자격증 필기 기출문제



에너지관리기능장 필기 기출문제(해설) 및 CBT 2017년07월08일(12932)

최강 자격증 기출문제 전자문제집 CBT : www.comcbt.com


전자문제집 CBT란?

종이 문제집이 아닌 인터넷으로 문제를 풀고 자동으로 채점하며 모의고사, 오답 노트, 해설까지 제공하는
무료 기출문제 학습 프로그램으로 실제 상설검정에서 사용하는 OMR 형식의 CBT를 제공합니다.


최신 에너지관리기능장 필기 기출문제 : [다운로드]

1과목 : 임의 구분


1. 공기예열기를 설치하였을 경우 나타나는 현상이 아닌 것은?
     1. 예열공기의 공급으로 불완전 연소가 증가한다.
     2. 노 내의 연소속도가 빨라진다.
     3. 보일러의 열효율이 높아진다.
     4. 배기가스의 열손실이 감소된다.

     정답 : []
     정답률 : 88%

2. 전열면적이 12m2인 온수발생 보일러에 대해 방출관의 안지름 크기 기준은?
     1. 15mm 이상
     2. 20mm 이상
     3. 25mm 이상
     4. 30mm 이상

     정답 : []
     정답률 : 53%
     <문제 해설>
전열면적 10m2 미만 = 25mm이상
전열면적 10m2 이상 15m2 미만 = 30mm이상
전열면적 15m2 이상 20m2 미만 = 40mm이상
전열면적 20m2 이상 = 50mm이상

3. 안전밸브의 설치 및 관리에 대한 설명으로 옳은 것은?
     1. 안전밸브가 누설하여 증기가 새는 경우 스프링을 더 조여 누설을 막는다.
     2. 설정압력에 도달하여도 안전밸브가 동작하지 않을 때 밸브몸체를 두드려 동작이 되는지 확인한다.
     3. 안전밸브의 분해 수리를 위하여 안전밸브 입구측에 스톱밸브를 설치한다.
     4. 안전밸브의 작동은 확실하고 안정되어 있어야 한다.

     정답 : []
     정답률 : 90%

4. 소형보일러가 옥내에 설치되어 있는 보일러실에 연료를 저장할 때에는 보일러 외측을부터 최소 몇 m 이상 거리를 두어야 하는가? (단, 반격벽이 설치되어 있지 않은 경우이다.)
     1. 1m
     2. 2m
     3. 3m
     4. 4m

     정답 : []
     정답률 : 71%
     <문제 해설>
연료를 저장할 때에는 보일러 외측으로부터 2m이상 거리를 두거나 방화격벽을 설치해야 한다.
다만, 소형보일러의 경우에는 1m 이상의 거리를 두거나 반격벽으로 할 수 있다.
[해설작성자 : 찬이아빠]

5. 보일러의 부속 장치 중 감압밸브 사용 시 옳은 것은?
     1. 응축수 회수관이나 탱크에 재 증발 증기발생량이 증가한다.
     2. 감압 전후의 1차측과 2차측의 증기의 총열량은 변하지 않는다.
     3. 고압증기를 감압시켜 저압 증기로 변화시키면 현열이 증가한다.
     4. 고압증기는 저압증기보다 비체적이 크기 때문에 같은 양의 증기 수송 시 저압증기로 해야 보온 재료비가 적게 든다.

     정답 : []
     정답률 : 70%

6. 증기보일러에서 안전밸브 및 압력방출장치의 크기를 20A로 할 수 있는 경우는?
     1. 최고사용압력 1MPa 이하의 보일러
     2. 최고사용압력 0.5MPa 이하의 보일러로 전열면적 2m2 이하의 보일러
     3. 최고사용압력 0.7MPa 이하의 보일러로 동체의 안지름이 500mm 이하이며 동체의 길이가 1200mm 이하의 보일러
     4. 최대증발량 7t/h 이하의 관류보일러

