자격증 필기 기출문제



의공산업기사 필기 기출문제(해설) 및 CBT 2010년05월09일(11121)

최강 자격증 기출문제 전자문제집 CBT : www.comcbt.com


전자문제집 CBT란?

종이 문제집이 아닌 인터넷으로 문제를 풀고 자동으로 채점하며 모의고사, 오답 노트, 해설까지 제공하는
무료 기출문제 학습 프로그램으로 실제 상설검정에서 사용하는 OMR 형식의 CBT를 제공합니다.


최신 의공산업기사 필기 기출문제 : [다운로드]

1과목 : 기초의학 및 의공학


1. 일회용 금속판 전극(disposable electrode)에 대한 설명으로 옳은 것은?
     1. 피부에 고정하기 위한 고무 밴드가 필요하다.
     2. 움직임에 의한 잡음(동잡음)이 크다.
     3. 피부에 부착하는 전극이다.
     4. 금속은 아연판이 사용된다.

     정답 : []
     정답률 : 84%

2. 심장 전도계에서 전기 자극의 전달 순서로 옳은 것은?
     1. 방실결절 → His 번들 → 퍼킨제 섬유 → 동방결절
     2. His 번들 → 퍼킨제 섬유 → 동방결절 → 방실결절
     3. 퍼킨제 섬유 → 동방결절 → 방실결절 → His 번들
     4. 동방결절 → 방실결절 → His 번들 → 퍼킨제 섬유

     정답 : []
     정답률 : 96%

3. 온도 측정 센서가 아닌 것은?
     1. 금속저항온도계
     2. 서미스터
     3. 스트레인게이지
     4. 열전대

     정답 : []
     정답률 : 79%

4. 다음 중 신장의 기능으로 볼 수 없는 것은?
     1. 혈압조절
     2. 산∙염기 평형유지
     3. 당원질 합성 및 분해
     4. 체액 및 전해질 조절

     정답 : []
     정답률 : 81%

5. Ag-AgCI (은-염화은)전극에 대한 설명으로 틀린 것은?
     1. 정상 동작을 위해서는 전해질이 필요하다.
     2. 은 위에 염화은이 코팅된 형태이다.
     3. 장기간 재사용에 적합하다.
     4. 비분극헝 (nonpolarizable) 전극이다.

     정답 : []
     정답률 : 82%

6. 유도성 센서의 동작원리가 아닌 것은?
     1. 자기저항
     2. 상호유도
     3. 정전용량
     4. 차동변환기

     정답 : []
     정답률 : 48%

7. 흡입하는 산소의 농도를 표시하는 흡입산소분율을 의미하는 것은?
     1. PT
     2. ph
     3. FiO2
     4. WBC

     정답 : []
     정답률 : 90%

8. 혈류의 국소 조절 물질 중 큰 동맥은 수축시키고 소혈관은 확장시키는 것은?
     1. 노르에피네프린
     2. 아세틸콜린
     3. 히스타민
     4. 브라디키닌

     정답 : []
     정답률 : 74%

9. 다음 그림과 같은 전극에서 피부와 접촉하는 부분은?

   

     1. Ⓐ 부분
     2. Ⓑ 부분
     3. Ⓒ 부분
     4. Ⓓ 부분

     정답 : []
     정답률 : 94%

10. 다음 중 변위를 측정할 수 있는 센서는?
     1. 탄성게이지
     2. 압전센서
     3. 서미스터
     4. 선헝가변차동변환기

     정답 : []
     정답률 : 75%

11. 대장의 일부인 결장(colon)의 4부분에 해당하지 않는 것은?
     1. 상행결장
     2. 횡행결장
     3. S상결장
     4. 중앙결장

     정답 : []
     정답률 : 75%

12. 감각 순응(sensory adaptation)에 대한 설명으로 옳은 것은?
     1. 통각과 압각은 쉽게 순응된다.
     2. 계속적인 자극은 어떤 기간 동안 수용기의 역치를 감소시킨다.
     3. 환경의 유용한 정보라고 할 수 있는 변화에 주의를 줄수 있는 장점이 있다.
     4. 일정한 자극에 지속적으로 노출되면 자극에 대한 민감도가 강해지는 현상을 말한다.

     정답 : []
     정답률 : 67%

13. 동일한 크기의 강도 자극이 반복적으로 주어질 때,탈분극의 크기를 줄여 활동전위 발생 횟수를 줄이는 작용은?
     1. 확산 (diffusion)
     2. 순응 (adaptation)
     3. 전도 (propagation)
     4. 기외수축 (extrasystle)

     정답 : []
     정답률 : 81%

14. 의용생체 센서가 갖추어야 할 조건 중 입력의 변화에 대한 출력의 변화가 일정한 비례 관계를 가져야 함을 뜻하는 특성은?
     1. 높은 감도
     2. 안정성
     3. 선형성
     4. 생체적합성

     정답 : []
     정답률 : 92%

15. 다응은 피부표면에 부착된 전극의 전기적 등가회로에서 전극-페이스트 경계면의 등가회로를 나타낸 것이다. 이에 대한 설명으로 옳지 않은 것은?

