자격증 필기 기출문제



방사선비파괴검사산업기사(구) 필기 기출문제(해설) 및 CBT 2006년03월05일(11669)

최강 자격증 기출문제 전자문제집 CBT : www.comcbt.com


전자문제집 CBT란?

종이 문제집이 아닌 인터넷으로 문제를 풀고 자동으로 채점하며 모의고사, 오답 노트, 해설까지 제공하는
무료 기출문제 학습 프로그램으로 실제 상설검정에서 사용하는 OMR 형식의 CBT를 제공합니다.


최신 방사선비파괴검사산업기사(구) 필기 기출문제 : [다운로드]

1과목 : 방사선투과검사 시험


1. 자분탐상시험법에서 시험품에 직접 전류를 흘려 자화시키는 시험 방법은?
     1. 프로드법
     2. 유도자화법
     3. 영구자석법
     4. 코일법

     정답 : []
     정답률 : 알수없음

2. 방사선투과시험의 탱크현상시 현상액의 보충 방법으로 옳지 못한 것은?
     1. 한번에 전체 용량의 10%를 초과하지 않도록 1회 보충액으로 한다.
     2. 보충액의 총량은 최초 현상액의 2배 정도로 제한하여 보충한다.
     3. 보충액은 현재의 현상액보다 다소 높은 강도로 보충한다.
     4. 매번 첨가하는 보충액량은 탱크안 용액 부피의 3%를 초과하도록 보충한다.

     정답 : []
     정답률 : 알수없음

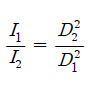
3. 선원으로부터 1m의 거리에서 방사선량이 16[R]일 때, 거리를 4m로 변경하면 방사선량[R]은?
     1. 1R
     2. 2R
     3. 3R
     4. 4R

     정답 : []
     정답률 : 알수없음

4. 방사선의 종류와 특성에 대한 설명으로 옳지 않은 것은?
     1. 파와 입자의 두가지 성질을 가지고 있다.
     2. 방사선투과검사에는 X, λ선 및 중성자선이 이용된다.
     3. 중성자선의 원자번호가 큰 중원소에 흡수가 잘 된다.
     4. X및 λ선은 물리적으로 동일한 성질을 지닌다.

     정답 : []
     정답률 : 알수없음

5. Co-60 점선원으로부터 10m거리에 있는 작업종사자가 받는 피폭선량이 640mR/h였다. 작업종사자의 피폭 방사선량을 20mR/h이하로 하려면 납 차폐벽의 두께는 얼마로 해야 하는가? (단, 납의 선형흡수계수는 0.0693mm-1)
     1. 10㎜
     2. 20㎜
     3. 50㎜
     4. 80㎜

     정답 : []
     정답률 : 알수없음

6. 감마(λ)선을 이용한 공업용 방사선투과검사에서는 형광스크린을 거이 사용하지 않는다. 그 이유로 적절한 것은?
     1. 사진의 콘트라스트(contrast)를 높이기 때문에
     2. 방사선투과사진에 줄무늬가 생기게 하기 때문에
     3. 상호법칙(reciprocity law)을 따르지 않기 때문에
     4. 강화인자(intensification factor)가 너무 높기 때문에

     정답 : []
     정답률 : 알수없음

7. 방사선 붕괴과정 중 원자액에서 방출하는 방사선이 아닌 것은?
     1. α-선
     2. β-선
     3. 중성미자
     4. 특성X-선

     정답 : []
     정답률 : 알수없음

8. 가속전자가 X선 튜브내의 표적에 부딪쳐 에너지 변환을 일으킬 때 가장 많이 생성되는 것은?
     1.
     2. 1차 X선
     3. 1차 γ선
     4. 2차 X선

     정답 : []
     정답률 : 알수없음

9. 방사선 투과 검사시 피폭저감 방법으로 비효율적인 것은?
     1. 조리개를 사용한다.
     2. 납장갑을 필히 착용한다.
     3. 차폐체를 최대한 활용한다.
     4. 방사선원으로부터 가능한 한 먼 곳으로 작업한다.