     정답 : []
     정답률 : 78%

7. 증기 보일러에서 규정 상용압력 이상시 파괴위험을 방지하기 위해 설치하는 밸브는?
     1. 개폐밸브
     2. 역지밸브
     3. 정지밸브
     4. 안전밸브

     정답 : []
     정답률 : 93%

8. 복사난방의 패널구조에 의한 분류 중 강판이나 알루미늄 판에 강관이나 동관 등을 용접 또는 철물을 사용하여 부착하고 배면에는 단열재를 붙여 열손실을 방지하도록 하며, 일정한 규격의 제품을 조합하여 복사면을 구성하도록 한 방식은?
     1. 파이프매설식
     2. 유닛패널식
     3. 덕트식
     4. 벽패널식

     정답 : []
     정답률 : 86%

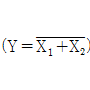
9. 고체 및 액체연료 1kg 에 대한 이론공기량(kg/kg)을 중량으로 구하는 식은? (단, C : 탄소, H : 수소, O : 산소, S : 황)
     1.
     2.
     3.
     4.

     정답 : []
     정답률 : 65%

10. 굴뚝의 통풍력을 구하는 식으로 옳은 것은? (단, Z=통풍력(mmAq), H=굴뚝의 높이(m), γa=외기의 비중량(kgf/m3), γg=배가기스의 비중량(kgf/m3) 이다.)
     1. Z = (γg - γa)H
     2. Z = (γa - γg)H
     3. Z = (γg - γa)/H
     4. Z = (γa - γg)/H

     정답 : []
     정답률 : 69%

11. 사이클론(cyclone) 집진장치의 주 원리는?
     1. 압력차에 의한 집진
     2. 물에 의한 입자의 여과
     3. 망(screen)에 의한 여과
     4. 입자의 원심력에 의한 집진

     정답 : []
     정답률 : 92%

12. 연소 안전장치에서 플레임 로드에 관한 설명으로 옳은 것은?
     1. 열적 검출 방식으로 화염의 발열을 이용한 것이다.
     2. 화염의 방사선을 전기 신호로 바꾸어 이용한 것이다.
     3. 화염의 전기 전도성을 이용한 것이다.
     4. 화염의 자외선 광전관을 사용한 것이다.

     정답 : []
     정답률 : 75%
     <문제 해설>
플레임 로드(flame rod): 화염의 이온화 현상에 의한 전기 전도성을 이용한 것

13. 방열기에 대한 설명으로 옳은 것은?
     1. 방열기에서 표준방열량을 구하는 평균온도 기준은 온수가 80℃이고, 증기는 102℃이다.
     2. 주철제 방열기는 강제대류식이며, 응축수가 가진 현열을 이용하므로 증기사용량이 감소한다.
     3. 방열기는 증기와 실내공기의 온도차에 의한 복사열에 의해서만 난방을 한다.
     4. 방열기의 표준방열량은 증기는 650 W/m2이고, 온수는 450W/m2 이다.

     정답 : []
     정답률 : 73%

14. 증기 헤드(steam head)의 설치 목적으로 틀린 것은?
     1. 건도가 높은 증기를 공급하여 수격작용을 방지하기 위하여
     2. 각 사용처에 증기공급 및 정지를 편리하게 하기 위하여
     3. 불필요한 증기 공급을 막아 열손실을 방지하기 위하여
     4. 필요한 압력과 양의 증기를 사용처에 공급하기 좋게 하기 위하여

     정답 : []
     정답률 : 69%

15. 강제순환 수관보일러에 있어서 순환비란?
     1. 순환 수량과 포화수의 비율
     2. 포화 증기량과 포화 수량의 비율
     3. 순환 수량과 발생 증기량의 비율
     4. 발생 증기량과 포화 수량의 비율

     정답 : []
     정답률 : 63%
     <문제 해설>
순환비: 순환수량과 발생 증기량의 비율
순환비 = 순환수량/발생증기량

16. 2장의 전열 판을 일정한 간격을 둔 상태에서 시계의 태엽 모양으로 감아 나간 것으로 오염저항 및 저유량에서 심한 난기류 등이 유발되는 곳에 사용하는 열교환기의 형식은?
     1. 플레이트식 열교환기
     2. 2중관식 열교환기
     3. 스파일럴형 열교환기
     4. 쉘 엔 튜브식 열교환기