    

     1. Ehc는 전극표면에 나타나는 반전지 전위 (half-cell potential) 를 의미한다.
     2. Rd와 Cd는 전극-전해질 경계면에서의 작용과 분극 (polarization) 에 의한 저항과 리액턴스 성분을 나타낸다.
     3. 고주파대역 (1/wC≪Rd) 에서 전체 등가 임피던스는 Rs로 증가하게 된다.
     4. 저주파대역 (1/wC≫Rd)에서 전체 등가 임피던스는 거의 Rs + Rd가 된다.

     정답 : []
     정답률 : 70%

16. 다음은 해부학적 방향에 대한 용어 설명이다. 해당되는 방향은?

    

     1. 정중면 (median plane)
     2. 전두면(frontal plane)
     3. 시상면 (sagittal plane)
     4. 횡단면 (transverse plane)

     정답 : []
     정답률 : 85%

17. 세포내 구조인 미토콘드리아(mitochondria) 의 역할은?
     1. 영양소로부터 에너지를 추출하는 역할
     2. 독성 물질을 해독하는 등의 세포 보호기능 역할
     3. 여러 세포소기관들과 상호작용을 통하여 단백질을 합성하는 역할
     4. 소화효소를 함유하여 노화된 세포소기관이나 부스러기 같은 물질들을 분해하는 역할

     정답 : []
     정답률 : 82%

18. 신경 세포막의 흥분에 관한 설명 중 틀린 것은?
     1. 흥분상태의 신경 세포 내부는 양 이온(+)을띠고 있다.
     2. 휴지기에도 세포막 내외의 극성차이가 있다.
     3. 활동전위 때는 일종의 전기화학적 반응이 일어난다.
     4. 역치전위란 K+ 이온이 세포막으로 들어온 상태이다.

     정답 : []
     정답률 : 75%

19. 광 센서 관련 기술 중 표면 플라즈몬 공명(surface plasmon resonance)에 대한 설명으로 틀린 것은?
     1. 표면 플라즈몬은 금속박막 표면에서 일어나는 전자들의 집단적인 진동현상을 말한다.
     2. 표면 플라즈몬파는 금속과 이에 인접한 유전물질의 경계면을 따라 진행하는 표면 전자기파이다.
     3. 표면 플라즈몬 공명은 굴절률의 변화를 측정하여 생체 물질의 상호작용을 인지할 수 있다.
     4. 표면 플라즈몬 공영법은 형광물질과 같은 별도의 표지 물질이 필요하다.

     정답 : []
     정답률 : 66%

20. 다음의 센서는 빛이 들어오지 않았을 때는 OA의 전류(I)가 발생하고, 10mW/cm2의 빛이 들어왔을 때는 0.5㎂의 전류가 발생한다. RF = 10kΩ일때. 10mW/cm2의 빛이 센서에 가해졌다면 출력전압은?

    

     1. 5mV
     2. -5mV
     3. 0. 1V
     4. -0.1V

     정답 : []
     정답률 : 68%

2과목 : 의용전자공학


21. 국내에서 생체계측 중 심전도 측정에서 주위 환경의 교류 자장에 의한 영향으로 발샘하는 잡음전압의 주파수로서 대표적인 것은?
     1. 10Hz
     2. 60Hz
     3. 100Hz
     4. 220Hz

     정답 : []
     정답률 : 69%

22. 호를기의 기능평가 중 “폐 내에서 공기가 폐포간에 균형 있게 분포하는 기능”에 대한 평가기능은?
     1. 환기능
     2. 분포능
     3. 확산능
     4. 피폭능

     정답 : []
     정답률 : 84%

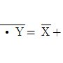
23. 그림과 같은 카르노맵의 가장 간단한 논리식은?

    

     1. A
     2. B
     3. C
     4. D

     정답 : []
     정답률 : 90%

24. 어느 일정시간 동안의 전기에너지 총량은?
     1. 전압
     2. 전류량
     3. 저항
     4. 전력량

     정답 : []
     정답률 : 79%

25. 2진수 (110101)2의 10진수 값은?
     1. 50
     2. 53
     3. 60
     4. 63

     정답 : []
     정답률 : 93%

26. 생체계측 측정시스템에서 접지(ground)의 목적이 아닌 것은?
     1. 전기기구에서 발생될 수 있는 위험한 전압으로부터 사람을 보호하기 위해서
     2. 과도 현상에 의한 장비의 오동작이나 손상을 방지하기 위해서
     3. 전자시스템으로 결합된 잡음을 감소시키기 위해서
     4. 증폭기에서 생성된 전류를 입력단자로 연결하기 위해서

     정답 : []
     정답률 : 73%

27. 그림과 같은 회로에서 단자 a와 b사이의 전위차는? (단, R1=2Ω, R2=1Ω, R3=2Ω, R4=2Ω이며, 전압은 12V 이다.)