     정답 : []
     정답률 : 알수없음

10. 1r-192, 50Ci의 선원에서 10m 떨어진 곳의 선량율은 얼마인가? (단, 1r-192의 Rhm값은 0.55이다)
     1. 27.5R/h
     2. 2.75R/h
     3. 275mR/h
     4. 27.5mR/h

     정답 : []
     정답률 : 알수없음

11. 다른 비파괴검사법과 비교하여 방사선투과시험의 주요 장점이 아닌 것은?
     1. 검사결과의 영구기록
     2. 내부 결함의 검출
     3. 표면상 결함의 검출
     4. 조성의 주요 변화에 대한 검출

     정답 : []
     정답률 : 알수없음

12. 산란비를 줄이는 효과가 있는 촬영조건과 관계가 먼 것은?
     1. 조사범위를 좁힌다.
     2. 시험체-필름 사이의 거리를 적절히 늘린다.
     3. 필름카세트를 시험체에 밀착시킨다.
     4. 차폐 마스크를 사용하다.

     정답 : []
     정답률 : 알수없음

13. 다음 중 Co-60 감마선 투과시험의 적용이 곤란한 것은?
     1. 주조품
     2. 플라스틱 배관 이음부
     3. 강관의 벽두께 측정
     4. 구리판 용접부

     정답 : []
     정답률 : 알수없음

14. 다음 중 피사체콘트라스트에 영향을 미치는 인자는 아닌 것은?
     1. 시험체의 두께차
     2. 방사선의 선질
     3. 산라방사선
     4. 선원의 강도

     정답 : []
     정답률 : 알수없음

15. 방사선투과시험에 사용할 X선 발생장치를 선정할 때 고려 해야 할 점이 아닌 것은?
     1. 듀티 사이클(duty cycle)
     2. 발생기 창구의 자기필터 기능
     3. 에너지 범위
     4. 제어 시스템

     정답 : []
     정답률 : 알수없음

16. 관전류 5mA, 노출시간 10분에서 관전류를 10mA로 변환시 노출시간은? (단, 다른 조건은 일정함)
     1. 20분
     2. 10분
     3. 5분
     4. 2.5분

     정답 : []
     정답률 : 알수없음

17. 다음 중 침투탐상시험으로 검출할 수 있는 결함은?
     1. 플라스틱의 내부결함
     2. 콘크리트의 내부기공
     3. 비정질 유리의 열린 표면 결함
     4. 강관의 표면 및 내부 결함

     정답 : []
     정답률 : 알수없음

18. 다음 중 완전류탐상검사시 사용되는 시험코일의 종류가 아닌 것은?
     1. 내삽형 코일
     2. 표면형 코일
     3. 관통형 코일
     4. 대칭형 코일

     정답 : []
     정답률 : 알수없음

19. 방사선 투과사진을 투과한 빛의 밝기 2,000룩스에서, 주위 환경의 밝기는 1,000룩스였다. 주위 환경 밝기가 0룩스 일 때에 비하여 투과사진의 겉보기 콘트라스트는?
     1. 1/2로 감소한다
     2. 2/3로 감소한다
     3. 3/2로 감소한다
     4. 2배로 증가한다.

     정답 : []
     정답률 : 알수없음

20. 방사선 투과선에 대한 산란선 비율이 감소하면 결함상의 콘트라스트는 어떻게 되는가?
     1. 증가한다.
     2. 감소한다.
     3. 변화하지 않는다.
     4. 산란선의 에너지가 높아짐에 따라 증가한다.

     정답 : []
     정답률 : 알수없음

2과목 : 방사선투과검사 시험


21. 다른 조건은 변화가 없고 단지 선원에서 시험체까지의 거리를 증가시키면 투과사진의 선명도는?
     1. 증가한다.
     2. 감소한다.
     3. 영향을 받지 않는다.
     4. 일정거리까지 감소 후 증가한다.

     정답 : []
     정답률 : 알수없음

22. 다음과 같은 형태의 표적을 가진 X선 발생장치가 있다. 이 장치의 초점크기 값 f는 얼마인가?