     정답 : []
     정답률 : 81%

17. 실내온도가 18℃, 외기온도가 –10℃이며, 열관류율이 5kcal/m2·h·℃인 건물의 난방부하는? (단, 바닥, 천정, 벽체 등 총면적은 180m2이고, 방위계수는 1.15 이다.)
     1. 21990 kcal/h
     2. 22100 kcal/h
     3. 25200 kcal/h
     4. 28980 kcal/h

     정답 : []
     정답률 : 55%

18. 보일러의 그을음 취출장치인 수트 블로워(soot blower)에 대한 설명으로 틀린 것은?
     1. 수트 블로워의 설치목적은 전열면에 부착된 그을음을 제거하여 전열효율을 좋게 하기 위해서다.
     2. 종류에는 장발형, 정치회전형, 단발형 및 건타입 수트 블로워 등이 있다.
     3. 수트 블로워 분출(취출)시에는 통풍력을 크게 한다.
     4. 수트 블로워 분출 전에는 저온부식방지를 위해 취출기 내부에 드레인 배출을 삼가한다.

     정답 : []
     정답률 : 78%

19. 보일러의 보염장치 설치 목적에 관한 설명으로 틀린 것은?
     1. 연소용 공기의 흐름을 조절하여 준다.
     2. 확실한 착화가 되도록 한다.
     3. 연료의 분무를 확실하게 방지한다.
     4. 화염의 형상을 조절한다.

     정답 : []
     정답률 : 74%

20. 1일 급수량이 36000L인 보일러에서 급수 중 고형분 농도가 100 ppm, 보일러수의 허용 고형분이 2000 ppm 일 때 1일 분출량은? (단, 응축수는 회수하지 않는다.)
     1. 1625 L/day
     2. 1785 L/day
     3. 1895 L/day
     4. 1945 L/day

     정답 : []
     정답률 : 53%
     <문제 해설>
1일 분출량 = (1일 급수량 * 고형분 농도) / (허용 고형분 - 고형분 농도)
                     = (36000 * 100) / (2000 - 100)
                     = 3600000 / 1900
                     = 18947.37
                     ≒1895 L/day

2과목 : 임의 구분


21. 보일러에서 측정한 배기가스 온도가 240℃, 배기 가스량이 100 kg/h이고, 외기 온도가 20℃, 실내온도가 25℃인 경우 배출되는 배기가스의 손실열량은? (단, 배기가스 및 공기의 비열은 각각 0.33, 0.31 kcal/kg·℃ 이다.)
     1. 6045 kcal/h
     2. 6820 kcal/h
     3. 7095 kcal/h
     4. 7260 kcal/h

     정답 : []
     정답률 : 46%
     <문제 해설>
가스×비열×온도차
[해설작성자 : 한방에기능장]

22. 자동식 가스분석계 중 화학적 가스분석계에 속하는 측정법은?
     1. 연소열법
     2. 밀도법
     3. 열전도도법
     4. 자화율법

     정답 : []
     정답률 : 69%

23. 보일러 출력계산에 사용하는 난방부하의 계산방법이 아닌 것은?
     1. 상당 방열면적(EDR)으로부터 계산
     2. 예열부하로부터 열손실 계산
     3. 열손실 열량으로부터 계산
     4. 간이식으로부터 열손실 계산

     정답 : []
     정답률 : 70%

24. 보일러 수중의 용존 가스를 제거하는 장치는?
     1. 저면 분출장치
     2. 표면 분출장치
     3. 탈기기
     4. pH 조정장치

     정답 : []
     정답률 : 87%

25. 다음 랭킨사이클 T-S(온도-엔트로피)선도에서 단열팽창 구간은?