    

     1. 1[V]
     2. 2[V]
     3. 3[V]
     4. 4[V]

     정답 : []
     정답률 : 70%

28. 다음의 심전도(ECG) 파헝 중 발생 원리가 다른 것은?
     1. P파
     2. Q파
     3. T파
     4. R파

     정답 : []
     정답률 : 72%

29. 부궤환 증폭기의 특징으로 옳지 않은 것은?
     1. 주파수 특성이 개선된다.
     2. 입출력 임피던스의 조절이 가능하다.
     3. 진폭 및 위상 일그러짐이 증가한다.
     4. 내부잡음(S/N비)이 감소한다.

     정답 : []
     정답률 : 71%

30. 다음 중 생체전기신호에 해당되지 않는 것은?
     1. 심음도
     2. 근전도
     3. 뇌전도
     4. 심전도

     정답 : []
     정답률 : 98%

31. 면적 S(m2), 간격 d(m)인 평행판 콘덴서에 전압 V[V]의 직류전압을 인가했을 때 두 극판사이의 전계 E[V/m]를 표현한 식은?
     1. E=Vd
     2. E=V/d
     3. E=V/Sd
     4. E=Vd/S

     정답 : []
     정답률 : 80%

32. 입주력기의 180° 미만에서 도통되도록 바이어스 되며, 전력증폭기로의 효율이 가장 좋은 것은?
     1. A급 증폭기
     2. B급 증폭기
     3. AB급 증폭기
     4. C급 증폭기

     정답 : []
     정답률 : 80%

33. 다양한 생체신호 측정에 대한 설명으로 틀린 것은?
     1. 심자도와 뇌자도는 생화학신호를 측정하는 것이다.
     2. 심전도와 뇌전도는 생체전기신호를 측정하는 것이다.
     3. 심음계와 청진기는 생체음향신호를 측정하는 것이다.
     4. 체지방측정기는 대부분 생체임피스던스신호를 측정하는 것이다.

     정답 : []
     정답률 : 83%

34. 마이크로프로세서에서 메모리나 입출력장치들을 접속하는 신호선 집단은?
     1. 캐시(cache)
     2. 버퍼(buffer)
     3. 버스(bus)
     4. 레지스터(register)

     정답 : []
     정답률 : 89%

35. 두정부나 후두부에서 잘 나타나고, 시각 및 감각자극에 의해 억제되는 EEG파형은?
     1. 델타(Delta)파
     2. 세타(Theta)파
     3. 알파(Alpha)파
     4. 베타(Beta)파

     정답 : []
     정답률 : 77%

36. 발진회로와 가장 관계가 없는 것은?
     1. 부저항 특성
     2. 정궤환
     3. 부궤환
     4. 재생

     정답 : []
     정답률 : 47%

37. 광학적 계측시스템에서 쓰이는 광원이 아닌 것은?
     1. 텅스텐램프
     2. 레이저
     3. 아크방전
     4. 피에조크리스탈

     정답 : []
     정답률 : 80%

38. 진공 중의 구 대전체에서 반경이 r[m]일 때 전하의 분포가 일정하다고 하면 전체 전하량이 Q[C]일 때 구의 외부전계[v/m]는?
     1.
     2.
     3.
     4.

     정답 : []
     정답률 : 65%

39. 실리콘 원자의 가전자는 몇 개인가?
     1. 0
     2. 1
     3. 2
     4. 4

     정답 : []
     정답률 : 63%

40. 3Ω의 저항 3개가 병렬로 연결되어 있는 회로에 9V의 전압이 인가되면 흐르는 전전류는?
     1. 1A
     2. 3A
     3. 6A
     4. 9A

     정답 : []
     정답률 : 68%

3과목 : 의료안전ㆍ법규 및 정보


41. 의료기기 품목 및 품목별 등급에 관한 규정 중 보청기 분류에 속하지 않은 것은?
     1. 골도형 보청기
     2. 기도형 보청기
     3. 주입형 보청기
     4. 이식혈 보정기

     정답 : []
     정답률 : 41%

42. 환자의 진료 정보가 전산을 활용하여 처리되는 경우, 보안의 수준에 따라 극비사항, 민감한 정보, 기밀사항으로 다뤄질 필요가 없는 사항으로 분류할 수 있다. 다음 중 극비사항에 해당되지 않은 것은?
     1. 인구학적인 정보
     2. 정신과 진료내용
     3. 약물중독 자료
     4. 생활형태 (I ife style)

     정답 : []
     정답률 : 80%

43. 정보시스템의 자료와 자원을 효율적으로 관리하기 위한 정보보안의 속성에 해당되지 않은 것은?
     1. 무결성
     2. 기밀성
     3. 완벽성
     4. 가용성