    

     1. f=h
     2. f=w
     3. f=h+w
     4. f=(h+w)/2

     정답 : []
     정답률 : 알수없음

23. X선관(tube)의 진공도가 저하된 X선 발생장치를 사용할 때 특히 주의할 사항은?
     1. 접지(earth)를 완전히 한다.
     2. 예열(aging)를 충분히 한다.
     3. 관전류(mA)를 낮춘다.
     4. 관전압(kVp)을 일정히 준다.

     정답 : []
     정답률 : 알수없음

24. 다음 중 시험체에 의한 X선의 흡수와 밀접한 관계가 아닌 것은?
     1. 시험체의 두께
     2. 시험체의 밀도
     3. 시험체 재질의 원자적 특성
     4. 시험체의 영률

     정답 : []
     정답률 : 알수없음

25. 방사선투과사진 상에 연마된 표면에 의한 무관련지시를 고려하지 않아도 되는 재질은?
     1. 아연판
     2. 주석판
     3. 알루미늄판
     4. 철판

     정답 : []
     정답률 : 알수없음

26. 다음 중 방사선발생장치에서 발생하는 엑스선의 파장을 결정하는 요인이 아닌 것은?
     1. 가속 입자의 전하량
     2. 방사선 발생장치 관전압
     3. 방사선 에너지
     4. 방사선 발생장치 관전류

     정답 : []
     정답률 : 알수없음

27. X선 발생장치의 취급과 관련된 내용으로 올바르지 못한 것은?
     1. 사용전 에이징(aging)이 실시된 장비는 사용중에 에이징 할 필요가 없다.
     2. X선 발생장치는 차로 운반할 때 양극이 위로 가게 한다.
     3. 관전류가 일정한 장비는 사용중 관전류의 감시가 필요없다.
     4. X선 발생장치는 특성상 사용전압 계측기에 대한 감시는 필요없다.

     정답 : []
     정답률 : 알수없음

28. 사진처리가 끝난 필름에 잔류 황산화물(Thiouslfate)이 규정치를 넘으면 필름이 변색하여 장기보관할 수 없게된다. 잔류 황산화물을 확인할 수 있는 방법은?
     1. 하이포 잔류 측정법
     2. 취소 농도법
     3. 빙초산법
     4. 에틸렌 산화법

     정답 : []
     정답률 : 알수없음

29. 방사선투과시험의 현상도(Degree of develoment)와 관계가 없는 인자는?
     1. 현상액의 강도
     2. 현상액의 온도
     3. 현상시간
     4. 현상액의 양

     정답 : []
     정답률 : 알수없음

30. X선 발생장치를 관전압 250kVp로 작동하였을 때 발생하는 X선 스펙트럼의 최단 파장(Å)은?
     1. 약0.005
     2. 약0.05
     3. 약0.5
     4. 약5.0

     정답 : []
     정답률 : 알수없음

31. 20㎜ 두께를 가진 동(Cu) 주물을 관전압 220kV의 X선으로 방사선투과검사할 때, 노출도표가 철을 기준으로 작성 되었을 때 동의 노출시간 계산방법은?
     1. 철 기준 노출도표를 그대로 사용한다.
     2. 철 기준 노출도표에서 얻은 시간에 1.4를 곱한다.
     3. 철 기준 노출도표에서 얻은 시간에 2.0를 곱한다.
     4. 방사선 등가표에서 얻은 인자에 20㎜ 곱한 두께의 시간을 구한다.

     정답 : []
     정답률 : 알수없음

32. 직경이 2m이 압력용기의 전 원주용접부에 대해 1회 노출로 방사선투과검사를 하려 한다. 다음 중 투과도계의 위치와 마커(납 숫자)의 위치로 적합한 것은? (단, 선원은 압력용기 내부에 위치함)
     1. 투과도계, 마커 모두 압력용기 외부에 부착한다.
     2. 투과도계, 마커 모두 압력용기 내. 외부 2군데에 부착한다.
     3. 투과도계는 압력용기 내부에, 마커는 압력용기 외부에 부착한다.
     4. 투과도계는 압력용기 외부에, 마커는 압력용기 내부에 부착한다.