    

     1. 1 - 2
     2. 2 – 3 - 4
     3. 5 - 6
     4. 6 – 1

     정답 : []
     정답률 : 79%

26. 보일러 급수의 순환계통 외처리에서 부유 및 유기물의 제거방법이 아닌 것은?
     1. 폭기법
     2. 침전법
     3. 응집법
     4. 여과법

     정답 : []
     정답률 : 74%
     <문제 해설>
1번은 용존가스처리법
[해설작성자 : 발전설비 딸기라떼 목넘김]

27. 두께 3cm, 면적 2m2인 강판의 열전도량을 6000kcal/h로 하기 위한 강판 양면의 필요한 온도차는? (단, 열전도율 λ = 45 kcal/m·h·℃ 이다.)
     1. 2℃
     2. 2.5℃
     3. 3℃
     4. 3.5℃

     정답 : []
     정답률 : 47%
     <문제 해설>
열전도량 = 열전도율 x 온도차 x 면적 / 두께
6000 = 45 x 온도차 x 2 / 0.03
온도차 = 2
[해설작성자 : 에기장원트]

28. 원관 속 층류 유동이 되고 있을 때, 압력 손실에 관한 설명으로 옳은 것은?
     1. 유체의 점성에 비례한다.
     2. 관의 길이에 반비례한다.
     3. 유량에 반비례한다.
     4. 관경의 3제곱에 비례한다.

     정답 : []
     정답률 : 63%
     <문제 해설>
1. 유체의 점성에 비례한다.
2. 관의 길이에 비례한다.
3. 유량에 비례한다.
4. 관경의 4제곱에 반비례한다.

29. 실제 열사이클에 있어서는 각부에서의 손실 때문에 이상사이클과는 일치하지 않는데, 그 손실 요인으로 가장 거리가 먼 것은?
     1. 배관 손실
     2. 과열기 손실
     3. 터빈 손실
     4. 복수기 손실

     정답 : []
     정답률 : 57%
     <문제 해설>
실제 열사이클에 있어서 손실요인: 배관 손실, 터빈 손실, 복수기 손실

30. 일의 열당량의 값은?
     1. 1/427 kcal/kg
     2. 427 dyne/kg
     3. 1/427 kcal/kg·m
     4. 427 kg·m/kcal

     정답 : []
     정답률 : 74%

31. 보일러가 과열이 되면 그 부분의 강도가 저하되는데 이것이 심한 경우에는 보일러의 압력에 못 견디어 안쪽으로 오므라드는 것을 압궤라 한다. 압궤를 일으킬 수 있는 부분으로 가장 거리가 먼 것은?
     1. 수관
     2. 연소실
     3. 노통
     4. 연관

     정답 : []
     정답률 : 76%
     <문제 해설>
압궤 : 연소실, 노통, 연관
팽출 : 수관, 동체, 겔로웨이관

32. 수관내부에 부착되어 열전도를 저하시키는 스케일의 생성원인으로 가장 거리가 먼 것은?
     1. 농축에 의하여 포화상태로 석출되는 경우
     2. 물에 불용성의 물질이 유입되는 경우
     3. 온도상승에 따라 용해도가 저하하여 석출되는 경우
     4. 산성용액에서 용해도가 증가하여 석출되는 경우

     정답 : []
     정답률 : 61%

33. 보일러수 중에 포함된 실리카(SiO2)에 관한 설명으로 틀린 것은?
     1. 실리카 함유량이 많은 스케일은 연질이므로 제거가 쉽다.
     2. 알루미늄과 결합해서 여러 가지 형의 스케일을 생성한다.
     3. 저압 보일러에서는 알칼리도를 높혀 스케일화를 방지할 수 있다.
     4. 보일러수에 실리카가 많으면 캐리오버에 의해 터빈날개 등에 부착하여 성능을 저하시킬 수 있다.