     정답 : []
     정답률 : 76%

44. 의료기관의 개설자 또는 관리자가 진단용 방사선 장치에 대하여 검사기관의 검사를 받지 않아도 되는 경우는? (단, 의료기기 제조풍목허가 또는 수입품목허가를 받거나 중고의료기기를 수입하려는 경우 제외)
     1. 진단용 방사선 발샘장치의 전원시설을 변경하는 경우
     2. 진단용 방사선 발생장치를 설치하거나 이전하여 설처하는 경우
     3. 진단용 방사선 발생장치의 안전에 영향을 줄 수 있는 제어장치를 수리하는 경우
     4. 시험검사성적서 등을 제출하여 의료기기 품목허가를 받은 진단용 방사선 발생장치 중 이를 사용하기 전에 의료기관에 설치하여 시험검사기관의 시험검사를 받아 시험검사성적서 등을 작성한 경우

     정답 : []
     정답률 : 85%

45. 물리적인 상해나 고정 불량의 위험을 가능한 한 적게 설계하고 제작해야 하며 일정 중량을 견뎌야 하는 의료기기의 헝태는?
     1. 휴대형 기기의 부분
     2. 이동형 기기의 부분
     3. 손으로 잡는 기기의 부분
     4. 환자를 지지 고정하는 기기의 부분

     정답 : []
     정답률 : 89%

46. 병원에서 등전위 접지가 필요 없는 것은?
     1. 관상동맥환자 집중치료실
     2. 흉부 수술실
     3. 중환자실
     4. 집중치료실

     정답 : []
     정답률 : 68%

47. 컴퓨터 기반의 전자의무기록 시스멍을 도입함으로써수 있는 효과가 아닌 것은?
     1. 데이터에 대한 접근성 향상
     2. 데이터의 무결성 보장
     3. 의학 연구 및 동계 용이
     4. 환자입원일수 감소

     정답 : []
     정답률 : 79%

48. 수술용품 등에 대한 살균을 위한 의료가스로 적당한 것은?
     1. 산소
     2. 탄산
     3. 아산화질소
     4. 에틸렌옥사이드(E0)

     정답 : []
     정답률 : 91%

49. 원격의료의 응용분야와 거리가 먼 것은?
     1. 전문의가 없는 지역의 환자에 대한 진료 및 상당
     2. 예방 의학 및 환자 교육
     3. 알료의 전문화
     4. 만성질환의 관리

     정답 : []
     정답률 : 69%

50. 데이터베이스 관리 시스템의 필수 기능이 아닌 것은?
     1. 정의기능
     2. 조작기능
     3. 절차기능
     4. 제어기능

     정답 : []
     정답률 : 74%

51. 의료기기 안전성∙유효성 심사에 관한 자료 중 임상실험 성적에 관한 자료에 반드시 포함되어야 할 내용에 해당되지 는 것은?
     1. 병용요법의 유무
     2. 중례기록 요약
     3. 임상시험대상 의료기기의 제조번호
     4. 기존 다른 유사 의료기기와의 유효성 비교

     정답 : []
     정답률 : 73%

52. 다음 설명의 ( )에 들어갈 용어가 아닌 것은?

    

     1. 제조국
     2. 제품가격
     3. 제조사
     4. 품목명

     정답 : []
     정답률 : 80%

53. 인체에 접촉하는 기간에 따른 분류 중 “24시간 이상 30일 이내에 1회 혹은 반복 노출하는 의료기기”에 해당하는 것은?
     1. 제한접촉
     2. 반복접촉
     3. 지속접촉
     4. 영구접촉

     정답 : []
     정답률 : 74%

54. 의료기기로 임상시험을 하고자 할 때 임상시험을 종료한자는 임상시험계획서와 임상시험실시에 관한 기록 및 자료를 임상시험의 종료일부터 몇 년간 보존하여야 하는가?
     1. 3년
     2. 5년
     3. 10년
     4. 영구보존

     정답 : []
     정답률 : 50%

55. 다음이 설명하는 용어는?

    

     1. 임상데이터
     2. 임상시험논문
     3. 임상시험결과보고서
     4. 임상시험자료

     정답 : []
     정답률 : 56%

56. AMIA(American Medical Informatics Association)에서 제시한 의료정보학의 목표에 포함되지 않는 분야는?
     1. 환자자료의 디지털화
     2. 정보의 검색과 관리
     3. 컴퓨터 조작방법의 습득
     4. 의료사무관리

     정답 : []
     정답률 : 53%

57. 다음 중 의료인만으로 구성된 것은? (단, 관련 장관의 면허를 받은 경우임)
     1. 한의사, 치과의사, 간호사
     2. 한의사, 치과의사, 약사
     3. 치과의사, 의사, 약사
     4. 의사, 조산사, 안경사

     정답 : []
     정답률 : 76%

58. 보건과 의료에 관련된 제품들을 인증하는 미국 위생 규격은?
     1. Q 마크
     2. CE 마크
     3. NSF 마크
     4. ISO 마크

