2O3 성분이 적어 유색광물이 적다.
     2. 무색광물이 많아 색깔이 옅다.
     3. 염기성암 보다 낮은 온도에서 주로 형성된다.
     4. K2O, Na2O, CaO 성분이 많아 비중이 낮다.

     정답 : []
     정답률 : 53%

15. 퇴적물이 퇴적된 이후에 받는 모든 물리적, 무기화학적, 생화학적인 변화를 총칭해서 말하는 것은?
     1. 분화작용
     2. 변성작용
     3. 속성작용
     4. 풍화작용

     정답 : []
     정답률 : 64%

16. 다음중 화성암을 육안으로 감정하는데 가장 도움이 되지 않는 것은?
     1.
     2. 비중
     3. 조암광물의 종류와 함량비
     4. 암석의 조직

     정답 : []
     정답률 : 74%

17. 남정석, 홍주석, 규선석은 모두 다음중 어느것의 동질이상인가?
     1. SiO2
     2. Fe2O3
     3. Al2SiO5
     4. Mg2SiO4

     정답 : []
     정답률 : 57%

18. 다음 용어중에서 퇴적암과 관련이 적은것은?
     1. 구과
     2. 결핵체
     3. 건열
     4. 다이아스템

     정답 : []
     정답률 : 44%

19. 석회암이나 염기성 화성암에 화강암이 관입하면 접촉대에서 교대작용이 일어나서 스카른 광물이 생성된다. 다음중 스카른 광물에 해당하지 않는 것은?
     1. 석류석
     2. 투휘석
     3. 규회석
     4. 형석

     정답 : []
     정답률 : 55%

20. 다음중 화성암에서 분출암과 관입암을 구별하는 기준은?
     1. 광물조성
     2. 조직
     3. 화학성분
     4. 경도

     정답 : []
     정답률 : 63%

2과목 : 구조지질학


21. 평행 수계에 대한 설명 중 틀린 것은 어느 것인가?
     1. 암석의 성분이 같고, 균일한 경사를 가진 곳에서 많이 발달한다.
     2. 주류는 일반적으로 단층이나 주요 단열구조를 나타낸다.
     3. 주류 와 지류는 거의 같은 각을 이루면서 만난다.
     4. 주로 고립되어 있는 산 또는 돔 지형에서 나타난다.

     정답 : []
     정답률 : 81%

22. 바람의 풍반작용 과 마모작용을 통해 만들어진 지형이 아닌 것은?
     1. 사막포장
     2. 야당
     3. 사구
     4. 풍반 골짜기와 구덩이

     정답 : []
     정답률 : 71%

23. 캘리포니아 산안드레아스 단층은 어떤 종류의 판 경계부인가?
     1. 발산경계
     2. 수렴경계
     3. 변환단층경계
     4. 충돌경계

     정답 : []
     정답률 : 66%

24. 다음 중 구성광물의 소성변형과 관련이 있는 암석은?
     1. 단층각력암
     2. 현무암
     3. 압쇄암
     4. 슈도타킬라이트

     정답 : []
     정답률 : 48%

25. 퇴적암에 대한 설명 중 잘못된 것은?
     1. 물밑에 지층이 쌓이는 면을 퇴적면 또는 성층면 이라 한다.
     2. 퇴적암의 특징은 층리를 갖고 있는 것이다.
     3. 빙하퇴적물중 빙퇴석은 층리가 많은 표석 점토층을 형성한다.
     4. 바다 밑바닥을 흘러내린 흙탕물을 저탁류라고 한다.

     정답 : []
     정답률 : 64%

26. 취성전단대(brittle shear zone)의 특징이 아닌 것은?
     1. 단층각력을 가진다.
     2. 같은방향의 단층들이 존재한다.
     3. cataclasite가 존재한다.
     4. Mylonite

     정답 : []
     정답률 : 61%

27. 우리나라 선캠브리아기의 기저암은 다음 중 어느 것에 해당하는가?
     1. 플래이트(plate)
     2. 돔(dome)
     3. 플래트폼(platform)
     4. 분지(basin)

     정답 : []
     정답률 : 60%

28. 다음 지질도에서 cupola에 해당하는 부분의 기호는?

