자격증 필기 기출문제



9급 국가직 공무원 수학 필기 기출문제(해설) 및 CBT 2016년04월09일(10626)

최강 자격증 기출문제 전자문제집 CBT : www.comcbt.com


전자문제집 CBT란?

종이 문제집이 아닌 인터넷으로 문제를 풀고 자동으로 채점하며 모의고사, 오답 노트, 해설까지 제공하는
무료 기출문제 학습 프로그램으로 실제 상설검정에서 사용하는 OMR 형식의 CBT를 제공합니다.


최신 9급 국가직 공무원 수학 필기 기출문제 : [다운로드]

1. 정적분 의 값은?
     1. 4/3
     2. 2
     3. 8/3
     4. 10/3

     정답 : []
     정답률 : 64%

2. 일 때, 상수 a, b의 합 a+b의 값은?
     1. 2
     2. 4
     3. 6
     4. 8

     정답 : []
     정답률 : 73%

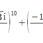
3. 등식 를 만족하는 실수 x, y에 대하여 xy의 값은? (단, i = √-1 )
     1. 1
     2. 2
     3. 3
     4. 6

     정답 : []
     정답률 : 64%

4. 좌표평면 위의 점 A(1, 3)을 지나는 직선이 원 x2+y2+2x+4y+1=0 과 접하는 점을 T라 할 때, 의 길이는?
     1.
     2.
     3. 5
     4.

     정답 : []
     정답률 : 알수없음

5. 어느 고등학교에서는 전체 학생의 20%가 자전거를 타고 등교한다고 한다. 이 학교 학생 중 100명을 임의로 뽑아 등교 수단을 조사할 때, 자전거를 타고 등교하는 학생의 수를 확률변수 X라 하자. X의 표준편차는?
     1. 4
     2. 10
     3. 16
     4. 20

     정답 : []
     정답률 : 30%

6. 이차방정식 f(x)=0 의 두 근의 합이 8일 때, 이차방정식 f(3x-2)=0 의 두 근의 합은?
     1. 1
     2. 2
     3. 3
     4. 4

     정답 : []
     정답률 : 47%

7. 두 집합 A, B는 공집합이 아니고 다음 조건을 만족시킨다. 두 집합 A, B의 순서쌍 (A, B)의 개수는?

   

     1. 29
     2. 30
     3. 31
     4. 32

     정답 : []
     정답률 : 20%

8. 두 조건 , 에 대하여 p가 q이기 위한 충분조건일 때, 실수 a의 최댓값은? (단, a < 0)
     1. -1
     2. -2
     3. -3
     4. -4

     정답 : []
     정답률 : 알수없음

9. 주사위를 던져 3의 배수의 눈이 나오면 동쪽으로 1m 직진하고, 3의 배수가 아닌 눈이 나오면 북쪽으로 1m 직진한다고 하자. 이 규칙에 따라 주사위를 던지는 시행을 4회 반복할 때, 처음 위치로부터 거리가 3m 이하일 확률은?
     1. 5/27
     2. 2/9
     3. 7/27
     4. 8/27

     정답 : []
     정답률 : 알수없음

10. 두 함수 f(x)=x4+x3+x2+k, g(x)=x3-x2+3 에 대하여 방정식 f(x)=g(x)가 구간 (0, 1)에서 적어도 하나의 실근을 갖도록 하는 정수 k의 개수는?
     1. 1
     2. 2
     3. 3
     4. 4

     정답 : []
     정답률 : 42%

11. 등식 x4+ax+b = (x+√2)(x-√3)P(x)+√6 이 x에 대한 항등식일 때 상수 a의 값은? (단, b는 상수, P(x)는 다항식)
     1. -5(√3+√2)
     2. -5(√3-√2)
     3. 5(√3-√2)
     4. 5(√3+√2)

     정답 : []
     정답률 : 55%

12. 두 함수 f와 g는 모두 역함수가 존재하고 f(2x+1)=g(x+3) 이다. f-1(5) = 3 일 때, g-1(5) 의 값은?
     1. 1
     2. 2
     3. 3
     4. 4

     정답 : []
     정답률 : 50%

13. 연속확률변수 X의 확률밀도함수가 f(x) = ax+1(0 ≤ x ≤ 2) 일 때, 상수 a의 값은?
     1. -1
     2.
     3.
     4. 1

     정답 : []
     정답률 : 60%

14. 함수 의 그래프의 점근선의 방정식이 x=1, y=-2 이고 f(2)=3 이다. 상수 a, b, c의 곱 abc의 값은?
     1. 14
     2. 16
     3. 18
     4. 20

     정답 : []
     정답률 : 80%

15. log23 = a, log35 = b 라 할 때 log1580을 a, b로 바르게 나타낸 것은?
     1.
     2.
     3.
     4.

     정답 : []
     정답률 : 55%

16. 자연수 n에 대하여 두 직선 x=n, x=n+1 이 곡선 y=√x 와 만나는 점을 각각 An, Bn 이라 하자. 그림과 같이 선분 AnBn을 대각선으로 하고 변이 축에 평행한 직사각형의 넓이를 Sn이라 할 때, 의 값은?

