자격증 필기 기출문제



9급 국가직 공무원 전기기기 필기 기출문제(해설) 및 CBT 2015년04월18일(10673)

최강 자격증 기출문제 전자문제집 CBT : www.comcbt.com


전자문제집 CBT란?

종이 문제집이 아닌 인터넷으로 문제를 풀고 자동으로 채점하며 모의고사, 오답 노트, 해설까지 제공하는
무료 기출문제 학습 프로그램으로 실제 상설검정에서 사용하는 OMR 형식의 CBT를 제공합니다.


최신 9급 국가직 공무원 전기기기 필기 기출문제 : [다운로드]

1. 자여자 직류발전기에서 회전속도가 빨라지면 일어나는 현상으로 옳지 않은 것은?
     1. 리액턴스 전압이 작아진다.
     2. 정류 특성이 부족 정류로 바뀔 수 있다.
     3. 계자회로의 절연이 파괴될 수 있다.
     4. 정류자와 브러시 사이에 불꽃이 발생할 수 있다.

     정답 : []
     정답률 : 58%
     <문제 해설>
VL=L*(2Ic/Tc)
회전속도가 빨라지면 Tc 감소
VL 증가 -> 정류불량의 원인
1. 리액턴스 전압 증가
[해설작성자 : 공시돌이]

2. 자동제어 장치에 쓰이는 서보 모터의 특성으로 옳지 않은 것은?
     1. 발생 토크는 입력 신호에 비례하고 그 비가 크다.
     2. 빈번한 시동, 정지, 역전 등의 가혹한 상태를 견뎌야 한다.
     3. 시동 토크는 크나, 회전부의 관성 모멘트와 전기적 시정수가 작다.
     4. 직류 서보 모터에 비하여 교류 서보 모터의 시동 토크가 매우 크다.

     정답 : []
     정답률 : 79%

3. 동일 정격인 동기기에서 단락비가 큰 기계에 대한 설명으로 옳지 않은 것은?
     1. 극수가 적은 고속기이다.
     2. 과부하 내량이 크고 안정도가 좋다.
     3. 기계의 형태와 중량이 크고 가격이 비싸다.
     4. 전압 변동률이 작고 송전선 충전 용량이 크다.

     정답 : []
     정답률 : 85%

4. 동일한 전압의 전원에 대해 60[Hz]용 변압기를 50[Hz] 전원에 사용할 경우 발생하는 현상으로 옳은 것은?
     1. 철심의 단면적을 1/1.2배로 감소시켜도 동일한 변압 특성을 얻을 수 있다.
     2. 자속밀도가 1.2배로 증가하여 변압기의 자속이 포화될 수 있다.
     3. 변압기 철심의 온도가 낮아진다.
     4. 가청 소음이 감소한다.

     정답 : []
     정답률 : 68%

5. 동일한 단상 변압기 2대를 이용하여 V결선한 변압기의 전부하 시 출력은 10[kVA]이다. 동일한 단상 변압기 1대를 추가하여 △결선한 경우의 정격출력[kVA]은?
     1. 10/√3
     2. 10
     3. 15
     4. 10√3

     정답 : []
     정답률 : 80%

6. 정격출력 15 [kW], 정격전압 200 [V]의 타여자 직류발전기가 있다. 전기자 권선저항 0.08 [Ω], 브러시 전압강하 2 [V]라 하면 이 발전기의 전압 변동률[%]은? (단, 발전기의 회전수, 여자전류는 부하의 대소에 관계없이 일정하다)
     1. 2
     2. 3
     3. 4
     4. 5

     정답 : []
     정답률 : 70%

7. 전부하 슬립 2[%], 1상의 저항 0.1[Ω]인 3상 권선형 유도전동기의 기동 토크를 전부하 토크와 같게 하기 위하여 슬립링을 통해 2차 회로에 삽입해야 하는 저항[Ω]은?
     1. 4.7
     2. 4.8
     3. 4.9
     4. 5.0

     정답 : []
     정답률 : 81%

8. 수동부하 계통에서 전동기와 부하의 속도-토크 특성에 대한 설명으로 옳지 않은 것은? (단, TM:전동기토크, TL:부하토크, n:운전점에서의 속도이다)
     1. TM > TL 조건에서 가속 작용이 일어난다.
     2. TM=TL 조건에서 정속도 운전이 이루어진다.
     3. 가속 토크는 전동기-부하 계통의 관성 모멘트에 비례한다.
     4. 전동기와 부하의 속도-토크 곡선의 교점에서 안정운전이 이루어지기 위해서는 을 만족하여야 한다.