     정답 : []
     정답률 : 알수없음

33. X선 확대 촬영기술에 대하여 옳은 설명은?
     1. 소(小)초점 사용
     2. 불선명도가 클것
     3. 초점과 필름간 거리를 멀리할 것
     4. 초점과 시험체간 거리를 멀리할 것

     정답 : []
     정답률 : 알수없음

34. 1회 노출로 방사선투과사진에 나타난 결함 특성을 관찰하여 그 제품에 미치는 영향을 평가하고자 한다. 이 때 알 수 있는 결함의 특성이라 볼 수 없는 것은?
     1. 결함의 모양
     2. 결함의 크기
     3. 결함의 위치
     4. 결함의 깊이

     정답 : []
     정답률 : 알수없음

35. 방사성 동위원소를 사용하여 방사선투과검사를 하고자 할 때 필요한 검사 장비 및 자재에 해당하지 않은 것은?
     1. 방사선 조사기
     2. 원격조정 장치
     3. 콜리메타
     4. 고전압원

     정답 : []
     정답률 : 알수없음

36. 다른 비파괴시험법과 비교하여 방사선투과시험의 주요 장점이 아닌 것은?
     1. 시험체 내부결함의 검출
     2. 검사결과의 영구기록
     3. 조성의 주요변화에 대한 검출
     4. 시험체 표면의 피로균열 검출

     정답 : []
     정답률 : 알수없음

37. 8mA-min으로 촬영한 방사선 투과사진에서 농도0.8을 얻었다. 농도 2.0의 사진을 얻으려고 한다. 농도 2.0의 사진을 얻으려고 한다. 필름의 특성곡선상에서 농도 0.8과 2.0 사이의 log E 차이가 0.76 이라면 농도 2.0의 사진을 얻기 위한 노출량(mA-min)은?
     1. 46.4
     2. 32.2
     3. 18.4
     4. 16.0

     정답 : []
     정답률 : 알수없음

38. 다음 중 2장의 투과사진을 각각의 눈으로 볼 수 있도록 프리즘이나 거울로써 배열한 장치는?
     1. Strobo Radiography
     2. Parallax Radiography
     3. Stereo Radiography
     4. Auto Radiography

     정답 : []
     정답률 : 알수없음

39. 다음 중 유효선원 크기가 가장 작아 방사선투과시험시 확대 촬영에 가장 유리한 것은?
     1. 50Ci의 Co-60
     2. 100Ci의 1r-192
     3. 400kV의 X선 발생기
     4. 10MeV의 베타트론

     정답 : []
     정답률 : 알수없음

40. X선 필름에 가장 감도가 높은 색깔은?
     1. 적색(Red)
     2. 청색(Blue)
     3. 황색(Yellow)
     4. 녹색(Green)

     정답 : []
     정답률 : 알수없음

3과목 : 방사선안전관리, 관련규격 및 컴퓨터활용


41. 종사자가 사고로 인하여 긴급작업시 0.5Sv의 피폭을 받았을 경우 원자력관계사업자는 어떤 조치를 취해야 하는가?
     1. 방사선작업에 종사하지 않도록 해야 한다.
     2. 유효선량한도를 초과한 경우에 그 초과된 선량을 2로 나누어 얻은 값에 해당하는 년수 를 지나는 동안 20mSv로 제한한다.
     3. 유효선량한도를 넘지 않을 경우는 년간 50mSv(5년간 100mSv를 초과하지 않은 범위 내에서)를 최대허용피폭선량으로 한다.
     4. 앞으로 5년 동안 방사선작업을 제한한다.

     정답 : []
     정답률 : 알수없음

42. KS B 0845에 따르면 강관의 원둘레 용접 이음부에 대해서 상질의 종류가 A급 또는 B급을 적용할 때 계조계가 사용되는 관의 바깥 지름은?
     1. 50㎜미만
     2. 75㎜이하
     3. 100㎜미만
     4. 100㎜이상

     정답 : []
     정답률 : 알수없음

43. ASME Sec. Vlll Div.1 압력용기의 방사선투과사진 판정에 대한 설명으로 맞는 것은?
     1. 불연속을 4등급으로 나누었다.
     2. 융합부족이 존재시 불합격이다.
     3. 슬래그 개입이 있을시 길이와 관계없이 불합격이다.
     4. 시험시야는 10×10㎜ 로 한다.