    

     1. A
     2. B
     3. C
     4. D

     정답 : []
     정답률 : 44%

29. 다음 중 지진발생과 가장 관련이 적은 것은?
     1. 액화현상(liquefaction)
     2. 압쇄암(mylonite)
     3. 쓰나미(tsunami)
     4. 단층운동(faulting)

     정답 : []
     정답률 : 74%

30. 일반적으로 지각의 10km 상부에서는 취성 변형이, 10km 하부에서는 연성 변형이 발생한다고 한다. 10km 심도의 대륙지각의 하중에 의한 수직응력은 대략 어느 정도인가? (단. 화강암질암의 밀도는 2700kg/m3, 중력가속도는 10m/s2)
     1. 100MPa
     2. 270MPa
     3. 500MPa
     4. 750MPa

     정답 : []
     정답률 : 87%

31. 다음 중 신장절리의 특징이라고 볼 수 없는 것은?
     1. 절리간격이 비교적 일정하다.
     2. 공맥상으로 발달한다.
     3. 절리면이 거칠고 암질에 따라 발달 정도가 다르다.
     4. 경사가 수직에 가깝고 연장성이 양호하다.

     정답 : []
     정답률 : 61%

32. 다음 중 비정합을 이루는 조건 둘 맞는 것은?
     1. 부정합면 아래 심성암이 있다.
     2. 부정합면 아래 지층과 위의 지층의 성층면이 서로 평행하다.
     3. 부정합면 아래 지층이 많은 침식을 받았다.
     4. 부정합면 아래 변성암이 분포된다.

     정답 : []
     정답률 : 75%

33. 유리질 또는 은미정질조직을 가진 맥상이며, 지하 10~15km 이내의 깊이와 건조한 조건하에서 단층작용에 의하여 부분 용융되어 형성된 것은?
     1. 각력암
     2. 파쇄암
     3. 슈도타킬라이트
     4. 압쇄암

     정답 : []
     정답률 : 52%

34. 풍화작용에 영향을 미치는 요인이 아닌 것은?
     1. 암석의 종류와 지질구조
     2. 시간
     3. 기후
     4. 암석의 연령

     정답 : []
     정답률 : 71%

35. 내프구조의 증거는 다음 중 어느 것인가?
     1. 기저역암
     2. Fenster와 klippe
     3. 조선
     4. 포획암

     정답 : []
     정답률 : 53%

36. 다음 중 해수면 변동이나 지각변동의 증거로 볼 수 없는 것은?
     1. 성장단층의 발달
     2. 심성암과 변성암의 노출
     3. 해안단구
     4. 융기해빈

     정답 : []
     정답률 : 50%

37. 해령에서 800km떨어진 곳에서 시추한 용암의 K-Ar 연령이 약 1050만년이다. 판구조운동의 속도가 일정하다고 가정했을때 해저확장속도는?
     1. 7.6cm/year
     2. 7.6mm/yaer
     3. 13cm/year
     4. 13mm/year

     정답 : []
     정답률 : 86%

38. 사면붕괴를 발생시키는 원인 중 가장 영향이 적은 것은?
     1. 지질구조
     2. 공극수압
     3. 중력
     4. 암석을 구성하는 광물

     정답 : []
     정답률 : 54%

39. 다음의 층 중에서 영월층 조선 누층군이 아닌 것은?
     1. 회절층
     2. 문곡층
     3. 영흥층
     4. 삼방산층

     정답 : []
     정답률 : 32%

40. 규암층(짙은부분)의 지질도를 작성하여 얻은 지질 분포도이다. 맞는 설명은?

    

     1. 경사습곡
     2. 북동 남서 방향선 주향의 수평 습곡축
     3. 배사 습곡
     4. 부정합

     정답 : []
     정답률 : 68%

3과목 : 탐사공학


41. 중력탐사에서 중력 측정값의 보정에 관한 설명으로 틀린 것은?
     1. 프리-에어 보정은 해수준면으로부터 1m 상승함에 따라 0.3086 mGal씩 중력 측정값에서 빼준다.
     2. 중력측점이 해수준면상에 있으면 프리-에어 보정은 필요없다.
     3. 부게보정은 중력 측정값에 포함된 기준면 위쪽의 초과 질량 영향을 제거하기 위한 것이다.
     4. 중력 측정시 0.1 mGal의 정확도를 유지하기 위해서는 125m의 오차이내에서 측점의 수평적 위치가 결정되어야 한다.

