자격증 필기 기출문제



9급 지방직 공무원 서울시 수학 필기 기출문제(해설) 및 CBT 2016년06월25일(14679)

최강 자격증 기출문제 전자문제집 CBT : www.comcbt.com


전자문제집 CBT란?

종이 문제집이 아닌 인터넷으로 문제를 풀고 자동으로 채점하며 모의고사, 오답 노트, 해설까지 제공하는
무료 기출문제 학습 프로그램으로 실제 상설검정에서 사용하는 OMR 형식의 CBT를 제공합니다.


최신 9급 지방직 공무원 서울시 수학 필기 기출문제 : [다운로드]

1. 구간 [0, 5]에서 함수 f(x)=2x3-15x2+24x의 최댓값을 구하면?
     1. 11
     2. 12
     3. 13
     4. 14

     정답 : []
     정답률 : 알수없음

2. 방정식 (x-3)2-2|x-3|-3=0 의 모든 근의 합은?
     1. 5
     2. 6
     3. 7
     4. 8

     정답 : []
     정답률 : 알수없음

3. x에 대한 다항식 f(x)를 x+1 로 나누면 나머지가 -5이고, x-2 로 나누면 나머지가 4라고 한다. 다항식 f(x)를 (x+1)(x-2)로 나눈 나머지를 R(x)라고 할 때, R(1)의 값은?
     1. -2
     2. -1
     3. 0
     4. 1

     정답 : []
     정답률 : 알수없음

4. 점 A(0, a)에서 원 x2+y2=18 에 그은 두 접선이 서로 수직일 때, 양수 a의 값은?
     1. 2
     2. 4
     3. 6
     4. 8

     정답 : []
     정답률 : 알수없음

5. 실수 x, y에 대하여, 연립부등식 의 영역의 넓이는?
     1. (1/4)π
     2. (1/3)π
     3. (2/3)π
     4. (3/4)π

     정답 : []
     정답률 : 알수없음

6. 원 x2+y2-4x-2y+1=0 과 직선 4x-3y+k=0 이 서로 다른 두 점에서 만날 때, 정수 k의 개수는?
     1. 18
     2. 19
     3. 20
     4. 21

     정답 : []
     정답률 : 알수없음

7. 어떤 제품을 생산하는 회사가 세 공장 A, B, C에 그 제품의 생산을 하청한다. 이 제품에 대한 A, B, C 세 공장의 생산량과 각 공장에서의 불량품의 비율이 오른쪽 표와 같다.

이 회사의 제품 중에서 임의로 추출한 제품이 불량품이었을 때, 그 제품이 A공장에서 생산된 제품일 확률은?
     1. 1/8
     2. 1/4
     3. 3/10
     4. 9/20

     정답 : []
     정답률 : 알수없음

8. 다음 <보기>에서 수렴하는 것만을 고른 것은?

   

     1. ㄱ, ㄴ
     2. ㄱ, ㄷ
     3. ㄴ, ㄷ
     4. ㄷ, ㄹ

     정답 : []
     정답률 : 알수없음

9. 함수 f(x)=x3-2x2+x+2 에 대하여, 의 값은?
     1. 1
     2. 2
     3. 3
     4. 4

     정답 : []
     정답률 : 알수없음

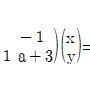
10. 두 실수 a, b가 를 만족시킬 때, a+b의 값은?
     1. -7/4
     2. -3/4
     3. 1/4
     4. 5/4

     정답 : []
     정답률 : 알수없음

11. 다항함수 f(x)가 다음 두 조건을 만족시킨다.

이때, f(1)의 값을 구하면? (단, m은 실수이다.)
     1. 1
     2. 2
     3. 3
     4. 4

     정답 : []
     정답률 : 알수없음

12. 등차수열 {an}에 대하여 a1=2, a100-a97=9 일 때, a1+a2+a3+⋯+a10 의 값은?
     1. 155
     2. 158
     3. 161
     4. 164

     정답 : []
     정답률 : 알수없음

13. 수열 {an}의 첫째항부터 제n항까지의 합 Sn이 Sn=2n2+3n 일 때, 의 값은?
     1. 1/45
     2. 2/45
     3. 1/15
     4. 4/45

     정답 : []
     정답률 : 알수없음

14. 유리함수 y=(2x+5)/(x+1) 의 그래프를 x축 방향으로 a만큼, y축 방향으로 3만큼 평행이동한 후, 원점에 대하여 대칭이동하였더니 유리함수 y=b+k/(x-5) 의 그래프와 겹쳐졌다. 이때, a+b+k 의 값은? (단, a, b, k는 정수이다.)
     1. -6
     2. -4
     3. 4
     4. 6

     정답 : []
     정답률 : 알수없음

15. 전체집합 U={1, 2, 3, 4, 5}에 대하여 A={1, 2, 3} 일 때, n(A-B)=1 을 만족하는 부분집합 B의 개수는? (단, 집합 X에 대하여, n(X)는 집합 X의 원소의 개수를 나타낸다.)
     1. 6
     2. 8
     3. 10
     4. 12

     정답 : []
     정답률 : 알수없음

16. 이차함수 f(x)=x2-2x+2(x≥1) 에 대하여, 함수 y=f(x) 의 그래프와 그 역함수 y=f-1(x)그래프의 두 교점을 각각 A, B라 할 때, 선분 의 길이는?
     1. 1
     2. √2
     3. √3
     4. 2