     정답 : []
     정답률 : 72%

59. 다음 학문분야 중 의료정보학의 통상적인 범위에 들어가지 않는 것은?
     1. 대수학
     2. 정보과학
     3. 기초의학
     4. 컴퓨터공학

     정답 : []
     정답률 : 86%

60. 등전위 접지에 관한 설명 중 틀린 것은?
     1. 수술실, 중환자실은 등전위 접지로 할 필요가 있다.
     2. 환자반경 2.5[m] 이내의 범위에 10[mV] 이상의 전위차가 발생되지 않도록 해야 한다.
     3. 마이크로 쇼크를 방지하기 위하여 인체에 100[mA] 이상의 전류가 흐르지 않게 하기 위한 접지방식이다.
     4. 접지점을 2-3점으로 하면 각점의 미소한 전위차로 인하여, 접지선을 매개로 하여 전류가 인체에 흘러 들어가는 위험성이 있기 때문에 등전위로 할 필요가 있다.

     정답 : []
     정답률 : 73%

4과목 : 의료기기


61. 체외충격파쇄석기의 에너지 발생원 중 세라믹 소자에 고주파를 인가하여 발생하는 초응파를 이용하는 방식은?
     1. 수중방전 (spark gap) 방식
     2. 압전소자 (piezoelectric) 방식
     3. 전자진동 (electromagnetic) 방식
     4. 미소발파 (micro explosion) 방식

     정답 : []
     정답률 : 74%

62. X-선관의 앙극에서 발생되는 X-선 총에너지에 대한 설명으로 옳은 것은?
     1. 관전류에 반비례한다.
     2. 음극의 원자번호에 비례한다.
     3. 가속전압(관전압)의 제곱에 비례한다.
     4. Aℓ필터의 두께에 반비례한다.

     정답 : []
     정답률 : 67%

63. 대동맥 내에 삽입되어 풍선의 수축과 확장에 의해 심장의 후부하를 감소시키는 기기는?
     1. VAD
     2. 원심형 혈액펌프
     3. 축류형 심실보조기
     4. IABP

     정답 : []
     정답률 : 83%

64. 청력검사의 자극음의 종류에 속하지 않는 것은?
     1. 단락음 (pulsed sound)
     2. 연속음 (continued sound)
     3. 진폭 변조응 (ampl itude modulation)
     4. 주파수 변조음 (frequency modulation)

     정답 : []
     정답률 : 66%

65. 인공호홉기 사용에 따른 부작용이 아닌 것은?
     1. 장기간 기관튜브 삽입에 따라 후두손상이 올 수 있다.
     2. 치료 대상자는 보통 저항력이 떨어져 있어 감염에 취약하다.
     3. 지속적인 양압이 가해지면 기흉이 올 수 있다.
     4. 부동성 때문에 전반적으로 근육이 강화된다.

     정답 : []
     정답률 : 85%

66. 감마카메라에 대한 설명으로 옳지 않은 것은?
     1. 성광검출기는 인체 내에서 체외로 방출되는 감마선을 감지한다.
     2. 성광검출기가 2차원적므로 배열되어 있어 2차원 영상을 얻는다.
     3. 영상을 얻기 위한 기계적 주사 (scanning) 동작이 필요 없다.
     4. 섬광결정체는 감마선을 적외선으로 바꾸어 준다.

     정답 : []
     정답률 : 52%
     <문제 해설>
섬광결정체는 감마선을 적외선으로 바꾸는 것이 아니라, 감마선을 빛(광자)으로 바꾸어 준 다음, 성광검출기가 이 빛을 감지
[해설작성자 : comcbt.com 이용자]

67. 일반적으로 환자가 참을 수 있을 정도의 전극으로 자극, 근수축을 유발하여 중추신경계환자의 재활치료에 이용하는 치료기기는?
     1. ICT
     2. SSP
     3. TENS
     4. FES

     정답 : []
     정답률 : 60%

68. 혈관속 적혈구에 적외선의 흡수량을 측정하여 정맥기능을 진단하는 방법으로 정맥 재충전시간을 재는 것은?
     1. 전자기 유량계
     2. 초음파 감지법
     3. 광혈류 측정기
     4. 전기임피던스 유랑계

     정답 : []
     정답률 : 75%

69. 인공심폐기의 특징이 아닌 것은?
     1. 산소를 공급하고 이산화탄소를 제거하는 기능을 한다.
     2. 심장과 폐의 역할을 담당한다.
     3. 심장 수술 등에 많이 사용된다.
     4. 일반적으로 좌심방에서 혈액을 뽑아 산소를 공급한 후 체순환을 시킨다.

