자격증 필기 기출문제



포장산업기사 필기 기출문제(해설) 및 CBT 2004년05월23일(14589)

최강 자격증 기출문제 전자문제집 CBT : www.comcbt.com


전자문제집 CBT란?

종이 문제집이 아닌 인터넷으로 문제를 풀고 자동으로 채점하며 모의고사, 오답 노트, 해설까지 제공하는
무료 기출문제 학습 프로그램으로 실제 상설검정에서 사용하는 OMR 형식의 CBT를 제공합니다.


최신 포장산업기사 필기 기출문제 : [다운로드]

1과목 : 포장일반


1. 어떤 조명광이나 물체색을 오랫동안 보면 그 색에 순응되어 색의 지각이 약해지는 현상은 무엇인가?
     1. 명순응
     2. 암순응
     3. 색순응
     4. 휘도순응

     정답 : []
     정답률 : 알수없음

2. 현재 국내에서 사용하고 있는 수출용 콘테이너 규격으로 가장 적당한 것은?
     1. 10ft, 15ft
     2. 20ft, 40ft
     3. 50ft, 55ft
     4. 60ft, 70ft

     정답 : []
     정답률 : 알수없음

3. 포장용기의 취급주의, 수송.하역 방법등을 시각적으로 표시하는 방법을 무엇이라 하는가?
     1. 심볼마아크
     2. 픽토그래프
     3. 문자마아크
     4. 로고타입

     정답 : []
     정답률 : 알수없음

4. 파렛트(Pallet)의 정의 중 가장 관계가 없는 것은?
     1. 수송
     2. 보관
     3. 하역
     4. 인쇄

     정답 : []
     정답률 : 알수없음

5. 포장디자인의 색채계획시 고려할 사항 중 가장 관계가 없는 사항은?
     1. 기업의 이미지
     2. 상품의 이미지
     3. 디자이너의 이미지
     4. 브랜드의 이미지

     정답 : []
     정답률 : 알수없음

6. 수출 포장에서 외적 조건에 포함되지 않는 사항은?
     1. 상대국의 기상조건
     2. 상대국의 풍습
     3. 상대국의 관세법규
     4. 포장방법

     정답 : []
     정답률 : 알수없음

7. 사진식자의 글자 중 가장 얇게 보이는 것은 무엇인가?
     1. 세명조
     2. 태명조
     3. 중명조
     4. 견출명조

     정답 : []
     정답률 : 알수없음

8. 각종 포장재료 중에서 판매효과를 증대시키기 위하여 표면 디자인과 구조의 모든 응용조합이 가장 손쉽고 사용 범위가 가장 넓은 재료는?
     1. 유리
     2. 금속
     3. 목재
     4. 종이

     정답 : []
     정답률 : 알수없음

9. 물품 개개의 단위포장으로 상품의 가치를 높이는 포장의 분류는?
     1. 속포장
     2. 겉포장
     3. 경포장
     4. 낱포장

     정답 : []
     정답률 : 알수없음

10. 오프셋(off - set)인쇄에 대한 설명 중 옳지 않은 것은?
     1. 섬세한 인쇄와 선명한 천연색 인쇄가 된다.
     2. 인쇄면이 다소 거칠어도 가능하며, 갱지 정도라면 가능하다.
     3. 인쇄판의 제작 비용이 비교적 싸다.
     4. 판 한벌로 반영구적으로 많은 인쇄를 할 수 있다.

     정답 : []
     정답률 : 알수없음

11. 그라비어 제판시 사용되는 광원이 갖추어야할 조건이 아닌 것은?
     1. 노광중의 광량이 안정할 것
     2. 적당한 빛의 방향성을 가질 것
     3. 경비가 저렴할 것
     4. 적외선 파장을 가질 것

     정답 : []
     정답률 : 알수없음

12. 정밀도는 높지않지만 구조가 간단하고 저점도 액체용으로 용량변경이 용이한 충전방식은?
     1. 중력방식
     2. 탱크 진공방식
     3. 노즐 진공방식
     4. 컵 계량방식

     정답 : []
     정답률 : 알수없음

13. 크로스링에 대한 설명과 거리가 가장 먼 것은?
     1. 분체용 충진기중 타래(Auger)방식에서 타래케이스 끝에 설치한다.
     2. 분체의 흐름을 평균, 분산화 시키는 장치이다.
     3. 분체의 물성에 따라 각기 다른형상의 것을 사용한다.
     4. 분체를 타래(Auger)로 원활하게 공급하고 물성을 안정화하는 역할을 한다.