     정답 : []
     정답률 : 82%
     <문제 해설>
실리카(SiO2) 함유량이 많은 스케일은 경질이기 때문에 기계적 및 화학적 방법으로    제거하기가 곤란하다.
[해설작성자 : comcbt.com 이용자]

34. 0.5W의 전열기로 20℃의 물 5kg을 80℃ 까지 가열하는데 소요되는 시간은 약 몇 분인가? (단, 가열효율은 90% 이다.)
     1. 46.5분
     2. 21.0분
     3. 32.3분
     4. 12.7분

     정답 : []
     정답률 : 44%
     <문제 해설>
1㎾ = 860㎉/h
가열시간 = 물을 가열하는데 필요한 열량 / 시간당 공급열량
                 = (5㎏ × 1㎉/㎏ ℃ × (80-20) ℃ / (0.5㎾ × 860㎉/h × 0.9)) × 60
                 = 46.5분

35. 유체 속에 잠겨진 경사 평면에 작용하는 힘의 작용점은?
     1. 면의 도심에 있다.
     2. 면의 도심보다 위에 있다.
     3. 면의 중심에 있다.
     4. 면의 도심보다 아래에 있다.

     정답 : []
     정답률 : 70%
     <문제 해설>
유체속에 잠긴 경사 평면에 작용하는 힘의 작용점의 위치는 경사 평면의 중심보다 아래에 있다.

36. 보일러 연소 관리에 관한 설명으로 틀린 것은?
     1. 보일러 본체 및 내화벽돌에 화염을 직접 충돌시키지 않는다.
     2. 연소량을 증가할 때에는 연료 공급량을 우선 늘리고, 연소량을 감소할 때는 통풍량부터 줄인다.
     3. 연소상태 및 화염상태 등을 수시로 감시한다.
     4. 노 내를 고온으로 유지한다.

     정답 : []
     정답률 : 80%
     <문제 해설>
연소량을 증가할 때에는 공기 공급량을 우선 늘리고, 연소량을 감소할 때는 연료량부터 줄인다.

37. 보일러수 내처리를 할 때 탈산소제로 쓰이지 않는 것은?
     1. 탄닌
     2. 아황산소다
     3. 히드라진
     4. 암모니아

     정답 : []
     정답률 : 79%

38. 증기의 건도가 0 인 상태는?
     1. 포화수
     2. 포화증기
     3. 습증기
     4. 건증기

     정답 : []
     정답률 : 71%

39. 버너 정비시 오일 콘의 끝단이 흠이 나 있으면 분무상태가 나빠지므로 눈금이 세밀한 줄을 사용하여 다듬질해야 하는 버너형식은?
     1. 고압분무식
     2. 회전식
     3. 유압분무식
     4. 건타입

     정답 : []
     정답률 : 57%
     <문제 해설>
회전식 버너의 노즐은 센터피스의 선단 끝 및 홈은 손질이나 조립할 때 흠이 생기면 분무각도 및 분무패턴이 바뀌고 치우쳐서, 연소나 착화불량 등 연소에 악영향을 끼친다. 그 때문에 통상은 보염기와 노즐팁 외면의 청소로 제한하고 연소상태가 나쁠때에만 분해 손질을 하거나 필요에 따라서는 노즐을 교환한다.
[해설작성자 : 찬이아빠]

40. 이온교환처리장치의 운전공정에서 재생탑에 원수를 통과시켜 수중의 일부 또는 전부의 이온을 이온교환 또는 제거시키는 공정을 의미하는 것은?
     1. 통약
     2. 압출
     3. 부하
     4. 수세

     정답 : []
     정답률 : 67%
     <문제 해설>
부하: 재생탑에 원수를 통과시켜 수중의 일부 또는 전부의 이온을 이온교환 또는 제거시키는 공정

41. 에너지이용 합리화법에 따라 검사대상기기의 계속사용검사에 대한 연기는 검사유효기간 만료인 기준으로 최대 언제까지 가능한가? (단, 만료일이 9월 1일 이후인 경우 제외한다.)
     1. 2개월 이내
     2. 6개월 이내
     3. 8개월 이내
     4. 당해연도 말까지

     정답 : []
     정답률 : 71%
     <문제 해설>
계속사용검사의 연기: 검사대상기기의 계속사용검사는 검사유효기간의 만료일이 속하는 연도의 말까지 연기할 수 있다.(다만, 검사유효기간 만료일이 9월 1일 이후인 경우에는 4개월 이내에서 계속사용검사를 연기할 수 있다.)