     정답 : []
     정답률 : 알수없음

44. 다음 중 선량 당량의 단위는?
     1. J/Kg
     2. R/h
     3. Sv
     4. Gy/sec

     정답 : []
     정답률 : 알수없음

45. 방사선구역 수시출입자의 연간 등가선량한도에 대해 맞는 것은?
     1. 수정체 : 15mSv
     2. 피부 : 250mSv
     3. 손 : 500mSv
     4. 발 : 250mSv

     정답 : []
     정답률 : 알수없음

46. KS D 0227에서 시험부의 호칭두께가 100㎜일 때 1급(류)에 해당되는 기포(블로홀)의 최대 크기(치수)는?
     1. 3.0㎜
     2. 5.0㎜
     3. 7.0㎜
     4. 9.0㎜

     정답 : []
     정답률 : 알수없음

47. KS D 0245 알루미늄 T형 용접부의 방사선투과시험에서 시험부의 결함 이외 부분의 사진농도는 얼마로 규정하고 있는가?
     1. 1.5이상 3.5이하
     2. 2.0이상 4.0이하
     3. 1.0이상 3.0이하
     4. 2.5이상 4.5이하

     정답 : []
     정답률 : 알수없음

48. 미국기계협회 규격에 의하면 320KV 이하인 X선장비의 초점 크기는 어떤 방법으로 결정하는 것이 좋은 가?
     1. 와이퍼(wipe) 시험
     2. 핀홀(pin hole) 방법
     3. 제조회사의 사양서
     4. 자연붕괴(decay) 도포

     정답 : []
     정답률 : 알수없음

49. ASME 규격에 의거하여 두께가 12.7㎜인 강을 방사선투과 검사할 경우에 사용되는 유공형 투과도계는 17번이다. 2T홀(hole)이 나타났다고 했을 때 이의 감도는?
     1. 2-1T
     2. 2-2T
     3. 2-4T
     4. 1-2T

     정답 : []
     정답률 : 알수없음

50. 다음 중 내부 피폭을 예방하기 위한 방법이 아닌것은?
     1. 내부 피폭의 원천을 만들지 말 것
     2. 거리를 멀리 잡을 것
     3. 섭취시 빨리 배설 등을 통하여 제거할 것
     4. 섭취의 경로를 막을 것

     정답 : []
     정답률 : 알수없음

51. KS D 0242의 적용 범위에 해당하는 것은?
     1. 강용접부
     2. 주강품
     3. 알루미늄 주물
     4. 알루미늄평판 용접부

     정답 : []
     정답률 : 알수없음

52. 외부 방사선방어에서 피폭시 고려대상이 되지 않는 것은?
     1. 시간
     2. 거리
     3. 차폐
     4. 영률

     정답 : []
     정답률 : 알수없음

53. API(미국석유협회) 1104규격에서는 사용하지 않는 필름 (Unexposed Film)의 감광정도를 기준치 이하로 제한하고 있다. 이 규격에 규정한 기준치는 얼마 이하인가?
     1. 0.05H&D
     2. 0.10H&D
     3. 0.20H&D
     4. 0.30H&D

     정답 : []
     정답률 : 알수없음

54. 일반인의 손, 발에 대한 연간 등가선량한도는 얼마인가?
     1. 1.5mSv
     2. 3mSv
     3. 15mSv
     4. 50mSv

     정답 : []
     정답률 : 알수없음

55. 원자력법령에서 정한 방사성동위원소 운반종사자의 년간 유효선량한도는?
     1. 1mSv
     2. 12mSv
     3. 15mSv
     4. 50mSv

     정답 : []
     정답률 : 알수없음

56. 다음 중 인터넷 웹서버 구축을 위한 환경과 도구를 제공 하는 것은?
     1. UNIX
     2. IIS
     3. OS/2
     4. IWS

     정답 : []
     정답률 : 알수없음

57. 양쪽 방향으로 데이터의 이동이 가능하나 한번에 한방향으로만 이동 가능한 데이터 전송방식은?
     1. 반이중전송방식
     2. 단방향전송방식
     3. 양방향전송방식
     4. 전이중방식