     정답 : []
     정답률 : 44%

42. 자장의 강도를 H, 전장의 강도를 E, 자속밀도를 B, 전기적 변위를 D, 전류밀도를 j, 투자율을 μ, 전기전도도를 σ, 시간을 t라 할 때 다음 관계식 중 틀린 것은?
     1.
     2. j = σE
     3. D = μE
     4. B = μH

     정답 : []
     정답률 : 44%

43. 토양층 중 B층에 대한 설명으로 틀린 것은?
     1. 적갈색, 황갈색, 암회색 등의 색을 띤다.
     2. 주로 철산화물이나 점토광물이 집적된 층이다.
     3. 미량원소들이 농축되는 경우가 많으므로 지구화학탐사의 대상층이 된다.
     4. 기반암이 풍화된 암석 파편이 존재하는 층이다.

     정답 : []
     정답률 : 58%

44. 핵자력계(proton-precession magnetometer)는 다음 중 어느 것을 이용한 것인가?
     1. 세차운동
     2. 항자력
     3. 소자력
     4. 원심력

     정답 : []
     정답률 : 67%

45. Slingram 법과 밀접한 관련이 있는 물리탐사는?
     1. Horizontal Loop EM method
     2. Magnetic method
     3. VLF-EM method
     4. I.P method

     정답 : []
     정답률 : 54%

46. 광상의 종류에 따른 지시원소 중 지기원소가 B였다면 광상의 종류는?
     1. Pb-Zn-Ag 광상
     2. 반암동 광상
     3. Au-Ag 광상
     4. Sn-W-Be-Mo 광상

     정답 : []
     정답률 : 54%

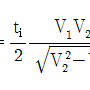
47. 수평 2층에 대한 탄성파 굴절법 탐사에서 다음과 같은 주시곡선을 얻었을 때 1층의 두께(Z)를 바르게 나타낸 것은? (단, V1, V2는 1층과 2층의 전파속도)

    

     1.
     2.
     3.
     4.

     정답 : []
     정답률 : 71%

48. 다음 중 유도분극(induced polarization)현상의 발생 원인이 아닌 것은?
     1. 과전압
     2. 막분극
     3. 전극분극
     4. 자기유도

     정답 : []
     정답률 : 50%

49. 밀도 검층은 γ선의 작용을 이용하여 암석의 체적밀도를 측정한다. 이 때 이용되는 γ선의 작용은 무엇인가?
     1. 쌍 생산
     2. 쌍 소멸
     3. 콤프턴 산란
     4. 광전 효과

     정답 : []
     정답률 : 80%

50. 굴절법과 비교한 반사법 탄성파 탐사의 장점을 기술한 것 중 틀린 것은?
     1. 굴절법에 비해 해상도가 높다.
     2. 같은 소스(source)를 파원으로 사용하는 경우 깊은 심도까지 탐사가 가능하다.
     3. 굴절법과 비교하여 탐사 측선이 짧다.
     4. 굴절법에 비해 데이터 처리가 간단하다.

     정답 : []
     정답률 : 52%

51. 유정 탐사에 중요한 것으로 사암 등과 같은 투수성 지층을 판별하고, 이들과 셰일층과 경계를 파악하고자 할 때 주로 사용되는 검층은?
     1. 전기비저항 검층
     2. 저자유도 검층
     3. 유도분극 검층
     4. 자연전위 검층

     정답 : []
     정답률 : 60%

52. 다음은 지진파 초동분포양상을 연구하기 위한 발진기구(focal mechanism)이다. 가장 적합하지 않는 것은?
     1.
     2.
     3.
     4.