42. 연강용 피복 아크 용접봉 중 용입이 깊고, 비드가 깨끗하며, 작업성이 우수한 용접봉으로서 아래보기 수평 필릿용접에 가장 적합한 것은?
     1. E4316
     2. E4313
     3. E4303
     4. E4327

     정답 : []
     정답률 : 65%

43. 에너지이용 합리화법에 따라 에너지저장시설의 보유 또는 저장의무의 부과 시 정당한 이유 없이 이를 거부하거나 이행하지 아니한 자에 대한 벌칙 기준은?
     1. 2년 이하의 징역 또는 2천만원 이하의 벌금
     2. 5백만원 이하의 벌금
     3. 1년 이하징역 또는 1천만원 이하의 벌금
     4. 1천만원 이하의 벌금

     정답 : []
     정답률 : 73%

44. 온도조절밸브 선정 시 고려할 사항이 아닌 것은?
     1. 밸브의 구경 및 배관경
     2. 사용 유체의 종류, 압력, 온도와 유량
     3. 가열 또는 냉각되는 유체의 종류와 압력
     4. 최소 유량 시 밸브의 허용압력 손실

     정답 : []
     정답률 : 77%
     <문제 해설>
고려할 사항
4. 최대 유량 시 밸브의 허용압력 손실

45. 내열온도가 400~500℃이고, 금속 광택이 있으며 방열기 등의 외면에 도장하는 도료로 적당한 것은?
     1. 산화철 도료
     2. 콜타르 도료
     3. 알루미늄 도료
     4. 합성수지 도료

     정답 : []
     정답률 : 78%

46. 배관을 고정하는 받침쇠인 행거(hanger)의 종류가 아닌 것은?
     1. 스프링 행거
     2. 롤러 행거
     3. 콘스턴트 행거
     4. 리지드 행거

     정답 : []
     정답률 : 69%

47. 관 장치의 설계, 제작, 시공, 운전, 조작, 공정 수정 등에 도움을 주기 위해 주 계통의 라인, 계기, 제어기 및 장치기기 등에서 필요한 자료를 도시한 도면을 무엇이라고 하는가?
     1. 계통도(flow diagram)
     2. 관 장치도
     3. PID(Piping Instrument Diagram)
     4. 입면도

     정답 : []
     정답률 : 76%
     <문제 해설>
PID(Piping Instrument Diagram): 계장도

48. 온수귀환방식 중 역귀환 방식에 관한 설명으로 옳은 것은?
     1. 배관길이를 짧게 하여 온수공급거리에 따라 보일러에서 가까운 곳과 먼 곳의 방열기 온도차를 늘리는 방식이다.
     2. 각 방열기에 공급되는 유량분배를 균등하게 하여 가까운 곳과 먼 곳의 방열기 온도차를 줄이는 방식이다.
     3. 각 방열기에 공급되는 유량분배에 차등을 두어 가까운 곳과 먼 곳의 방열기 온도차를 줄이는 방식이다.
     4. 방열기를 통과한 귀환온수가 순차적으로 보일러에 귀환하여 가까운 곳과 먼 곳의 방열기 온도차를 늘리는 방식이다.

     정답 : []
     정답률 : 74%

49. 에너지법에서 정한 에너지위원회의 구성 및 운영에 관한 설명으로 옳은 것은?
     1. 위촉위원의 임기는 2년으로 하고, 연임할 수 있다.
     2. 위촉위원의 임기는 1년으로 하고, 연임할 수 있다.
     3. 위촉위원의 임기는 2년으로 하고, 연임할 수 없다.
     4. 위촉위원의 임기는 1년으로 하고, 연임할 수 없다.