     정답 : []
     정답률 : 84%

9. 정격전압 300 [V], 전부하 전류 30 [A], 전기자 저항 0.3 [Ω]인 직류 분권전동기가 있다. 이 전동기에 정격전압을 인가하여 기동시킬 때, 기동전류를 정격전류의 2배로 제한하고자 하는 경우 전기자 회로에 연결해야 할 저항[Ω]은? (단, 계자전류는 무시한다)
     1. 4.4
     2. 4.7
     3. 5.3
     4. 5.6

     정답 : []
     정답률 : 72%

10. 전원 전압이 단상 220[V]/60[Hz]인 사이리스터(SCR) 4개로 구성된 단상 전파 위상제어 정류회로에 5[Ω]의 순저항부하가 연결되어 있다. 이 사이리스터의 지연각(점호각) α=30°일 때, 출력전류의 평균값을 구하는 식으로 옳은 것은?
     1.
     2.
     3.
     4.

     정답 : []
     정답률 : 69%

11. 신재생에너지 중 풍력발전기에 사용되는 전기기기에 대한 설명으로 옳은 것은?
     1. 동기발전기는 유효전력 제어만 가능하다.
     2. 권선형 유도발전기는 슬립링이 필요 없어 구조가 견고하다.
     3. 영구자석형 동기발전기의 경우 모든 속도 영역에서 발전이 가능하다.
     4. 권선형 유도발전기는 축의 회전 속도를 낮추기 위해 감속 기어가 필요하다.

     정답 : []
     정답률 : 56%

12. 4극, 60 [Hz]의 3상 유도전동기가 1740 [rpm]으로 회전할 때, 회전자에 흐르는 전류의 주파수[Hz]는?
     1. 1
     2. 2
     3. 3
     4. 6

     정답 : []
     정답률 : 90%

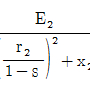
13. 3상 동기전동기의 최대 출력에 대한 설명으로 옳지 않은 것은? (단, 고정자의 저항은 무시한다)
     1. 인가전압에 비례
     2. 역기전력에 비례
     3. 계자전류에 비례
     4. 동기리액턴스에 비례

     정답 : []
     정답률 : 75%

14. 임의로 설계된 동기발전기가 있다. 이 발전기의 모든 설계 사양은 동일하게 유지하면서 철심의 단면적을 증가시킬 경우 동기발전기의 출력 특성 변화로 옳은 것은?
     1. 전기자 반작용의 영향이 커진다.
     2. 백분율 동기임피던스가 커진다.
     3. 과부하 대응 능력이 커진다.
     4. 전압 변동률이 커진다.

     정답 : []
     정답률 : 64%
     <문제 해설>
자속=전속밀도*단면적
그러므로 주자속이 증가-> 전기자반작용 감소-> 단락비가 크다-> 동기임피던스가 작다-> 전압변동률도 작다-> 안정하다
[해설작성자 : 공시돌이]

15. 변압기의 단락시험과 관계없는 것은?
     1. 전압 변동률
     2. 여자 어드미턴스
     3. 임피던스 와트
     4. 임피던스 전압

     정답 : []
     정답률 : 74%

16. 정격전압 200 [V]인 타여자 직류전동기에 계자전류 1 [A]와 전기자 전류 50 [A]가 흘러서 4 [Nㆍm]의 토크가 발생되고 있다. 계자 전류를 1.25 [A]로, 전기자전류를 80 [A]로 증가시킬 경우 전동기에 발생하는 토크[Nㆍm]는? (단, 전기자 반작용 및 자기포화는 무시한다)
     1. 2.5
     2. 5.0
     3. 6.4
     4. 8.0