     정답 : []
     정답률 : 60%

53. 지표 탄성파탐사에서 주로 사용되는 주파수 범위는?
     1. 0.1 ~ 1Hz
     2. 10 ~ 100Hz
     3. 100 ~ 1000Hz
     4. 1000Hz 이상

     정답 : []
     정답률 : 48%

54. 수심이 100m인 해저(海底)에서 중력(重力)을 측정했을 시 부우게 보정치(Bouguer correction)는 몇mgal인가? (단, 기준면(Datum plane)은 해수면(海水面)으로 하고, 바닷물의 밀도는 1g/cm3이고, 중력상수는 6.67 × 10-8 CGS로 하여 계산할 것)
     1. 4.19
     2. 8.37
     3. 9.8
     4. 19.8

     정답 : []
     정답률 : 28%

55. 다음 그림과 같은 웨너(Wenner)전극배열법에 의한 외견 비저항 값으로 맞는 것은? (단, Π = 3.14, P1, P2 간의 전위차 △V = 1000mV)

    

     1. 300 Ω-m
     2. 600 Ω-m
     3. 900 Ω-m
     4. 1200 Ω-m

     정답 : []
     정답률 : 67%

56. 자기장의 영년 변화의 원인이 되는것은 어느 것인가?
     1. 자기폭풍
     2. 태양에서 나오는 자외선이나 X-선
     3. 달의 인력
     4. 맨틀이나 외핵의 운동

     정답 : []
     정답률 : 64%

57. 탄성파탐사는 크게 굴절법탐사와 반사법탐사로 나누어진다. 굴절법탐사에서 주로 사용하는 파는 다음 중 어느것인가?
     1. 선두파 (Head wave)
     2. 레일리파 (Rayleigh wave)
     3. 러브파 (Love wave)
     4. 다중반사파 (Multiple reflections)

     정답 : []
     정답률 : 57%

58. 다음 중 자연잔류자화의 종류에 대한 설명으로 틀린 것은?
     1. 등온 잔류자화는 일정한 온도 하에서 짧은 시간동안만 존재하고 사라지는 외부자기장에 의해 발생한다.
     2. 열 잔류자화는 큐리온도 이상의 높은온도에서 외부 자기장에 의해 발생한다.
     3. 퇴적 잔류자화는 세립질 물질이 퇴적되면서 발생한다.
     4. 점성 잔류자화는 암석이 약한 외부자기장을 오랫동안 받아서 발생한다.

     정답 : []
     정답률 : 60%

59. 지표 또는 지하의 물질에 함유된 지시원소를 분석하여 광상을 탐사하는 방법을 무엇이라 하는가?
     1. 지표지질조사
     2. 지구화학탐사
     3. 지구물리탐사
     4. 지구물리검층

     정답 : []
     정답률 : 72%

60. 물리탐사에서 널리 수행되는 역산(inversion)에 대한 가장 올바른 설명은?
     1. 주어진 모델변수(지하 물성분포)로부터 이론자료를 얻는 과정이다.
     2. 현장자료부터 모델변수를 얻는 과정이다.
     3. 모델변수와 현장자료 사이의 상관관계를 얻는 과정이다.
     4. 모델변수의 변화에 대한 이론자료의 변화량을 계산하는 과정이다.

     정답 : []
     정답률 : 75%

4과목 : 지질공학


61. 다음 중 공극률은 크지만 투수성이 가장 낮은 퇴적물은 무엇인가?
     1. 점토
     2. 미사
     3. 모래
     4. 자갈

     정답 : []
     정답률 : 58%

62. 어떤 암석의 포화단위중량은 30kN/m3, 건조단위중량은 28kN/m3인 경우 공극률은 얼마인가? (단, 물의 단위중량은 10kN/m3로 한다.)
     1. 5%
     2. 10%
     3. 15%
     4. 20%

     정답 : []
     정답률 : 57%

63. 암반 불연속면의 특징을 표현하기 위한 기재사항이 아닌 것은?
     1. 초기응력
     2. 방향
     3. 간극
     4. 간격

     정답 : []
     정답률 : 45%

64. 다음의 흙 가운데 일반적으로 자연 상태 함수량이 가장 높은 것은?
     1. 모래
     2. 유기질흙
     3. 점토
     4. 자갈

     정답 : []
     정답률 : 58%

65. 표준관입시험 결과 얻어진 N치(N vaule)에 대한 설명 중 틀린 것은?
     1. N치가 클수록 내부 마찰각이 크다.
     2. N치가 클수록 공극률이 크다.
     3. N치가 클수록 압축강도가 크다.
     4. N치가 클수록 연경도(consistency)가 증가한다.