     정답 : []
     정답률 : 83%

50. 폴리에틸렌관의 이음방법으로 틀린 것은?
     1. 테이퍼 조인트 이음
     2. 인서트 이음
     3. 용착슬리브 이음
     4. 심플렉스 이음

     정답 : []
     정답률 : 66%
     <문제 해설>
심플렉스: 석면시멘트관에 사용되는 이음방식이다.

51. 보온재의 구비조건으로 틀린 것은?
     1. 열전도율이 클 것
     2. 비중이 작을 것
     3. 어느 정도 기계적 강도가 있을 것
     4. 흡습성이 작을 것

     정답 : []
     정답률 : 82%

52. 가옥트랩 또는 메인트랩을로서 건물 내의 배수 수평 주관의 끝에 설치하여 공공 하수관에서의 유독 가스가 건물 안으로 침입하는 것을 방지하는데 사용하는 트랩은?
     1. S트랩
     2. P트랩
     3. U트랩
     4. X트랩

     정답 : []
     정답률 : 77%

53. 2개 이상의 엘보를 사용하여 신축을 흡수하는 이음은?
     1. 슬리브형 신축이음
     2. 벨로스형 신축이음
     3. 스위블형 신축이음
     4. 루프형 신축이음

     정답 : []
     정답률 : 76%

54. 스프링 백(spring back)이 일어나는 원인은?
     1. 탄성 복원력 때문에
     2. 영구변형이 많이 일어나므로
     3. 극한 강도가 너무 작으므로
     4. 원인이 없음

     정답 : []
     정답률 : 87%

55. 다음 그림의 AOA(Activity-on-Arc)네트워크에서 E작업을 시작하려면 어떤 작업들이 완료되어야 하는가?

    

     1. B
     2. A, B
     3. B, C
     4. A, B, C

     정답 : []
     정답률 : 84%

56. 표준시간을 내경법으로 구하는 수식으로 맞는 것은?
     1. 표준시간 = 정미시간 + 여유시간
     2. 표준시간 = 정미시간 × ( 1 + 여유율)
     3. 표준시간 = 정미시간 ×
     4. 표준시간 = 정미시간 ×

     정답 : []
     정답률 : 77%

57. 검사특성곡선(OC Curve)에 관한 설명으로 틀린 것은? (단, N : 로트의 크기, n : 시료의 크기, c : 합격판정개수이다.)
     1. N, n이 일정할 때 c가 커지면 나쁜 로트의 합격률은 높아진다.
     2. N, c가 일정할 때 n이 커지면 좋은 로트의 합격률은 낮아진다.
     3. N/n/c의 비율이 일정하게 증가하거나 감소하는 퍼센트 샘플링 검사 시 좋은 로트의 합격률은 영향이 없다.
     4. 일반적으로 로트의 크기 N이 시료 n에 비해 10배 이상 크다면, 로트의 크기를 증가시켜도 나쁜 로트의 합격률은 크게 변화하지 않는다.

     정답 : []
     정답률 : 62%
     <문제 해설>
퍼센트 샘플링 검사 시 N이 달라지면 n,c도 같이 변하므로 부적합품률이 같은 로트에 대해 품질보증의 정도가 달라져 일정한 품질의 보증을 얻을 수 없다.

58. 품질특성에서 X관리도로 관리하기에 가장 거리가 먼 것은?
     1. 볼펜의 길이
     2. 알코올 농도
     3. 1일 전력소비량
     4. 나사길이의 부적함품 수

     정답 : []
     정답률 : 75%

59. 다음 데이터로부터 통계량을 계산한 것 중 틀린 것은?