     정답 : []
     정답률 : 알수없음

14. 수축포장에 대한 설명중 틀린 것은?
     1. 봉함기(포장기)와 수축터널로 이루어져 있다.
     2. 필름이 수축할 때 공기가 빠져나갈 수 있는 통기구멍이 존재한다.
     3. 수축포장기는 통상 치수의 변경이 필요 없던가, 또는 취급이 간편한 기종이다.
     4. 일반 필름을 사용하여도 수축터널을 통과하면 수축이 된다.

     정답 : []
     정답률 : 알수없음

15. 최근 문제가 되고 있는 환경 호르몬 관련 포장재 원료물질이 아닌 것은?
     1. 에폭시 수지(캔의 내부 도료)
     2. 발포 폴리스티렌(컵라면 용기)
     3. 폴리프로필렌(음료수 용기)
     4. 폴리카보네이트(생수용기)

     정답 : []
     정답률 : 알수없음

16. 포장비의 절감방법이 아닌 것은?
     1. 포장의 설계변경
     2. 포장재료의 변경
     3. 포장단가의 고정화
     4. 포장의 기계화

     정답 : []
     정답률 : 알수없음

17. 지하수 오염과 연결되어 있는 폐기물 처리방안은?
     1. 매립
     2. 소각
     3. 재활용
     4. 경량화

     정답 : []
     정답률 : 알수없음

18. 종이의 생분해를 가장 크게 방해하는 물질은?
     1. 왁스
     2. 산화전분
     3. 로진
     4. 탈크

     정답 : []
     정답률 : 알수없음

19. 기업이 자기자신의 주체성을 증명하고 타회사와의 구별을 선명히 하기 위해 의도적으로 하나의 기획스타일을 만들어 가는 것을 무엇이라 하는가?
     1. BI(Brand identity)
     2. SP(sales promotion)
     3. CI(corporated identity)
     4. RD(redesign)

     정답 : []
     정답률 : 알수없음

20. 표준 파렛트에 장과 폭이 660× 220mm인 골판지 상자는 적재효율이 얼마인가?
     1. 90.0%
     2. 93.0%
     3. 96.0%
     4. 99.0%

     정답 : []
     정답률 : 알수없음

2과목 : 포장재료


21. 히트 씰러(Heat sealer)에 덧씌워 접착부위를 손상하지 않게 하기 위하여 사용되는 재료는?
     1. 고무
     2. 테프론
     3. 폴리에스테르
     4. 폴리 카보네이트

     정답 : []
     정답률 : 알수없음

22. 종이 제조과정에서 물(액체)에 대한 저항성을 부여하기 위해 약품을 첨가하는 공정은?
     1. 초지
     2. 캘린더링
     3. 건조
     4. 사이징

     정답 : []
     정답률 : 알수없음

23. 다음중 기화성 방청제를 처리한 필름은 무엇인가?
     1. Al증착 필름
     2. VCI 필름
     3. PAN 필름
     4. HIPS 필름

     정답 : []
     정답률 : 알수없음

24. 골판지의 골방향에 직각으로 들어가는 괘선을 무엇이라고 하는가?
     1. 스코아
     2. 크리즈
     3. 슬로트
     4. 플랩

     정답 : []
     정답률 : 알수없음

25. 셀로판의 성질에 대해 가장 올바르게 설명된 것은?
     1. 착색이 곤란하다.
     2. 인쇄적성이 불량하다.
     3. 보통 셀로판은 열접착성이 없다.
     4. 가스투과성은 다습시에는 감소한다.

