자격증 필기 기출문제



9급 지방직 공무원 서울시 전기이론 필기 기출문제(해설) 및 CBT 2018년06월23일(14239)

최강 자격증 기출문제 전자문제집 CBT : www.comcbt.com


전자문제집 CBT란?

종이 문제집이 아닌 인터넷으로 문제를 풀고 자동으로 채점하며 모의고사, 오답 노트, 해설까지 제공하는
무료 기출문제 학습 프로그램으로 실제 상설검정에서 사용하는 OMR 형식의 CBT를 제공합니다.


최신 9급 지방직 공무원 서울시 전기이론 필기 기출문제 : [다운로드]

1. 개방 단자 전압이 12[V]인 자동차 배터리가 있다. 자동차 시동을 걸 때 배터리가 0.5[Ω]의 부하에 전류를 공급하면서 배터리 단자 전압이 10[V]로 낮아졌다면 배터리의 내부저항값[Ω]은?
     1. 0.1
     2. 0.15
     3. 0.2
     4. 0.25

     정답 : []
     정답률 : 73%

2. 특이함수(스위칭함수)에 대한 설명으로 옳은 것을 <보기>에서 모두 고른 것은?

   

     1. ㄱ, ㄴ
     2. ㄱ, ㄷ
     3. ㄴ, ㄷ
     4. ㄷ, ㄹ

     정답 : []
     정답률 : 44%

3. 공장의 어떤 부하가 단상 220V/60Hz 전력선으로부터 0.5의 지상 역률로 22kW를 소비하고 있다. 이때 공장으로 유입되는 전류의 실횻값[A]은?
     1. 50
     2. 100
     3. 150
     4. 200

     정답 : []
     정답률 : 86%

4. <보기>와 같은 필터 회로에 대한 설명으로 가장 옳은 것은?

   

     1. 입력전압 Vin의 주파수가 0일 때 출력전압 Vout은 0이다.
     2. 입력전압 Vin의 주파수가 무한대이면 출력전압 Vout은 Vin과 같다.
     3. 필터회로의 차단주파수는 [Hz]이다.
     4. 차단주파수에서 출력전압은 입력전압보다 위상이 45° 뒤진다.

     정답 : []
     정답률 : 37%

5. 반경이 a, b(b>a)인 두 개의 동심도체 구껍질(spherical shell)로 구성된 구 커패시터의 정전용량은?
     1.
     2.
     3.
     4.

     정답 : []
     정답률 : 83%

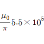
6. <보기>와 같이 평균길이가 10cm, 단면적이 20cm2, 비투자율이 1,000인 철심에 도선이 100회 감겨있고, 60Hz의 교류전류 2A(실효치)가 흐르고 있을 때, 전압 V의 실효치[V]는? (단, 도선의 저항은 무시하며, μ0는 진공의 투자율이다.)

   

     1. 12π×106μ0
     2. 24π×106μ0
     3. 36π×106μ0
     4. 48π×106μ0

     정답 : []
     정답률 : 41%

7. <보기>와 같이 종속전압원을 갖는 회로에서 V2전압[V]은?

   

     1. 1
     2. 1.5
     3. 2
     4. 3

     정답 : []
     정답률 : 67%

8. 자유공간에 놓여 있는 1cm 두께의 합성수지판 표면에 수직방향(법선방향)으로 외부에서 전계 E0[V/m]를 가하였을 경우에 대한 설명으로 가장 옳지 않은 것은? (단, 합성수지판의 비유전율은 εr=2.5이며, ε0는 자유공간의 유전율이다.)
     1. 합성수지판 내부의 전속밀도는 ε0E0[C/m2]이다.
     2. 합성수지판 내부의 전계의 세기는 0.4E0[V/m]이다.
     3. 합성수지판 내부의 분극 세기는 0.5ε0E0[C/m2]이다.
     4. 합성수지판 외부에서 분극 세기는 0이다.