     정답 : []
     정답률 : 43%

66. 암반의 기본 RMR 값이 75인 터널에서 불연속면이 작업막장면에서 작업장 쪽으로 30도 정도 경사져 있다. 터널에서 불연속면의 방향에 대한 보정 값은 다음 표와 같다. 이때 이 터널의 RMR 값은 얼마인가?

    

     1. 65
     2. 70
     3. 73
     4. 75

     정답 : []
     정답률 : 44%

67. 점토질의 흙이 자중으로 인하여 유동할 때 최소의 함수비를 무엇이라 하는가?
     1. 액성한계
     2. 소성한계
     3. 수축한계
     4. 인성한계

     정답 : []
     정답률 : 44%

68. 지형의 특성에 따라 충적층을 다음과 같이 구분할 때 일반적으로 충적층의 두께가 가장 두꺼운 지층은?
     1. 선상지
     2. 해안평야
     3. 범람원
     4. 곡간평야

     정답 : []
     정답률 : 56%

69. 현장 암반 시험법 중에서 초기지압(in-situ stress)을 측정하기 위한 시험법이 아닌 것은?
     1. 수압파쇄법(hydrofracturing method)
     2. 응력해방법(stress relief method)
     3. 공내재하시험법(dilatometer test)
     4. 응력보상법(stress recovering method)

     정답 : []
     정답률 : 30%

70. 다음 중 지하수의 가압층으로 적당하지 않은 것은?
     1. 준대수층
     2. 주수대수층
     3. 난대수층
     4. 비대수층

     정답 : []
     정답률 : 54%

71. 지반의 강도를 증가시키고, 용수와 누수를 방지하기 위해 지반 속에 응결제를 넣어 고결시키는 공법은?
     1. 프리 로딩 (pre-loading)
     2. 샌드 드레인(sand drain)
     3. 주입공법(grouting)
     4. 웰포인트(well point)

     정답 : []
     정답률 : 69%

72. 주상절리가 발달된 암반사면에서 발생되기 쉬운 붕괴 형태는?
     1. 평면붕괴(plane slide)
     2. 회전붕괴(rotational slide)
     3. 전도붕괴(toppling slide)
     4. 슬랩붕괴(slab slide)

     정답 : []
     정답률 : 71%

73. 두께 10m의 점토층이 20t/m2의 하중을 받았을 때 최종침하량이 3cm이었다면, 이 층의 체적변화계수는 얼마인가?
     1. 1.5×10-3cm2/g
     2. 1.5×10-6cm2/g
     3. 6.5×10-3cm2/g
     4. 6.5×10-6cm2/g

     정답 : []
     정답률 : 40%

74. 다음은 절리의 성인에 따른 설명이다. 잘못된 설명은?
     1. 전단절리를 따라 존재하는 물질이 인장절리를 따라 존재하는 물질보다 변질되지 않는다.
     2. 전단파괴에 의한 절리면에는 암석파편이 많이 존재한다.
     3. 인장파괴에 의해 형성된 절리면은 거친 경향이 있다.
     4. 절리의 발생빈도는 층리두께에 반비례 한다.

     정답 : []
     정답률 : 47%

75. 다음은 풍화에 따른 암석의 물리적̇•역학적 변화를 설명한 것이다. 틀린 것은?
     1. 풍화작용을 받은 암석의 탄성파속도는 줄어든다.
     2. 풍화가 심할수록 영율(young's modulus)은 낮아진다.
     3. 풍화가 진행되면 인장강도는 줄어든다.
     4. 풍화가 진행되면 투수율이 낮아진다.

     정답 : []
     정답률 : 70%

76. 유선망에 대한 설명으로 틀린 것은?
     1. 등수선과 유선은 항상 직각이다.
     2. 인접한 두 유선 사이를 흐르는 유량은 일정하다.
     3. 유선 사이의 거리가 넓어지면 유속이 빨라진다.
     4. 인접한 두 등수두선 사이의 수두손실은 동일하다.