     정답 : []
     정답률 : 알수없음

17. 3(√2+5)×3(√2-1)÷9(√2+1) 의 값은?
     1. 1/9
     2. 1/3
     3. 3
     4. 9

     정답 : []
     정답률 : 알수없음

18. 반지름이 1cm인 구가 있다. 이 구의 반지름이 2cm/초로 일정하게 증가한다고 할 때, 겉넓이의 변화율이 48πcm2/초가 되는 순간 이 구의 부피는?
     1. 18πcm3
     2. 27πcm3
     3. 36πcm3
     4. 45πcm3

     정답 : []
     정답률 : 알수없음

19. 남자 3명, 여자 2명을 일렬로 세울 때, 여자들끼리는 이웃하지 않도록 세우는 경우의 수는?
     1. 68
     2. 70
     3. 72
     4. 74

     정답 : []
     정답률 : 알수없음

20. A고등학교 1학년 남학생의 키는 정규분포를 따른다고 한다. 이 중 64명을 임의추출하여 키를 조사하였더니 평균이 175cm, 표준편차가 16cm이었다. A고등학교 1학년 전체 남학생 키의 평균 m에 대한 신뢰도 95%의 신뢰구간은? (단, P(|Z|≤1.96)=0.95, P(|Z|≤2.58)=0.99)
     1. 173.04≤ m ≤ 176.96
     2. 172.42≤ m ≤ 177.58
     3. 171.08≤ m ≤ 178.92
     4. 169.84≤ m ≤ 180.16

     정답 : []
     정답률 : 알수없음


정 답 지

1

2

3

4

5

6

7

8

9

10

11

12

13

14

15

16

17

18

19

20

9급 지방직 공무원 서울시 수학 필기 기출문제(해설) 및 CBT 2016년06월25일을 이용해 주셔서 감사합니다.
, 필기, 기출문제, 전자문제집, CBT, 온라인, 모의테스트, 모의고사



List of Articles
번호 제목 글쓴이 날짜 조회 수
1818 실내건축기사(구) 필기 기출문제(해설) 및 CBT 2021년05월15일(14673) new 좋은아빠되기 2025.10.08 0
1817 철도토목기능사 필기 기출문제(해설) 및 CBT 2010년07월11일(14674) new 좋은아빠되기 2025.10.08 0
1816 철도토목기능사 필기 기출문제(해설) 및 CBT 2008년03월30일(14675) new 좋은아빠되기 2025.10.08 0
1815 원자력기사 필기 기출문제(해설) 및 CBT 2010년09월11일(14677) new 좋은아빠되기 2025.10.08 0
1814 원자력기사 필기 기출문제(해설) 및 CBT 2011년09월03일(14678) new 좋은아빠되기 2025.10.08 0
» 9급 지방직 공무원 서울시 수학 필기 기출문제(해설) 및 CBT 2016년06월25일(14679) new 좋은아빠되기 2025.10.08 0
1812 9급 지방직 공무원 서울시 수학(지적) 필기 기출문제(해설) 및 CBT 2016년06월25일(14680) new 좋은아빠되기 2025.10.08 0
1811 9급 지방직 공무원 서울시 자료조직개론 필기 기출문제(해설) 및 CBT 2016년06월25일(14681) new 좋은아빠되기 2025.10.08 0
1810 9급 지방직 공무원 서울시 전기이론 필기 기출문제(해설) 및 CBT 2016년06월25일(14682) new 좋은아빠되기 2025.10.08 0
1809 9급 지방직 공무원 서울시 회계학 필기 기출문제(해설) 및 CBT 2016년06월25일(14683) new 좋은아빠되기 2025.10.08 0
1808 기계가공조립기능사 필기 기출문제(해설) 및 CBT 2008년02월03일(1회)(14684) new 좋은아빠되기 2025.10.08 0
1807 기계가공조립기능사 필기 기출문제(해설) 및 CBT 2009년07월12일(4회)(14685) new 좋은아빠되기 2025.10.08 0
1806 배관기능사 필기 기출문제(해설) 및 CBT 2009년09월27일(5회)(14686) new 좋은아빠되기 2025.10.08 0
1805 배관기능사 필기 기출문제(해설) 및 CBT 2007년09월16일(5회)(14688) new 좋은아빠되기 2025.10.08 0
1804 치공구설계산업기사 필기 기출문제(해설) 및 CBT 2008년07월27일(14689) new 좋은아빠되기 2025.10.08 0
1803 치공구설계산업기사 필기 기출문제(해설) 및 CBT 2012년08월26일(14690) new 좋은아빠되기 2025.10.08 0
1802 수질환경기사 필기 기출문제(해설) 및 CBT 2021년05월15일(14691) new 좋은아빠되기 2025.10.08 1
1801 승강기기사 필기 기출문제(해설) 및 CBT 2021년05월15일(14692) new 좋은아빠되기 2025.10.08 0
1800 9급 지방직 공무원 서울시 응용역학개론 필기 기출문제(해설) 및 CBT 2016년06월25일(14693) new 좋은아빠되기 2025.10.08 0
1799 9급 지방직 공무원 서울시 전자공학개론 필기 기출문제(해설) 및 CBT 2016년06월25일(14694) new 좋은아빠되기 2025.10.08 0
Board Pagination Prev 1 ... 688 689 690 691 692 693 694 695 696 697 ... 783 Next
/ 783