     정답 : []
     정답률 : 알수없음

26. 종이의 광학적 성질과 관련이 가장 적은 것은?
     1. 백색도
     2. 불투명도
     3. 광택도
     4. 사이즈도

     정답 : []
     정답률 : 알수없음

27. 유리의 주요성분으로 가장 많은 부분을 차지하는 원료는?
     1. SiO2
     2. Na2O
     3. CaO
     4. MgO

     정답 : []
     정답률 : 알수없음

28. PET 용기는 내용물의 충진조건과 살균조건에 따라 종류가 다른데 내열용으로 개발된 것은?
     1. NR
     2. PR
     3. HR
     4. VR

     정답 : []
     정답률 : 알수없음

29. 다음 필름중에서 수증기 차단성이 가장 나쁜 것은?
     1. PE
     2. PP
     3. PT
     4. PVDC

     정답 : []
     정답률 : 알수없음

30. 2-piece 캔에 관한 설명으로 틀린 것은?
     1. 주로 맥주, 탄산음료용으로 많이 사용된다.
     2. 인쇄가능 면적이 넓고 미적 이점이 있다.
     3. 주석, 알루미늄 시트 모두 사용이 가능하다.
     4. 레이져용접, 유기접착제로 몸체부분을 원통모양으로 결합, 고정시킨다.

     정답 : []
     정답률 : 알수없음

31. 일반 식품용으로 가장 적절한 강판의 명칭은?
     1. MC형
     2. D형
     3. MR형
     4. N형

     정답 : []
     정답률 : 알수없음

32. 농업용 비닐하우스 필름이나 쇼핑백으로 가장 많이 쓰이는 플라스틱 종류는?
     1. 폴리에틸렌
     2. 폴리프로필렌
     3. 폴리아마이드
     4. 폴리스틸렌

     정답 : []
     정답률 : 알수없음

33. PE필름 사이에 공기를 주입한 기포모양의 플라스틱 완충 재료는?
     1. EPU
     2. HIPS
     3. Air cap
     4. Ethafoam

     정답 : []
     정답률 : 알수없음

34. 다음 중 펄프화법의 분류에서 화학펄프에 속하는 것은?
     1. SP
     2. GP
     3. TMP
     4. NSSCP

     정답 : []
     정답률 : 알수없음

35. 플라스틱 필름을 연신하면 좋아지는 효과와 가장 거리가 먼 것은?
     1. 방습성이 개선된다.
     2. 내열성이 향상된다.
     3. 신장력(도)이 커진다.
     4. 두께 정밀도가 좋아진다.

     정답 : []
     정답률 : 알수없음

36. 폴리스틸렌(PS) 필름의 특성이 아닌 것은?
     1. 다른 재료와의 접착성이 좋다.
     2. 인쇄적성이 좋지 않다.
     3. 가스투과도가 높다.
     4. 투습도가 높다.

     정답 : []
     정답률 : 알수없음

37. 포(布)를 기재로 하여 전기절연용으로 사용되며 중(重)포장용으로 사용되는 점착테이프는?
     1. 크라프트 점착테이프
     2. 천 점착테이프
     3. 폴리에틸렌 점착테이프
     4. 경질 염화비닐테이프

     정답 : []
     정답률 : 알수없음

38. 플라스틱중 열가소성 수지가 아닌 것은?
     1. PE
     2. PVC
     3. PP
     4. EP

     정답 : []
     정답률 : 알수없음

39. 건조전 목재중량이 135g 이고 그 건조후 중량이 100g일 때 함수율은?
     1. 0.35%
     2. 35%
     3. 0.26%
     4. 26%

     정답 : []
     정답률 : 알수없음

40. 종이의 종류에 따라서 인쇄적성을 양호하게 하고 평활도, 불투명도를 증가시킬 목적으로 광물질 분말을 첨가하는 공정을 무엇이라고 하는가?
     1. 사이징
     2. 충전
     3. 고해
     4. 초지

     정답 : []
     정답률 : 알수없음

3과목 : 포장기법


41. 다음은 화학적 방청이론식이다. ( ) 안에 가장 알맞는 것은?