     정답 : []
     정답률 : 67%

77. 화강암에서 기계적 풍화가 발생하기 위한 조건으로 적당하지 않은 것은?
     1. 겨울에 온도가 영화로 떨어진다.
     2. 밤, 낮의 온도차가 크다.
     3. 비가 자주 내린다.
     4. 응력해방에 따라 절리 발달이 촉진된다.

     정답 : []
     정답률 : 68%

78. 다음 중 불안정한 사면의 안전율을 증가시킬 목적으로 사용되는 안정공법, 혹은 억지공법에 해당되지 않는 것은?
     1. 사면의 경사를 완만하게 조정
     2. 활동가능 토괴의 전부, 혹은 일부를 제거
     3. 록앵커, 옹벽, 네일링, 억지말뚝 등의 설치
     4. 생물화학적 방법에 의한 식생보호공

     정답 : []
     정답률 : 80%

79. 다음 중 암반분류법의 일종인 Q-system의 구성요소가 아닌 것은?
     1. 암질지수
     2. 절리군의 수
     3. 현장 응력조건
     4. 절리면 압축강도

     정답 : []
     정답률 : 18%

80. 단위중량 1.8t/m3, 점착력 3t/m2,내부 마찰각 15°인 지반에서 안전율을 1로 하여 수직으로 굴착할 수 있는 최대 깊이는 얼마인가? (단, 파괴는 평면파괴를 가정한다.)
     1. 6.7m
     2. 7.7m
     3. 8.7m
     4. 9.7m

     정답 : []
     정답률 : 34%

81. 후생광상(Epigenetic deposit)이 형성되기 전에 광화용액이 침투하기 쉽고, 침전하기 좋은 여건을 마련해주는 전위적인 작용을 무엇이라 하는가?
     1. 속성작용
     2. 광화준비작용
     3. 모암변질작용
     4. 스카른화작용

     정답 : []
     정답률 : 59%

82. 접촉교대광상에 속하지 않는 광상은?
     1. 연화 연-아연광상
     2. 상동 중석 광상
     3. 왕피리 석 광상
     4. 금성 휘수연광상

     정답 : []
     정답률 : 70%

83. 다음 중 반암동광상과 관계가 없는것은?
     1. 주요한 광상 생성시기는 중생대 및 신생대이다.
     2. 광물조합은 Cu-Mo-Au로 특징된다.
     3. 성인적으로 중성-산성 관입암체와 밀접히 관련된다.
     4. 이 광상의 변질대 중심부는 점토화변질대(이질변질대)가 특징적이다.

     정답 : []
     정답률 : 65%

84. 모암(母岩)이 안산암(安山岩) 또는 석영안산암(石英安山岩)일때 열수 광상 주변에서 관찰되는 주요 모암변질작용은?
     1. 견운모화 작용(sericitization)
     2. 프로피라이트화 작용(propylitization)
     3. 그레이젠화 작용(greisenization)
     4. 전기석화 작용(tourmalinization)

     정답 : []
     정답률 : 21%

85. 탄탈륨(Ta), 리튬(Li), 베릴륨(Be) 등의 희원소 광물이 집중하는 광상은 다음 중 어느 것인가?
     1. 화성광상
     2. 페그마타이트광상
     3. 열수광상
     4. 변성광상

     정답 : []
     정답률 : 62%

86. 암층의 지질시대를 대비하는데 이용되지 않는 것은?
     1. 표준화석
     2. 건층
     3. 시상화석
     4. 부정합

     정답 : []
     정답률 : 50%

87. 단일 광상중에 여러 광종이 공생하는 경우 이들을 근거로 하여 추정이 불가능한 것은?
     1. 지질 온도
     2. 광물의 생성순서
     3. 광상의 생성시기
     4. 광화작용의 단계

     정답 : []
     정답률 : 66%

88. 접촉교대광상의 모암으로서 가장 적합한 것은?
     1. 사암
     2. 역암
     3. 석회암
     4. 셰일

     정답 : []
     정답률 : 53%

89. 다음은 우리나라 납석광상에 대한 설명이다. 맞는것은?
     1. 국내 납석광상이 백악기 유천층군 화산암류 분포지내에 집중적으로 산출되는 것은 백악기 화산활동과 성인적 관련성이 크기 때문이다.
     2. 국내 납석광상의 주요 분포지는 충남∙북과 강원도 일원이다.
     3. 국내 대부분의 납석광상은 대체적으로 풍화광상에 속한다.
     4. 국내 납석광상에서는 특징적으로 연-아연 광물들이 흔히 수반된다.