     정답 : []
     정답률 : 53%

17. 변압기 자기회로 재료로 가장 적합한 B-H 곡선의 특성으로 옳은 것은? (순서대로 보자력, 비투자율)
     1. 작다, 작다
     2. 크다, 작다
     3. 작다, 크다
     4. 크다, 크다

     정답 : []
     정답률 : 65%
     <문제 해설>
전자석은 보자력은 작게 잔류자기는 크게
영구자석은 보자력도 크게 잔류자기도 크게
[해설작성자 : 공시돌]

18. 3상 유도기의 동작 모드에 대한 설명으로 옳은 것은?
     1. 회생제동의 경우 운동에너지는 전원측으로 공급되며 슬립이 0보다 작다.
     2. 역상제동의 경우 고정자 회전자계는 회전자 운동방향과 동일하다.
     3. 전동기로 작용하는 경우 회전자 속도는 동기속도보다 빠르다.
     4. 발전기로 작용하는 경우 회전자 속도는 동기속도보다 느리다.

     정답 : []
     정답률 : 72%
     <문제 해설>
회생제동: 운동에너를 전기에너지로 변화하여서 이것을 전원으로 반환해 제동
역상제동: 회전중인 전동기의 1차권선 3단자 중 임의의 2단자의 접속을 바꾸어 회전방향과 반대방향으로 토크발생시켜 급속제동
발전제동: 전동기를 전원에서 분리 후 1차측에 직류전원을 공급하여 발전기로 동작시킨후 발생전력을 저항에서 열로 소비
[해설작성자 : 공시돌이]

19. 전력용 반도체로 이용되는 사이리스터(SCR)에 대한 설명으로 옳지 않은 것은?(오류 신고가 접수된 문제입니다. 반드시 정답과 해설을 확인하시기 바랍니다.)
     1. 한번 턴-온 되면 항상 온 상태를 유지하는 래치형 소자이다.
     2. 순방향 전압을 인가하여도 제어 신호를 주지 않으면 턴-온 되지 않는 특성을 가지고 있다.
     3. 사이리스터를 꺼지게 할 때 게이트에 역전압을 인가하여 소호하는 것을 강제 전류(forced commutation)라고 한다.
     4. 게이트 전류를 가하여 도통 완료 시까지의 시간을 턴-온 시간이라고 하며 이 시간이 길면 소자가 파괴되는 수가 있다.

     정답 : []
     정답률 : 26%
     <문제 해설>
아래와 같은 오류 신고가 있었습니다.
여러분들의 많은 의견 부탁 드립니다.
추후 여러분들의 의견을 반영하여 정답을 수정하도록 하겠습니다.
참고로 정답 변경은 오류 신고 5회 이상일 경우 수정합니다.

[오류 신고 내용]
정답의 오류가 있습니다. 답은 1 -> 3번으로 고쳐야합니다. SCR은 애당초 소호를 할 수 없는 소자이고 강제 전류는 A(애노드)와 K(캐소드)에 역전류를 인가하여 소호하는 방식입니다. 그리고 선지 1, 2, 4은 모두 맞는 이야기입니다.
[해설작성자 : 전기직 공무원]

[추가 오류 신고]
다산 교재에 3번이라고 답 나오네요
[해설작성자 : 22]

[관리자 입니다.
문제지 사진원본 확인해 봤는데
정답은 1번이네요.
다른 문제집 확인 가능한분 계시면 확인 부탁 드립니다.
신고시 출판사명까지 기제 부탁 드립니다.]