     정답 : []
     정답률 : 65%

70. 일반인의 가청주파수 대역은?
     1. 1Hz - 20Hz
     2. 20Hz - 20kHz
     3. 20kHz - 40kHz
     4. 60kHz - 80kHz

     정답 : []
     정답률 : 73%

71. 일반적으로 사용하는 혈액투석기의 장치 요소애 해당되지 않는 것은?
     1. 투석기
     2. 항응고제
     3. 유량센서
     4. 혈관통로

     정답 : []
     정답률 : 52%

72. 각막과 망막의 전위차를 이용하여 측정하는 방법으로 안구의 움직임을 측정할 수 있는 가장 단순하고 유용한 검사기기는?
     1. 전정기능 검사기
     2. 망막 검사기
     3. 안압 검사기
     4. 검안 검사기

     정답 : []
     정답률 : 58%

73. 임시형 페이스메이커를 사용한 응급처치의 설명으로 틀린 것은?
     1. 경정맥 심박조율: 전극을 방사선 투시기를 사용애 내경정맥 등의 정맥을 통해 삽입하고 전기 자극을 전달한다.
     2. 경흉부 심박조율: 흉벽에서 조율 전극선을 직접 심실벽에 삽입하는 방법이다.
     3. 경식도 심박조율: 전극을 식도를 통해 삽입, 조율한다.
     4. 경피적 심박조율: 전극을 표피 아래층에 삽입하는 방법이며, 간단한 시술로 인해 많이 사용된다.

     정답 : []
     정답률 : 68%

74. 인공관절 사용에 따라 발생할 수 있는 문제점이 아닌 것은?
     1. 수술 후 탈구
     2. 심부 상처부위 감염
     3. 골밀도 증가
     4. 인공관절면의 마모

     정답 : []
     정답률 : 77%

75. 환자감시장치에서 적외선과 가시광선을 이용하여 동맥혈의 헤모글로빈이 산소와의 결합 백분율로 표현되는 것은?
     1. HR
     2. BP
     3. APG
     4. SpO2

     정답 : []
     정답률 : 85%

76. 제세동기 사용시 주의사항이 아닌 것은?
     1. 피로
     2. 화상
     3. 폭발
     4. 감전

     정답 : []
     정답률 : 83%

77. 체외충격파쇄기(EWSL)에 대한 설명으로 틀린 것은?
     1. 수술이나 마취가 필요하다.
     2. 비교적 빠른 시간에 수술을 마칠 수 있다.
     3. 결석이 재발할 경우 손쉽게 반복치료를 할 수 있다.
     4. 시술 후 후유증 및 합병증은 극히 드물다.

     정답 : []
     정답률 : 80%

78. 수축기 혈압이 120mmHg이고 이완기 혈압이 90mmHg로 추정되는 환자의 혈압을 오실로메트릭(osciIlometric) 측정법으로 측정할 때,압박대 (cuff)의초기 압력으로 가장 타당한 것은?
     1. 90mmHg
     2. 120mmHg
     3. 150mmHg
     4. 210mmHg

     정답 : []
     정답률 : 79%

79. 연성내시경 (flexible endoscope) 의 구성 요소가 아닌 것은?
     1. 안테나
     2. CCO(charge coupled device)
     3. 유리섬유 (glass fiber)
     4. 광원 (Iight source)

     정답 : []
     정답률 : 65%

80. 전기치료 자극기에서 신호발생기를 위한 정치와 거리가 가장 먼 것은?
     1. 충전기
     2. 정류기
     3. 여과기
     4. 변압기

     정답 : []
     정답률 : 65%

81. 다음 중 생체의 심부 가온에 사용할 수 있는 에너지를 옳게 나열한 것은?

    

     1. a, d
     2. b, c
     3. a,c
     4. d, e

     정답 : []
     정답률 : 68%

82. 순환기에 사용되는 생체재료의 혈액적합성 개선을 위한 비응혈성(nonthrombogenic) 처리방법이 아닌 것은?
     1. 음이온이 대전된 표면 (negative charged surface)
     2. 불활성 표면 (inert surface)
     3. 거친 표면 (rough surface)
     4. 헤파린이 처리된 표면 (heparinized surface)

     정답 : []
     정답률 : 71%

83. 방사선 조사와 생물학적 효과에 대한 설명 중 적절하지 않은 것은?
     1. 일반적으로 방사선의 생물학적인 효과는 방사선의 조사 상황, 생물의 상태, 주목하는 효과에 따라 다르다.
     2. 방사선의 생물에 대한 효과는 방사선량에 따라 다르다.
     3. 일반적으로 밤사선 치료시, 동일한 선량을 1회 조사할 경우가 분할하여 조사하는 경우보다 암치료에 효과적이다.
     4. 어떤 선량 이하의 값에서는 방사선효과가 나타나지 않는다.