     정답 : []
     정답률 : 65%

9. 15[F]의 정전용량을 가진 커패시터에 270[J]의 전기에너지를 저장할 때, 커패시터 전압[V]은?
     1. 3
     2. 6
     3. 9
     4. 12

     정답 : []
     정답률 : 95%

10. 자성체의 성질에 대한 설명으로 가장 옳지 않은 것은?
     1. 강자성체의 온도가 높아져서 상자성체와 같은 동작을 하게 되는 온도를 큐리온도라 한다.
     2. 강자성체에 외부자계가 인가되면 자성체 내부의 자속밀도는 증가한다.
     3. 발전기, 모터, 변압기 등에 사용되는 강자성체는 매우 작은 인가자계에도 큰 자화를 가져야 한다.
     4. 페라이트는 매우 높은 도전율을 가지므로 고주파수 응용분야에 널리 사용된다.

     정답 : []
     정답률 : 54%

11. <보기>와 같은 회로에서 스위치 S를 닫고 3초 후 커패시터에 나타나는 전압의 근삿값[V]은? (단, Vs=50[V], R=3[MΩ], C=1[μF]이며, 스위치를 닫기 전 커패시터의 전압은 0이다.)

    

     1. 18.5
     2. 25.5
     3. 31.5
     4. 35.5

     정답 : []
     정답률 : 67%

12. R-L-C 직렬회로에 공급되는 교류전압의 주파수가 [Hz]일 때, <보기>의 설명 중 옳은 것을 모두 고른 것은?

    

     1. ㄱ, ㄴ
     2. ㄴ, ㄷ
     3. ㄱ, ㄷ, ㄹ
     4. ㄴ, ㄷ, ㄹ

     정답 : []
     정답률 : 68%

13. <보기>와 같은 회로에서 전압 Vx의 값[V]은?

    

     1. 10
     2. 20
     3. 30
     4. 45

     정답 : []
     정답률 : 57%

14. <보기>와 같은 2포트 회로의 어드미턴스(Y) 파라미터를 모두 더한 값[℧]은?

    

     1. 1/15
     2. 1/30
     3. 15
     4. 30

     정답 : []
     정답률 : 58%

15. <보기>와 같은 RL 직렬회로에서 소비되는 전력[kW]은?

    

     1. 3.2
     2. 3.8
     3. 4
     4. 10

     정답 : []
     정답률 : 83%

16. <보기>와 같은 회로에서 Vab전압의 정상상태 값[V]은?

    

     1. 5+j10
     2. 5+j5
     3. j5
     4. j10

     정답 : []
     정답률 : 76%
     <문제 해설>
오른쪽 병렬부터 해석하면 J2 와 -J1이 병렬이니 (J2 * (-J1)) / (J2 + (-J1)) = -J2
2 + J2 -J2 = 2 즉 전체저항은 2옴
전체전류는 5[A] 이므로 J2에 흐르는 전압은 J10
[해설작성자 : 광자고 전기초보자]

17. <보기>와 같은 회로에서 Rx에 최대 전력이 전달될 수 있도록 할 때, 저항 Rx에서 소모되는 전력[W]은?

    

     1. 1
     2. 5
     3. 10
     4. 15

     정답 : []
     정답률 : 72%

18. 비정현파 전류 i(t)=10sinωt+5sin(3ωt+30°)+√3sin(5ωt+60°)일 때, 전류 i(t)의 실횻값[A]은?
     1. 6
     2. 8
     3. 10
     4. 12

     정답 : []
     정답률 : 77%
     <문제 해설>
루트((10/루트2)제곱 + (5/루트2)제곱+ (루트3/루트2)제곱) = 8
[해설작성자 : 광자고 전기초보자]

19. 라플라스 함수 의 역변환 (t)는?
     1. -2tcost
     2. -2tsint
     3. -tcos2t
     4. -tsin2t

     정답 : []
     정답률 : 71%

20. 비투자율이 3,600, 비유전율이 1인 매질 내 주파수가 1[GHz]인 전자기파의 속도[m/s]는?
     1. 3×108
     2. 1.5×108
     3. 5×107
     4. 5×106