     정답 : []
     정답률 : 알수없음

58. 우리나라 정부기관인 행정자치부(mogaha)의 도메인 이름으로 옳은 것은?
     1. www.mogaha.com
     2. www.mogaha.go.kr
     3. www.mogaha.co.kr
     4. www.mogaha.pe.kr

     정답 : []
     정답률 : 알수없음

59. 다음 중 컴퓨터의 연산장치와 관계가 없는 것은?
     1. 누산기
     2. 기억 레지스터
     3. 번지 레지스
     4. 상태 레지스터

     정답 : []
     정답률 : 알수없음

60. 다음 중 정보통신을 위한 OSI 7 layer 중 하위계층을 구성하는 각종 통신망의 품질 차이를 보상하고, 송ㆍ수신 시스템간의 논리적 안정과 균열한 서비스를 제공하는 계층은?
     1. 세션계층(Session layer)
     2. 전송계층(Transport layer)
     3. 응용계층(Application layer)
     4. 네트워크계층(Network layer)

     정답 : []
     정답률 : 알수없음

61. 다음 용접방법 중 가스용접에 속하는 것은?
     1. 탄산가스 아크용접
     2. 산소수소 용접
     3. 플라즈마 용접
     4. 원자수소 용접

     정답 : []
     정답률 : 알수없음

62. 아크용접 극성인 정극성과 역극성이 모두 올바른 것은?
     1. DCSP : 용접봉(+)극, 모재(-)극
SCRP : 용접봉(+)극, 모재(-)극
     2. DCSP : 용접봉(-)극, 모재(+)극
SCRP : 용접봉(+)극, 모재(-)극
     3. DCSP : 용접봉(+)극, 모재(-)극
SCRP : 용접봉(-)극, 모재(+)극
     4. DCSP : 용접봉(-)극, 모재(+)극
SCRP : 용접봉(-)극, 모재(+)극

     정답 : []
     정답률 : 알수없음

63. 정격 2차 전류가 450A인 아크용접기준 290A의 용접 전류를 사용하여 용접할 경우 이 용접기가 허용사용율은?
     1. 약 98%
     2. 약 109%
     3. 약 115%
     4. 약 120%

     정답 : []
     정답률 : 알수없음

64. 용접시 발생한 변형을 교정하는 일반적인 방법이 아닌 것은?
     1. 박판에 대한 직선 수축법
     2. 가열 후 해머질하는 방법
     3. 절단하여 정형(整形)후 재 용접하는 방법
     4. 후판에 대하여 가열 후 압력을 가하고 수냉하는 방법

     정답 : []
     정답률 : 알수없음

65. 용접균열의 형성 원인을 크게 분류하면 금속학적 요인과 역학적 요인으로 구분할 수 있다. 다음 중금속학적 요인이 아닌 것은?
     1. 용접시의 가열 냉각으로 생긴 열응력
     2. 열 영향에 따라서 모재의 연성이 저하되는 것
     3. 용융시 침입하였다가 또는 확산하는 수소의 영향에 의하여 취하(brittle)되는 경우
     4. 인, 유황, 주석, 동 등의 유해한 불순물의 포함

     정답 : []
     정답률 : 알수없음

66. 아크 용접의 용접부에 기공이 생기는 원인과 가장 관계가 적은 것은?
     1. 아크의 수소 또는 일산화 탄소가 너무 많을 때
     2. 용착부가 급냉 될 때
     3. 용접봉에 습기가 많을 때
     4. 용접 속도가 느릴 때

     정답 : []
     정답률 : 알수없음

67. 용접결합 중 은점(銀店)이 생기는 주원인과 가장 관계가 있는 것은?
     1. 산소
     2. 수소
     3. 질소
     4. 탄소

     정답 : []
     정답률 : 알수없음

68. 압접의 종류가 아닌 것은?
     1. 점용접
     2. 단접
     3. 고주파용접
     4. 불활성 가스용접

     정답 : []
     정답률 : 알수없음

69. 가스용접(산소, 아세틸렌 용접)시 아세틸렌이 과잉일 때 발생되는 불꽃은 어느 것인가?
     1. 중성불꽃
     2. 탄화불꽃
     3. 산화불꽃
     4. 카바이드 불꽃