    

     1. Fe2 O3
     2. Fe(OH)2
     3. Fe CO3
     4. Fe(OH)3

     정답 : []
     정답률 : 알수없음

42. 진공포장과 비슷한 포장방식으로 기판에 식품을 올려놓고 필름을 흡입압착시켜 포장하는 방식을 무엇이라 하는가?
     1. Skin Pack
     2. P.T Pack
     3. Pouch Pack
     4. Tray Pack

     정답 : []
     정답률 : 알수없음

43. 양면골판지(A골) 상자의 외치수는 내치수에 대하여 어느 정도의 가산치를 고려해야 하는가?
     1. 길이+6mm, 나비+6mm, 높이+9mm
     2. 길이+3mm, 나비+3mm, 높이+6mm.
     3. 길이+2mm, 나비+2mm, 높이+3mm
     4. 길이+9mm, 나비+9mm, 높이+18mm

     정답 : []
     정답률 : 알수없음

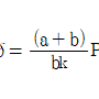
44. 다음과 같은 조건에 있어서 최대응력(kgf/cm2)은 얼마인가?

    

     1. 1
     2. 2
     3. 3
     4. 4

     정답 : []
     정답률 : 알수없음

45. 환경기체조절포장(MAP)에서 미생물 생육억제 용도로 가장 많이 사용되는 가스는?
     1. CO
     2. CO2
     3. N2
     4. O2

     정답 : []
     정답률 : 알수없음

46. 전자레인지 조리시 Crispy한 맛을 부여하기 위하여 사용되는 발열포장재에 대한 설명으로 잘못된 것은?
     1. 발열포장재의 가열에 의한 도전층의 전기저항치와 관계가 깊다.
     2. 고분자필름에 부여되는 증착두께는 두꺼울 수록 효과가 크다.
     3. 발열체를 다층화 시키면 발열효율은 증가된다.
     4. 고분자필름에 부여되는 증착두께를 적절하게 조절하지 않으면 조리시 스파크가 일어난다.

     정답 : []
     정답률 : 알수없음

47. 이중 양면골판지 상자에 있어서 이음여유의 나비는 어느 정도로 부여하는 것이 가장 좋은가?
     1. 25mm
     2. 30mm
     3. 35mm
     4. 45mm

     정답 : []
     정답률 : 알수없음

48. 흡습제로 사용되는 실리카겔의 소요량 산출공식 W=ARM/K + D/2 에서 A는?
     1. 포장화물의 외면적을 feet2로 표시한 것이다.
     2. 포장화물의 용적을 m3로 표시한 것이다.
     3. 포장화물의 용적을 feet3로 표시한 것이다.
     4. 포장화물의 외면적을 m2로 표시한 것이다.

     정답 : []
     정답률 : 알수없음

49. 수축포장과 가장 관계가 먼 내용은?
     1. 수축턴넬
     2. 열수축 필름
     3. 피포장물 형태로 필름의 성형
     4. 포장이 끝나면 필름이 내용물에 밀착된다.

     정답 : []
     정답률 : 알수없음

50. 다음 중 골판지의 골방향에 대하여 수직으로 압력을 가했을 때 강도가 가장 높게 나타나는 골판지는? (단, 골판지 원지 및 크기는 동일한 것으로 간주함.)
     1. 양면골판지 A골
     2. 양면골판지 B골
     3. 양면골판지 C골
     4. 양면골판지 E골

     정답 : []
     정답률 : 알수없음

51. 활성포장설계 중 에틸렌 흡수제를 사용하면 효과가 가장 우수한 식품은?
     1. 케이크, 신선육류
     2. 과자, 빵, 피자
     3. 커피
     4. 과실류, 채소류

     정답 : []
     정답률 : 알수없음

52. 캔디를 트위스트 포장하려고 할 때 가장 적합한 것은?
     1. OPP
     2. PET
     3. PE
     4. 셀로판

     정답 : []
     정답률 : 알수없음

53. 가스충전 포장으로 얻을수 있는 장점이 아닌 것은?
     1. 건조식품의 흡습방지
     2. 내용물 산화방지
     3. 충해발생방지
     4. 포장의 보형성과 완충성

     정답 : []
     정답률 : 알수없음

54. 다음중 kgf 의 개념으로서 가장 올바른 것은?
     1. 질량을 나타내는 단위로서 중력가속도를 고려 하지 않은 개념이다.
     2. 파열강도를 나타내는 단위이다.
     3. 중량 혹은 무게를 나타내는 단위로서 중력가속도를 고려한 개념이다.
     4. 질량을 나타내는 단위로서 부피를 함께 고려한 개념이다.