     정답 : []
     정답률 : 23%

90. 반상화강암체의 정상부 또는 주변에서 유용광물을 광염 또는 망상으로 산출하는 대표적인 저품위 대규모의 광상은?
     1. 화산성 괴상 황화물광상
     2. 반암형광상
     3. 증발광상
     4. 풍화잔류광상

     정답 : []
     정답률 : 20%

91. 석탄화 과정에서 성분의 변화가 관찰되는 석탄의 주구성 물질에 해당되지 않는 것은?
     1. 회분
     2. 고정탄소
     3. 수분
     4. 알루미나

     정답 : []
     정답률 : 64%

92. 다음 중 열수광상에서 관찰되는 모암 변질과 관계없는 것은?
     1. 녹주석
     2. 명반석
     3. 녹니석
     4. 고령토

     정답 : []
     정답률 : 18%

93. 다음은 우리나라 석탄층 분포와 관련이 있는 평안계 지층들이다. 이중 가장 상부에 존재하는 지층은?
     1. 홍점통
     2. 사동통
     3. 고방산통
     4. 녹암통

     정답 : []
     정답률 : 37%

94. 다음 중 우리나라에서 반암동 광상이 보고된 지역은?
     1. 경기변성지역
     2. 경상분지지역
     3. 음성분지지역
     4. 태백산 지역

     정답 : []
     정답률 : 67%

95. 다음 설명 중 틀린 것은?
     1. 칠레초석과 초석은 대표적인 질산염 광물이다.
     2. 칼리염 광상은 주로 고생대말의 폐름기 에 생성되었다.
     3. 명반석류 광상은 열수변질광상으로 생성된다.
     4. 칼리염 광상은 주로 풍화잔류광상으로 생성된다.

     정답 : []
     정답률 : 32%

96. 다음 중 구로꼬형 광상과 관련이 없는 설명은?
     1. 제3기에 형성된 광상이다.
     2. 이 광상형의 이름은 일본의 구로꼬 광산에서 유래되었다.
     3. 이 광상은 고유황광상과 저유황광상으로 구분된다.
     4. 방연석, 섬아연석, 황동석 등의 황화광물이 우세하게 산출된다.

     정답 : []
     정답률 : 29%

97. 다음 중 광맥광상(맥상광상)의 유체포 유물 연구로서 알 수 없는 것은?
     1. 광상의 생성온도
     2. 염농도
     3. 포유물의 화학성분
     4. 광상형성시기

     정답 : []
     정답률 : 68%

98. 단층발달구역에 대한 지질조사를 시행하려고 한다. 구조규제형 열수 복합광맥광상의 야외조사 시 구조선을 중심으로 외측으로의 발달이 예상되는 금속성분의 분포 조합은?
     1. 연∙아연 → 동 → 동∙주석 → 텅스텐
     2. 동∙주석 → 연∙아연 → 텅스텐 → 금∙은
     3. 주석∙텅스텐 → 동∙주석 → 동∙아연 → 연∙아연
     4. 동∙아연 → 주석∙텅스텐 → 수은 → 금∙은

     정답 : []
     정답률 : 57%

99. 표성부화광상의 산화부화대에서 산출하는 광물은?
     1. 휘동석
     2. 공작석
     3. 휘은석
     4. 섬아연석

     정답 : []
     정답률 : 34%

100. 주요 산업원료광물(비료,화학공업용) 등으로 사용되는 인광상(guano)의 성인으로 적합한 것은?
     1. 정마그마광상
     2. 기성광상
     3. 퇴적광상
     4. 천열수광상