     정답 : []
     정답률 : 알수없음

70. 불활성가스 금속아크 용접의 장점이 아닌 것은?
     1. 수동피복 아크용접에 비해 용착율이 높아 고능률적이다.
     2. TGI용접에 비해 전류밀도가 높아 용융속도가 빠르다.
     3. 3㎜이하 박판용접에 적합하다
     4. 각종 금속 용접에 다양하게 적용할 수 있어 응용범위가 넓다.

     정답 : []
     정답률 : 알수없음

71. 결정 중에 존재하는 점결함(point defect)이 아닌것은?
     1. 원자공공(vacancy)
     2. 격자간 원자(intertitial atom)
     3. 전위(dislocation)
     4. 치환형 원자(substituional atom)

     정답 : []
     정답률 : 알수없음

72. 구름합금 중 공석변태를 하여 서냉 취성이 심한 합금은?
     1. 문쯔메탈
     2. 알루미늄청동
     3. 연청동
     4. 인청동

     정답 : []
     정답률 : 알수없음

73. 자기변태에 대한 설명으로 틀린 것은?
     1. 어떤 온도에서 자성의 변화가 나타난다.
     2. 점진적 연속적인 변화가 나타난다.
     3. 큐리점을 말한다.
     4. 결정격자의 모양이 변화한다.

     정답 : []
     정답률 : 알수없음

74. 초내열강(초합금=super alloy)의 합금 원소는?
     1. Ni,Co,Cr 등
     2. Pb,Mn,Zn
     3. Cs,Cu,Hg 등
     4. Aℓ,Mg,Sn 등

     정답 : []
     정답률 : 알수없음

75. 전자부품의 솔더링(soldering)으로 가장 많이 사용하고 있고 약 450℃이하의 융점을 갖는 합금은?
     1. Cu-Sn 계 합금
     2. Sn-Pb 계 합금
     3. Cu-Pb 계 합금
     4. Ni-Cr 계 합금

     정답 : []
     정답률 : 알수없음

76. 금속의 합금화에서 치환형 고용체가 되기 위한 조건 중 맞는 것은?
     1. 두 원자 반지름 차이가 약 15%이상이면 좋다.
     2. 서로 다른 결정구조를 가지는 것이 좋다.
     3. 전기음성도의 차이가 많이 날수록 좋다.
     4. 같은 원자가를 가지면 좋다.

     정답 : []
     정답률 : 알수없음

77. 슬립(slip)에 대한 설명 중 잘못된 것은?
     1. 체심입방정의 주요 슬립방향은[111]이다.
     2. 원자밀도가 최대인 방향으로 슬립이 일어난다.
     3. 슬립계가 많은 금속일수록 소성변형이 쉽다.
     4. 육방정계에 속하는 금속이 가장 가공하기 쉽다.

     정답 : []
     정답률 : 알수없음

78. 특수강에 첨가되는 특수원소의 특성이 아닌 것은?
     1. Ni-인성증가, 저온충격저항 증가
     2. Cr-내마모성, 내식성 증가
     3. Si-전기특성, 내열성 양호
     4. Mn-뜨임취성, 고온강도 방지

     정답 : []
     정답률 : 알수없음

79. 40~55% Co, 15~33% Cr, 10~20% W, 2~5% C로 된 주조경질 합금은?
     1. 고속도강
     2. 스텔라이트
     3. 합금공구강
     4. 다이스강

     정답 : []
     정답률 : 알수없음

80. 수소 저장용 합금의 기능과 용도를 설명한 것 중 틀린 것은?
     1. 촉매작업(암모니아 합성)
     2. 수소분리 및 정제(수소의 순도 99.9999%)
     3. 열 에너지의 저장 및 수송(태양 장기 축열 시스템, 냉온방용)
     4. 저온, 저압에서 수소저장→저압수소 발생(케미컬엔진)