     정답 : []
     정답률 : 알수없음

55. 진공포장 기법중 챔버내부를 진공포장기로 0.5~0.8 Torr정도 감압하여 봉지 내부를 탈기한 후 입구를 밀봉 시키는 방법은?
     1. 기계적 압착법
     2. 챔버식 탈기법
     3. 스팀 플래쉬법
     4. 노즐식 탈기법

     정답 : []
     정답률 : 알수없음

56. 자유낙하로 1초 후의 낙하높이와 충돌속도는?
     1. 4.9m , 9.8m/sec
     2. 9.8m , 19.6m/sec
     3. 14.7m , 29.4m/sec
     4. 39.2m , 39.2m/sec

     정답 : []
     정답률 : 알수없음

57. OPP/PE/LLDPE의 재질로 열봉함 하였더니 OPP층이 녹는 현상이 발생하여 LLDPE층을 다른 재질로 바꾸려고 하는데 어느 재질이 가장 좋겠는가?
     1. PET
     2. OPS
     3. Nylon
     4. ionomer

     정답 : []
     정답률 : 알수없음

58. 포장을 설계 시공시 가장 유의해야할 사항은?
     1. 제품의 보호와 보존
     2. 판매촉진 방안
     3. 계절별 온도변화 주기
     4. 소비자의 기호 및 성질

     정답 : []
     정답률 : 알수없음

59. 과채류의 환경기체조절포장 조건으로 가장 적합한 것은?
     1. O2: 0%, CO2: 0%, N2: 100%
     2. O2: 2%, CO2: 5%, N2: 93%
     3. O2: 5%, CO2: 0%, N2: 95%
     4. O2: 10%, CO2: 90%, N2: 10%

     정답 : []
     정답률 : 알수없음

60. 스트립(Strip)포장과 가장 관계가 적은 것은?
     1. 정제(錠劑)
     2. 분제(粉劑)
     3. 캡슐(Capsule)
     4. 반고체의 잼(Jam)

     정답 : []
     정답률 : 알수없음

61. 방청시험에서 글리세린 수용액과의 녹 발생 반응을 측정하는 시험방법은?
     1. 기화성 방청성시험
     2. 염수분무시험
     3. 습윤시험
     4. 산 중화시험

     정답 : []
     정답률 : 알수없음

62. 부적합품(불량)율을 관리하는데 사용되는 관리도(control chart)는?
     1. 관리도
     2. P관리도
     3. nP관리도
     4. C관리도

     정답 : []
     정답률 : 알수없음

63. 링 크랏쉬(Ring Crush)시험기는 무엇을 측정하기 위한 시험기 인가?
     1. 타공강도 시험
     2. 인열강도 시험
     3. 압축강도 시험
     4. 내절도 시험

     정답 : []
     정답률 : 알수없음

64. 소비자가 요구하는 품질로서 설계시 판매정책에 반영되는 품질을 무엇이라 하는가?
     1. 설계품질
     2. 시장품질
     3. 작업품질
     4. 가공품질

     정답 : []
     정답률 : 알수없음

65. 사이즈도에 관한 설명 중 맞지 않는 것은?
     1. 잉크의 번짐성을 측정한다.
     2. 사이즈도 값이 클 수록 잉크의 번짐성도 크다.
     3. 단위는 초(sec)이다.
     4. 시약으로 로단암모늄과 염화제2철이 사용된다.

     정답 : []
     정답률 : 알수없음

66. 랜덤샘플링 방법이 아닌 것은?
     1. 로트샘플링
     2. 계통샘플링
     3. 단순샘플링
     4. 지그재그 샘플링

     정답 : []
     정답률 : 알수없음

67. 종이류 시험용지의 채취방법에 대한 설명 중 틀린 것은?
     1. 시험용지는 파손이 없는 여러층의 전지폭에서 채취한다.
     2. 시험편은 가로, 세로방향에 정확히 평행되게 자른다.
     3. 시험할 수 있는 충분한 매수를 채취한다.
     4. 수분 측정시 두루마리의 경우 4겹 안쪽의 것을 채취한다.