     정답 : []
     정답률 : 71%

84. 생체재료의 표면 특성 분석법 중에서 결정구조를 알 수 있는 시험법은?
     1. 적외선 스펙트럼분석법
     2. X-선 에너지 회절법
     3. X-선 에너지 분산분석법
     4. 주사전자현미경

     정답 : []
     정답률 : 55%

85. 자장의 강도가 큰 것부터 작은 순서로 나열된 것은?
     1. 지구의 자장 > 심장으로부터의 자장 > 뇌로부터의 자장
     2. 심장으로부터의 자장 > 지구의 자장 > 뇌로부터의 자장
     3. 뇌로부터의 자장 > 심장으로부터의 자장 > 지구의 자장
     4. 뇌로부터의 자장 > 지구의 자장 > 심장으로부터의 자장

     정답 : []
     정답률 : 81%

86. 인체의 중심선에서부터 인체분절이 가까워지는 동작은?
     1. 외 전 (abduction)
     2. 내전 (adduction)
     3. 굴곡(flexion)
     4. 신전 (extension)

     정답 : []
     정답률 : 70%

87. 유체가 흐르려 할 때 문자간의 인력에 의해 유체 상호간의 유동을 방해하려는 저항력이 생기게 되는데 이러한 성질은?
     1. 점성
     2. 저항성
     3. 압축성
     4. 강성

     정답 : []
     정답률 : 72%

88. 체온이 37℃일 때 ,인체 묘면에서 방사되는 파장은? (단, 빈(Wien)의 변위법칙 상수는 약 0.3cm·K 이다.)
     1. 약 5㎛
     2. 약 10㎛
     3. 약 15㎛
     4. 약 20㎛

     정답 : []
     정답률 : 41%

89. 알루미나의 특성 실명으로 틀린 것은?
     1. 뼈와 화학적 결합이 우수하다.
     2. 경도, 강도가 높다.
     3. 화학적 침식에 강하다.
     4. 윤활특성, 생체 안정성이 우수하다.

     정답 : []
     정답률 : 47%
     <문제 해설>
알루미나의 특성 중 틀린 것은 4. 윤활특성, 생체 안정성이 우수하다. 이다.

1.뼈와 화학적 결합이 우수하다: 알루미나는 뼈와의 결합이 우수하여 생체 재료로 많이 쓰이는 재료임
2. 경도, 강도가 높다: 알루미나는 높은 경도와 강도를 갖고 있어 다양한 분야에서 응용됨
3. 화학적 침식에 강하다: 화학적 침식에 강해 뼈와 관련하여 사용할 수 있음
4. 윤활특성, 생체 안정성이 우수하다: 생체 안정성은 좋지만, 윤활특성은 상대적으로 떨어짐. 즉, 연골의 역할을 대체할 순 없음.
[해설작성자 : 폴의공과]

90. 의공학에서 생체재료는 생체와 직접 접촉하며 체액에 노출되는 의료기기의 재료가 되는 물질을 말한다. 다음 중 체액의 종류가 아닌 것은?
     1. 혈액
     2. 타액(침)
     3. 눈물
     4. 링거액

     정답 : []
     정답률 : 84%

91. 임플란트로 사용되는 생체재료 중 생체에 이식한 후 오랜 시간이 지나면 모두 소멸되는 것은?
     1. 생체 활성재료
     2. 생체 불활성재료
     3. 생체 재흡수재료
     4. 생체 복합재료

     정답 : []
     정답률 : 83%

92. 초음파의 매질에서 전파속도를 구하는 식은?
     1. 전파속도=밀도×파장
     2. 전파속도=주파수×밀도
     3. 전파속도=주파수×파장
     4. 전파속도=밀도×임피던스

     정답 : []
     정답률 : 69%

93. 의용세라믹 재료가 갖는 일반적인 특성을 잘못 설명한 것은?
     1. 불활성이다.
     2. 압축강도가 강하다.
     3. 성형 및 가공이 매우 쉽다.
     4. 생체적합성이 우수하다.

     정답 : []
     정답률 : 75%

94. 생체적합성을 평가하는 방법이 아닌 것은?
     1. 민감성 시험
     2. 혈액적합성 시험
     3. 세포독성 시험
     4. 화학적 조성측정 시험

     정답 : []
     정답률 : 75%

95. 생체 조직의 수동적 특성이 나타내는 특이성이 아닌 것은?
     1. 이망성
     2. 전기적 절연성
     3. 주파수 의존성
     4. 특이한 반사 산란 를수 특성

     정답 : []
     정답률 : 65%

96. 가시광선 영역 중에서 가장 강한 흡수를 나타내는 것은?
     1. 혈액중의 혈장
     2. 혈액중의 헤모글로빈
     3. 혈액중의 백혈구
     4. 혈액중의 혈소판

     정답 : []
     정답률 : 77%

97. 편직 또는 제직하여 인공혈관 재료로 사용하고 있는 합성고분자 재료는?
     1. 폴리우레탄(PU)
     2. PVC
     3. 폴리에틸렌(PE)
     4. 폴리에스터(polyester)

     정답 : []
     정답률 : 60%

98. 리드가 10mm인 2줄 나사가 90도 회전할 때 나사가 움직인 거리는?
     1. 1mm
     2. 2.5mm
     3. 5mm
     4. 10mm