     정답 : []
     정답률 : 알수없음


정 답 지

1

2

3

4

5

6

7

8

9

10

11

12

13

14

15

16

17

18

19

20

21

22

23

24

25

26

27

28

29

30

31

32

33

34

35

36

37

38

39

40

41

42

43

44

45

46

47

48

49

50

51

52

53

54

55

56

57

58

59

60

61

62

63

64

65

66

67

68

69

70

71

72

73

74

75

76

77

78

79

80

방사선비파괴검사산업기사(구) 필기 기출문제(해설) 및 CBT 2006년03월05일을 이용해 주셔서 감사합니다.
, 필기, 기출문제, 전자문제집, CBT, 온라인, 모의테스트, 모의고사



List of Articles
번호 제목 글쓴이 날짜 조회 수
4678 승강기산업기사 필기 기출문제(해설) 및 CBT 2017년03월05일(11651) 좋은아빠되기 2025.10.08 0
4677 방사선비파괴검사산업기사 필기 기출문제(해설) 및 CBT 2014년03월02일(11652) 좋은아빠되기 2025.10.08 0
4676 방사선비파괴검사산업기사 필기 기출문제(해설) 및 CBT 2014년09월20일(11653) 좋은아빠되기 2025.10.08 0
4675 방사선비파괴검사산업기사 필기 기출문제(해설) 및 CBT 2016년10월01일(11654) 좋은아빠되기 2025.10.08 0
4674 방사선비파괴검사산업기사 필기 기출문제(해설) 및 CBT 2018년03월04일(11655) 좋은아빠되기 2025.10.08 0
4673 방사선비파괴검사산업기사(구) 필기 기출문제(해설) 및 CBT 2009년08월30일(11656) 좋은아빠되기 2025.10.08 0
4672 방사선비파괴검사산업기사(구) 필기 기출문제(해설) 및 CBT 2011년10월02일(11657) 좋은아빠되기 2025.10.08 0
4671 방사선비파괴검사산업기사(구) 필기 기출문제(해설) 및 CBT 2013년09월28일(11658) 좋은아빠되기 2025.10.08 0
4670 9급 국가직 공무원 기계설계 필기 기출문제(해설) 및 CBT 2007년04월14일(11659) 좋은아빠되기 2025.10.08 0
4669 9급 국가직 공무원 기계설계 필기 기출문제(해설) 및 CBT 2008년04월12일(11660) 좋은아빠되기 2025.10.08 0
4668 9급 국가직 공무원 기계설계 필기 기출문제(해설) 및 CBT 2009년04월11일(11661) 좋은아빠되기 2025.10.08 0
4667 9급 국가직 공무원 기계설계 필기 기출문제(해설) 및 CBT 2010년04월10일(11662) 좋은아빠되기 2025.10.08 0
4666 9급 국가직 공무원 기계설계 필기 기출문제(해설) 및 CBT 2011년04월09일(11663) 좋은아빠되기 2025.10.08 0
4665 9급 국가직 공무원 기계설계 필기 기출문제(해설) 및 CBT 2013년07월27일(11665) 좋은아빠되기 2025.10.08 0
4664 9급 국가직 공무원 기계설계 필기 기출문제(해설) 및 CBT 2014년04월19일(11666) 좋은아빠되기 2025.10.08 0
4663 9급 국가직 공무원 기계설계 필기 기출문제(해설) 및 CBT 2015년04월18일(11667) 좋은아빠되기 2025.10.08 0
4662 9급 국가직 공무원 기계설계 필기 기출문제(해설) 및 CBT 2016년04월09일(11668) 좋은아빠되기 2025.10.08 0
» 방사선비파괴검사산업기사(구) 필기 기출문제(해설) 및 CBT 2006년03월05일(11669) 좋은아빠되기 2025.10.08 0
4660 방사선비파괴검사산업기사(구) 필기 기출문제(해설) 및 CBT 2007년03월04일(11670) 좋은아빠되기 2025.10.08 0
4659 계리직공무원 한국사 필기 기출문제(해설) 및 CBT 2014년02월15일(11671) 좋은아빠되기 2025.10.08 0
Board Pagination Prev 1 ... 545 546 547 548 549 550 551 552 553 554 ... 783 Next
/ 783