     정답 : []
     정답률 : 알수없음

68. 스티프니스 시험은 무엇을 측정하는 시험인가?
     1. 종이의 저항에 대한 강성
     2. 종이의 평량
     3. 종이의 재료구성 강도
     4. 종이에 함유된 화학적인 물질

     정답 : []
     정답률 : 알수없음

69. 포장화물의 평가시험중 진동,낙하시험 및 압축시험에서의 시료갯수는 최소한 몇 개가 필요한가?
     1. 1개 이상
     2. 3개 이상
     3. 5개 이상
     4. 7개 이상

     정답 : []
     정답률 : 알수없음

70. 품질을 나타내는 특성치에 대하여 그 변동상태 및 분포상태를 한눈에 알 수 있도록 하는 가장 유리한 품질관리기법은?
     1. 특성요인도
     2. 파레토그림
     3. 체크시이트
     4. 히스토그램

     정답 : []
     정답률 : 알수없음

71. 포장재의 인쇄 적성을 알아보기 위해 실시하는 시험은?
     1. 평활도 시험
     2. 유면도 시험
     3. 투기도 시험
     4. 내절도 시험

     정답 : []
     정답률 : 알수없음

72. 플라스틱 필름에 대한 투습도 시험방법에 대한 설명 중 틀린 것은?
     1. 투습면적은 30cm2의 것을 표준으로 하고 있다.
     2. 측정조건은 40± 1℃, 90± 2% RH이다.
     3. 단위는 g/m·24h이다.
     4. 흡습제는 무수 염화칼슘을 사용한다.

     정답 : []
     정답률 : 알수없음

73. 다음 중 전수 검사가 필요한 경우는?
     1. 검사 항목이 많은 경우
     2. 고가인 품목
     3. 생산자에게 품질 향상의 자극을 주고 싶은 경우
     4. 파괴 검사의 경우

     정답 : []
     정답률 : 알수없음

74. 다음은 발수도 시험결과이다. 이중 제일 발수성이 우수한 것은 어느 것인가?
     1. R2
     2. R4
     3. R8
     4. R10

     정답 : []
     정답률 : 알수없음

75. 일반적인 품질비용의 분류항목에 들지 않은 것은?
     1. 예방비용
     2. 평가비용
     3. 개선비용
     4. 실패비용

     정답 : []
     정답률 : 알수없음

76. 켈리커트(Kellicutt)식을 사용하기 위해 반드시 시험을 거쳐서 알아야 할 인자는 어느 시험인가?
     1. 파열강도
     2. 링크랏쉬
     3. 인열강도
     4. 인장강도

     정답 : []
     정답률 : 알수없음

77. 방습포장 재료의 투습도 시험에 관한 설명 내용으로 가장 관계가 먼 것은?
     1. 방습포장 재료의 투습도 시험치는 적을수록 좋다.
     2. 투습도 시험은 필름이면 캡내부를 항상 건조상태로 했을 때 투과된 양이다.
     3. 투습도 시험시 필요한 기구는 항온항습장치, 투습컵, 화학저울 등이다.
     4. 투습도 시험은 종이재료에도 적용할 수 있다.

     정답 : []
     정답률 : 알수없음

78. 콘코라 시험(concola test)에 대한 설명으로 가장 올바른 것은?
     1. 골심지의 평면 압축시험이다.
     2. 포장재료의 방수성 시험이다.
     3. 에이징 접착력 시험을 말한다.
     4. 시험용지의 전처리 과정이다.