    

     1. 범위(R) = 7.6
     2. 제곱합(S) = 7.59
     3. 중앙값(Me) = 24.3
     4. 시료분산(s2) = 8.988

     정답 : []
     정답률 : 66%

60. 브레인스토밍(Brainstorming)과 가장 관계가 깊은 것은?
     1. 특성요인도
     2. 파레토도
     3. 히스토그램
     4. 회귀분석

     정답 : []
     정답률 : 77%


정 답 지

1

2

3

4

5

6

7

8

9

10

11

12

13

14

15

16

17

18

19

20

21

22

23

24

25

26

27

28

29

30

31

32

33

34

35

36

37

38

39

40

41

42

43

44

45

46

47

48

49

50

51

52

53

54

55

56

57

58

59

60

에너지관리기능장 필기 기출문제(해설) 및 CBT 2017년07월08일을 이용해 주셔서 감사합니다.
, 필기, 기출문제, 전자문제집, CBT, 온라인, 모의테스트, 모의고사



List of Articles
번호 제목 글쓴이 날짜 조회 수
3342 에너지관리기능장 필기 기출문제(해설) 및 CBT 2009년07월12일(12930) new 좋은아빠되기 2025.10.08 0
3341 에너지관리기능장 필기 기출문제(해설) 및 CBT 2015년07월19일(12931) new 좋은아빠되기 2025.10.08 0
» 에너지관리기능장 필기 기출문제(해설) 및 CBT 2017년07월08일(12932) new 좋은아빠되기 2025.10.08 0
3339 철도신호기사 필기 기출문제(해설) 및 CBT 2015년03월08일(12933) new 좋은아빠되기 2025.10.08 0
3338 방사선비파괴검사기사 필기 기출문제(해설) 및 CBT 2020년06월06일(12934) new 좋은아빠되기 2025.10.08 0
3337 침투비파괴검사기사 필기 기출문제(해설) 및 CBT 2020년06월06일(12935) new 좋은아빠되기 2025.10.08 0
3336 9급 지방직 공무원 정보보호론 필기 기출문제(해설) 및 CBT 2016년06월18일(12937) new 좋은아빠되기 2025.10.08 0
3335 9급 지방직 공무원 정보봉사개론 필기 기출문제(해설) 및 CBT 2016년06월18일(12938) new 좋은아빠되기 2025.10.08 0
3334 9급 지방직 공무원 조림 필기 기출문제(해설) 및 CBT 2016년06월18일(12939) new 좋은아빠되기 2025.10.08 0
3333 9급 지방직 공무원 지방세법 필기 기출문제(해설) 및 CBT 2016년06월18일(12940) new 좋은아빠되기 2025.10.08 0
3332 9급 지방직 공무원 지역사회간호학 필기 기출문제(해설) 및 CBT 2016년06월18일(12941) new 좋은아빠되기 2025.10.08 0
3331 9급 지방직 공무원 지적전산학개론 필기 기출문제(해설) 및 CBT 2016년06월18일(12942) new 좋은아빠되기 2025.10.08 0
3330 9급 지방직 공무원 지적측량 필기 기출문제(해설) 및 CBT 2016년06월18일(12943) new 좋은아빠되기 2025.10.08 0
3329 9급 지방직 공무원 컴퓨터일반 필기 기출문제(해설) 및 CBT 2016년06월18일(12944) new 좋은아빠되기 2025.10.08 0
3328 9급 지방직 공무원 토목설계 필기 기출문제(해설) 및 CBT 2016년06월18일(12945) new 좋은아빠되기 2025.10.08 0
3327 9급 지방직 공무원 한국사 필기 기출문제(해설) 및 CBT 2016년06월18일(12946) new 좋은아빠되기 2025.10.08 0
3326 9급 지방직 공무원 행정법총론 필기 기출문제(해설) 및 CBT 2016년06월18일(12947) new 좋은아빠되기 2025.10.08 0
3325 9급 지방직 공무원 행정학개론 필기 기출문제(해설) 및 CBT 2016년06월18일(12948) new 좋은아빠되기 2025.10.08 0
3324 9급 지방직 공무원 화학 필기 기출문제(해설) 및 CBT 2016년06월18일(12949) new 좋은아빠되기 2025.10.08 0
3323 9급 지방직 공무원 화학공학일반 필기 기출문제(해설) 및 CBT 2016년06월18일(12950) new 좋은아빠되기 2025.10.08 0
Board Pagination Prev 1 ... 605 606 607 608 609 610 611 612 613 614 ... 777 Next
/ 777