     정답 : []
     정답률 : 58%


정 답 지

1

2

3

4

5

6

7

8

9

10

11

12

13

14

15

16

17

18

19

20

9급 지방직 공무원 서울시 전기이론 필기 기출문제(해설) 및 CBT 2018년06월23일을 이용해 주셔서 감사합니다.
, 필기, 기출문제, 전자문제집, CBT, 온라인, 모의테스트, 모의고사



List of Articles
번호 제목 글쓴이 날짜 조회 수
2258 정보보안기사 필기 기출문제(해설) 및 CBT 2014년04월05일(14221) new 좋은아빠되기 2025.10.08 0
2257 정보보안기사 필기 기출문제(해설) 및 CBT 2014년09월27일(14222) new 좋은아빠되기 2025.10.08 0
2256 누설비파괴검사기사 필기 기출문제(해설) 및 CBT 2020년06월06일(14223) new 좋은아빠되기 2025.10.08 0
2255 정보보안기사 필기 기출문제(해설) 및 CBT 2016년04월02일(14224) new 좋은아빠되기 2025.10.08 0
2254 정보보안기사 필기 기출문제(해설) 및 CBT 2016년09월24일(14225) new 좋은아빠되기 2025.10.08 0
2253 9급 지방직 공무원 서울시 공업화학 필기 기출문제(해설) 및 CBT 2018년06월23일(14226) new 좋은아빠되기 2025.10.08 0
2252 9급 지방직 공무원 서울시 과학 필기 기출문제(해설) 및 CBT 2018년06월23일(14227) new 좋은아빠되기 2025.10.08 0
2251 9급 지방직 공무원 서울시 기계설계 필기 기출문제(해설) 및 CBT 2018년06월23일(14228) new 좋은아빠되기 2025.10.08 0
2250 9급 지방직 공무원 서울시 수학 필기 기출문제(해설) 및 CBT 2018년06월23일(14229) new 좋은아빠되기 2025.10.08 0
2249 정보보안기사 필기 기출문제(해설) 및 CBT 2017년03월25일(14230) new 좋은아빠되기 2025.10.08 0
2248 정보보안기사 필기 기출문제(해설) 및 CBT 2017년09월09일(14231) new 좋은아빠되기 2025.10.08 0
2247 조선산업기사 필기 기출문제(해설) 및 CBT 2002년05월26일(14232) new 좋은아빠되기 2025.10.08 0
2246 조선산업기사 필기 기출문제(해설) 및 CBT 2003년08월10일(14233) new 좋은아빠되기 2025.10.08 0
2245 조선산업기사 필기 기출문제(해설) 및 CBT 2004년08월08일(14234) new 좋은아빠되기 2025.10.08 0
2244 누설비파괴검사기사 필기 기출문제(해설) 및 CBT 2020년09월26일(14235) new 좋은아빠되기 2025.10.08 0
2243 9급 지방직 공무원 서울시 응용역학개론 필기 기출문제(해설) 및 CBT 2018년06월23일(14236) new 좋은아빠되기 2025.10.08 0
2242 9급 지방직 공무원 서울시 자료조직개론 필기 기출문제(해설) 및 CBT 2018년06월23일(14237) new 좋은아빠되기 2025.10.08 0
2241 9급 지방직 공무원 서울시 전기기기 필기 기출문제(해설) 및 CBT 2018년06월23일(14238) new 좋은아빠되기 2025.10.08 0
» 9급 지방직 공무원 서울시 전기이론 필기 기출문제(해설) 및 CBT 2018년06월23일(14239) new 좋은아빠되기 2025.10.08 0
2239 9급 지방직 공무원 서울시 전자공학개론 필기 기출문제(해설) 및 CBT 2018년06월23일(14240) new 좋은아빠되기 2025.10.08 0
Board Pagination Prev 1 ... 666 667 668 669 670 671 672 673 674 675 ... 783 Next
/ 783