     정답 : []
     정답률 : 알수없음

79. 화물이 수송될 경우에 일어나는 충격강도를 표시하는 G는 다음 중 어느 것에 해당되는가?
     1. 무게의 함수
     2. 힘의 배수
     3. 중력가속도의 배수
     4. 낙하높이의 배수

     정답 : []
     정답률 : 알수없음

80. 시험장치가 7feet형과 14feet형으로 구분되는 시험기는?
     1. 회전6각드럼시험기
     2. 경사충격시험기
     3. 낙하시험기
     4. 진동시험기

     정답 : []
     정답률 : 알수없음


정 답 지

1

2

3

4

5

6

7

8

9

10

11

12

13

14

15

16

17

18

19

20

21

22

23

24

25

26

27

28

29

30

31

32

33

34

35

36

37

38

39

40

41

42

43

44

45

46

47

48

49

50

51

52

53

54

55

56

57

58

59

60

61

62

63

64

65

66

67

68

69

70

71

72

73

74

75

76

77

78

79

80

포장산업기사 필기 기출문제(해설) 및 CBT 2004년05월23일을 이용해 주셔서 감사합니다.
, 필기, 기출문제, 전자문제집, CBT, 온라인, 모의테스트, 모의고사



List of Articles
번호 제목 글쓴이 날짜 조회 수
1918 광고도장기능사 필기 기출문제(해설) 및 CBT 2002년01월27일(14571) new 좋은아빠되기 2025.10.08 0
1917 광고도장기능사 필기 기출문제(해설) 및 CBT 2002년04월07일(14572) new 좋은아빠되기 2025.10.08 0
1916 광고도장기능사 필기 기출문제(해설) 및 CBT 2002년10월06일(14573) new 좋은아빠되기 2025.10.08 0
1915 해양자원개발기사 필기 기출문제(해설) 및 CBT 2009년05월10일(14574) new 좋은아빠되기 2025.10.08 0
1914 해양공학기사 필기 기출문제(해설) 및 CBT 2011년06월12일(14575) new 좋은아빠되기 2025.10.08 0
1913 해양자원개발기사 필기 기출문제(해설) 및 CBT 2010년05월09일(14577) new 좋은아빠되기 2025.10.08 0
1912 해양자원개발기사 필기 기출문제(해설) 및 CBT 2012년05월20일(14578) new 좋은아빠되기 2025.10.08 0
1911 광고도장기능사 필기 기출문제(해설) 및 CBT 2003년10월05일(14579) new 좋은아빠되기 2025.10.08 0
1910 전산응용건축제도기능사 필기 기출문제(해설) 및 CBT 2001년04월29일(2회)(14580) new 좋은아빠되기 2025.10.08 0
1909 전산응용건축제도기능사 필기 기출문제(해설) 및 CBT 2001년07월22일(4회)(14581) new 좋은아빠되기 2025.10.08 0
1908 전산응용건축제도기능사 필기 기출문제(해설) 및 CBT 2001년10월14일(5회)(14582) new 좋은아빠되기 2025.10.08 0
1907 포장산업기사 필기 기출문제(해설) 및 CBT 2002년05월26일(14583) new 좋은아빠되기 2025.10.08 0
1906 포장산업기사 필기 기출문제(해설) 및 CBT 2003년05월25일(14584) new 좋은아빠되기 2025.10.08 0
1905 원형기능사 필기 기출문제(해설) 및 CBT 2002년10월06일(14585) new 좋은아빠되기 2025.10.08 0
1904 농업기계기사 필기 기출문제(해설) 및 CBT 2003년08월31일(14586) new 좋은아빠되기 2025.10.08 0
1903 원형기능사 필기 기출문제(해설) 및 CBT 2004년07월18일(14587) new 좋은아빠되기 2025.10.08 0
1902 농업기계기사 필기 기출문제(해설) 및 CBT 2004년08월08일(14588) new 좋은아빠되기 2025.10.08 0
» 포장산업기사 필기 기출문제(해설) 및 CBT 2004년05월23일(14589) new 좋은아빠되기 2025.10.08 0
1900 포장산업기사 필기 기출문제(해설) 및 CBT 2005년05월29일(14590) new 좋은아빠되기 2025.10.08 0
1899 농림토양평가관리산업기사 필기 기출문제(해설) 및 CBT 2004년12월12일(14591) new 좋은아빠되기 2025.10.08 0
Board Pagination Prev 1 ... 683 684 685 686 687 688 689 690 691 692 ... 783 Next
/ 783