     정답 : []
     정답률 : 74%
     <문제 해설>
L=N*P L=리이드, N=나사줄 수, P=나사피치

1.한 줄 나사인 경우
    L=1*P P=L=10mm피치, 1/4회전 시 10mm/4=2.5mm

2. 두 줄 나사인 경우
     N(나사줄수)=2, 리드(L)=10mm        P(나사피치)=L/2= 10mm/2=5mm피치

99. 정지해 있거나 일정한 속도에 움직이는 즉, 가속도가 0인 상태를 연구하는 응용역학의 분야는?
     1. 변형체역학
     2. 동역학
     3. 정역학
     4. 유체역학

     정답 : []
     정답률 : 78%

100. 탄성과 정성을 동시에 가지고 있어서 액체를 모델링하는데 많이 사용되는 것은?
     1. 나사와 대시폿
     2. 스프링과 대시폿
     3. 나사와 스프링
     4. 실리콘과 나사

     정답 : []
     정답률 : 84%


정 답 지

1

2

3

4

5

6

7

8

9

10

11

12

13

14

15

16

17

18

19

20

21

22

23

24

25

26

27

28

29

30

31

32

33

34

35

36

37

38

39

40

41

42

43

44

45

46

47

48

49

50

51

52

53

54

55

56

57

58

59

60

61

62

63

64

65

66

67

68

69

70

71

72

73

74

75

76

77

78

79

80

81

82

83

84

85

86

87

88

89

90

91

92

93

94

95

96

97

98

99

100

의공산업기사 필기 기출문제(해설) 및 CBT 2010년05월09일을 이용해 주셔서 감사합니다.
, 필기, 기출문제, 전자문제집, CBT, 온라인, 모의테스트, 모의고사



List of Articles
번호 제목 글쓴이 날짜 조회 수
4574 인터넷정보관리사 2급 필기 기출문제(해설) 및 CBT 2019년12월14일(11110) 좋은아빠되기 2025.10.08 0
4573 리눅스마스터 2급 필기 기출문제(해설) 및 CBT 2019년12월14일(11111) 좋은아빠되기 2025.10.08 0
4572 원예기능사 필기 기출문제(해설) 및 CBT 2010년03월28일(2회)(11112) 좋은아빠되기 2025.10.08 1
4571 화훼장식기사 필기 기출문제(해설) 및 CBT 2005년08월07일(11113) 좋은아빠되기 2025.10.08 0
4570 화훼장식기사 필기 기출문제(해설) 및 CBT 2006년08월06일(11114) 좋은아빠되기 2025.10.08 0
4569 화훼장식기사 필기 기출문제(해설) 및 CBT 2007년08월05일(11115) 좋은아빠되기 2025.10.08 0
4568 설비보전산업기사 필기 기출문제(해설) 및 CBT 2018년04월28일(11116) 좋은아빠되기 2025.10.08 0
4567 화훼장식기사 필기 기출문제(해설) 및 CBT 2012년08월26일(11117) 좋은아빠되기 2025.10.08 0
4566 화훼장식기사 필기 기출문제(해설) 및 CBT 2018년08월19일(11118) 좋은아빠되기 2025.10.08 0
4565 화훼장식기사 필기 기출문제(해설) 및 CBT 2014년08월17일(11119) 좋은아빠되기 2025.10.08 0
4564 화훼장식기사 필기 기출문제(해설) 및 CBT 2017년08월26일(11120) 좋은아빠되기 2025.10.08 0
» 의공산업기사 필기 기출문제(해설) 및 CBT 2010년05월09일(11121) 좋은아빠되기 2025.10.08 0
4562 의공산업기사 필기 기출문제(해설) 및 CBT 2015년09월19일(11122) 좋은아빠되기 2025.10.08 0
4561 화훼장식기사 필기 기출문제(해설) 및 CBT 2016년08월21일(11123) 좋은아빠되기 2025.10.08 0
4560 의공산업기사 필기 기출문제(해설) 및 CBT 2008년09월07일(11124) 좋은아빠되기 2025.10.08 0
4559 의공산업기사 필기 기출문제(해설) 및 CBT 2009년05월10일(11125) 좋은아빠되기 2025.10.08 0
4558 의공산업기사 필기 기출문제(해설) 및 CBT 2009년08월30일(11126) 좋은아빠되기 2025.10.08 0
4557 의공산업기사 필기 기출문제(해설) 및 CBT 2011년10월02일(11127) 좋은아빠되기 2025.10.08 0
4556 전산세무 2급 필기 기출문제(해설) 및 CBT 0083회(11128) 좋은아빠되기 2025.10.08 0
4555 전산세무 2급 필기 기출문제(해설) 및 CBT 0084회(11129) 좋은아빠되기 2025.10.08 0
Board Pagination Prev 1 ... 520 521 522 523 524 525 526 527 528 529 ... 753 Next
/ 753