20. 변압기를 사용한 DC-DC 컨버터에서 직류 초퍼 회로의 역할로 옳은 것은?
     1. 시간적으로 변하는 전압이나 전류를 얻기 위해
     2. 외부로부터 서지 전압의 침입을 막기 위해
     3. 1차측과 2차측의 안전을 위해
     4. 에너지 효율을 올리기 위해

     정답 : []
     정답률 : 59%


정 답 지

1

2

3

4

5

6

7

8

9

10

11

12

13

14

15

16

17

18

19

20

9급 국가직 공무원 전기기기 필기 기출문제(해설) 및 CBT 2015년04월18일을 이용해 주셔서 감사합니다.
, 필기, 기출문제, 전자문제집, CBT, 온라인, 모의테스트, 모의고사



List of Articles
번호 제목 글쓴이 날짜 조회 수
» 9급 국가직 공무원 전기기기 필기 기출문제(해설) 및 CBT 2015년04월18일(10673) 좋은아빠되기 2025.10.08 0
10065 9급 국가직 공무원 전기기기 필기 기출문제(해설) 및 CBT 2014년04월19일(10672) 좋은아빠되기 2025.10.08 0
10064 9급 국가직 공무원 전기기기 필기 기출문제(해설) 및 CBT 2013년07월27일(10671) 좋은아빠되기 2025.10.08 0
10063 9급 국가직 공무원 전기기기 필기 기출문제(해설) 및 CBT 2012년04월07일(10670) 좋은아빠되기 2025.10.08 0
10062 9급 국가직 공무원 전기기기 필기 기출문제(해설) 및 CBT 2011년04월09일(10669) 좋은아빠되기 2025.10.08 0
10061 9급 국가직 공무원 전기기기 필기 기출문제(해설) 및 CBT 2010년04월10일(10668) 좋은아빠되기 2025.10.08 0
10060 9급 국가직 공무원 전기기기 필기 기출문제(해설) 및 CBT 2009년04월11일(10667) 좋은아빠되기 2025.10.08 0
10059 9급 국가직 공무원 전기기기 필기 기출문제(해설) 및 CBT 2008년04월12일(10666) 좋은아빠되기 2025.10.08 0
10058 건설안전기사 필기 기출문제(해설) 및 CBT 2019년09월21일(10665) 좋은아빠되기 2025.10.08 0
10057 에너지관리산업기사 필기 기출문제(해설) 및 CBT 2019년09월21일(10664) 좋은아빠되기 2025.10.08 0
10056 침투비파괴검사기사 필기 기출문제(해설) 및 CBT 2019년09월21일(10663) 좋은아빠되기 2025.10.08 0
10055 주택관리사보 2차 필기 기출문제(해설) 및 CBT 2016년10월15일(10662) 좋은아빠되기 2025.10.08 0
10054 인간공학기사 필기 기출문제(해설) 및 CBT 2009년03월01일(10661) 좋은아빠되기 2025.10.08 0
10053 인터넷정보관리사 2급 필기 기출문제(해설) 및 CBT 2019년09월21일(10659) 좋은아빠되기 2025.10.08 1
10052 인간공학기사 필기 기출문제(해설) 및 CBT 2011년03월20일(10658) 좋은아빠되기 2025.10.08 0
10051 9급 국가직 공무원 형사소송법 필기 기출문제(해설) 및 CBT 2019년04월06일(10657) 좋은아빠되기 2025.10.08 0
10050 9급 국가직 공무원 형사소송법 필기 기출문제(해설) 및 CBT 2018년04월07일(10656) 좋은아빠되기 2025.10.08 0
10049 9급 국가직 공무원 형사소송법 필기 기출문제(해설) 및 CBT 2017년04월08일(10655) 좋은아빠되기 2025.10.08 0
10048 9급 국가직 공무원 형사소송법 필기 기출문제(해설) 및 CBT 2016년04월09일(10654) 좋은아빠되기 2025.10.08 0
10047 9급 국가직 공무원 형사소송법 필기 기출문제(해설) 및 CBT 2015년04월18일(10653) 좋은아빠되기 2025.10.08 0
Board Pagination Prev 1 ... 267 268 269 270 271 272 273 274 275 276 ... 775 Next
/ 775