    

     1. 9
     2. 10
     3. 11
     4. 12

     정답 : []
     정답률 : 63%

17. 닫힌 구간 [0, 1]에서 함수 f(x) = px2-2x+q 의 최솟값이 1일 때, 상수 p, q의 합 p+q의 값은? (단, 0 < p < 1)
     1. 3
     2. 7/2
     3. 4
     4. 9/2

     정답 : []
     정답률 : 50%

18. 함수 f(x) = x4-4x3+2ax2 이 극댓값을 갖지 않을 때, 정수 a의 최솟값은?(문제 오류로 실제 시험에서는 모두 정답처리 되었습니다. 여기서는 1번을 누르면 정답 처리 됩니다.)
     1. -3
     2. -2
     3. 2
     4. 3

     정답 : []
     정답률 : 55%

19. 어느 학급 학생을 대상으로 세 영화 A, B, C의 관람 여부를 조사하였더니 A영화를 관람한 학생이 10명, B영화를 관람한 학생이 9명, C영화를 관람한 학생이 11명이고, 이 중 A와 B 두 영화만 관람한 학생이 2명, 세 영화를 모두 관람한 학생이 5명이었다. C영화만 관람한 학생의 수의 최솟값은?
     1. 1
     2. 2
     3. 3
     4. 4

     정답 : []
     정답률 : 60%

20. 두 수열 {an}, {bn} 이 다음과 같다. 10 이하인 두 자연수 m, n에 대하여 am+bn 이 3의 배수인 순서쌍 (am, bn)의 개수는?

    

     1. 30
     2. 35
     3. 40
     4. 45

     정답 : []
     정답률 : 28%


정 답 지

1

2

3

4

5

6

7

8

9

10

11

12

13

14

15

16

17

18

19

20

9급 국가직 공무원 수학 필기 기출문제(해설) 및 CBT 2016년04월09일을 이용해 주셔서 감사합니다.
, 필기, 기출문제, 전자문제집, CBT, 온라인, 모의테스트, 모의고사



List of Articles
번호 제목 글쓴이 날짜 조회 수
10038 9급 국가직 공무원 국어 필기 기출문제(해설) 및 CBT 2013년07월27일(10644) 좋은아빠되기 2025.10.08 0
10037 9급 국가직 공무원 국어 필기 기출문제(해설) 및 CBT 2012년04월07일(10643) 좋은아빠되기 2025.10.08 0
10036 9급 국가직 공무원 국어 필기 기출문제(해설) 및 CBT 2011년04월09일(10642) 좋은아빠되기 2025.10.08 0
10035 9급 국가직 공무원 국어 필기 기출문제(해설) 및 CBT 2010년04월10일(10641) 좋은아빠되기 2025.10.08 0
10034 9급 국가직 공무원 국어 필기 기출문제(해설) 및 CBT 2009년04월11일(10640) 좋은아빠되기 2025.10.08 0
10033 9급 국가직 공무원 국어 필기 기출문제(해설) 및 CBT 2008년04월12일(10639) 좋은아빠되기 2025.10.08 0
10032 9급 국가직 공무원 국어 필기 기출문제(해설) 및 CBT 2007년04월14일(10638) 좋은아빠되기 2025.10.08 0
10031 리눅스마스터 2급 필기 기출문제(해설) 및 CBT 2019년09월21일(10637) 좋은아빠되기 2025.10.08 1
10030 리눅스마스터 1급 필기 기출문제(해설) 및 CBT 2019년09월21일(10636) 좋은아빠되기 2025.10.08 1
10029 인간공학기사 필기 기출문제(해설) 및 CBT 2014년03월02일(10635) 좋은아빠되기 2025.10.08 0
10028 9급 국가직 공무원 과학 필기 기출문제(해설) 및 CBT 2019년04월06일(10634) 좋은아빠되기 2025.10.08 0
10027 9급 국가직 공무원 과학 필기 기출문제(해설) 및 CBT 2018년04월07일(10633) 좋은아빠되기 2025.10.08 0
10026 9급 국가직 공무원 과학 필기 기출문제(해설) 및 CBT 2016년04월09일(10632) 좋은아빠되기 2025.10.08 0
10025 9급 국가직 공무원 과학 필기 기출문제(해설) 및 CBT 2015년04월18일(10631) 좋은아빠되기 2025.10.08 0
10024 9급 국가직 공무원 과학 필기 기출문제(해설) 및 CBT 2014년04월19일(10630) 좋은아빠되기 2025.10.08 0
10023 9급 국가직 공무원 과학 필기 기출문제(해설) 및 CBT 2013년07월27일(10629) 좋은아빠되기 2025.10.08 0
10022 9급 국가직 공무원 수학 필기 기출문제(해설) 및 CBT 2019년04월06일(10628) 좋은아빠되기 2025.10.08 0
10021 9급 국가직 공무원 수학 필기 기출문제(해설) 및 CBT 2018년04월07일(10627) 좋은아빠되기 2025.10.08 0
» 9급 국가직 공무원 수학 필기 기출문제(해설) 및 CBT 2016년04월09일(10626) 좋은아빠되기 2025.10.08 0
10019 9급 국가직 공무원 수학 필기 기출문제(해설) 및 CBT 2015년04월18일(10625) 좋은아빠되기 2025.10.08 0
Board Pagination Prev 1 ... 277 278 279 280 281 282 283 284 285 286 ... 783 Next
/ 783