     정답 : []
     정답률 : 57%


정 답 지

1

2

3

4

5

6

7

8

9

10

11

12

13

14

15

16

17

18

19

20

21

22

23

24

25

26

27

28

29

30

31

32

33

34

35

36

37

38

39

40

41

42

43

44

45

46

47

48

49

50

51

52

53

54

55

56

57

58

59

60

61

62

63

64

65

66

67

68

69

70

71

72

73

74

75

76

77

78

79

80

81

82

83

84

85

86

87

88

89

90

91

92

93

94

95

96

97

98

99

100

응용지질기사 필기 기출문제(해설) 및 CBT 2006년03월05일을 이용해 주셔서 감사합니다.
, 필기, 기출문제, 전자문제집, CBT, 온라인, 모의테스트, 모의고사



List of Articles
번호 제목 글쓴이 날짜 조회 수
1939 응용지질기사 필기 기출문제(해설) 및 CBT 2011년08월21일(9994) new 좋은아빠되기 2025.10.07 0
1938 응용지질기사 필기 기출문제(해설) 및 CBT 2014년05월25일(9995) new 좋은아빠되기 2025.10.07 0
» 응용지질기사 필기 기출문제(해설) 및 CBT 2006년03월05일(9996) new 좋은아빠되기 2025.10.07 0
1936 응용지질기사 필기 기출문제(해설) 및 CBT 2008년07월27일(9998) new 좋은아빠되기 2025.10.07 0
1935 응용지질기사 필기 기출문제(해설) 및 CBT 2010년03월07일(9999) new 좋은아빠되기 2025.10.07 0
1934 응용지질기사 필기 기출문제(해설) 및 CBT 2010년05월09일(10000) new 좋은아빠되기 2025.10.07 0
1933 토목산업기사 필기 기출문제(해설) 및 CBT 2019년04월27일(10001) new 좋은아빠되기 2025.10.07 0
1932 관광통역안내사 1교시(구) 필기 기출문제(해설) 및 CBT 2013년04월06일(10002) new 좋은아빠되기 2025.10.07 0
1931 응용지질기사 필기 기출문제(해설) 및 CBT 2013년06월02일(10004) new 좋은아빠되기 2025.10.07 0
1930 대기환경기사 필기 기출문제(해설) 및 CBT 2019년04월27일(10005) new 좋은아빠되기 2025.10.07 0
1929 소비자전문상담사 2급 필기 기출문제(해설) 및 CBT 2014년03월02일(10006) new 좋은아빠되기 2025.10.07 0
1928 소비자전문상담사 2급 필기 기출문제(해설) 및 CBT 2018년08월19일(10008) new 좋은아빠되기 2025.10.07 0
1927 응용지질기사 필기 기출문제(해설) 및 CBT 2007년08월05일(10010) new 좋은아빠되기 2025.10.07 0
1926 소비자전문상담사 2급 필기 기출문제(해설) 및 CBT 2013년03월10일(10012) new 좋은아빠되기 2025.10.07 0
1925 소비자전문상담사 2급 필기 기출문제(해설) 및 CBT 2019년04월27일(10013) new 좋은아빠되기 2025.10.07 0
1924 소비자전문상담사 2급 필기 기출문제(해설) 및 CBT 2012년08월26일(10014) new 좋은아빠되기 2025.10.07 0
1923 컨테이너크레인운전기능사 필기 기출문제(해설) 및 CBT 2016년04월02일(2회)(10015) new 좋은아빠되기 2025.10.07 0
1922 컨테이너크레인운전기능사 필기 기출문제(해설) 및 CBT 2016년07월10일(4회)(10016) new 좋은아빠되기 2025.10.07 0
1921 인간공학기사 필기 기출문제(해설) 및 CBT 2010년07월25일(10017) new 좋은아빠되기 2025.10.07 0
1920 주택관리사보 2차 필기 기출문제(해설) 및 CBT 2008년09월07일(10020) new 좋은아빠되기 2025.10.07 0
Board Pagination Prev 1 ... 467 468 469 470 471 472 473 474 475 476 ... 568 Next
/ 568